Morphology and Quantitative Monitoring of Gene Expression Patterns during Floral Induction and Early Flower Development in Dendrocalamus latiflorus
Abstract
:1. Introduction
2. Results and Discussion
2.1. Morphological Studies of the Transition from the Vegetative Bud to Inflorescence Initiation and Flower Ontogeny


| Stage | Length of Floral Buds | Events |
|---|---|---|
| 2 | 0–2 mm | Spikelet primordium/the first glume primordium |
| 3 | 2–3 mm | Primordium of the first floret/the second glume/the second floret |
| 4 | 3–4 mm | Stamen primordia and pistil primordium |
| 5 | 4–5 mm | Stamen primordia and pistil primordium continuing to develop into rapid increase in size |
2.2. Isolation and Analysis of the Ten Candidate Genes
| Gene Name | Length (bp) | Pathways | Domain | Similarity with Ortholog in Poaceae |
|---|---|---|---|---|
| DlAP1 | 228 | Floral meristem identity genes | MADS-box | MADS 14 (Oryza sativa) (99%) |
| DlTFL1 | 249 | Floral meristem identity genes | Phosphatidylethanolamine-binding protein | TFL1 (Bambusa oldhamii) (98%) |
| DlRFL | 137 | Floral meristem identity genes | FLO/LFY protein | RFL (Oryza sativa) (97%) |
| DlFT | 150 | Photoperiod pathway | PEBP | FT (Triticum aestivum) (98%) |
| DlID1 | 74 | Photoperiod pathway | C2H2 | Ehd2 (Oryza sativa Japonica group) (100%) |
| DlFCA | 112 | Autonomous pathway | FCA-like protein | FCA (Triticum aestivum) (84.4%) |
| DlMADS1 | 92 | Other flower gene | MADS-box | MADS (Phyllostachys praecox) (100%) |
| DlMADS2 | 130 | Other flower gene | MADS-box | MADS (Zea mays) (80%) |
| DlSPL9 | 86 | Other flower gene | SBP domain transcription factor | SPL9 (Setaria italic) (86%) |
| DlEMF2 | 200 | Other flower gene | VEFS-box of polycomb protein | EMF2 (Setaria italic) (98%) |

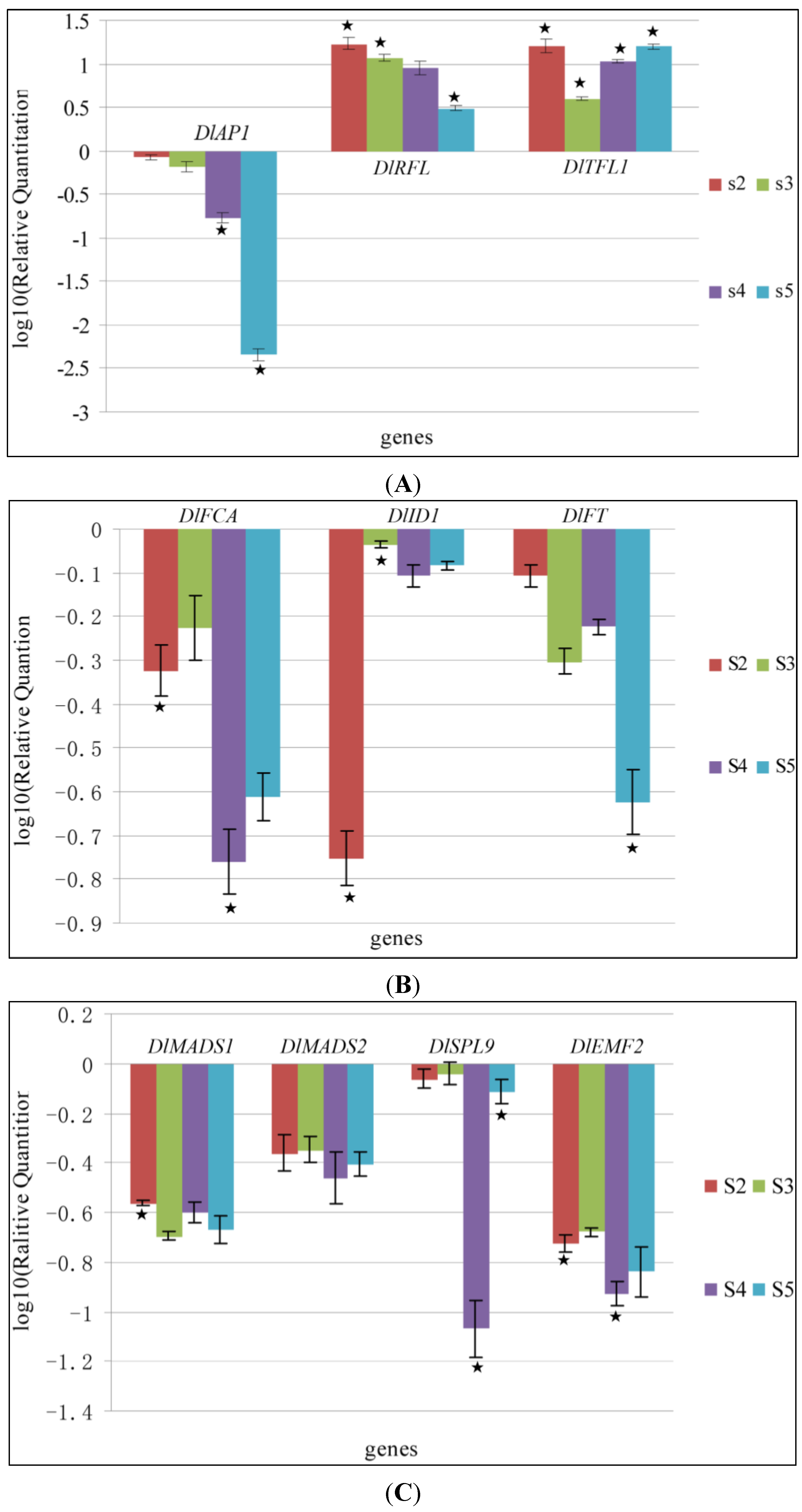
2.3. Quantitative Expression Patterns of the Ten Candidate Genes from Floral Transition to Early Floral Development

3. Experimental Section
3.1. Experimental Materials

3.2. Paraffin Sectioning
3.3. Scanning Electron Microscopy (SEM)
3.4. Primary Screening for Candidate Genes
3.5. Sequence and Phylogenetic Analysis of Meristem Genes (DlAP1, DlTFL, DlRFL)
3.6. Quantitative Real-Time PCR
4. Conclusions
Supplementary Files
Supplementary File 1Acknowledgments
Author Contributions
Conflicts of Interest
References
- Bian, H.W.; Lin, E.P.; Peng, H.Z.; Jin, Q.Y.; Deng, M.J.; Li, T.; Xiao, X.C.; Hua, X.Q.; Wang, K.H.; Han, N.; et al. Identification and characterization of two Bamboo (Phyllostachys praecox) AP1/SQUA-like MADS-box genes during floral transition. Planta 2009, 231, 109–120. [Google Scholar] [CrossRef]
- Flora of China. Available online: http://www.efloras.org/volume_page.aspx?volume_id=2022&flora_id=2 (accessed on 20 August 2006).
- Janzen, D.H. Why bamboos wait so long to flower. Annu. Rev. Ecol. Syst. 1976, 7, 347–391. [Google Scholar]
- John, C.; Nadgauda, R.S. Review in vitro-induced flowering in bamboos. In Vitro Cell. Dev. Biol. 1999, 35, 309–315. [Google Scholar] [CrossRef]
- Bystriakova, N.; Kapos, V.; Lysenko, I.; Stapleton, C. Distribution and conservation status of forest bamboo biodiversity in the Asia–Pacific region. Biodivers. Conserv. 2003, 12, 1833–1841. [Google Scholar] [CrossRef]
- Gao, Z.M.; Li, C.L.; Peng, Z.H. Generation and analysis of expressed sequence tags from a normalized cDNA library of young leaf from Ma bamboo (Dendrocalamus latiflorus Munro). Plant Cell Rep. 2011, 30, 2045–2057. [Google Scholar] [CrossRef]
- Liu, C.; Thong, Z.H.; Yu, H. Coming into bloom: The specification of floral meristems. Development 2009, 136, 3379–3391. [Google Scholar] [CrossRef]
- Kobayashi, K.; Yasuno, N.; Sato, Y.; Yoda, M.; Yamazaki, R.; Kimizu, M.; Yoshida, H.; Nagamura, Y.; Kyozuka, J. Inflorescence meristem identity in rice is specified by overlapping functions of three AP1/FUL-like MADS box genes and PAP2, a SEPALLATA MADS box gene. Plant Cell Online 2012, 24, 1848–1859. [Google Scholar] [CrossRef]
- Ikeda, K.; Sunohara, H.; Nagato, Y. Developmental course of inflorescence and spikelet in rice. Breed. Sci. 2004, 54, 147–156. [Google Scholar] [CrossRef]
- Bommert, P.; Satoh-Nagasawa, N.; Jackson, D.; Hirano, H.Y. Genetics and evolution of inflorescence and flower development in grasses. Plant Cell Physiol. 2005, 46, 69–78. [Google Scholar] [CrossRef]
- Yoshida, H.; Nagato, Y. Flower development in rice. J. Exp. Bot. 2011, 62, 4719–4730. [Google Scholar] [CrossRef]
- Song, J.; Clemens, J.; Jameson, P.E. Quantitative expression analysis of the ABC genes in Sophora tetraptera, a woody legume with an unusual sequence of floral organ development. J. Exp. Bot. 2008, 59, 247–259. [Google Scholar] [CrossRef]
- Jaya, E.S.K.D.; Clemens, J.; Song, J.C.; Zhang, H.B.; Jameson, P.E. Quantitative expression analysis of meristem identity genes in Eucalyptus occidentalis: AP1 is an expression marker for flowering. Tree Physiol. 2010, 30, 304–312. [Google Scholar] [CrossRef]
- Jaya, E.; Song, J.; Clemens, J.; Jameson, P.E. Effect of environment and shoot architecture on floral transition and gene expression in Eucalyptus occidentalis and Metrosideros excelsa. Plant Growth Regul. 2011, 64, 53–61. [Google Scholar] [CrossRef]
- Telfer, A.; Bollman, K.M.; Poethig, R.S. Phase change and the regulation of trichome distribution in Arabidopsis thaliana. Development 1997, 124, 645–654. [Google Scholar]
- Araki, T. Transition from vegetative to reproductive phase. Curr. Opin. Plant Biol. 2001, 4, 63–68. [Google Scholar] [CrossRef]
- Rao, N.N.; Prasad, K.; Kumar, P.R.; Vijayraghavan, U. Distinct regulatory role for RFL, the rice LFY homolog, in determining flowering time and plant architecture. Proc. Natl. Acad. Sci. USA 2008, 105, 3646–3651. [Google Scholar] [CrossRef]
- Matsubara, K.; Yamanouchi, U.; Wang, Z.X.; Minobe, Y.; Izawa, T.; Yano, M. Ehd2, a rice ortholog of the maize INDETERMINATE1 gene, promotes flowering by up-regulating Ehd1. Plant Physiol. 2008, 148, 1425–1435. [Google Scholar] [CrossRef]
- Corbesier, L.; Vincent, C.; Jang, S.; Fornara, F.; Fan, Q.; Searle, I.; Giakountis, A.; Farrona, S.; Gissot, L.; Turnbull, C. FT protein movement contributes to long-distance signaling in floral induction of Arabidopsis. Sci. Signal. 2007, 316, 1030–1033. [Google Scholar]
- Abe, M.; Kobayashi, Y.; Yamamoto, S.; Daimon, Y.; Yamaguchi, A.; Ikeda, Y.; Ichinoki, H.; Notaguchi, M.; Goto, K.; Araki, T. FD, a bZIP protein mediating signals from the floral pathway integrator FT at the shoot apex. Sci. Signal. 2005, 309, 1052–1056. [Google Scholar]
- Jensen, C.S.; Salchert, K.; Nielsen, K.K. A TERMINAL FLOWER1-like gene from perennial ryegrass involved in floral transition and axillary meristem identity. Plant Physiol. 2001, 125, 1517–1528. [Google Scholar] [CrossRef]
- Page, T.; Macknight, R.; Yang, C.H.; Dean, C. Genetic interactions of the Arabidopsis flowering time gene FCA, with genes regulating floral initiation. Plant J. 1999, 17, 231–239. [Google Scholar] [CrossRef]
- Xu, H.; Chen, L.J.; Qu, L.J.; Gu, H.Y.; Li, D.Z. Functional conservation of the plant EMBRYONIC FLOWER2 gene between bamboo and Arabidopsis. Biotechnol. Lett. 2010, 32, 1961–1968. [Google Scholar] [CrossRef]
- Kozaki, A.; Hake, S.; Colasanti, J. The maize ID1 flowering time regulator is a zinc finger protein with novel DNA binding properties. Nucleic Acids Res. 2004, 32, 1710–1720. [Google Scholar] [CrossRef]
- Schwarz, S.; Grande, A.V.; Bujdoso, N.; Saedler, H.; Huijser, P. The microRNA regulated SBP-box genes SPL9 and SPL15 control shoot maturation in Arabidopsis. Plant Mol. Biol. 2008, 67, 183–195. [Google Scholar] [CrossRef]
- Eveland, A.L.; Satoh-Nagasawa, N.; Goldshmidt, A.; Meyer, S.; Beatty, M.; Sakai, H.; Ware, D.; Jackson, D. Digital gene expression signatures for maize development. Plant Physiol. 2010, 154, 1024–1039. [Google Scholar] [CrossRef]
- Jiang, Y.H.; Cai, Z.X.; Xie, W.B.; Long, T.; Yu, H.H.; Zhang, Q.F. Rice functional genomics research: Progress and implications for crop genetic improvement. Biotechnol. Adv. 2012, 30, 1059–1070. [Google Scholar] [CrossRef]
- Kyozuka, J.; Kobayashi, T.; Morita, M.; Shimamoto, K. Spatially and temporally regulated expression of rice MADS box genes with similarity to Arabidopsis class A, B and C genes. Plant Cell Physiol. 2000, 41, 710–718. [Google Scholar] [CrossRef]
- Preston, J.C.; Kellogg, E.A. Reconstructing the evolutionary history of paralogous APETALA1/FRUITFULL-like genes in grasses (Poaceae). Genetics 2006, 174, 421–437. [Google Scholar] [CrossRef]
- Zhang, X.M.; Zhao, L.; Larson-Rabin, Z.; Li, D.Z.; Guo, Z.H. De novo sequencing and characterization of the floral transcriptome of Dendrocalamus latiflorus (Poaceae: Bambusoideae). PLoS One 2012, 7, e42082. [Google Scholar]
- Gentleman, R.C.; Carey, V.J.; Bates, D.M.; Bolstad, B.; Dettling, M.; Dudoit, S.; Ellis, B.; Gautier, L.; Ge, Y.; Gentry, J. Bioconductor: Open software development for computational biology and bioinformatics. Genome Biol. 2004, 5, R80. [Google Scholar] [CrossRef]
- Mandel, M.A.; Gustafson-Brown, C.; Savidge, B.; Yanofsky, M.F. Molecular characterization of the Arabidopsis floral homeotic gene APETALA1. Nature 1992, 360, 273–277. [Google Scholar] [CrossRef]
- Wang, Y.-Z.; Dai, M.-S.; Zhang, S.-J.; Shi, Z.-B. Exploring candidate genes for pericarp russet pigmentation of sand pear (Pyrus pyrifolia) via RNA-Seq data in two genotypes contrasting for pericarp color. PLoS One 2014, 9, e83675. [Google Scholar]
- Fornara, F.; Coupland, G. Plant phase transitions make a SPLash. Cell 2009, 138, 625–627. [Google Scholar] [CrossRef]
- Park, S.J.; Kim, S.L.; Lee, S.; Je, B.I.; Piao, H.L.; Park, S.H.; Kim, C.M.; Ryu, C.H.; Park, S.H.; Xuan, Y.H. Rice indeterminate 1 (OsId1) is necessary for the expression of Ehd1 (early heading date 1) regardless of photoperiod. Plant J. 2008, 56, 1018–1029. [Google Scholar] [CrossRef]
- Colasanti, J.; Yuan, Z.; Sundaresan, V. The indeterminate gene encodes a zinc finger protein and regulates a leaf-generated signal required for the transition to flowering in maize. Cell 1998, 93, 593–603. [Google Scholar] [CrossRef]
- Kyozuka, J.; Konishi, S.; Nemoto, K.; Izawa, T.; Shimamoto, K. Down-regulation of RFL, the FLO/LFY homolog of rice, accompanied with panicle branch initiation. Proc. Natl. Acad. Sci. USA 1998, 95, 1979–1982. [Google Scholar] [CrossRef]
- Weigel, D.; Alvarez, J.; Smyth, D.R.; Yanofsky, M.F.; Meyerowitz, E.M. LEAFY controls floral meristem identity in Arabidopsis. Cell 1992, 69, 843–859. [Google Scholar] [CrossRef]
- Nakagawa, M.; Shimamoto, K.; Kyozuka, J. Overexpression of RCN1 and RCN2, rice TERMINAL FLOWER 1/CENTRORADIALIS homologs, confers delay of phase transition and altered panicle morphology in rice. Plant J. 2002, 29, 743–750. [Google Scholar] [CrossRef]
- Kotoda, N.; Wada, M.; Kato, H.; Iwanami, H.; Masuda, T.; Soejima, J. The function analysis of MdMADS5 and MdTFL, apple homologues of APETALA1 and TERMINAL FLOWER1, in transgenic Arabidopsis. Hortscience 2001, 36, 441. [Google Scholar]
- Pillitteri, L.J.; Lovatt, C.J.; Walling, L.L. Isolation and characterization of a TERMINAL FLOWER homolog and its correlation with juvenility in citrus. Plant Physiol. 2004, 135, 1540–1551. [Google Scholar] [CrossRef]
- Bradley, D.; Ratcliffe, O.; Vincent, C.; Carpenter, R.; Coen, E. Inflorescence commitment and architecture in Arabidopsis. Science 1997, 275, 80–83. [Google Scholar] [CrossRef]
- Ratcliffe, O.J.; Bradley, D.J.; Coen, E.S. Separation of shoot and floral identity in Arabidopsis. Development 1999, 126, 1109–1120. [Google Scholar]
- Hsu, C.-Y.; Liu, Y.; Luthe, D.S.; Yuceer, C. Poplar FT2 shortens the juvenile phase and promotes seasonal flowering. Plant Cell Online 2006, 18, 1846–1861. [Google Scholar] [CrossRef]
- Kardailsky, I.; Shukla, V.K.; Ahn, J.H.; Dagenais, N.; Christensen, S.K.; Nguyen, J.T.; Chory, J.; Harrison, M.J.; Weigel, D. Activation tagging of the floral inducer FT. Science 1999, 286, 1962–1965. [Google Scholar] [CrossRef]
- Kobayashi, Y.; Kaya, H.; Goto, K.; Iwabuchi, M.; Araki, T. A pair of related genes with antagonistic roles in mediating flowering signals. Science 1999, 286, 1960–1962. [Google Scholar] [CrossRef]
- Takada, S.; Goto, K. TERMINAL FLOWER2, an Arabidopsis homolog of HETEROCHROMATIN PROTEIN1, counteracts the activation of FLOWERING LOCUS T by CONSTANS in the vascular tissues of leaves to regulate flowering time. Plant Cell Online 2003, 15, 2856–2865. [Google Scholar] [CrossRef]
- Abe, M.; Fujiwara, M.; Kurotani, K.-I.; Yokoi, S.; Shimamoto, K. Identification of dynamin as an interactor of rice GIGANTEA by tandem affinity purification (TAP). Plant Cell Physiol. 2008, 49, 420–432. [Google Scholar] [CrossRef]
- Wigge, P.A.; Kim, M.C.; Jaeger, K.E.; Busch, W.; Schmid, M.; Lohmann, J.U.; Weigel, D. Integration of spatial and temporal information during floral induction in Arabidopsis. Science 2005, 309, 1056–1059. [Google Scholar] [CrossRef]
- Yu, H.; Goh, C.J. Identification and characterization of three orchid MADS-box genes of the AP1/AGL9 subfamily during floral transition. Plant Physiol. 2000, 123, 1325–1336. [Google Scholar] [CrossRef]
- Chang, Y.-Y.; Chiu, Y.-F.; Wu, J.-W.; Yang, C.-H. Four orchid (oncidium gower ramsey) AP1/AGL9-like MADS box genes show novel expression patterns and cause different effects on floral transition and formation in Arabidopsis thaliana. Plant Cell Physiol. 2009, 50, 1425–1438. [Google Scholar] [CrossRef]
- Mena, M.; Ambrose, B.A.; Meeley, R.B.; Briggs, S.P.; Yanofsky, M.F.; Schmidt, R.J. Diversification of C-function activity in maize flower development. Science 1996, 274, 1537–1540. [Google Scholar] [CrossRef]
- Shinozuka, Y.; Kojima, S.; Shomura, A.; Ichimura, H.; Yano, M.; Yamamoto, K.; Sasaki, T. Isolation and characterization of rice MADS box gene homologues and their RFLP mapping. DNA Res. 1999, 6, 123–129. [Google Scholar] [CrossRef]
- Veit, B.; Schmidt, R.J.; Hake, S.; Yanofsky, M.F. Maize floral development: new genes and old mutants. Plant Cell 1993, 5, 1205. [Google Scholar] [CrossRef]
- Danyluk, J.; Kane, N.A.; Breton, G.; Limin, A.E.; Fowler, D.B.; Sarhan, F. TaVRT-1, a putative transcription factor associated with vegetative to reproductive transition in cereals. Plant Physiol. 2003, 132, 1849–1860. [Google Scholar] [CrossRef]
- Murai, K.; Miyamae, M.; Kato, H.; Takumi, S.; Ogihara, Y. WAP1, a wheat APETALA1 homolog, plays a central role in the phase transition from vegetative to reproductive growth. Plant Cell Physiol. 2003, 44, 1255–1265. [Google Scholar] [CrossRef]
- Petersen, K.; Didion, T.; Andersen, C.H.; Nielsen, K.K. MADS-box genes from perennial ryegrass differentially expressed during transition from vegetative to reproductive growth. J. Plant Physiol. 2004, 161, 439–447. [Google Scholar] [CrossRef]
- Gustafson-Brown, C.; Savidge, B.; Yanofsky, M.F. Regulation of the arabidopsis floral homeotic gene APETALA1. Cell 1994, 76, 131–143. [Google Scholar] [CrossRef]
- Bowman, J.L.; Smyth, D.R.; Meyerowitz, E.M. Genes directing flower development in Arabidopsis. Plant Cell 1989, 1, 37–52. [Google Scholar] [CrossRef]
- Altschul, S.F.; Gish, W.; Miller, W.; Myers, E.W.; Lipman, D.J. Basic local alignment search tool. J. Mol. Biol. 1990, 215, 403–410. [Google Scholar] [CrossRef]
- Larkin, M.A.; Blackshields, G.; Brown, N.P.; Chenna, R.; McGettigan, P.A.; McWilliam, H.; Valentin, F.; Wallace, I.M.; Wilm, A.; Lopez, R.; et al. Clustal W and clustal X version 2.0. Bioinformatics 2007, 23, 2947–2948. [Google Scholar] [CrossRef]
- Kumar, S.; Tamura, K.; Nei, M. MEGA3: Integrated software for molecular evolutionary genetics analysis and sequence alignment. Brief. Bioinform. 2004, 5, 150–163. [Google Scholar] [CrossRef]
- Anders, S.; Huber, W. Differential expression analysis for sequence count data. Genome Biol. 2010, 11, R106. [Google Scholar] [CrossRef]
- Schmittgen, T.D.; Livak, K.J. Analyzing real-time PCR data by the comparative CT method. Nat. Protoc. 2008, 3, 1101–1108. [Google Scholar] [CrossRef]
- Livak, K.J.; Schmittgen, T.D. Analysis of relative gene expression data using real-time quantitative PCR and the 2−∆∆Ct method. Methods 2001, 25, 402–408. [Google Scholar] [CrossRef]
© 2014 by the authors; licensee MDPI, Basel, Switzerland. This article is an open access article distributed under the terms and conditions of the Creative Commons Attribution license (http://creativecommons.org/licenses/by/3.0/).
Share and Cite
Wang, X.; Zhang, X.; Zhao, L.; Guo, Z. Morphology and Quantitative Monitoring of Gene Expression Patterns during Floral Induction and Early Flower Development in Dendrocalamus latiflorus. Int. J. Mol. Sci. 2014, 15, 12074-12093. https://doi.org/10.3390/ijms150712074
Wang X, Zhang X, Zhao L, Guo Z. Morphology and Quantitative Monitoring of Gene Expression Patterns during Floral Induction and Early Flower Development in Dendrocalamus latiflorus. International Journal of Molecular Sciences. 2014; 15(7):12074-12093. https://doi.org/10.3390/ijms150712074
Chicago/Turabian StyleWang, Xiaoyan, Xuemei Zhang, Lei Zhao, and Zhenhua Guo. 2014. "Morphology and Quantitative Monitoring of Gene Expression Patterns during Floral Induction and Early Flower Development in Dendrocalamus latiflorus" International Journal of Molecular Sciences 15, no. 7: 12074-12093. https://doi.org/10.3390/ijms150712074
APA StyleWang, X., Zhang, X., Zhao, L., & Guo, Z. (2014). Morphology and Quantitative Monitoring of Gene Expression Patterns during Floral Induction and Early Flower Development in Dendrocalamus latiflorus. International Journal of Molecular Sciences, 15(7), 12074-12093. https://doi.org/10.3390/ijms150712074
