Synthesis, Anticonvulsant, Sedative and Anxiolytic Activities of Novel Annulated Pyrrolo[1,4]benzodiazepines
Abstract
:1. Introduction

2. Results and Discussion
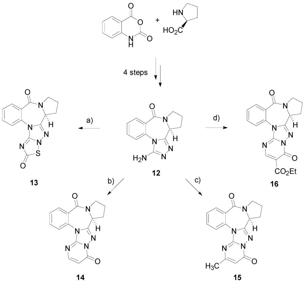
2.1. Synthesis
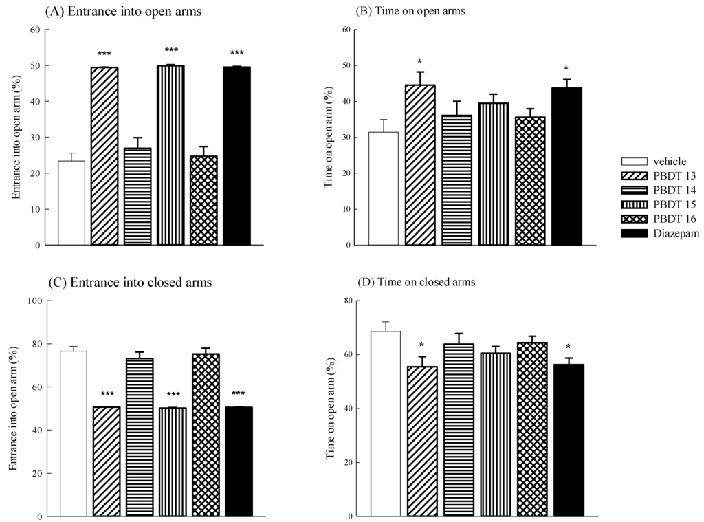
2.2. Biology

| Treatment | Dose (mg/kg) | Picrotoxin | Strychnine | ||
|---|---|---|---|---|---|
| Latency (s) | Duration (s) | Latency (s) | Duration (s) | ||
| Vehicle | – | 294.4 ± 26.6 | 182.9 ± 14.3 | 304.6 ± 12.4 | 184.7 ± 14.9 |
| PBDT 13 | 1 | 377.0 ± 28.1 * | 445.7 ± 29.2 *** | 260.6 ± 23.3 | 266.8 ± 7.9 *** |
| PBDT 14 | 1 | 297.5 ± 3.2 | 181.1 ± 36.3 | 357.5 ± 30.5 | 325.5 ± 4.6 *** |
| PBDT 15 | 1 | 312.8 ± 11.2 | 395.8 ± 38.9 *** | 304.6 ± 21.7 | 171.6 ± 6.1 |
| PBDT 16 | 1 | 313.0 ± 18.7 | 296.9 ± 35.6 * | 313.0 ± 18.7 | 185.6 ± 2.0 |
| Diazepam | 1 | 440.5 ± 20.1 ** | 481.1 ± 18.7 *** | 367.1 ± 31.0 * | 459.7 ± 24.0 *** |


3. Experimental Section
3.1. General
3.2. Animals
3.3. Picrotoxin- or Strychnine-Induced Convulsion in Mice
3.4. Pentobarbital-Induced Hypnotic Model in Mice
3.5. Elevated Plus Maze in Mice
3.6. Statistical Analysis
4. Conclusions
Acknowledgments
Author Contributions
Conflicts of Interest
References
- Mohler, H.; Okada, T. Benzodiazepine receptor: Demonstration in the central nervous system. Science 1977, 198, 849–851. [Google Scholar]
- Mombereau, C.; Kaupmann, K.; van der Putten, H.; Cryan, J.F. Altered response to benzodiazepine anxiolytics in mice lacking GABAB(1) receptors. Eur. J. Pharmacol. 2004, 497, 119–120. [Google Scholar]
- Basile, A.S.; Lippa, A.S.; Skolnick, P. Anxioselective anxiolytics: Can less be more? Eur. J. Pharmacol. 2004, 500, 441–451. [Google Scholar]
- Berezhnoy, D.; Nyfeler, Y.; Gonthier, A.; Schwob, H.; Goeldner, M.; Sigel, E. On the benzodiazepine binding pocket in GABAA receptors. J. Biol. Chem. 2004, 279, 3160–3168. [Google Scholar]
- Brandão, M.L.; de Aguiar, J.C.; Graeff, F.G. GABA mediation of the anti-aversive action of minor tranquilizers. Pharmacol. Biochem. Behav. 1982, 16, 397–402. [Google Scholar]
- Thomas, A.W. A concise route to triazolobenzodiazepine derivatives via a one-pot alkyne-azide cycloaddition reaction. Bioorg. Med. Chem. Lett. 2002, 12, 1881–1884. [Google Scholar]
- Rogers-Evans, M.; Spurr, P.; Hennig, M. The isolation and use of a benzodiazepine iminochloride for the efficient construction of flumazenil. Tetrahedron Lett. 2003, 44, 2425–2428. [Google Scholar]
- Broggini, G.; Molteni, G.; Terraneo, A.; Zecchi, G. A facile synthesis of flumazenil analogues. Tetrahedron 1999, 55, 14803–14806. [Google Scholar]
- Gu, Z.Q.; Wong, G.; Dominguez, C.; de Costa, B.R.; Rice, K.C.; Skolnick, P. Synthesis and evaluation of imidazo[1,5-a][1,4]benzodiazepine esters with high affinities and selectivities at “diazepam-insensitive” benzodiazepine receptors. J. Med. Chem. 1993, 36, 1001–1006. [Google Scholar]
- Brabcová, R.; Kubová, H.; Velíšek, L.; Mareš, P. Effects of a benzodiazepine, bretazenil (Ro 16-6028), on rhythmic metrazol EEG activity: Comparison with standard anticonvulsants. Epilepsia 1993, 34, 1135–1140. [Google Scholar]
- Thurston, D.E. Molecular Aspects of Anticancer Drug DNA Interactions; Neidle, D., Waring, M.J., Eds.; The Macmillan Press Ltd.: London, UK, 1993; p. 54. [Google Scholar]
- Tendler, M.D.; Korman, S. “Refuin”: A non-cytotoxic carcinostatic compound proliferated by a thermophilic actinomycete. Nature 1963, 199, 501. [Google Scholar]
- Hurley, L.H.; Petrusek, R. Proposed structure of the anthramycin–DNA adduct. Nature 1979, 282, 529–531. [Google Scholar]
- Thurston, D.E. Advances in the study of pyrrolo [2,1-c][1,4]-benzodiazepine (PBD) antitumour antibiotics. In Molecular Aspects of Anticancer Drug-DNA Interactions; Neidle, S., Waring, M.J., Eds.; The Macmillan Press Ltd.: London, UK, 1993; pp. 54–88. [Google Scholar]
- Broggini, G.; de Marchi, I.; Martinelli, M.; Paladino, G.; Pilati, T.; Terraneo, A. Effective synthesis of enantiopure [1,2,3]triazolo[1,5-a]- and pyrazolo[1,5-a]-pyrrolo[2,1-c][1,4]benzodiazepines by diastereoselective intramolecular azide and nitrilimine cycloadditions. Synthesis 2005, 2246–2252. [Google Scholar]
- Hunkeler, W. Benzodiazepines, the story of the antagonist flumazenil and of the partial agonist bretazenil. Chimia 1993, 47, 141–147. [Google Scholar]
- Goetz, M.A.; Lopez, M.; Monaghan, R.L.; Chang, R.S.L.; Lotti, V.J.; Chen, T.B. Asperlicin, a novel non-peptidal cholecystokinin antagonist from Aspergillus alliaceus. J. Antibiot. 1985, 38, 1633–1637. [Google Scholar]
- Chang, R.S.L.; Lotti, V.J.; Monaghan, R.L.; Birnbaum, J.; Stapley, E.O.; Goetz, M.A.; Albers-Schonberg, G.; Patchett, A.A.; Liesch, J.M.; Hensens, O.D.; et al. A potent nonpeptide cholecystokinin antagonist selective for peripheral tissues isolated from Aspergillus alliaceus. Science 1985, 230, 177–179. [Google Scholar]
- Joshi, B.K.; Gloer, J.B.; Wicklow, D.T.; Dowd, P.F. Sclerotigenin: A New antiinsectan benzodiazepine from the sclerotia of Penicillium sclerotigenum. J. Nat. Prod. 1999, 62, 650–652. [Google Scholar]
- Dai, J.R.; Carté, B.K.; Sidebottom, P.J.; Yew, A.L.S.; Ng, S.W.; Huang, Y.; Butler, M.S. Circumdatin G, a new alkaloid from the fungus Aspergillus ochraceus. J. Nat. Prod. 2001, 64, 125–126. [Google Scholar]
- Rahbæk, L.; Breinholt, J. Circumdatins D, E, and F: Further fungal benzodiazepine analogues from Aspergillus ochraceus. J. Nat. Prod. 1999, 62, 904–905. [Google Scholar]
- Ookura, R.; Kito, K.; Ooi, T.; Namikoshi, M.; Kusumi, T. Structure revision of circumdatins A and B, benzodiazepine alkaloids produced by marine fungus Aspergillus ostianus, by X-ray crystallography. J. Org. Chem. 2008, 73, 4245–4247. [Google Scholar]
- Rahbæk, L.; Breinholt, J.; Frisvad, J.C.; Christophersen, C. Circumdatin A, B, and C: Three new benzodiazepine alkaloids isolated from a culture of the fungus Aspergillus ochraceus. J. Org. Chem. 1999, 64, 1689–1692. [Google Scholar]
- Bock, M.G.; DiPardo, R.M.; Rittle, K.E.; Evans, B.E.; Freidinger, R.M.; Veber, D.F.; Chang, R.S.L.; Chen, T.B.; Keegan, M.E.; Lotti, V.J.; et al. Cholecystokinin antagonists. Synthesis of asperlicin analogs with improved potency and water solubility. J. Med. Chem. 1986, 29, 1941–1945. [Google Scholar]
- Sun, H.H.; Barrow, C.J.; Sedlock, D.M.; Gillum, A.M.; Cooper, R. Benzomalvins, new substance P inhibitors from a Penicillium sp. J. Antibiot. 1994, 47, 515–522. [Google Scholar]
- Lopez-Gresa, M.P.; Gonzalez, M.C.; Primo, J.; Moya, P.; Romero, V.; Estornell, E. Circumdatin H, a new inhibitor of mitochondrial NADH oxidase, from Aspergillus ochraceus. J. Antibiot. 2005, 58, 416–419. [Google Scholar]
- Kumaraswamy, S.; Chang, C.F.; Pusuluri, S.; Mukkanti, K.; Laiu, M.C.; Bao, B.Y.; Su, C,H.; Chuang, T.H. Synthesis and cytotoxicity testing of new amido-substituted triazolopyrrolo[2,1-c][1,4]benzodiazepine (PBDT) derivatives. Molecules 2012, 17, 8762–8772. [Google Scholar]
- Kumaraswamy, S.; Mukkanti, K.; Pusuluri, S. Palladium catalyzed synthesis of quinazolino [1,4] benzodiazepine alkaloids and analogous. Tetrahedron 2012, 68, 2001–2006. [Google Scholar]
- Perronnet, J.; Taliani, L. Action des isocyanates sur les benzisothiazol-2,1 ones-3 (1H) et sur les thiadiazol-1,2,4 ones-5: Un nouveau réarrangement avec extrusion de l’atome de soufre. J. Heterocycl. Chem. 1980, 17, 673–678. (In French) [Google Scholar]
- Medwid, J.B.; Paul, R.; Baker, J.S.; Brockman, J.A.; Du, M.T.; Hallett, W.A.; Hanifin, J.W.; Hardy, R.A., Jr.; Tarrant, M.E.; Torley, L.W.; et al. Preparation of triazolo[1,5-c]pyrimidines as potential antiasthma agents. J. Med. Chem. 1990, 33, 1230–1241. [Google Scholar]
- Nasr, M.N. Synthesis and antibacterial activity of fused 1,2,4-triazolo[4,3-a]quinoxaline and oxopyrimido[2',1':5,1]-1,2,4-triazolo[4,3-a]quinoxaline derivatives. Arch. Pharm. 2002, 335, 389–394. [Google Scholar]
- Pathak, N.L.; Kasture, S.B.; Bhatt, N.M.; Patel, R.G. Experimental modeling of anxiety. J. Appl. Pharm. Sci. 2011, 1, 6–10. [Google Scholar]
- Kebebew, Z.; Shibeshi, W. Evaluation of anxiolytic and sedative effects of 80% ethanolic Carica papaya L. (Caricaceae) pulp extract in mice. J. Ethnopharmacol. 2013, 150, 665–671. [Google Scholar]
© 2014 by the authors; licensee MDPI, Basel, Switzerland. This article is an open access article distributed under the terms and conditions of the Creative Commons Attribution license (http://creativecommons.org/licenses/by/3.0/).
Share and Cite
Sorra, K.; Chen, C.-S.; Chang, C.-F.; Pusuluri, S.; Mukkanti, K.; Wu, C.-R.; Chuang, T.-H. Synthesis, Anticonvulsant, Sedative and Anxiolytic Activities of Novel Annulated Pyrrolo[1,4]benzodiazepines. Int. J. Mol. Sci. 2014, 15, 16500-16510. https://doi.org/10.3390/ijms150916500
Sorra K, Chen C-S, Chang C-F, Pusuluri S, Mukkanti K, Wu C-R, Chuang T-H. Synthesis, Anticonvulsant, Sedative and Anxiolytic Activities of Novel Annulated Pyrrolo[1,4]benzodiazepines. International Journal of Molecular Sciences. 2014; 15(9):16500-16510. https://doi.org/10.3390/ijms150916500
Chicago/Turabian StyleSorra, Kumaraswamy, Chien-Shu Chen, Chi-Fen Chang, Srinivas Pusuluri, Khagga Mukkanti, Chi-Rei Wu, and Ta-Hsien Chuang. 2014. "Synthesis, Anticonvulsant, Sedative and Anxiolytic Activities of Novel Annulated Pyrrolo[1,4]benzodiazepines" International Journal of Molecular Sciences 15, no. 9: 16500-16510. https://doi.org/10.3390/ijms150916500
APA StyleSorra, K., Chen, C.-S., Chang, C.-F., Pusuluri, S., Mukkanti, K., Wu, C.-R., & Chuang, T.-H. (2014). Synthesis, Anticonvulsant, Sedative and Anxiolytic Activities of Novel Annulated Pyrrolo[1,4]benzodiazepines. International Journal of Molecular Sciences, 15(9), 16500-16510. https://doi.org/10.3390/ijms150916500

