Decisive Interactions between the Heterocyclic Moiety and the Cluster Observed in Polyoxometalate-Surfactant Hybrid Crystals
Abstract
:1. Introduction
2. Results and Discussion
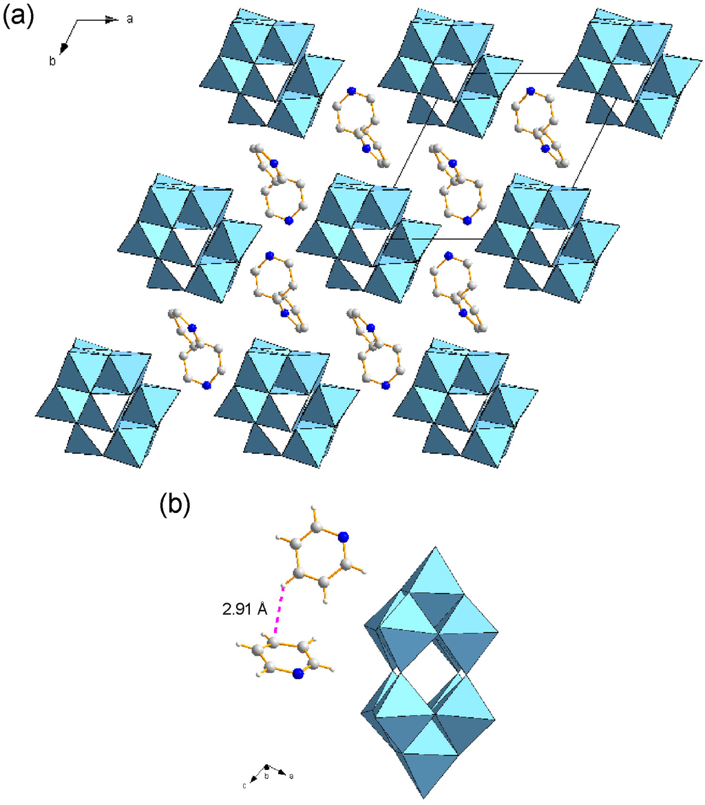
2.1. Crystal Structure of C12pda-W10 (1)

| Compound | 1 | 2 |
|---|---|---|
| Chemical formula | C70H128N8W10O34 | C76H140N4W10O36 |
| Formula weight | 3464.31 | 3524.45 |
| Crystal system | triclinic | triclinic |
| Space group | P (No.2) | P (No.2) |
| a (Å) | 10.55918(19) | 10.813(7) |
| b (Å) | 18.7700(3) | 11.339(7) |
| c (Å) | 25.4318(5) | 23.610(13) |
| α (°) | 74.4842(7) | 99.415(9) |
| β (°) | 86.5737(7) | 91.558(5) |
| γ (°) | 85.6363(7) | 115.588(9) |
| V (Å3) | 4838.62(15) | 2560(3) |
| Z | 2 | 1 |
| ρcalcd (g·cm−3) | 2.378 | 2.286 |
| T (K) | 193 | 173 |
| μ (Mo·Kα) (mm−1) | 11.924 | 11.272 |
| No. of reflections measured | 78,035 | 18,275 |
| No. of independent reflections | 22,146 | 11,774 |
| Rint | 0.0900 | 0.1384 |
| No. of parameters | 1106 | 563 |
| R1 (I > 2σ(I)) | 0.0452 | 0.0983 |
| wR2 (all data) | 0.1162 | 0.3237 |


| Contact a | Distance (Å) | Contact a | Distance (Å) |
|---|---|---|---|
| C20i···O1 | 3.206 | C2···O13 | 3.118 |
| C20i···O2 | 3.085 | C51iv···O13 | 3.201 |
| C4···O5 | 3.210 | C33i···O20 | 3.177 |
| C19i···O5 | 3.147 | C49···O22 | 2.914 |
| C33ii···O6 | 3.140 | C4···O24 | 2.886 |
| C34ii···O6 | 3.180 | C17···O25 | 2.894 |
| C50iii···O7 | 2.876 | C3ii···O27 | 3.216 |
| C51iii···O7 | 3.110 | C19ii···O27 | 3.163 |
| C34iii···O8 | 3.134 | C33i···O27 | 3.142 |
| C4···O9 | 3.183 | C17i···O28 | 3.135 |
| C3···O9 | 2.890 | C20···O29 | 3.119 |
| N8iii···O12 | 3.046 | N6···O30 | 2.909 |
2.2. Crystal Structure of C12py-W10 (2)


| Contact a | Distance (Å) | Contact a | Distance (Å) |
|---|---|---|---|
| C22···O5 | 3.153 | C20ii···O11 | 3.026 |
| N2i···O9 | 2.929 | N1iii···O14 | 2.960 |
| C18i···O9 | 2.980 | C5iii···O14 | 3.203 |
| C22i···O9 | 3.108 | C21iv···O14 | 3.091 |
| C2···O11 | 3.220 | C18v···O16 | 3.031 |
3. Experimental Section
3.1. Syntheses and Methods
3.2. X-ray Diffraction Measurements
4. Conclusions
Supplementary Materials
Acknowledgments
Author Contributions
Conflicts of Interest
References
- Desiraju, G.R.; Steiner, T. The Weak Hydrogen Bond in Structural Chemistry and Biology; Oxford University Press: New York, NY, USA, 1999. [Google Scholar]
- Cockroft, S.L.; Hunter, C.A. Chemical double-mutant cycles: Dissecting non-covalent interactions. Chem. Soc. Rev. 2007, 36, 172–188. [Google Scholar] [CrossRef] [PubMed]
- Rebek, J., Jr. Simultaneous encapsulation: Molecules held at close range. Angew. Chem. Int. Ed. 2005, 44, 2068–2078. [Google Scholar] [CrossRef]
- Maurizot, V.; Yoshizawa, M.; Kawano, M.; Fujita, M. Control of molecular interactions by the hollow of coordination cages. Dalton Trans. 2006, 2006, 2750–2756. [Google Scholar] [CrossRef]
- Rosen, B.M.; Wilson, C.J.; Wilson, D.A.; Peterca, M.; Imam, M.R.; Percec, V. Dendron-mediated self-assembly, disassembly, and self-organization of complex systems. Chem. Rev. 2009, 109, 6275–6540. [Google Scholar] [CrossRef] [PubMed]
- Coronado, E.; Gómez-García, C.J. Polyoxometalate-based molecular materials. Chem. Rev. 1998, 98, 273–296. [Google Scholar] [CrossRef] [PubMed]
- Coronado, E.; Giménez-Saiz, C.; Gómez-García, C.J. Recent advances in polyoxometalate-containing molecular conductors. Coord. Chem. Rev. 2005, 249, 1776–1796. [Google Scholar] [CrossRef]
- Pope, M.T. Heteropoly and Isopoly Oxometalates; Springer: Berlin, Germany, 1983. [Google Scholar]
- Hill, C.L. Polyoxometalates. Chem. Rev. 1998, 98, 1–390. [Google Scholar] [CrossRef] [PubMed]
- Long, D.-L.; Burkholder, E.; Cronin, L. Polyoxometalate clusters, nanostructures and materials: From self assembly to designer materials and devices. Chem. Soc. Rev. 2007, 36, 105–121. [Google Scholar] [CrossRef] [PubMed]
- Proust, A.; Matt, B.; Villanneau, R.; Guillemot, G.; Gouzerh, P.; Izzet, G. Functionalization and post-functionalization: a step towards polyoxometalate-based materials. Chem. Soc. Rev. 2012, 41, 7605–7622. [Google Scholar] [CrossRef] [PubMed]
- Okuhara, T.; Mizuno, N.; Misono, M. Catalytic chemistry of heteropoly compounds. Adv. Catal. 1996, 41, 113–252. [Google Scholar]
- Sadakane, M.; Steckhan, E. Electrochemical properties of polyoxometalates as electrocatalysts. Chem. Rev. 1998, 98, 219–237. [Google Scholar] [CrossRef] [PubMed]
- Song, Y.-F.; Long, D.-L.; Ritchie, C.; Cronin, L. Nanoscale polyoxometalate-based inorganic/organic hybrids. Chem. Rec. 2011, 11, 158–171. [Google Scholar] [CrossRef] [PubMed]
- Qi, W.; Wu, L. Polyoxometalate/polymer hybrid materials: fabrication and properties. Polym. Int. 2009, 58, 1217–1225. [Google Scholar] [CrossRef]
- Clemente-León, M.; Coronado, E.; Soriano-Portillo, A.; Mingotaud, C.; Dominguez-Vera, J.M. Langmuir–Blodgett films based on inorganic molecular complexes with magnetic or optical properties. Adv. Colloid Interface Sci. 2005, 116, 193–203. [Google Scholar] [CrossRef] [PubMed]
- Huo, Q.; Margolese, D.I.; Ciesla, U.; Demuth, D.G.; Feng, P.; Gier, T.E.; Sieger, P.; Firouzi, A.; Chmelka, B.F.; Schüth, F.; et al. Organization of organic molecules with inorganic molecular species into nanocomposite biphase arrays. Chem. Mater. 1994, 6, 1176–1191. [Google Scholar] [CrossRef]
- Kanatzidis, M.G. Beyond silica: Nonoxidic mesostructured materials. Adv. Mater. 2007, 19, 1165–1181. [Google Scholar] [CrossRef]
- Yamauchi, Y.; Kuroda, K. Rational design of mesoporous metals and related nanomaterials by a soft-template approach. Chem. Asian J. 2008, 3, 664–676. [Google Scholar] [CrossRef] [PubMed]
- Stein, A.; Fendorf, M.; Jarvie, T.P.; Mueller, K.T.; Benesi, A.J.; Mallouk, T.E. Salt-gel synthesis of porous transition-metal oxides. Chem. Mater. 1995, 7, 304–313. [Google Scholar] [CrossRef]
- Janauer, G.G.; Dobley, A.; Guo, J.; Zavalij, P.; Whittingham, M.S. Novel tungsten, molybdenum, and vanadium oxides containing surfactant ions. Chem. Mater. 1996, 8, 2096–2101. [Google Scholar] [CrossRef]
- Taguchi, A.; Abe, T.; Iwamoto, M. Non-silica-based mesostructured materials: hexagonally mesostructured array of surfactant micelles and 11-tungstophosphoric heteropoly anions. Adv. Mater. 1998, 10, 667–669. [Google Scholar] [CrossRef]
- Landsmann, S.; Lizandara-Pueyo, C.; Polarz, S. A new class of surfactants with multinuclear, inorganic head groups. J. Am. Chem. Soc. 2010, 132, 5315–5321. [Google Scholar] [CrossRef] [PubMed]
- Zhang, G.; Ke, H.; He, T.; Xiao, D.; Chen, Z.; Yang, W.; Yao, J. Synthesis and characterization of new layered polyoxometallates–1,10-decanediamine intercalative nanocomposites. J. Mater. Res. 2004, 19, 496–500. [Google Scholar] [CrossRef]
- Janauer, G.G.; Dobley, A.D.; Zavalij, P.Y.; Whittingham, M.S. Evidence for decavanadate clusters in the lamellar surfactant ion phase. Chem. Mater. 1997, 9, 647–649. [Google Scholar] [CrossRef]
- Spahr, M.E.; Nesper, R. Anhydrous octamolybdate with trimethyl hexadecyl ammonium cations. Z. Anorg. Allg. Chem. 2001, 627, 2133–2138. [Google Scholar] [CrossRef]
- Nyman, M.; Ingersoll, D.; Singh, S.; Bonhomme, F.; Alam, T.M.; Brinker, C.J.; Rodriguez, M.A. Comparative study of inorganic cluster-surfactant arrays. Chem. Mater. 2005, 17, 2885–2895. [Google Scholar] [CrossRef]
- Nyman, M.; Rodriguez, M.A.; Anderson, T.M.; Ingersoll, D. Two structures toward understanding evolution from surfactant-polyoxometalate lamellae to surfactant-encapsulated polyoxometalates. Cryst. Growth Des. 2009, 9, 3590–3597. [Google Scholar] [CrossRef]
- Yin, P.; Wu, P.; Xiao, Z.; Li, D.; Bitterlich, E.; Zhang, J.; Cheng, P.; Vezenov, D.V.; Liu, T.; Wei, Y. A double-tailed fluorescent surfactant with a hexavanadate cluster as the head group. Angew. Chem. Int. Ed. 2011, 50, 2521–2525. [Google Scholar] [CrossRef]
- Ito, T.; Sawada, K.; Yamase, T. Crystal structure of bis(dimethyldioctadecylammonium) hexamolybdate: a molecular model of Langmuir–Blodgett films. Chem. Lett. 2003, 32, 938–939. [Google Scholar] [CrossRef]
- Ito, T.; Mikurube, K.; Abe, Y.; Koroki, T.; Saito, M.; Iijima, J.; Naruke, H.; Ozeki, T. Hybrid inorganic-organic crystals composed of octamolybdate isomers and pyridinium surfactant. Chem. Lett. 2010, 39, 1323–1325. [Google Scholar] [CrossRef]
- Ito, T.; Fujimoto, N.; Uchida, S.; Iijima, J.; Naruke, H.; Mizuno, N. Polyoxotungstate-surfactant layered crystal toward conductive inorganic-organic hybrid. Crystals 2012, 2, 362–373. [Google Scholar] [CrossRef]
- Ito, T.; Ide, R.; Kosaka, K.; Hasegawa, S.; Mikurube, K.; Taira, M.; Naruke, H.; Koguchi, S. Polyoxomolybdate-surfactant layered crystals derived from long-tailed alkylamine and ionic-liquid. Chem. Lett. 2013, 42, 1400–1402. [Google Scholar] [CrossRef]
- Ito, T. Polyoxometalate-surfactant hybrids as building strategy for two-dimensional molecular arrays. Polyoxometalate Chem. 2012, 1, 6–14. [Google Scholar]
- Ugalde, M.; Gutiérrez-Zorrilla, J.M.; Vitoria, P.; Luque, A.; Wéry, A.S.J.; Román, P. Synthesis, crystal structure, and thermal behavior of organically templated three-dimensional tunnel structures based on α-Keggin phosphododecamolybdate and diazines. Chem. Mater. 1997, 9, 2869–2875. [Google Scholar] [CrossRef]
- Fujio, K.; Ikeda, S. Size of spherical micelles of dodecylpyridinium bromide in aqueous NaBr solutions. Langmuir 1991, 7, 2899–2903. [Google Scholar] [CrossRef]
- Renneke, R.F.; Pasquali, M.; Hill, C.L. Polyoxometalate systems for the catalytic selective production of nonthermodynamic alkenes from alkanes nature of excited-state deactivation processes and control of subsequent thermal processes in polyoxometalate photoredox chemistry. J. Am. Chem. Soc. 1990, 112, 6585–6594. [Google Scholar] [CrossRef]
- Rigaku Corporation. PROCESS-AUTO, Rigaku Corporation: Tokyo, Japan, 2002.
- Palatinus, L.; Chapuis, G. SUPERFLIP—A computer program for the solution of crystal structures by charge flipping in arbitrary dimensions. J. Appl. Cryst. 2007, 40, 786–790. [Google Scholar] [CrossRef]
- Sheldrick, G.M. SHELX97. A short history of SHELX. Acta Cryst. 2008, A64, 112–122. [Google Scholar] [CrossRef]
- Rigaku Corporation. CrystalClear, Rigaku Corporation: Tokyo, Japan, 1999.
- Sheldrick, G.M. SHELX2013. A short history of SHELX. Acta Cryst. 2008, 112, 112–122. [Google Scholar] [CrossRef]
- Rigaku Corporation. CrystalStructure 4.1, Rigaku Corporation: Tokyo, Japan, 2014.
© 2015 by the authors; licensee MDPI, Basel, Switzerland. This article is an open access article distributed under the terms and conditions of the Creative Commons Attribution license (http://creativecommons.org/licenses/by/4.0/).
Share and Cite
Otobe, S.; Fujioka, N.; Hirano, T.; Ishikawa, E.; Naruke, H.; Fujio, K.; Ito, T. Decisive Interactions between the Heterocyclic Moiety and the Cluster Observed in Polyoxometalate-Surfactant Hybrid Crystals. Int. J. Mol. Sci. 2015, 16, 8505-8516. https://doi.org/10.3390/ijms16048505
Otobe S, Fujioka N, Hirano T, Ishikawa E, Naruke H, Fujio K, Ito T. Decisive Interactions between the Heterocyclic Moiety and the Cluster Observed in Polyoxometalate-Surfactant Hybrid Crystals. International Journal of Molecular Sciences. 2015; 16(4):8505-8516. https://doi.org/10.3390/ijms16048505
Chicago/Turabian StyleOtobe, Saki, Natsumi Fujioka, Takuro Hirano, Eri Ishikawa, Haruo Naruke, Katsuhiko Fujio, and Takeru Ito. 2015. "Decisive Interactions between the Heterocyclic Moiety and the Cluster Observed in Polyoxometalate-Surfactant Hybrid Crystals" International Journal of Molecular Sciences 16, no. 4: 8505-8516. https://doi.org/10.3390/ijms16048505
APA StyleOtobe, S., Fujioka, N., Hirano, T., Ishikawa, E., Naruke, H., Fujio, K., & Ito, T. (2015). Decisive Interactions between the Heterocyclic Moiety and the Cluster Observed in Polyoxometalate-Surfactant Hybrid Crystals. International Journal of Molecular Sciences, 16(4), 8505-8516. https://doi.org/10.3390/ijms16048505

