Polyoxygenated Cembrane Diterpenoids from the Soft Coral Sarcophyton ehrenbergi
Abstract
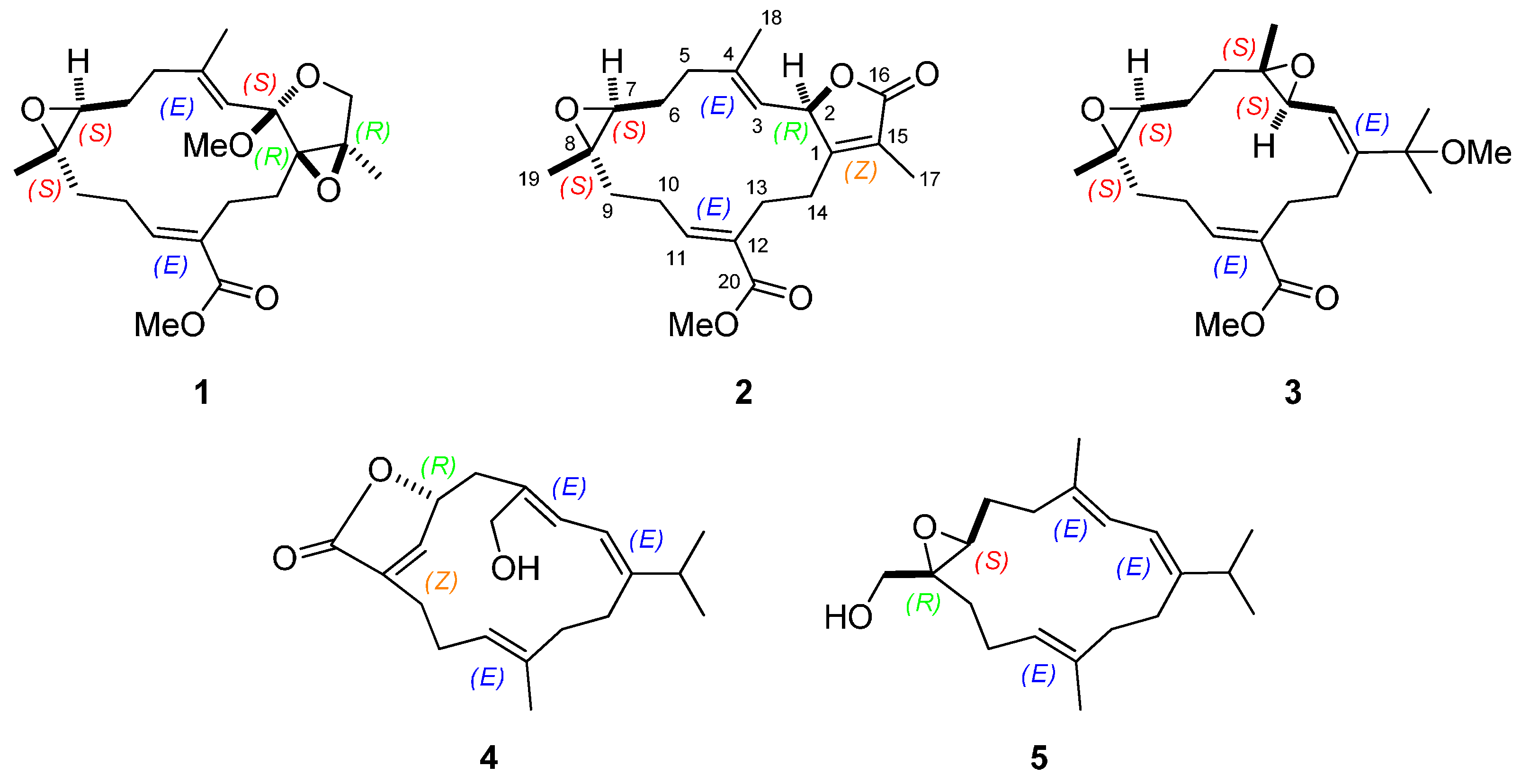
:1. Introduction

2. Results and Discussion

| No. | 1 a | 2 b | 3 a | 4 a | 5 b |
|---|---|---|---|---|---|
| 2 | - | 5.48 d (9.2) c | 5.43 d (8.4) c | 5.89 d (11.2) c | 6.07 d (10.8) c |
| 3 | 5.33 s | 5.22 d (9.2) | 3.53 d (8.4) | 6.29 d (11.2) | 5.98 d (10.8) |
| 5 | a: 2.03 m | a: 2.54 m | a: 2.02 ddd (14.0, 5.6, 2.8) | a: 2.87 m | a: 2.28 m |
| b: 1.95 m | b: 2.19 m | b: 1.08 m | b: 2.83 m | b: 2.24 m | |
| 6 | a: 2.00 m | a: 2.21 m | a: 1.83 m | 5.19 m | a: 1.85 m |
| b: 1.22 m | b: 1.47 m | b: 1.16 m | - | b: 1.79 m | |
| 7 | 2.74 dd (10.0, 3.6) c | 2.57 m | 2.74 dd (10.8, 3.6) | 6.83 br s | 3.01 dd (6.0, 5.6) |
| 9 | a: 1.85 m | a: 2.19 m | a: 1.91 m | a: 2.52 m | a: 2.18 m |
| b: 0.96 dd (16.4, 9.6) | b: 1.08 m | b: 0.80 t (12.4) | b: 2.04 m | b: 1.61 m | |
| 10 | a: 2.09 m | a: 2.59 m | a: 1.84 m | a: 2.31 m | a: 2.18 m |
| b: 1.79 m | b: 2.17 m | b: 1.65 tt (12.4, 6.0) | b: 2.18 m | b: 2.04 m | |
| 11 | 6.85 dd (10.0, 6.8) | 6.80 dd (8.8, 6.4) | 6.83 dd (10.4, 6.4) | 4.66 br d (10.4) | 5.08 br t (6.4) |
| 13 | a: 2.64 td (13.6, 6.4) | a: 2.55 m | a: 2.56 td (12.8, 4.8) | a: 2.22 m | 2.04 m |
| b: 2.49 td (13.6, 3.6) | b: 2.37 m | b: 2.40 td (12.8, 4.8) | b: 2.07 m | - | |
| 14 | a: 2.25 td (13.6, 6.4) | 2.19 m | a: 2.28 td (12.8, 4.8) | a: 2.68 m | 2.29 m |
| b: 1.96 m | - | b: 2.19 td (12.8, 4.8) | b: 1.98 m | - | |
| 15 | - | - | - | - | 2.35 m |
| 16 | a: 3.68 d (10.0) | - | 1.32 s | 1.05 d (6.8) | 1.06 d (6.4) |
| b: 3.38 d (10.0) | - | - | - | - | |
| 17 | 1.11 s | 1.92 s | 1.39 s | 1.14 d (6.8) | 1.07 d (6.4) |
| 18 | 2.00 s | 1.96 s | 1.12 s | a: 4.09 d (13.6) | 1.76 s |
| - | - | - | b: 4.03 d (13.6) | - | |
| 19 | 1.04 s | 1.31 s | 0.93 s | - | a: 3.77 dd (12.0, 6.4) |
| - | - | - | - | b: 3.56 dd (12.0, 4.8) | |
| 20 | - | - | - | 1.51 s | 1.59 s |
| 2-OMe | 3.18 s | - | - | - | - |
| 15-OMe | - | 2.93 s | - | - | |
| 20-OMe | 3.40 s | 3.77 s | 3.40 s | - | - |
| 19-OH | - | - | - | - | 1.62 m |
| No. | 1 a | 2 b | 3 a | 4 b | 5 b |
|---|---|---|---|---|---|
| 1 | 71.7 (qC) c | 161.1 (qC) c | 148.8 (qC) c | 149.3 (qC) c | 148.2 (qC) c |
| 2 | 107.1 (qC) | 78.7 (CH) | 123.7 (CH) | 118.5 (CH) | 118.3 (CH) |
| 3 | 121.9 (CH) | 119.3 (CH) | 60.8 (CH) | 126.1 (CH) | 121.7 (CH) |
| 4 | 144.2 (qC) | 146.9 (qC) | 61.4 (qC) | 130.5 (qC) | 133.7 (qC) |
| 5 | 38.6 (CH2) | 36.8 (CH2) | 36.7 (CH2) | 29.7 (CH2) | 35.7 (CH2) |
| 6 | 25.2 (CH2) | 24.1 (CH2) | 25.3 (CH2) | 81.0 (CH) | 24.9 (CH2) |
| 7 | 61.0 (CH) | 60.9 (CH) | 61.3 (CH) | 148.0 (CH) | 61.8 (CH) |
| 8 | 60.2 (qC) | 60.6 (qC) | 60.9 (qC) | 132.8 (qC) | 62.9 (qC) |
| 9 | 39.2 (CH2) | 37.6 (CH2) | 40.1 (CH2) | 25.9 (CH2) | 32.2 (CH2) |
| 10 | 25.8 (CH2) | 26.6 (CH2) | 26.9 (CH2) | 26.2 (CH2) | 39.1 (CH2) |
| 11 | 141.4 (CH) | 142.7 (CH) | 141.3 (CH) | 125.9 (CH) | 125.6 (CH) |
| 12 | 133.8 (qC) | 130.7 (qC) | 133.1 (qC) | 133.8 (qC) | 135.9 (qC) |
| 13 | 23.2 (CH2) | 24.7 (CH2) | 28.2 (CH2) | 38.2 (CH2) | 22.0 (CH2) |
| 14 | 24.2 (CH2) | 25.9 (CH2) | 27.6 (CH2) | 27.6 (CH2) | 28.4 (CH2) |
| 15 | 64.6 (qC) | 124.5 (qC) | 77.8 (qC) | 33.0 (CH) | 34.7 (CH) |
| 16 | 68.9 (CH2) | 174.6 (qC) | 25.4 (CH3) | 23.4 (CH3) | 22.4 (CH3) |
| 17 | 11.6 (CH3) | 9.1 (CH3) | 25.5 (CH3) | 21.5 (CH3) | 22.1 (CH3) |
| 18 | 16.0 (CH3) | 15.4 (CH3) | 16.4 (CH3) | 68.5 (CH2) | 17.0 (CH3) |
| 19 | 16.1 (CH3) | 16.3 (CH3) | 15.3 (CH3) | 173.6 (qC) | 63.1 (CH2) |
| 20 | 167.4 (qC) | 167.5 (qC) | 167.4 (qC) | 16.3 (CH3) | 17.2 (CH3) |
| 2-OMe | 49.2 (CH3) | - | - | - | - |
| 15-OMe | - | - | 49.9 (CH3) | - | - |
| 20-OMe | 51.2 (CH3) | 51.9 (CH3) | 51.3 (CH3) | - | - |



3. Experimental Section
3.1. General Experimental Procedures
3.2. Animal Material
3.3. Extraction and Isolation
3.4. Cytotoxicity Assay
3.5. Anti-HCMV Assay
4. Conclusions
Supplementary Materials
Acknowledgments
Author Contributions
Conflicts of Interest
References
- Bowden, B.F.; Coll, J.C.; Hicks, W.; Kazlauskas, R.; Mitchell, S.J. Studies of Australian soft corals. X. The isolation of epoxyisoneocembrene-A from Sinularia grayi and isoneocembrene-A from Sarcophyton ehrenbergi. Aust. J. Chem. 1978, 31, 2707–2712. [Google Scholar] [CrossRef]
- König, G.M.; Wright, A.D. New cembranoid diterpenes from the soft coral Sarcophyton ehrenbergi. J. Nat. Prod. 1998, 61, 494–496. [Google Scholar] [CrossRef]
- Shaker, K.H.; Mueller, M.; Ghani, M.A.; Dahse, H.M.; Seifert, K. Terpenes from the soft corals Litophyton arboreum and Sarcophyton ehrenbergi. Chem. Biodivers. 2010, 7, 2007–2015. [Google Scholar] [CrossRef] [PubMed]
- Cheng, S.-Y.; Wang, S.-K.; Chiou, S.-F.; Hsu, C.-H.; Dai, C.-F.; Chiang, M.Y.; Duh, C.-Y. Cembranoids from the octocoral Sarcophyton ehrenbergi. J. Nat. Prod. 2010, 73, 197–203. [Google Scholar] [CrossRef]
- Wang, S.-K.; Hsieh, M.-K.; Duh, C.-Y. Three new cembranoids from the Taiwanese soft coral Sarcophyton ehrenbergi. Mar. Drugs 2012, 10, 1433–1444. [Google Scholar] [CrossRef] [PubMed]
- Wang, S.-K.; Hsieh, M.-K.; Duh, C.-Y. New diterpenoids from soft coral Sarcophyton ehrenbergi. Mar. Drugs 2013, 11, 4318–4327. [Google Scholar] [CrossRef] [PubMed]
- Elkhateeb, A.; El-Beih, A.A.; Gamal-Eldeen, A.M.; Alhammady, M.A.; Ohta, S.; Paré, P.W.; Hegazy, M.F. New terpenes from the Egyptian soft coral Sarcophyton ehrenbergi. Mar. Drugs 2014, 12, 1977–1986. [Google Scholar] [CrossRef] [PubMed]
- Piel, J. Bacterial symbionts: Prospects for the sustainable production of invertebrate-derived pharmaceuticals. Curr. Med. Chem. 2006, 13, 39–50. [Google Scholar] [CrossRef] [PubMed]
- Roengsumran, S.; Achayindee, S.; Petsom, A.; Pudhom, K.; Singtothong, P.; Surachetapan, C.; Vilaivan, T. Two new cembranoids from Croton oblongifolius. J. Nat. Prod. 1998, 61, 652–654. [Google Scholar] [CrossRef] [PubMed]
- Iwashima, M.; Matsumoto, Y.; Takenaka, Y.; Iguchi, K.; Yamori, T. New marine diterpenoids from the Okinawan soft coral Clavularia koellikeri. J. Nat. Prod. 2002, 65, 1441–1446. [Google Scholar] [CrossRef] [PubMed]
- Rodriguez, A.D.; Li, Y.; Dhasmana, H.; Barnes, C. New marine cembrane diterpenoids isolated from the Caribbean gorgonian Eunicea mammosa. J. Nat. Prod. 1993, 56, 1101–1113. [Google Scholar] [CrossRef]
- Pham, N.B.; Butler, M.S.; Quinn, R.J. Naturally occurring cembranes from an Australian Sarcophyton species. J. Nat. Prod. 2002, 65, 1147–1150. [Google Scholar] [CrossRef] [PubMed]
- Gawronski, J.K.; Oeveren, A.; Deen, H.; Leung, C.W.; Feringa, B.L. Simple circular dichroic method for the determination of absolute configuration of 5-substituted 2(5H)-furanones. J. Org. Chem. 1996, 61, 1513–1515. [Google Scholar] [CrossRef]
- Liu, Z.; Li, W.Z.; Peng, L.; Li, Y.; Li, Y. First enantioselective total synthesis of (natural) (+)-11,12-epoxy-11,12-dihydrocembrene-C and (–)-7,8-epoxy-7,8-dihydrocembrene-C. J. Chem. Soc. Perkin Trans. 2000, 24, 4250–4257. [Google Scholar] [CrossRef]
- Gross, H.; Wright, A.D.; Beil, W.; König, G.M. Two new bicyclic cembranolides from a new Sarcophyton species and determination of the absolute configuration of sarcoglaucol-16-one. Org. Biomol. Chem. 2004, 2, 1133–1138. [Google Scholar] [CrossRef] [PubMed]
- Huang, H.-C.; Ahmed, A.F.; Su, J.-H.; Chao, C.-H.; Wu, Y.-C.; Chiang, M.Y.; Sheu, J.-H. Crassocolides A–F, new cembranoids with a trans-fused lactone from the soft coral Sarcophyton crassocaule. J. Nat. Prod. 2006, 69, 1554–1559. [Google Scholar] [CrossRef]
- Zhang, C.; Li, J.; Su, J.; Liang, Y.; Yang, X.; Zheng, K.; Zeng, L. Cytotoxic diterpenoids from the soft coral Sarcophyton crassocaule. J. Nat. Prod. 2006, 69, 1476–1480. [Google Scholar] [CrossRef] [PubMed]
- Feller, M.; Rudi, A.; Berer, N.; Goldberg, I.; Stein, Z.; Benayahu, Y.; Schleyer, M.; Kashman, Y. Isoprenoids of the soft coral Sarcophyton glaucum: Nyalolide, a new biscembranoid, and other terpenoids. J. Nat. Prod. 2004, 67, 1303–1308. [Google Scholar] [CrossRef] [PubMed]
- El Sayed, K.A.; Hamann, M.T.; Waddling, C.A.; Jensen, C.; Lee, S.K.; Dunstan, C.A.; Pezzuto, J.M. Structurally novel bioconversion products of the marine natural product sarcophine effectively inhibit JB6 cell transformation. J. Org. Chem. 1998, 63, 7449–7455. [Google Scholar] [CrossRef] [PubMed]
- Yan, X.-H.; Gavagnin, M.; Cimino, G.; Guo, Y.-W. Two new biscembranes with unprecedented carbon skeleton and their probable biogenetic precursor from the Hainan soft coral Sarcophyton latum. Tetrahedron Lett. 2007, 48, 5313–5316. [Google Scholar] [CrossRef]
- Cheng, Y.-B.; Shen, Y.-C.; Kuo, Y.-H.; Khalil, A.T. Cembrane diterpenoids from the Taiwanese soft coral Sarcophyton stolidotum. J. Nat. Prod. 2008, 71, 1141–1145. [Google Scholar] [CrossRef] [PubMed]
- Iwagawa, T.; Nakamura, S.; Masuda, T.; Okamura, H.; Nakatani, M.; Siro, M. Irregular cembranoids containing a 13-membered carbocyclic skeleton isolated from a soft coral, Sarcophyton species. Tetrahedron 1995, 51, 5291–5298. [Google Scholar] [CrossRef]
- Sawant, S.; Youssef, D.; Mayer, A.; Sylvester, P.; Wali, V.; Arant, M.; el Sayed, K.A. Anticancer and anti-inflammatory sulfur-containing semisynthetic derivatives of sarcophine. Chem. Pharm. Bull. 2006, 54, 1119–1123. [Google Scholar] [CrossRef] [PubMed]
- Cuong, N.X.; Tuan, T.A.; Kiem, P.V.; Minh, C.V.; Choi, E.M.; Kim, Y.H. New cembranoid diterpenes from the Vietnamese soft coral Sarcophyton mililatensis stimulate osteoblastic differentiation in MC3T3-E1 cells. Chem. Pharm. Bull. 2008, 56, 988–992. [Google Scholar] [CrossRef] [PubMed]
- Badria, F.A.; Guirguis, A.N.; Perovic, S.; Steffen, R.; Müller, W.E.G.; Schröder, H.C. Sarcophytolide: A new neuroprotective compound from the soft coral Sarcophyton glaucum. Toxicology 1998, 131, 133–143. [Google Scholar] [CrossRef] [PubMed]
- Sawant, S.; Youssef, D.; Reiland, J.; Ferniz, M.; Marchtti, D.; El Sayed, K.A. Biocatalytic and antimetastatic studies of the marine cembranoids sarcophine and 2-epi-16-deoxysarcophine. J. Nat. Prod. 2006, 69, 1010–1013. [Google Scholar] [CrossRef] [PubMed]
- Bishara, A.; Rudi, A.; Benayahu, Y.; Kashman, Y. Three biscembranoids and their monomeric counterpart cembranoid, a biogenetic Diels-Alder precursor, from the soft coral Sarcophyton elegans. J. Nat. Prod. 2007, 70, 1951–1954. [Google Scholar] [CrossRef] [PubMed]
- Geran, R.I.; Greenberg, N.H.; MacDonald, M.M.; Schumacher, A.M.; Abbott, B.J. Protocols for screening chemical agents and natural products against animal tumors and other biological syatems. Cancer Chemother. Rep. 1972, 3, 1–91. [Google Scholar]
- Hou, R.-S.; Duh, C.-Y.; Chiang, M.Y.; Lin, C.-N. Sinugibberol, a new cytotoxic cembranoid diterpene from the soft coral Sinularia gibberosa. J. Nat. Prod. 1995, 58, 1126–1130. [Google Scholar] [CrossRef] [PubMed]
- Stevens, M.; Balzarini, J.; Tabarrini, O.; Andrei, G.; Snoeck, R.; Cecchetti, V.; Fravolini, A.; de Clercq, E.; Pannecouque, C. Cell-dependent interference of a series of new 6-aminoquinolone derivatives with viral (HIV/CMV) transactivation. J. Antimicrob. Chemother. 2005, 56, 847–855. [Google Scholar] [CrossRef] [PubMed]
© 2015 by the authors; licensee MDPI, Basel, Switzerland. This article is an open access article distributed under the terms and conditions of the Creative Commons Attribution license (http://creativecommons.org/licenses/by/4.0/).
Share and Cite
Cheng, S.-Y.; Wang, S.-K.; Hsieh, M.-K.; Duh, C.-Y. Polyoxygenated Cembrane Diterpenoids from the Soft Coral Sarcophyton ehrenbergi. Int. J. Mol. Sci. 2015, 16, 6140-6152. https://doi.org/10.3390/ijms16036140
Cheng S-Y, Wang S-K, Hsieh M-K, Duh C-Y. Polyoxygenated Cembrane Diterpenoids from the Soft Coral Sarcophyton ehrenbergi. International Journal of Molecular Sciences. 2015; 16(3):6140-6152. https://doi.org/10.3390/ijms16036140
Chicago/Turabian StyleCheng, Shi-Yie, Shang-Kwei Wang, Mu-Keng Hsieh, and Chang-Yih Duh. 2015. "Polyoxygenated Cembrane Diterpenoids from the Soft Coral Sarcophyton ehrenbergi" International Journal of Molecular Sciences 16, no. 3: 6140-6152. https://doi.org/10.3390/ijms16036140
APA StyleCheng, S.-Y., Wang, S.-K., Hsieh, M.-K., & Duh, C.-Y. (2015). Polyoxygenated Cembrane Diterpenoids from the Soft Coral Sarcophyton ehrenbergi. International Journal of Molecular Sciences, 16(3), 6140-6152. https://doi.org/10.3390/ijms16036140
