Next Article in Journal / Special Issue
De Novo Transcriptome Sequencing of Low Temperature-Treated Phlox subulata and Analysis of the Genes Involved in Cold Stress
Previous Article in Journal
MicroRNA Expression Profile of Neural Progenitor-Like Cells Derived from Rat Bone Marrow Mesenchymal Stem Cells under the Influence of IGF-1, bFGF and EGF
Previous Article in Special Issue
Overexpressing of OsAMT1-3, a High Affinity Ammonium Transporter Gene, Modifies Rice Growth and Carbon-Nitrogen Metabolic Status
 
 
Font Type:
Arial Georgia Verdana
Font Size:
Aa Aa Aa
Line Spacing:
Column Width:
Background:
Article

New Coumarin Derivatives and Other Constituents from the Stem Bark of Zanthoxylum avicennae: Effects on Neutrophil Pro-Inflammatory Responses

1
Department of Pharmacy & Graduate Institute of Pharmaceutical Technology, Tajen University, Pingtung 907, Taiwan
2
Department of Chinese Pharmaceutical Sciences and Chinese Medicine Resources, China Medical University, Taichung 404, Taiwan
3
Department of Biotechnology, Asia University, Taichung 413, Taiwan
4
Graduate Institute of Natural Products, School of Traditional Chinese Medicine, College of Medicine, Chang Gung University, Taoyuan 333, Taiwan
5
Research Center for Industry of Human Ecology, Chang Gung University of Science and Technology, Immunology Consortium, Chang Gung Memorial Hospital, Taoyuan 333, Taiwan
6
Chung-Jen Junior College of Nursing, Health Sciences and Management, Chiayi 600, Taiwan
7
School of Pharmacy, College of Pharmacy, China Medical University, Taichung 404, Taiwan
8
National Museum of Marine Biology and Aquarium, Pingtung 944, Taiwan
9
Department of Medical Education and Research, Kaohsiung Veterans General Hospital, Kaohsiung 813, Taiwan
10
Bioresource Collection and Research Center (BCRC), Food Industry Research and Development Institute (FIRDI), Hsinchu 300, Taiwan
*
Author to whom correspondence should be addressed.
These authors contributed equally to this work.
Int. J. Mol. Sci. 2015, 16(5), 9719-9731; https://doi.org/10.3390/ijms16059719
Submission received: 17 March 2015 / Revised: 10 April 2015 / Accepted: 14 April 2015 / Published: 29 April 2015
(This article belongs to the Special Issue Plant Molecular Biology)

Abstract

:
Three new coumarin derivatives, 8-formylalloxanthoxyletin (1), avicennone (2), and (Z)-avicennone (3), have been isolated from the stem bark of Zanthoxylum avicennae (Z. avicennae), together with 15 known compounds (418). The structures of these new compounds were determined through spectroscopic and MS analyses. Compounds 1, 4, 9, 12, and 15 exhibited inhibition (half maximal inhibitory concentration (IC50) values ≤7.65 µg/mL) of superoxide anion generation by human neutrophils in response to formyl-l-methionyl-l-leucyl-l-phenylalanine/cytochalasin B (fMLP/CB). Compounds 1, 2, 4, 8 and 9 inhibited fMLP/CB-induced elastase release with IC50 values ≤8.17 µg/mL. This investigation reveals bioactive isolates (especially 1, 2, 4, 8, 9, 12 and 15) could be further developed as potential candidates for the treatment or prevention of various inflammatory diseases.

Graphical Abstract

1. Introduction

Zanthoxylum avicennae (Lam.) DC. (Rutaceae) is an evergreen shrub distributed in Vietnam, Philippines, southern China, and Taiwan [1]. Neolignans [2], alkaloids [2,3,4], coumarins [3,4], flavonoids [3], benzenoids [3,4], and their derivatives were isolated from this plant in previous studies. Many of these compounds were found to exhibit anti-inflammatory [2,3], anti-platelet aggregation [5], and anti-hepatitis B virus (HBV) [6] activities.
Figure 1. The chemical structures of new compounds 13 isolated from Z. avicennae.
Figure 1. The chemical structures of new compounds 13 isolated from Z. avicennae.
Ijms 16 09719 g001
In our studies on the anti-inflammatory constituents of Formosan plants, many species have been screened for in vitro inhibitory activity on neutrophil pro-inflammatory responses, and Z. avicennae has been found to be an active species. The MeOH extract of stem bark of Z. avicennae showed potent inhibitory effects on superoxide anion generation and elastase release by human neutrophils in response to formyl-l-methionyl-l-leucyl-l-phenylalanine/cytochalasin B (fMLP/CB). Figure 1 illustrates the structures of three new coumarins, 8-formylalloxanthoxyletin (1), avicennone (2), and (Z)-avicennone (3). Fifteen known compounds (418), have been isolated and identified from the stem bark of Z. avicennae and their structures are depicted in Figure 2.
Figure 2. The chemical structures of known compounds 418 isolated from Z. avicennae.
Figure 2. The chemical structures of known compounds 418 isolated from Z. avicennae.
Ijms 16 09719 g002
This paper describes the structural elucidation of the compounds numbered 1 through 3, and the inhibitory activities of all isolates on superoxide generation and elastase release by neutrophils.

2. Results

Chromatographic purification of the EtOAc-soluble fraction of a MeOH extract of stem bark of Z. avicennae on a silica gel column and preparative thin-layer chromatography (TLC) afforded three new (13) and fifteen known compounds (418).
8-Formylalloxanthoxyletin (1) was isolated as amorphous powder with molecular formula C16H14O5 as determined by positive-ion high-resolution electrospray ionization (HR-ESI-MS), showing an [M + Na]+ ion at m/z 309.0739 (calculated for C16H14O5Na, 309.0739). The presence of carbonyl groups was revealed by the bands at 1693, 1729 cm−1 in the Infrared (IR) spectrum, and was confirmed by the resonances at δ 159.4, 185.7 in the 13C NMR spectrum. The 1H NMR spectrum of 1 showed the presence of a 2,2-dimethyl-2H-pyran moiety [δ 1.53 (6H, s, Me-2' × 2), 5.70, 6.64 (each 1H, each d, J = 10.5 Hz, H-3' and H-4')], a methoxy group [δ 3.92 (3H, s, OMe-7)], a formyl group [δ 10.53 (1H, s, CHO-8)], and the typical H-3 and H-4 protons of the coumarin nucleus [δ 6.32, 8.00 (each 1H, each d, J = 10.0 Hz, H-3 and H-4)]. The 1H NMR spectrum of 1 was similar to those of alloxanthoxyletin (4) [7], except that the 8-formyl group [δ 10.53 (1H, s)] of 1 replaced H-8 of alloxanthoxyletin (4). This was supported by HMBC correlation observed between CHO-8 (δ 10.53) and C-7 (δ 160.2), C-8 (δ 110.7), and C-9 (δ 157.5). The full assignment of 1H and 13C NMR resonances was confirmed by 1H–1H correlation spectroscopy (COSY), nuclear Overhauser effect spectrometry (NOESY) (Figure 3), Distortionless Enhancement by Polazization Transfer (DEPT), eteronuclear single-quantum coherence (HSQC), and heteronuclear multiple-bond correlation (HMBC) (Figure 3) techniques. According to the evidence above, the structure of 1 was elucidated as 5-methoxy-2,2-dimethyl-8-oxo-2,8-dihydropyrano [2,3-f]chromene-6-carbaldehyde, named 8-formylalloxanthoxyletin.
Figure 3. Key nuclear Overhauser effect spectrometry (NOESY) (a) and heteronuclear multiple-bond correlation (HMBC) (b) correlations of 1.
Figure 3. Key nuclear Overhauser effect spectrometry (NOESY) (a) and heteronuclear multiple-bond correlation (HMBC) (b) correlations of 1.
Ijms 16 09719 g003
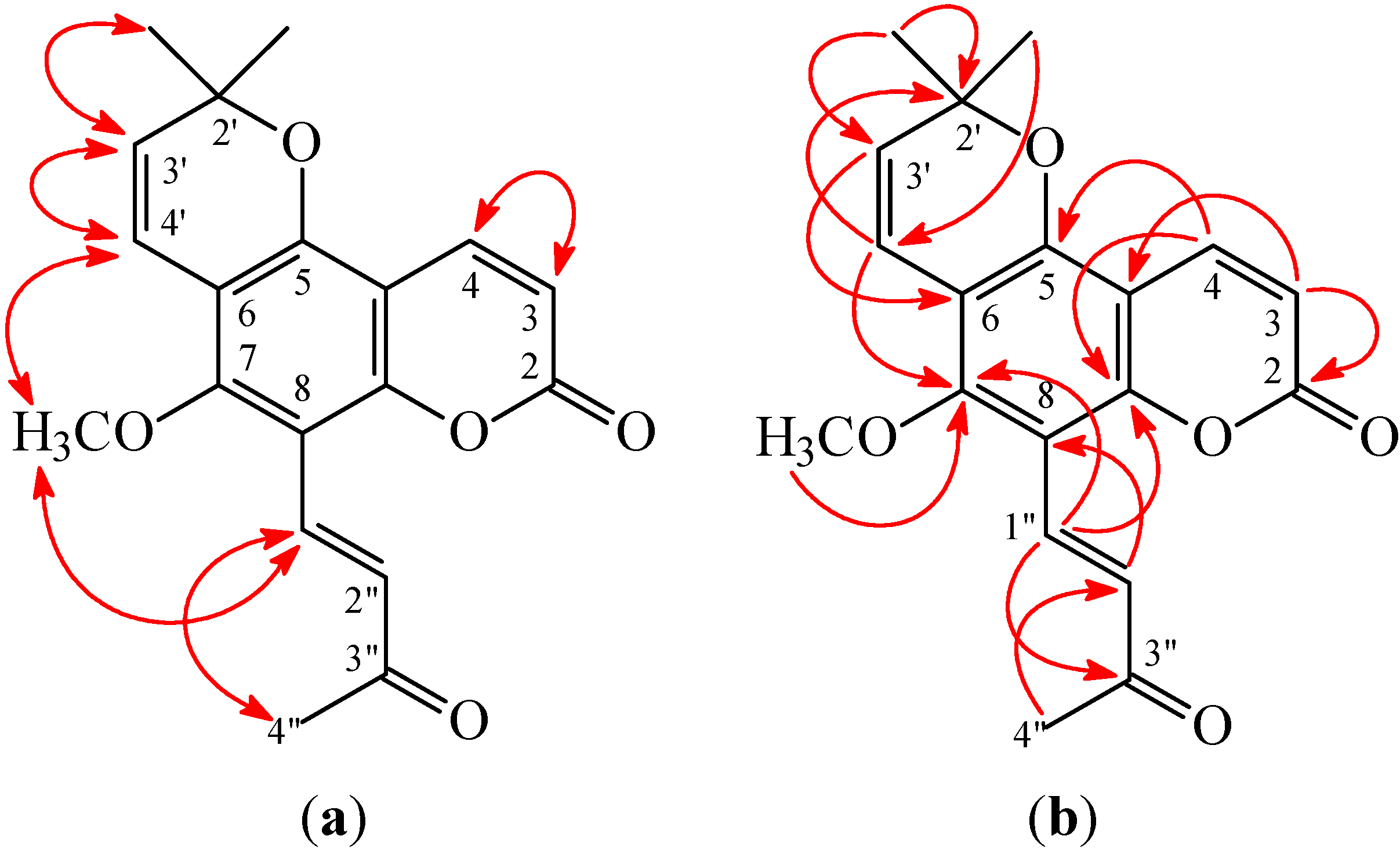
(E)-Avicennone (2) was obtained as amorphous powder. Its molecular formula, C19H18O5, was determined on the basis of the positive HRESIMS at m/z 349.1056 [M + Na]+ (calcd 349.1052) and supported by the 1H, 13C, and DEPT NMR data. The presence of carbonyl groups was revealed by the bands at 1695 and 1734 cm−1 in the IR spectrum, and was confirmed by the resonances at δ 160.0 and 199.8 in the 13C NMR spectrum. The 1H NMR spectrum of 2 displayed the presence of a 2,2-dimethyl-2H-pyran moiety [δ 1.51 (6H, s, Me-2' × 2), 5.70, 6.59 (each 1H, each d, J = 10.2 Hz, H-3' and H-4')], a methoxy group [δ 3.81 (3H, s, OMe-7)], an (E)-3-oxobut-1-enyl group [δ 2.42 (3H, s, Me-3''), 7.32, 7.83 (each 1H, each d, J = 16.5 Hz, H-2'' and H-1'')], and the typical H-3 and H-4 protons of the coumarin nucleus [δ 6.30, 8.02 (each 1H, each d, J = 9.6 Hz, H-3 and H-4)]. The 1H NMR data of 2 were similar to 8-formylalloxanthoxyletin (1), except that the (E)-3-oxobut-1-enyl group at C-8 of 2 replaced 8-formyl group of 8-formylalloxanthoxyletin (1). This was supported by the NOESY correlations between H-1'' (δ 7.83) and H-4'' (δ 2.42) and OMe-7 (δ 3.81) and by the HMBC correlation between H-1'' (δ 7.83) and C-7 (δ 159.2), C-8 (δ 107.5), C-9 (δ 154.1), and C-3'' (δ 199.8) of 2. In addition, the (E)-configuration of 2 was established by the following evidences: (a) The larger coupling constant (J = 16.5 Hz) between H-1'' and H-2'' of 2; (b) The NOESY correlations were observed between H-1'' (δ 7.83) and H-4'' (δ 2.42) (Figure 3). Thus, (E)-avicennone was elucidated as structure 2. This structure was confirmed by the 1H-1H COSY, NOESY (Figure 4), DEPT, HSQC, and HMBC techniques (Figure 4).
Figure 4. Key NOESY (a) and HMBC (b) correlations of 2.
Figure 4. Key NOESY (a) and HMBC (b) correlations of 2.
Ijms 16 09719 g004
(Z)-Avicennone (3) was isolated as amorphous powder. The molecular formula C19H18O5 was deduced from a sodium adduct ion at m/z 349.1054 [M + Na]+ (calcd 349.1052) in the HR-ESI mass spectrum. The presence of carbonyl groups was revealed by the bands at 1694, 1734 cm−1 in the IR spectrum. The 1H NMR spectrum of 3 illustrated the presence of a 2,2-dimethyl-2H-pyran moiety [δ 1.49 (6H, s, Me-2' × 2), 5.64, 6.56 (each 1H, each d, J = 10.2 Hz, H-3' and H-4')], a methoxy group [δ 3.72 (3H, s, OMe-7)], an (Z)-3-oxobut-1-enyl group [δ 2.23 (3H, s, Me-3''), 6.40, 6.79 (each 1H, each d, J = 12.6 Hz, H-2'' and H-1'')], and the typical H-3 and H-4 protons of the coumarin nucleus [δ 6.23, 7.99 (each 1H, each d, J = 9.6 Hz, H-3 and H-4)]. The 1H and 13C NMR data of 3 were similar to those of (E)-avicennone (2), except that the (Z)-3-oxobut-1-enyl group [δH 2.23 (3H, s, Me-3''), 6.40, 6.79 (each 1H, each d, J = 12.6 Hz, H-2'' and H-1''); δC 29.7 (C-4''), 128.6 (C-1''), 132.3 (C-2''), 200.6 (C-3'')] at C-8 of 3 replaced the (E)-3-oxobut-1-enyl group at C-8 of (E)-avicennone (2). This was supported by the coupling constant (J = 12.6 Hz) between H-1'' and H-2'' of 3 and by the NOESY correlations between H-1'' (δ 6.79) and H-2'' (δ 6.40). According to the above data, the structure of 3 was elucidated as (Z)-avicennone. This was supported by 1H–1H COSY and NOESY (Figure 5) experiments, and 13C NMR assignments were confirmed by DEPT, HSQC, and HMBC (Figure 5) techniques.
Figure 5. Key NOESY (a) and HMBC (b) correlations of 3.
Figure 5. Key NOESY (a) and HMBC (b) correlations of 3.
Ijms 16 09719 g005
The known isolates were readily identified by a comparison of physical and spectroscopic data (UV, IR, 1H NMR, [α]D, and MS) with corresponding authentic samples or literature values, and this included nine coumarins, alloxanthoxyletin (4) [7], avicennol (5) [8], avicennol methyl ether (6) [9], cis-avicennol methyl ether (7) [9], avicennin (8) [8] [9], xanthoxyletin (9) [7], luvangetin (10) [10], scopoletin (11) [11], and aesculetin dimethyl ether (12) [12]; two benzo[c]phenanthridine derivatives, norchelerythrine (13) [13] and arnottianamide (14) [14]; a furoquinoline, γ-fagarine (15) [14]; a triterpene, β-amyrin (16) [15]; and two steroids, β-sitosterol (17) [16] and stigmasterol (18) [16].
Granule proteases (e.g., elastase, cathepsin G, and proteinase-3) and reactive oxygen species (ROS) (e.g., superoxide anion (O2•−) and hydrogen peroxide) produced by human neutrophils are involved in the pathogenesis of a variety of inflammatory diseases. The effects on neutrophil pro-inflammatory responses of compounds isolated from the stem bark of Z. avicennae were evaluated by suppressing fMet-Leu-Phe/cytochalasin B (fMLP/CB)-induced superoxide anion (O2•−) generation and elastase release by human neutrophils. The inhibitory activity data on neutrophil pro-inflammatory responses are summarized in Table 1. Diphenyleneiodonium and phenylmethylsulfonyl fluoride were used as positive controls for O2•− generation and elastase release, respectively. From the results of our biological tests, the following conclusions can be drawn: (a) 8-Formylalloxanthoxyletin (1), alloxanthoxyletin (4), xanthoxyletin (9), aesculetin dimethyl ether (12), and γ-fagarine (15) exhibited potent inhibition (IC50 ≤ 7.65 µg/mL) of superoxide anion (O2•−) generation by human neutrophils in response to fMLP/CB; (b) 8-Formylalloxanthoxyletin (1), (E)-avicennone (2), alloxanthoxyletin (4), avicennin (8), and xanthoxyletin (9) exhibited potent inhibition (IC50 ≤ 8.17 µg/mL) against fMLP-induced elastase release; (c) Among the coumarins with a 2,2-dimethyl-2H-pyran moiety at C-6,7, xanthoxyletin (9) (with a 5-methoxy group) exhibited more effective inhibition than its analogue, luvangetin (10) (with a 8-methoxy group) against fMLP-induced O2•− generation and elastase release; (d) Among the coumarins (18) with a 7-methoxy group and a 2,2-dimethyl-2H-pyran moiety at C-5,6, 8-formylalloxanthoxyletin (1) (with a 8-formyl group) and alloxanthoxyletin (4) (without any substituted group at C-8) exhibited more effective inhibition than its analogues (2, 3, and 58) against fMLP-induced O2•− generation and elastase release; (e) Alloxanthoxyletin (4) and xanthoxyletin (9) were the most effective among these compounds, with IC50 values of 1.47 ± 0.53 and 1.47 ± 0.41 µg/mL, respectively, against fMLP-induced superoxide anion generation; and (f) 8-Formylalloxanthoxyletin (1) exhibited the most effective among the isolates, with IC50 value of 2.59 ± 0.52 µg/mL, against fMLP-induced elastase release.
Table 1. Inhibitory effects of compounds 118 from the stem bark of Z. avicennae on superoxide radical anion generation and elastase release by human neutrophils in response to fMet-Leu-Phe/cytochalasin B a.
Table 1. Inhibitory effects of compounds 118 from the stem bark of Z. avicennae on superoxide radical anion generation and elastase release by human neutrophils in response to fMet-Leu-Phe/cytochalasin B a.
CompoundsSuperoxide Anion Elastase
IC50 [µg/mL] b or (Inh %) c
8-Formylalloxanthoxyletin (1)4.60 ± 0.83 d2.59 ± 0.52 d
(E)-Avicennone (2)(24.4 ± 5.1) e8.17 ± 1.61 d
(Z)-Avicennone (3)(18.0 ± 3.1)(40.2 ± 4.5) f
Alloxanthoxyletin (4)1.47 ± 0.53 d3.43 ± 0.63 d
Avicennol (5)(27.6 ± 4.8) e10.9 ± 1.4 d
Avicennol methyl ether (6)(28.6 ± 1.8) d(6.31 ± 3.50)
cis-Avicennol methyl ether (7)(23.2 ± 2.5) e(6.51 ± 1.22) f
Avicennin (8)(38.5 ± 4.2) d6.21 ± 1.60 d
Xanthoxyletin (9)1.47 ± 0.41 d4.18 ± 0.73 d
Luvangetin (10)(29.0 ± 3.7) e(5.28 ± 1.30) f
Aesculetin dimethyl ether (11)7.65 ± 1.62(45.8 ± 5.1)
Scopoletin (12)(25.6 ± 4.8)(43.7 ± 3.2)
Norchelerythrine (13)(12.1 ± 2.2) e(23.8 ± 4.5) e
Arnottianamide (14)(22.8 ± 4.2)(16.5 ± 5.1)
γ-Fagarine (15)6.85 ± 0.46 f(21.3 ± 3.5)
β-Amyrin (16)(8.75 ± 4.14)(2.62 ± 1.61)
Mixture of β-Sitosterol (17) and Stigmasterol (18)(1.25 ± 1.03)(2.24 ± 1.14)
Diphenyleneiodonium g0.53 ± 0.22 d
Phenylmethylsulfonyl fluoride g34.2 ± 5.6 d
a Results are presented as averages ± SEM (n = 4); b Concentration necessary for 50% inhibition (IC50). If IC50 value of compound was <10 µg/mL, it was displayed as IC50 [µg/mL]; c Percentage of inhibition (Inh %) at 10 µg/mL. If IC50 value of compound was ≥10 µg/mL, it was shown as (Inh %) at 10 µg/mL; d p < 0.001 compared with the control; e p < 0.01 compared with the control; f p < 0.05 compared with the control; g Diphenyleneiodonium and phenylmethylsulfonyl were used as positive controls for superoxide anion generation and elastase release, respectively.

3. Discussion

Eighteen compounds, including three new coumarins 13, were isolated from the stem bark of Z. avicennae. Known compounds 4, 7, 9, 14, 16, and 18 were obtained from this plant for the first time. The structures of these compounds were established on the basis of spectroscopic data. Discovery of more new coumarins from the genus Zanthoxylum may not only provide more structure-activity data of coumarins, but may also contribute to enhancing our understanding of the taxonomy and evolution of the genus Zanthoxylum.
Granule proteases (e.g., elastase, cathepsin G) and reactive oxygen species (ROS) (e.g., superoxide anion (O2•−), hydrogen peroxide) and produced by human neutrophils contribute to the pathogenesis of inflammatory diseases. Inhibition of the inappropriate activation of neutrophils by drugs has been proposed as a way to ameliorate inflammatory diseases. Based on the results of our biological tests (Table 1), xanthoxyletin (9), alloxanthoxyletin (4), and 8-formylalloxanthoxyletin (1) were the most effective among these compounds, with IC50 values of 1.47 ± 0.41, 1.47 ± 0.53, and 4.60 ± 0.83 µg/mL, respectively, against fMLP-induced superoxide anion generation. 8-Formylalloxanthoxyletin (1), alloxanthoxyletin (4), and xanthoxyletin (9) exhibited the most effective among the isolates, with IC50 values of 2.59 ± 0.52, 3.43 ± 0.63, and 4.18 ± 0.73 µg/mL, respectively, against fMLP-induced elastase release. Our study suggests Z. avicennae and its isolates (especially 1, 4, and 9) could be further developed as potential candidates for the treatment or prevention of various inflammatory diseases. More experiments should be performed to deduce the action modes of these compounds.

4. Experimental Section

4.1. Ethics Statement

Blood was taken from healthy human donors (20–30 years old) by venipuncture, using a protocol (No. 102-1595A3) approved by the Institutional Review Board at Chang Gung Memorial Hospital. All donors gave written consent. The Medical Ethics Committee of Chang Gung Memorial Hospital approved this consent procedure.

4.2. General Experimental Procedures

Melting points were determined on a Yanaco micro-melting point apparatus and were uncorrected. Optical rotations were measured using a Jasco DIP-370 polarimeter (Japan Spectroscopic Corporation, Tokyo, Japan) in CHCl3. Ultraviolet (UV) spectra were obtained on a Jasco UV-240 spectrophotometer (Japan Spectroscopic Corporation). Infrared (IR) spectra (neat or KBr) were recorded on a Perkin Elmer 2000 FT-IR spectrometer (Perkin Elmer Corporation, Norwalk, CT, USA). Nuclear magnetic resonance (NMR) spectra, including correlation spectroscopy (COSY), nuclear Overhauser effect spectrometry (NOESY), heteronuclear multiple-bond correlation (HMBC), and heteronuclear single-quantum coherence (HSQC) experiments, were acquired using Varian INOVA-500 or Varian VNMRS-600 spectrometer (Varian Inc., Palo Alto, CA, USA) operating at 500 or 600 MHz (1H) and 125 or 150 MHz (13C), respectively, with chemical shifts given in ppm (δ) using tetramethylsilane (TMS) as an internal standard. Electrospray ionisation (ESI) and high-resolution electrospray ionization (HRESI)-mass spectra were recorded on a Bruker APEX II (Bruker, Bremen, Germany) or a VG Platform Electrospray ESI/MS mass spectrometer (Fison, Villeurbanne, France). Silica gel (70–230, 230–400 mesh, Merck, Darmstadt, Germany) was used for column chromatography (CC). Silica gel 60 F-254 (Merck, Darmstadt, Germany) was used for thin-layer chromatography (TLC) and preparative thin-layer chromatography (PTLC).

4.3. Plant Material

The stem bark of Z. avicennae was collected from Yanpu, Pingtung County, Taiwan, in June 2006 and identified by Jih-Jung Chen. A voucher specimen (ZA-200606) was deposited in the Department of Pharmacy, Tajen University, Pingtung, Taiwan.

4.4. Extraction and Isolation

The dried stem bark (8.75 kg) of Z. avicennae was pulverized and extracted three times with MeOH (40 L each) for 3 days. The MeOH extracts were concentrated under reduced pressure at 35 °C, and the residue (550 g) was partitioned between EtOAc and H2O (1:1). The EtOAc layer was concentrated to give a residue (fraction A, 302.8 g). The water layer was further extracted with n-BuOH, and the n-BuOH-soluble part (fraction B, 91.1 g) and the water-solubles (fraction C, 127.3 g) were separated. Fraction A (115 g) was chromatographed on silica gel (70–230 mesh, 5.2 kg), eluting with CH2Cl2, gradually increasing the polarity with MeOH to give 14 fractions: A1 (10 L, CH2Cl2), A2 (4 L, CH2Cl2/MeOH, 99:1), A3 (5 L, CH2Cl2/MeOH, 95:1), A4 (5 L, CH2Cl2/MeOH, 90:1), A5 (2 L, CH2Cl2/MeOH, 80:1), A6 (3 L, CH2Cl2/MeOH, 70:1), A7 (4 L, CH2Cl2/MeOH, 50:1), A8 (7.5 L, CH2Cl2/MeOH, 30:1), A9 (2 L, CH2Cl2/MeOH, 20:1), A10 (4 L, CH2Cl2/MeOH, 10:1), A11 (4 L, CH2Cl2/MeOH, 5:1), A12 (3 L, CH2Cl2/MeOH, 3:1), A13 (2 L, CH2Cl2/MeOH, 1:1), A14 (2 L, MeOH). Fraction A2 (11.8 g) was chromatographed further on silica gel (230–400 mesh, 535 g) eluting with n-hexane/EtOAc (3:1–0:1) to give 14 fractions (each 500 mL, A2-1–A2-14). Part (112 mg) of fraction A2-13 was purified by preparative TLC (silica gel, CH2Cl2/acetone, 30:1) to afford 12 (3.8 mg) (Rf = 0.70). Part (96 mg) of fraction A2-14 was purified by preparative TLC (silica gel, CH2Cl2/acetone, 25:1) to obtain 15 (3.3 mg) (Rf = 0.60). Fraction A4 (9.1 g) was chromatographed further on silica gel (230–400 mesh, 425 g) eluting with n-hexane/EtOAc (3:1–0:1) to give 13 fractions (each 1 L, A4-1–A4-13). Fraction A4-1 (273 mg) was purified by CC (silica gel, n-hexane/acetone, 2:1–0:1) to afford 11 subfractions (each 200 mL, A4-1-1–A4-1-11). Fraction A4-1-9 (33 mg) was purified by preparative TLC (silica gel, CHCl3/EtOAc, 5:1) to give 11 (3.8 mg) (Rf = 0.50). Part (140 mg) of fraction A4-7 was purified by preparative TLC (silica gel, CHCl3/acetone, 40:1) to obtain 7 (3.7 mg) (Rf = 0.47). Part (148 mg) of fraction A4-9 was purified by preparative TLC (silica gel, n-hexane/EtOAc, 5:1) to yield 1 (3.5 mg) (Rf = 0.24). Fraction A5 (8.8 g) was chromatographed further on silica gel (230–400 mesh, 405 g) eluting with n-hexane/EtOAc (10:1–0:1) to give 21 fractions (each 1 L, A5-1–A5-21). Part (81 mg) of fraction A5-8 was purified by preparative TLC (silica gel, n-hexane/EtOAc, 3:1) to afford 16 (6.0 mg) (Rf = 0.71). Part (72 mg) of fraction A5-11 was purified by preparative TLC (silica gel, n-hexane/CHCl3, 1:3) to yield 9 (20.1 mg) (Rf = 0.33). Fraction A5-14 (225 mg) was purified by CC (silica gel, CH2Cl2/acetone, 45:1) to afford 5 subfractions (each 200 mL, A5-14-1–A5-14-5). Fraction A5-14-2 (28 mg) was purified by preparative TLC (silica gel, n-hexane/EtOAc, 5:1) to give 4 (10.2 mg) (Rf = 0.35). Fraction A5-14-3 (67 mg) was purified by preparative TLC (silica gel, n-hexane/EtOAc, 5:1) to obtain 6 (40.1 mg) (Rf = 0.30). Part (118 mg) of fraction A5-17 was purified by preparative TLC (silica gel, n-hexane/EtOAc, 2:1) to afford 10 (77 mg) (Rf = 0.40). Fraction A6 (10.5 g) was chromatographed further on silica gel (230–400 mesh, 478 g) eluting with n-hexane/acetone (2:1–0:1) to give 11 fractions (each 500 mL, A6-1–A6-11). Part (125 mg) of fraction A6-1 was purified by preparative TLC (silica gel, CHCl3/acetone, 80:1) to obtain 2 (3.9 mg) (Rf = 0.87) and 3 (2.8 mg) (Rf = 0.88). Fraction A7 (9.2 g) was chromatographed further on silica gel (230–400 mesh, 420 g) eluting with n-hexane/EtOAc (6:1–0:1) to give 17 fractions (each 500 mL, A7-1–A7-17). Part (136 mg) of fraction A7-7 was purified by preparative TLC (silica gel, n-hexane/EtOAc, 4:1) to obtain mixture of 17 and 18 (14.1 mg) (Rf = 0.50). Part (135 mg) of fraction A7-8 was purified by preparative TLC (silica gel, n-hexane/EtOAc, 3:1) to yield 8 (10.2 mg) (Rf = 0.46). Part (125 mg) of fraction A7-9 was purified by preparative TLC (silica gel, CHCl3/EtOAc, 15:1) to give 5 (3.5 mg) (Rf = 0.79). Part (95 mg) of fraction A7-13 was purified by preparative TLC (silica gel, n-hexane/EtOAc, 2:1) to yield 13 (4.3 mg) (Rf = 0.48). Part (118 mg) of fraction A7-15 was purified by preparative TLC (silica gel, n-hexane/EtOAc, 2:3) to give 14 (5.3 mg) (Rf = 0.62).

4.4.1. 8-Formylalloxanthoxyletin (1)

Amorphous powder. UV (MeOH): λmax (log ε) = 224 (4.39), 261 (4.15), 281 (4.11) nm. IR (KBr): υmax = 1729 (C=O), 1693 (C=O) cm−1. 1H NMR (CDCl3, 500 MHz): δ = 1.53 (6H, s, Me-2' × 2), 3.92 (3H, s, OMe-7), 5.70 (1H, d, J = 10.5 Hz, H-3'), 6.32 (1H, d, J = 10.0 Hz, H-3), 6.64 (1H, d, J = 10.5 Hz, H-4'), 8.00 (1H, d, J = 10.0 Hz, H-4), 10.53 (1H, s, CHO) (Figure S1). 13C NMR (CDCl3, 125 MHz): δ = 28.5 (Me-2' × 2), 63.6 (OMe), 79.7 (C-2'), 105.5 (C-10), 110.7 (C-6), 110.7 (C-8), 113.5 (C-3), 115.4 (C-4'), 129.3 (C-3'), 137.8 (C-4), 155.3 (C-5), 157.5 (C-9), 159.4 (C-2), 160.2 (C-7), 185.7 (CHO) (Figure S2). ESI-MS: m/z = 309 [M + Na]+ (Figure S3). HR-ESI-MS: m/z = 309.0739 [M + Na]+ (calcd for C16H14O5Na: 309.0739) (Figure S4).

4.4.2. (E)-Avicennone (2)

Amorphous powder. UV (MeOH): λmax (log ε) = 227 (4.00), 281 (4.16) nm. IR (neat): υmax = 1734 (C=O), 1695 (C=O) cm−1. 1H NMR (CDCl3, 600 MHz): δ = 1.51 (6H, s, Me-2' × 2), 2.42 (3H, s, Me-3''), 3.81 (3H, s, OMe-7), 5.70 (1H, d, J = 10.2 Hz, H-3'), 6.30 (1H, d, J = 9.6 Hz, H-3), 6.59 (1H, d, J = 10.2 Hz, H-4'), 7.32 (1H, d, J = 16.5 Hz, H-2''), 7.83 (1H, d, J = 16.5 Hz, H-1''), 8.02 (1H, d, J = 9.6 Hz, H-4) (Figure S5). 13C NMR (CDCl3, 150 MHz): δ = 28.2 (Me-2' × 2), 29.7 (C-4''), 62.4 (OMe), 78.7 (C-2'), 106.3 (C-10), 107.5 (C-8), 110.8 (C-6), 113.2 (C-3), 116.1 (C-4'), 129.5 (C-3'), 130.3 (C-2''), 131.6 (C-1''), 138.2 (C-4), 149.7 (C-5), 154.1 (C-9), 159.2 (C-7), 160.0 (C-2), 199.8 (C-3'') (Figure S6). ESI-MS: m/z = 349 [M + Na]+ (Figure S7). HR-ESI-MS: m/z = 349.1056 [M + Na]+ (calcd for C19H18O5Na, 349.1052) (Figure S8).

4.4.3. (Z)-Avicennone (3)

Amorphous powder. UV (MeOH): λmax (log ε) = 226 (4.01), 280 (4.14) nm. IR (KBr): υmax = 1734 (C=O), 1694 (C=O) cm−1. 1H NMR (CDCl3, 600 MHz): δ = 1.49 (6H, s, Me-2' × 2), 2.23 (3H, s, Me-3''), 3.72 (3H, s, OMe-7), 5.64 (1H, d, J = 10.2 Hz, H-3'), 6.23 (1H, d, J = 9.6 Hz, H-3), 6.40 (1H, d, J = 12.6 Hz, H-2''), 6.56 (1H, d, J = 10.2 Hz, H-4'), 6.79 (1H, d, J = 12.6 Hz, H-1''), 7.99 (1H, d, J = 9.6 Hz, H-4) (Figure S9). 13C NMR (CDCl3, 150 MHz): δ = 28.2 (Me-2' × 2), 29.7 (C-4''), 62.4 (OMe), 77.8 (C-2'), 105.9 (C-10), 107.9 (C-8), 110.3 (C-6), 113.0 (C-3), 116.2 (C-4'), 128.6 (C-1''), 129.1 (C-3'), 132.3 (C-2''), 138.2 (C-4), 148.9 (C-5), 152.6 (C-9), 156.9 (C-7), 159.8 (C-2), 200.6 (C-3'') (Figure S10). ESI-MS: m/z = 349 [M + Na]+ (Figure S11). HR-ESI-MS: m/z = 349.1054 [M + Na]+ (calcd for C19H18O5Na, 349.1052) (Figure S12).

4.5. Biological Assay

The effect of the isolated compounds on neutrophil pro-inflammatory response was evaluated by monitoring the inhibition of superoxide anion generation and elastase release in fMLP/CB-activated human neutrophils in a concentration-dependent manner. The purity of the tested compounds was >98% as identified by NMR and MS.

4.5.1. Preparation of Human Neutrophils

Human neutrophils from venous blood of healthy, adult volunteers (20–28 years old) were isolated using a standard method of dextran sedimentation prior to centrifugation in a Ficoll Hypaque gradient and hypotonic lysis of erythrocytes [17]. Purified neutrophils containing > 98% viable cells, as determined by the trypan blue exclusion method [18], were re-suspended in a calcium (Ca2+)-free HBSS buffer at pH 7.4 and were maintained at 4 °C prior to use.

4.5.2. Measurement of Superoxide Anion Generation

The assay for measurement of superoxide anion generation was based on the SOD-inhibitable reduction of ferricytochrome c [19,20]. In brief, after supplementation with 0.5 mg/mL ferricytochrome c and 1 mM Ca2+, neutrophils (6 × 105/mL) were equilibrated at 37 °C for 2 min and incubated with different concentrations (10–0.01 μg/mL) of compounds or DMSO (as control) for 5 min. Cells were incubated with cytochalasin B (1 μg/mL) for 3 min prior to the activation with 100 nM formyl-l-methionyl-l-leucyl-lphenylalanine for 10 min. Changes in absorbance with the reduction of ferricytochrome c at 550 nm were continuously monitored in a double-beam, six-cell positioner spectrophotometer with constant stirring (Hitachi U-3010, Tokyo, Japan). Calculations were based on differences in the reactions with and without SOD (100 U/mL) divided by the extinction coefficient for the reduction of ferricytochrome c (ε = 21.1/mM/10 mm).

4.5.3. Measurement of Elastase Release

Degranulation of azurophilic granules was determined by measuring elastase release as described previously [19,20]. Experiments were performed using MeO-Suc-Ala-Ala-Pro-Val-p-nitroanilide as the elastase substrate. Briefly, after supplementation with MeO-Suc-Ala-Ala-Pro-Val-p-nitroanilide (100 μM), neutrophils (6 × 105/mL) were equilibrated at 37 °C for 2 min and incubated with compounds for 5 min. Cells were stimulated with fMLP (100 nM)/CB (0.5 μg/mL), and changes in absorbance at 405 nm were monitored continuously in order to assay elastase release. The results were expressed as the percent of elastase release in the fMLP/CB-activated, drug-free control system.

4.5.4. Statistical Analysis

Results are expressed as the mean ± standard error of the mean (SEM), and comparisons were made using Student’s t-test. A probability of 0.05 or less was considered significant. The software SigmaPlot was used for the statistical analysis.

5. Conclusions

Eighteen compounds, including three new coumarins (13), were isolated from the stem bark of Z. avicennae. The structures of these compounds were established on the basis of spectroscopic data. Reactive oxygen species (ROS) (e.g., superoxide anion (O2•−), hydrogen peroxide) and granule proteases (e.g., elastase, cathepsin G) produced by human neutrophils contribute to the pathogenesis of inflammatory diseases. The effects on neutrophil pro-inflammatory responses of isolates were evaluated by suppressing fMLP/CB-induced O2•− generation and elastase release by human neutrophils. The results of anti-inflammatory experiments indicate that compounds 1, 2, 4, 9, 11, and 15 can significantly inhibit fMLP-induced O2•− generation and/or elastase release. 8-Formylalloxanthoxyletin (1), alloxanthoxyletin (4), and xanthoxyletin (9) were the most effective among the isolated compounds, with IC50 values of 4.60 ± 0.83/2.59 ± 0.52, 1.47 ± 0.53/3.43 ± 0.63, and 1.47 ± 0.41/4.18 ± 0.73 µg/mL, respectively, against fMLP-induced O2•− generation and elastase release. Our study suggests Z. avicennae and its isolates (especially 1, 4, and 9) are worthy of further biomedical investigation and could be expectantly developed as potential candidates for the treatment or prevention of various inflammatory diseases.

Supplementary Materials

Supplementary materials can be found at https://www.mdpi.com/1422-0067/16/05/9719/s1.

Acknowledgments

This research was supported by grants from the National Science Council of the Republic of China (No. NSC 98-2320-B-127-001-MY3 and NSC 101-2320-B-127-001-MY3), awarded to Jih-Jung Chen; and the grant from CMU under the Aim for Top University Plan of the Ministry of Education, Taiwan, and Taiwan Ministry of Health and Welfare Clinical Trial and Research Center of Excellence (MOHW104-TDU-B-212-113002).

Author Contributions

Jih-Jung Chen designed the research; Chieh-Kai Yang, Yueh-Hsiung Kuo, Tsong-Long Hwang, and Wen-Lung Kuo performed the experiments; Jih-Jung Chen, Chieh-Kai Yang, Yun-Ping Lim, Ping-Jyun Sung, Tsung-Hsien Chang, and Ming-Jen Cheng contributed to the analysis of the data; Jih-Jung Chen wrote the paper.

Conflicts of Interest

The authors declare no conflict of interest.

References

  1. Chang, C.E.; Hartley, T.G. Rutaceae. In Flora of Taiwan, 2nd ed.; Huang, T.C., Ed.; Editorial Committee of the Flora of Taiwan: Taipei, Taiwan, 1993; pp. 510–544. [Google Scholar]
  2. Chen, J.J.; Wang, T.Y.; Hwang, T.L. Neolignans, a coumarinolignan, lignan derivatives, and a chromene: Anti-Inflammatory constituents from Zanthoxylum avicennae. J. Nat. Prod. 2008, 71, 212–217. [Google Scholar] [CrossRef]
  3. Cho, J.Y.; Hwang, T.L.; Chang, T.H.; Lim, Y.P.; Sung, P.J.; Lee, T.H.; Chen, J.J. New coumarins and anti-inflammatory constituents from Zanthoxylum avicennae. Food Chem. 2012, 135, 17–23. [Google Scholar] [CrossRef]
  4. Fish, F.; Gray, A.I.; Waterman, P.G. Coumarin, alkaloid and flavonoid constituents from the root and stem barks of Zanthoxylum avicennae. Phytochemistry 1975, 14, 841–842. [Google Scholar] [CrossRef]
  5. Chen, I.S.; Lin, Y.C.; Tsai, I.L.; Teng, C.M.; Ko, F.N.; Ishikawa, T.; Ishii, H. Coumarins and anti-platelet aggregation constituents from Zanthoxylum schinifolium. Phytochemistry 1995, 39, 1091–1097. [Google Scholar] [CrossRef] [PubMed]
  6. Chang, C.T.; Doong, S.L.; Tsai, I.L.; Chen, I.S. Coumarins and anti-HBV constituents from Zanthoxylum schinifolium. Phytochemistry 1997, 45, 1419–1422. [Google Scholar] [CrossRef]
  7. Trost, B.M.; Toste, F.D.; Greenman, K. Atom economy. Palladium-catalyzed formation of coumarins by addition of phenols and alkynoates via a net C–H insertion. J. Am. Chem. Soc. 2003, 125, 4518–4526. [Google Scholar] [CrossRef] [PubMed]
  8. Gray, A.I.; Waigh, R.D.; Waterman, P.G. Avicennol, a new pyranocoumarin from the root bark of Zanthoxylum avicennae and its conversion into avicenin. J. Chem. Soc. Perkin Trans. 1 1975, 488–491. [Google Scholar] [CrossRef]
  9. Rashid, M.A.; Armstrong, J.A.; Gray, A.I.; Waterman, P.G. Pyranocoumarins as chemotaxonomic markers in Eriostemon coccineus and Philotheca citrina. Phytochemistry 1991, 30, 4033–4035. [Google Scholar] [CrossRef]
  10. Mail, R.S.; Joshi, P.P.; Sandhu, P.K.; Maneker-Tilve, A. Efficient syntheses of 6-prenylcoumarins and linear pyranocoumarins: Total synthesis of suberosin, toddaculin, O-methylapigravin (O-methylbrosiperin), methylbalsamiferone, dihydroxanthyletin, xanthyletin and luvangetin. J. Chem. Soc. Perkin Trans. 1 2002, 371–376. [Google Scholar] [CrossRef]
  11. Wu, T.S.; Shi, L.S.; Wang, J.J.; Iou, S.C.; Chang, H.C.; Chen, Y.P.; Kuo, Y.H.; Chang, Y.L.; Teng, C.M. Cytotoxic and antiplatelet aggregation principles of Ruta graveolens. J. Chin. Chem. Soc. 2003, 50, 171–178. [Google Scholar]
  12. Kokpol, U.; Chavasiri, W.; Chittawong, V.; Bruce, M.; Cunningham, G.N.; Miles, D.H. Long chain aliphatic alcohols and saturated carboxylic acids from heartwood of Rhizophora apiculata. Phytochemistry 1993, 33, 1129–1131. [Google Scholar] [CrossRef]
  13. Wu, S.J.; Chen, I.S. Alkaloids from Zanthoxylum simulans. Phytochemistry 1993, 34, 1659–1661. [Google Scholar] [CrossRef]
  14. Chen, J.J.; Duh, C.Y.; Huang, H.Y.; Chen, I.S. New indolopyridoquinazoline, benzo[c]phe-nanthridines and cytotoxic constituents from Zanthoxylum integrifoliolum. Planta Medica 2005, 71, 470–475. [Google Scholar] [CrossRef] [PubMed]
  15. Chen, J.J.; Duh, C.Y.; Huang, H.Y.; Chen, I.S. Cytotoxic constituents from the stem bark of Zanthoxylum pistaciiflorum. J. Chin. Chem. Soc. 2004, 51, 659–663. [Google Scholar] [CrossRef]
  16. Chen, J.J.; Luo, Y.T.; Hwang, T.L.; Sung, P.J.; Wang, T.C.; Chen, I.S. A new indole alkaloid and anti-inflammatory constituents from Strychnos cathayensis. Chem. Biodivers. 2008, 5, 1345–1352. [Google Scholar] [CrossRef] [PubMed]
  17. Boyum, A. Isolation of mononuclear cells and granulocytes from human blood. Isolation of monuclear cells by one centrifugation, and of granulocytes by combining centrifugation and sedimentation at 1 g. Scand. J. Clin. Lab. Investig. 1968, 97, 77–89. [Google Scholar]
  18. Jauregui, H.O.; Hayner, N.T.; Driscoll, J.L.; Williams-Holland, R.; Lipsky, M.H.; Galletti, P.M. Trypan blue dye uptake and lactate dehydrogenase in adult rat hepatocytes-freshly isolated cells, cell suspensions, and primary monolayer cultures. In Vitro 1981, 17, 1100–1110. [Google Scholar] [CrossRef] [PubMed]
  19. Hwang, T.L.; Leu, Y.L.; Kao, S.H.; Tang, M.C.; Chang, H.L. Viscolin, a new chalcone from Viscum coloratum, inhibits human neutrophil superoxide anion and elastase release via a cAMP-dependent pathway. Free Radic. Biol. Med. 2006, 41, 1433–1441. [Google Scholar] [CrossRef] [PubMed]
  20. Chen, J.J.; Ting, C.W.; Wu, Y.C.; Hwang, T.L.; Cheng, M.J.; Sung, P.J.; Wang, T.C.; Chen, J.F. New labdane-type diterpenoids and anti-inflammatory constituents from Hedychium coronarium. Int. J. Mol. Sci. 2013, 14, 13063–13077. [Google Scholar] [CrossRef]

Share and Cite

MDPI and ACS Style

Chen, J.-J.; Yang, C.-K.; Kuo, Y.-H.; Hwang, T.-L.; Kuo, W.-L.; Lim, Y.-P.; Sung, P.-J.; Chang, T.-H.; Cheng, M.-J. New Coumarin Derivatives and Other Constituents from the Stem Bark of Zanthoxylum avicennae: Effects on Neutrophil Pro-Inflammatory Responses. Int. J. Mol. Sci. 2015, 16, 9719-9731. https://doi.org/10.3390/ijms16059719

AMA Style

Chen J-J, Yang C-K, Kuo Y-H, Hwang T-L, Kuo W-L, Lim Y-P, Sung P-J, Chang T-H, Cheng M-J. New Coumarin Derivatives and Other Constituents from the Stem Bark of Zanthoxylum avicennae: Effects on Neutrophil Pro-Inflammatory Responses. International Journal of Molecular Sciences. 2015; 16(5):9719-9731. https://doi.org/10.3390/ijms16059719

Chicago/Turabian Style

Chen, Jih-Jung, Chieh-Kai Yang, Yueh-Hsiung Kuo, Tsong-Long Hwang, Wen-Lung Kuo, Yun-Ping Lim, Ping-Jyun Sung, Tsung-Hsien Chang, and Ming-Jen Cheng. 2015. "New Coumarin Derivatives and Other Constituents from the Stem Bark of Zanthoxylum avicennae: Effects on Neutrophil Pro-Inflammatory Responses" International Journal of Molecular Sciences 16, no. 5: 9719-9731. https://doi.org/10.3390/ijms16059719

APA Style

Chen, J.-J., Yang, C.-K., Kuo, Y.-H., Hwang, T.-L., Kuo, W.-L., Lim, Y.-P., Sung, P.-J., Chang, T.-H., & Cheng, M.-J. (2015). New Coumarin Derivatives and Other Constituents from the Stem Bark of Zanthoxylum avicennae: Effects on Neutrophil Pro-Inflammatory Responses. International Journal of Molecular Sciences, 16(5), 9719-9731. https://doi.org/10.3390/ijms16059719

Article Metrics

Back to TopTop