Quantitative Proteomics Analysis of Herbaceous Peony in Response to Paclobutrazol Inhibition of Lateral Branching
Abstract
:1. Introduction
2. Results
2.1. Morphological Indices


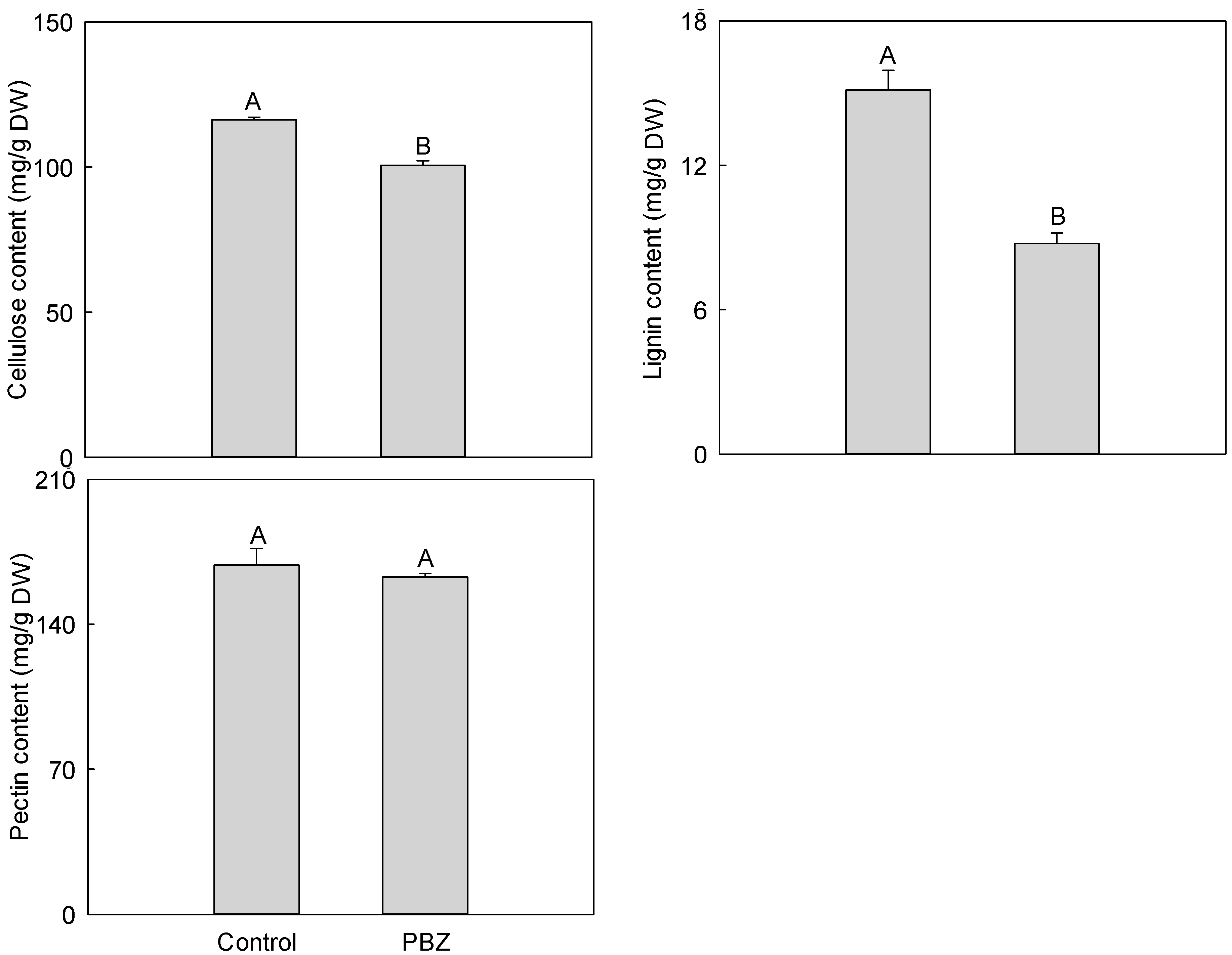
2.2. Microstructures and Cell Wall Materials



2.3. Protein Identification


2.4. Comparative Analysis of DEPs between Control and PBZ Application

2.5. Screening of Candidate DEPs Associated with the Growth Inhibition of Lateral Branches

3. Discussion
3.1. Defense and Stress Response
3.2. Hormone-Related Proteins
3.3. Carbohydrate Transport and Metabolism
3.4. Lipid Transport and Metabolism
3.5. Protein Transport and Metabolism
3.6. Energy Metabolism
3.7. Cell Structure-Related Proteins
3.8. Cell Wall Metabolism
4. Experimental Section
4.1. Plant Materials
4.2. Microstructures Observation
4.3. Cell Wall Materials Fractionation and Determination
4.4. Protein Extraction and Quantification
4.5. iTRAQ Labeling and Strong Cation Exchange (SCX) Fractionation
4.6. LC-ESI-MS/MS Analysis Based on Triple TOF 5600
4.7. Database Search and Quantification
4.8. Bioinformatics and Annotations
4.9. Quantitative RT-PCR (Q-PCR) for Identified Proteins

5. Conclusions
Supplementary Materials
Acknowledgments
Author Contributions
Conflicts of Interest
References
- Stevens, S.; Stevens, A.B.; Gast, K.L.B.; O’Mara, J.A.; Tisserat, N.A.; Bauernfeind, R. Commercial specialty cut flower production, peonies. Cooperative Extension Service, Kansas State University: Manhattan, KS, USA, 1993. Available online: http://www.oznet.ksu.edu/library/hort2/mf1083.pdf (accessed on 1 March 2012).
- Me, Z. Effects of removing lateral buds and spraying calcium on qualities of peony cut flowers. Master Thesis, Chinese Academy of Forestry, Beijing, June 2012. Available online: http://cdmd.cnki.com.cn/Article/CDMD-82201-1012423671.htm (accessed on 1 January 2015). [Google Scholar]
- Baninasab, B.; Ghobadi, C. Influence of paclobutrazol and application methods on high-temperature stress injury in cucumber seedlings. J. Plant Growth Regul. 2011, 30, 213–219. [Google Scholar] [CrossRef]
- Carver, S.T.; Arnold, M.A.; Byrne, D.H.; Armitage, A.R.; Lineberger, R.D.; King, A.R. Growth and flowering responses of sea marigold to daminozide, paclobutrazol, or uniconazole applied as drenches or sprays. J. Plant Growth Regul. 2014, 33, 626–631. [Google Scholar] [CrossRef]
- Saxena, P.; Singh, V.K.; Pathak, N. Antioxidative enzymes and biochemical changes in paclobutrazol induced flowering in mango (M. indica) cultivars. J. Environ. Biol. 2014, 35, 1061–1066. [Google Scholar] [PubMed]
- Xu, G.; Luo, R.; Yao, Y. Paclobutrazol improved the reproductive growth and the quality of seed oil of Jatropha curcas. J. Plant Growth Regul. 2013, 32, 875–883. [Google Scholar] [CrossRef]
- Wang, N.; Han, Y.; Zhang, W. Effects of paclobutrazol of different concentration on growth of Paeonia lactiflora. For. Sci. Technol. Inf. 2014, 46, 16–17. [Google Scholar]
- Chen, X.Y.; Xue, W.H. Plant growth and regulation. In Plant Physiology and Molecular Biology, 3rd ed.; Chen, X.Y., Xue, W.H., Eds.; Higher Education Press: Beijing, China, 2012; pp. 406–523. [Google Scholar]
- Lin, H.; Wang, R.; Qian, Q.; Yan, M.X.; Meng, X.B.; Fu, Z.M.; Yan, C.; Jiang, B.; Su, Z.; Li, J.; et al. DWARF27, an iron-containing protein required for the biosynthesis of strigolactones, regulates rice tiller bud outgrowth. Plant Cell 2009, 21, 1512–1525. [Google Scholar] [CrossRef] [PubMed]
- Arite, T.; Umehara, M.; Ishikawa, S.; Hanada, A.; Maekawa, M.; Yamaguchi, S.; Kyozuka, J. d14, a strigolactone-insensitive mutant of rice, shows an accelerated outgrowth of tillers. Plant Cell Physiol. 2009, 50, 1416–1424. [Google Scholar] [CrossRef] [PubMed]
- Wang, R.L.; Stec, A.; Hey, J.; Lukens, L.; Doebley, J. The limits of selection during maize domestication. Nature 1999, 398, 253–279. [Google Scholar]
- Chen, X.; Zhou, X.; Xi, L.; Li, J.; Zhao, R. Roles of DgBRC1 in regulation of lateral branching in chrysanthemum (Dendranthema × grandiflora cv. Jinba). PLoS ONE 2013, 8, e61717. [Google Scholar] [CrossRef] [PubMed]
- Aguilar-Martínez, J.A.; Poza-Carrió, C.; Cubas, P. Arabidopsis BRANCHED1 acts as an integrator of branching signals within axillary buds. Plant Cell 2007, 19, 458–472. [Google Scholar] [CrossRef] [PubMed]
- Minakuchi, K.; Kameoka, H.; Yasuno, N.; Umehara, M.; Luo, L.; Kobayashi, K.; Hanada, A.; Ueno, K.; Asami, T.; Yamaguchi, S.; et al. FINE CULM1 (FC1) works downstream of strigolactones to inhibit the outgrowth of axillare buds in rice. Plant Cell Physiol. 2010, 51, 1127–1135. [Google Scholar] [CrossRef] [PubMed]
- Ma, C.; Zhou, J.; Chen, G.; Bian, Y.; Lv, D.; Li, X.; Wang, Z.; Yan, Y. iTRAQ-based quantitative proteome and phosphoprotein characterization reveals the central metabolism changes involved in wheat grain development. BMC Genom. 2014, 15. [Google Scholar] [CrossRef] [PubMed]
- Ge, P.; Hao, P.; Cao, M.; Guo, G.; Lv, D.; Subburaj, S.; Li, X.; Yan, X.; Xiao, J.; Ma, W.; et al. iTRAQ-based quantitative proteomic analysis reveals new metabolic pathways of wheat seedling growth under hydrogen peroxide stress. Proteomics 2013, 13, 3046–3058. [Google Scholar] [CrossRef] [PubMed]
- Molloy, M.P.; Herbert, B.R.; Walsh, B.J.; Tyler, M.I.; Traini, M.; Sanchez, J.C.; Hochstrasser, D.F.; Williams, K.L.; Gooley, A.A. Extraction of membrane proteins by differential solubilization for separation using two-dimensional gel electrophoresis. Electrophoresis 1998, 19, 837–844. [Google Scholar] [CrossRef] [PubMed]
- Ma, Q.; Wu, M.; Pei, W.; Li, H.; Li, X.; Zhang, J.; Yu, J.; Yu, S. Quantitative phosphoproteomic profiling of fiber differentiation and initiation in a fiberless mutant of cotton. BMC Genom. 2014, 15. [Google Scholar] [CrossRef] [PubMed]
- Liu, R.; Chen, S.; Jiang, J.; Zhu, L.; Zheng, C.; Han, S.; Gu, J.; Sun, J.; Li, H.; Wang, H.; et al. Proteomic changes in the base of chrysanthemum cuttings during adventitious root formation. BMC Genom. 2013, 14. [Google Scholar] [CrossRef] [PubMed]
- Wiese, S.; Reidegeld, K.A.; Meyer, H.E.; Warscheid, B. Protein labeling by iTRAQ: A new tool for quantitative mass spectrometry in proteome research. Proteomics 2007, 7, 340–350. [Google Scholar] [CrossRef] [PubMed]
- Zieske, L.R. A perspective on the use of iTRAQ™ reagent technology for protein complex and profiling studies. J. Exp. Bot. 2006, 57, 1501–1508. [Google Scholar] [CrossRef] [PubMed]
- Ali, A.; Alexandersson, E.; Sandin, M.; Resjö, S.; Lenman, M.; Hedley, P.; Levander, F.; Andreasson, E. Quantitative proteomics and transcriptomics of potato in response to Phytophthora infestans in compatible and incompatible interactions. BMC Genom. 2014, 15. [Google Scholar] [CrossRef] [PubMed]
- Cao, S.X.; Zhang, C.; Tang, Y.F.; Qi, H.Y. Protein characteristic of the plant lipoxygenase and the function on fruit ripening and senescence and adversity stress. Plant Physiol. J. 2014, 50, 1096–1108. [Google Scholar]
- Bhaduri, A.M.; Fulekar, M.H. Antioxidant enzyme responses of plants to heavy metal stress. Rev. Environ. Sci. Biotechnol. 2012, 11, 55–69. [Google Scholar] [CrossRef]
- Jin, H.; Huang, F.; Cheng, H.; Song, H.; Yu, D. Overexpression of the GmNAC2 gene, an NAC transcription factor, reduces abiotic stress tolerance in tobacco. Plant Mol. Biol. Rep. 2013, 31, 435–442. [Google Scholar] [CrossRef]
- Morimoto, R.I.; Santoro, M.G. Stress-inducible responses and heat shock proteins: New pharmacologic targets for cytoprotection. Nat. Biotechnol. 1998, 16, 833–838. [Google Scholar] [CrossRef] [PubMed]
- Zhang, L.; Zhang, Q.; Gao, Y.; Pan, H.; Shi, S.; Wang, Y. Overexpression of heat shock protein gene PfHSP21.4 in Arabidopsis thaliana enhances heat tolerance. Acta Physiol. Plant. 2014, 36, 1555–1564. [Google Scholar] [CrossRef]
- Yang, S.F.; Hoffman, N.E. Ethylene biosynthesis and its regulation in higher plants. Annu. Rev. Plant Physiol. 1984, 35, 155–189. [Google Scholar] [CrossRef]
- Wang, Z. Plant growth substances, the structure and function of plant cells. In Plant Physiology, 3rd ed.; Wang, Z., Ed.; China Agriculture Publishing House: Beijing, China, 2000; pp. 11–219. [Google Scholar]
- Park, S.; Han, K.H. An auxin-repressed gene (RpARP) from black locus (Robinia pseudoacacia) is posttranscriptionally regulated and negatively associated with shoot elongation. Tree Physiol. 2003, 23, 815–823. [Google Scholar] [CrossRef] [PubMed]
- Maurel, C.; Verdoucq, L.; Luu, D.T.; Véronique, S. Plant aquaporins: Membrane channels with multiple integrated functions. Annu. Rev. Plant Biol. 2008, 59, 595–624. [Google Scholar] [CrossRef] [PubMed]
- Liu, X.; Zhao, Z.X.; Wang, F.; Qin, C.; Sui, S.Z.; Li, M.Y. Changes in transcription level of the aquaporin gene CpAQP1 from Chimonanthus praecox and the cloning of its promoter. J. Southwest Univ. 2014, 36, 48–55. [Google Scholar]
- Ahamed, A.; Murai-Hatano, M.; Ishikawa-Sakurai, J.; Hayashi, H.; Kawamura, Y.; Uemura, M. Cold stress-induced acclimation in rice is mediated by root-specific aquaporins. Plant Cell Physiol. 2012, 53, 1445–1456. [Google Scholar] [CrossRef] [PubMed]
- Zhao, P.; Wang, D.L. Study on the effect of phospholipase D on the freezing tolerance of Arabidopsis thaliana. Chin. Agric. Sci. Bull. 2011, 27, 107–111. [Google Scholar]
- Li, Y.; Han, B.; Li, W.Q. Suppression of phospholipase Dδ enhances the membrane damage induced by UV-B irradiation. Plant Divers. Resour. 2011, 33, 27–31. [Google Scholar]
- Smalle, J.; Vierstra, R.D. The ubiquitin 26S proteasome proteolytic pathway. Annu. Rev. Plant Biol. 2004, 55, 555–590. [Google Scholar] [CrossRef] [PubMed]
- Guo, C.F.; Sun, Y.; Lai, C.C.; Zhang, M.Q. Proteomic analysis of tea leaf under polyethylene glycol stress. J. Tea Sci. 2009, 29, 79–88. [Google Scholar]
- Jan, A.; Yang, G.; Nakamura, H.; Ichikawa, H.; Kitano, H.; Matsuoka, M.; Matsumoto, H.; Komatsu, S. Characterization of a xyloglucan endotransglucosylase gene that is up-regulated by gibberellin in rice. Plant Physiol. 2004, 136, 3670–3681. [Google Scholar] [CrossRef] [PubMed]
- Qin, Z.X.; Yang, Y.M.; Zhang, C.H.; Xu, C.N.; Zhai, Z.X. Cloning and analysis of cDNA related to the genes of secondary wall thickening of cotton (Gossypium hirsutum L.) fiber. Acta Agron. Sin. 2003, 29, 860–866. [Google Scholar]
- Pantaloni, D.; Clainche, C.L.; Carlier, M.F. Mechanism of actin-based motility. Science 2001, 292, 1502–1506. [Google Scholar] [CrossRef] [PubMed]
- Wang, Z.; Wu, Z.; Jian, J.; Lu, Y. Cloning and expression of an actin gene in the haemocytes of pearl oyster (Pinctada fucata, Gould 1850). Mar. Genom. 2008, 1, 63–67. [Google Scholar] [CrossRef] [PubMed]
- Humphreys, J.M.; Chapple, C. Rewriting the lignin roadmap. Curr. Opin. Plant Biol. 2002, 5, 224–229. [Google Scholar] [CrossRef]
- Mei, X.H.; Hao, Y.L.; Zhu, H.L.; Gao, H.Y.; Luo, Y.B. Cloning of pectin methylesterase inhibitor from kiwi fruit and its high expression in Pichia pastoris. Enzym. Microb. Technol. 2007, 4, 1001–1005. [Google Scholar] [CrossRef]
- Fujii, S.; Hayashi, T.; Mizuno, K. Sucrose synthase is an integral component of the cellulose synthesis machinery. Plant Cell Physiol. 2010, 51, 294–301. [Google Scholar] [CrossRef] [PubMed]
- Zhang, G.; Qi, J.; Xu, J.; Niu, X.; Zhang, Y.; Tao, A.; Zhang, L.; Fang, P.; Lin, L. Overexpression of UDP-glucose pyrophosphorylase gene could increase cellulose content in Jute (Corchorus capsularis L.). Biochem. Biophys. Res. Commun. 2013, 442, 153–158. [Google Scholar] [CrossRef] [PubMed]
- Rose, J.K.; Hadfield, K.A.; Labavitch, J.M.; Bennet, A.B. Temporal sequence of cell wall disassembly in rapidly ripening melon fruit. Plant Physiol. 1998, 117, 345–361. [Google Scholar] [CrossRef] [PubMed]
- Updegraff, D.M. Semimicro determination of cellulose inbiological materials. Anal. Biochem. 1969, 32, 420–424. [Google Scholar] [CrossRef]
- Müsel, G.; Schindler, T.; Bergfeld, R.; Ruel, K.; Jacquet, G.; Lapierre, C.; Speth, V.; Schopfer, P. Structure and distribution of lignin in primary and secondary cell walls of maize coleoptiles analyzed by chemical and immunological probes. Planta 1997, 201, 146–159. [Google Scholar] [CrossRef]
- Blumenkrantz, N.; Asboe-Hansen, G. New method for quantitative determination of uronic acids. Anal. Biochem. 1973, 54, 484–489. [Google Scholar] [CrossRef]
- Majumder, K.; Mazumdar, B.C. Changes of pectic substances in developing fruits of cape-gooseberry (Physalis peruviana L.) in relation to the enzyme activity and evolution of ethylene. Sci. Hortic. 2002, 96, 91–101. [Google Scholar] [CrossRef]
- Conesa, A.; Gotz, S.; Garcia-Gomez, J.M.; Terol, J.; Talon, M.; Robles, M. Blast2GO: A universal tool for annotation, visualization and analysis in functional genomics research. Bioinformatics 2005, 21, 3674–3676. [Google Scholar] [CrossRef] [PubMed]
- Zhao, D.Q.; Zhou, C.H.; Tao, J. Carotenoid accumulation and carotenogenic genes expression during two types of persimmon fruit (Diospyros kaki L.) development. Plant Mol. Biol. Rep. 2011, 29, 646–654. [Google Scholar] [CrossRef]
- Zhao, D.Q.; Tao, J.; Han, C.X.; Ge, J.T. An actin gene as the internal control for gene expression analysis in herbaceous peony (Paeonia lactiflora Pall.). Afr. J. Agric. Res. 2012, 7, 2153–2159. [Google Scholar]
- Schmittgen, T.D.; Livak, K.J. Analyzing real-time PCR data by the comparative CT method. Nat. Protoc. 2008, 36, 1101–1108. [Google Scholar] [CrossRef]
© 2015 by the authors; licensee MDPI, Basel, Switzerland. This article is an open access article distributed under the terms and conditions of the Creative Commons Attribution license (http://creativecommons.org/licenses/by/4.0/).
Share and Cite
Zhao, D.; Gong, S.; Hao, Z.; Meng, J.; Tao, J. Quantitative Proteomics Analysis of Herbaceous Peony in Response to Paclobutrazol Inhibition of Lateral Branching. Int. J. Mol. Sci. 2015, 16, 24332-24352. https://doi.org/10.3390/ijms161024332
Zhao D, Gong S, Hao Z, Meng J, Tao J. Quantitative Proteomics Analysis of Herbaceous Peony in Response to Paclobutrazol Inhibition of Lateral Branching. International Journal of Molecular Sciences. 2015; 16(10):24332-24352. https://doi.org/10.3390/ijms161024332
Chicago/Turabian StyleZhao, Daqiu, Saijie Gong, Zhaojun Hao, Jiasong Meng, and Jun Tao. 2015. "Quantitative Proteomics Analysis of Herbaceous Peony in Response to Paclobutrazol Inhibition of Lateral Branching" International Journal of Molecular Sciences 16, no. 10: 24332-24352. https://doi.org/10.3390/ijms161024332
APA StyleZhao, D., Gong, S., Hao, Z., Meng, J., & Tao, J. (2015). Quantitative Proteomics Analysis of Herbaceous Peony in Response to Paclobutrazol Inhibition of Lateral Branching. International Journal of Molecular Sciences, 16(10), 24332-24352. https://doi.org/10.3390/ijms161024332
