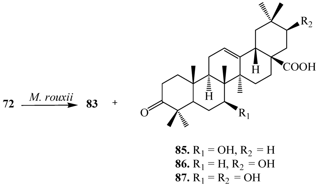
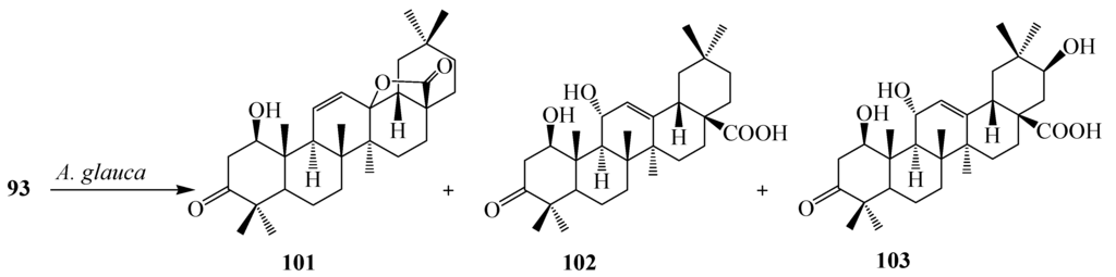
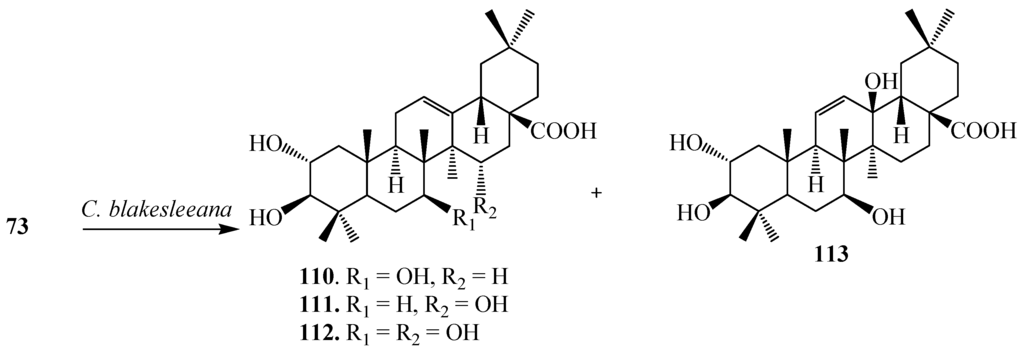
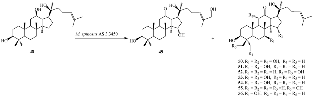
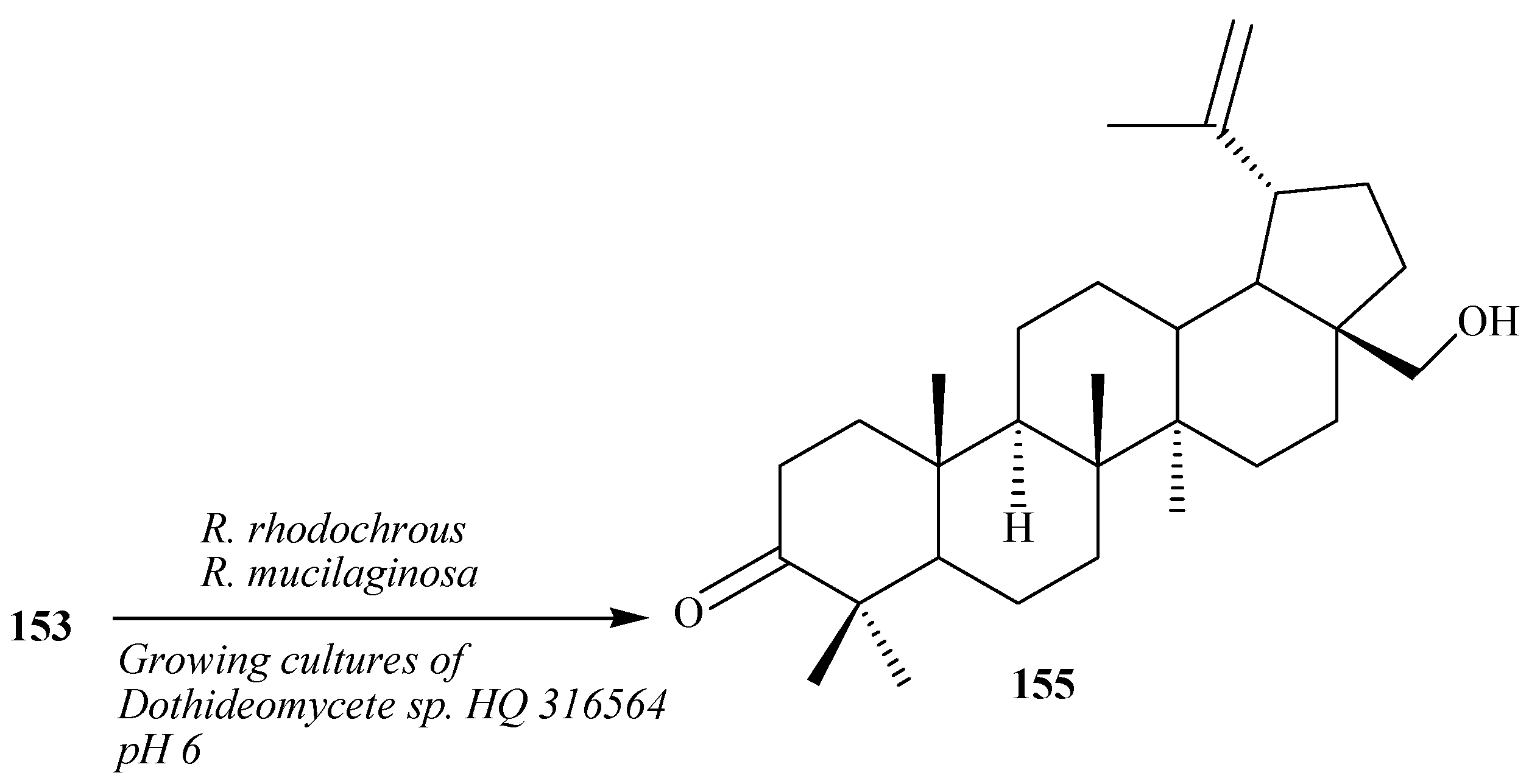
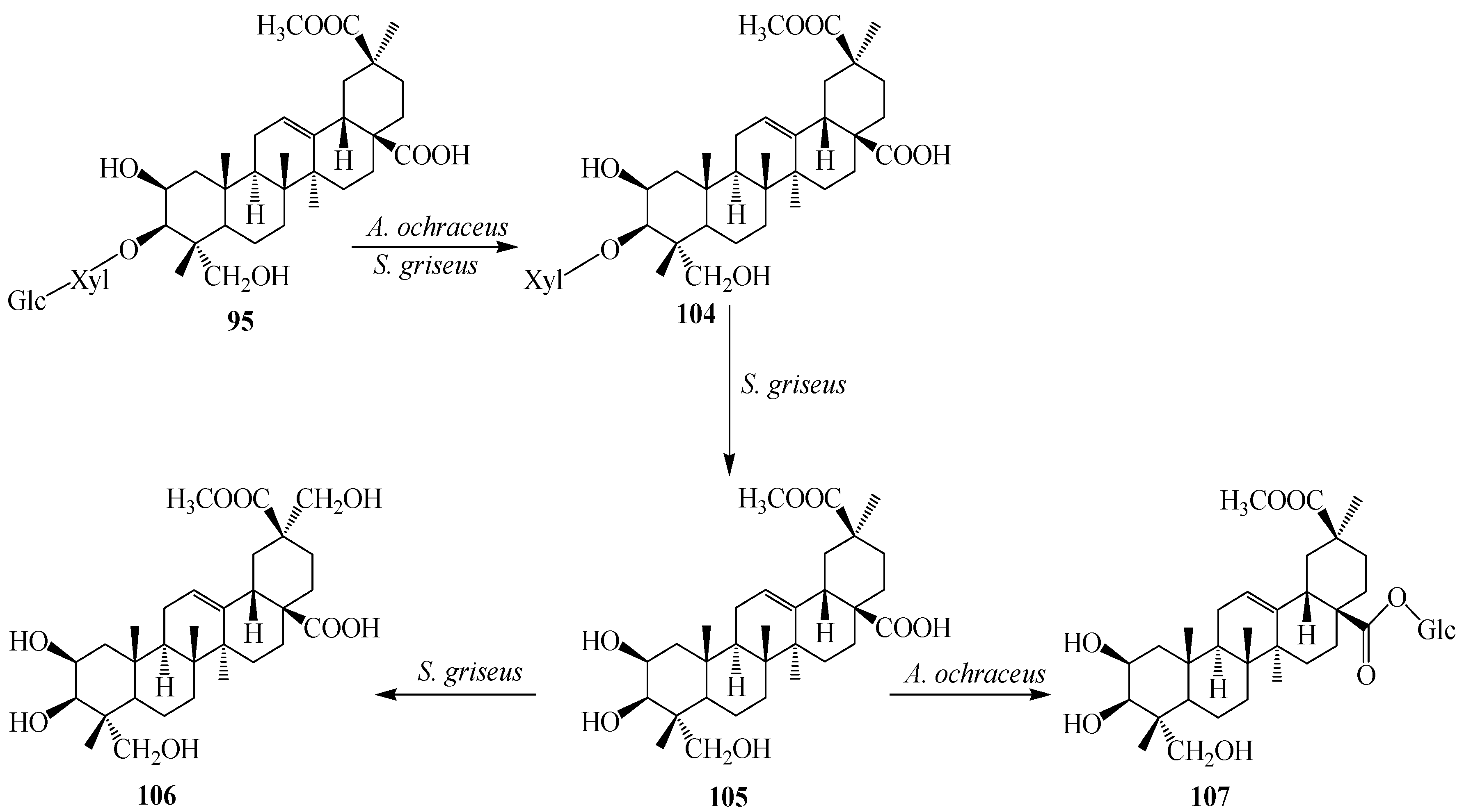
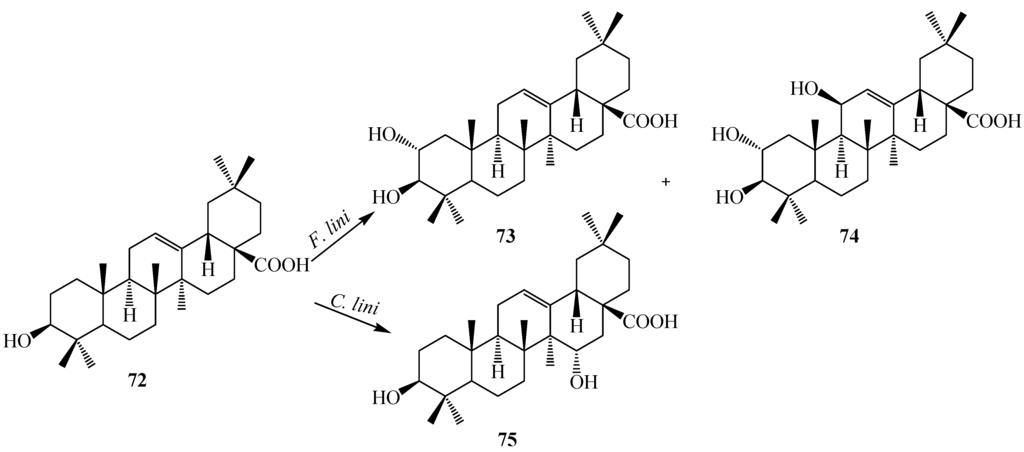
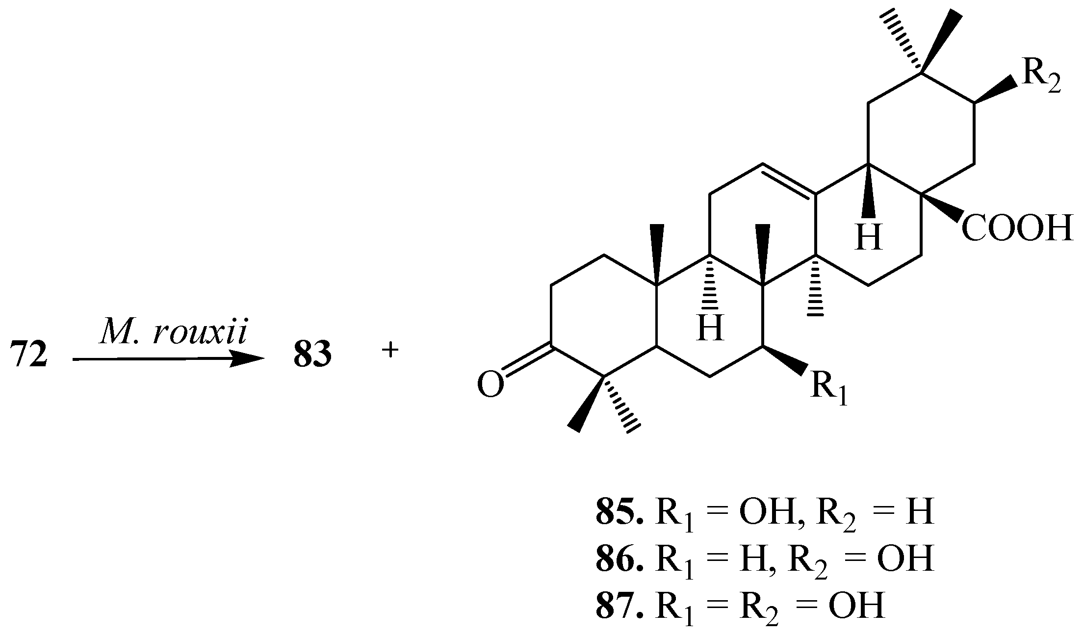
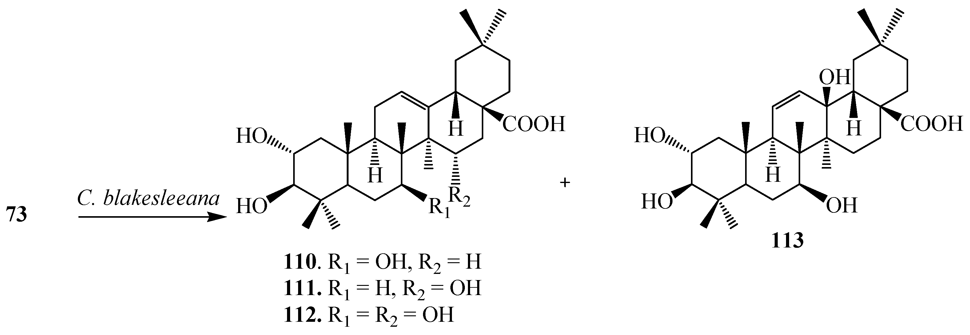
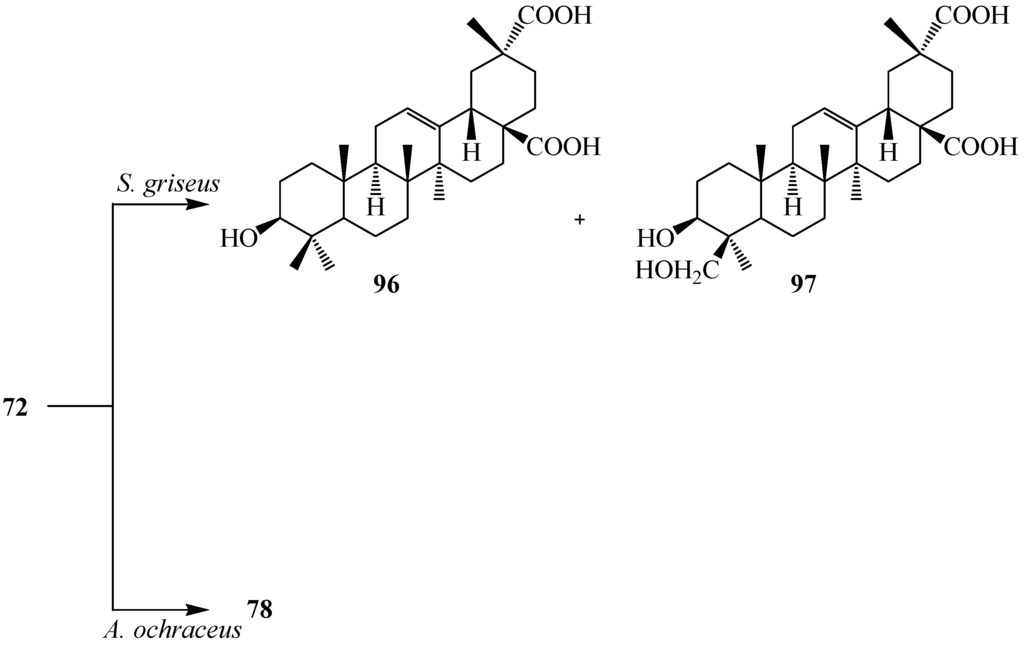
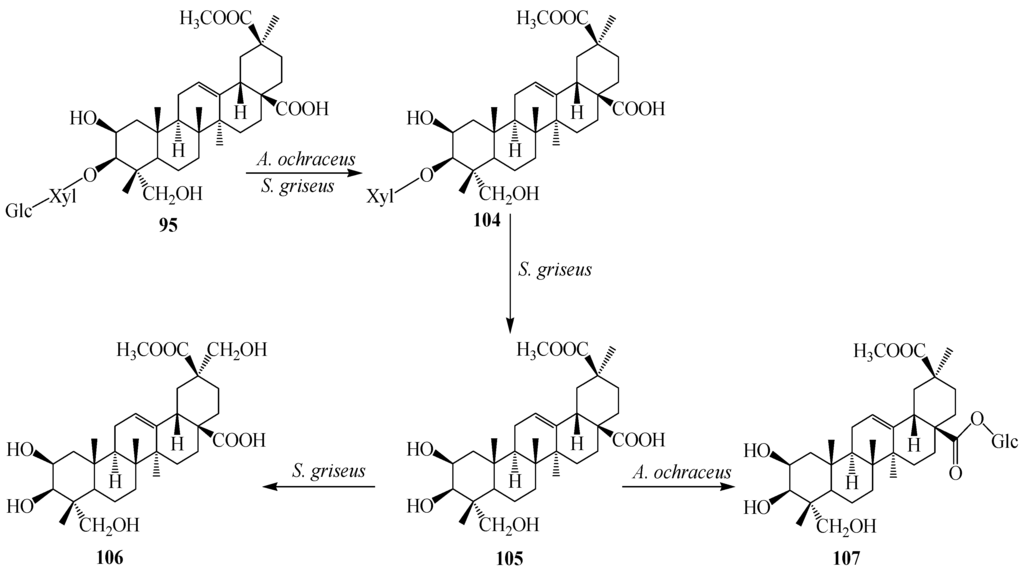
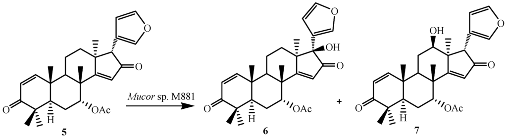
Microbial-Catalyzed Biotransformation of Multifunctional Triterpenoids Derived from Phytonutrients
Shah, S.A.A.; Tan, H.L.; Sultan, S.; Faridz, M.A.B.M.; Shah, M.A.B.M.; Nurfazilah, S.; Hussain, M. Microbial-Catalyzed Biotransformation of Multifunctional Triterpenoids Derived from Phytonutrients. Int. J. Mol. Sci. 2014, 15, 12027-12060. https://doi.org/10.3390/ijms150712027
Shah SAA, Tan HL, Sultan S, Faridz MABM, Shah MABM, Nurfazilah S, Hussain M. Microbial-Catalyzed Biotransformation of Multifunctional Triterpenoids Derived from Phytonutrients. International Journal of Molecular Sciences. 2014; 15(7):12027-12060. https://doi.org/10.3390/ijms150712027
Chicago/Turabian StyleShah, Syed A.A., Huey L. Tan, Sadia Sultan, Muhammad A.B.M. Faridz, Mohamad A.B.M. Shah, Sharifah Nurfazilah, and Munawar Hussain. 2014. "Microbial-Catalyzed Biotransformation of Multifunctional Triterpenoids Derived from Phytonutrients" International Journal of Molecular Sciences 15, no. 7: 12027-12060. https://doi.org/10.3390/ijms150712027

