Preparation and Characterization of Gelatin Nanofibers Containing Silver Nanoparticles
Abstract
:1. Introduction
2. Results and Discussion
2.1. The Formation of Ag NPs in Formic Acid/Water Solution
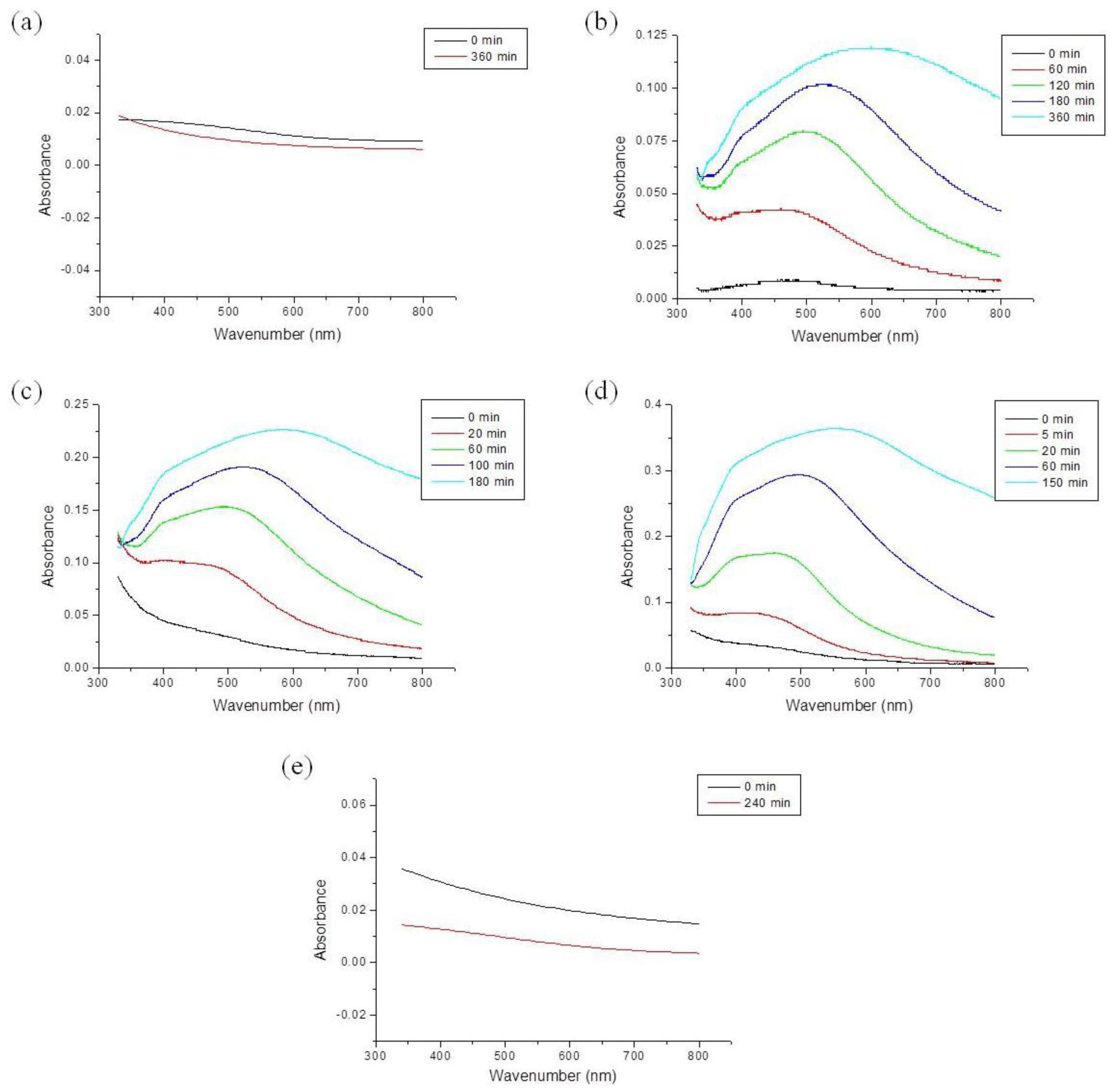
2.2. Role of Formic Acid in the Formation of Ag NPs
2.3. UV-Vis Analysis of Gelatin Solution Containing AgNO3
2.4. Particle Size Analysis of Ag NPs in Gelatin Solution
2.5. Formation of Ag NPs in Gelatin Solution
2.6. Electrospinning of Gelatin Solution Containing Ag NPs
2.7. Cross-Linking of Gelatin Nanofibers Containing Ag NPs
2.8. Characterization of Ag NPs in Gelatin Nanofibers
3. Experimental Section
3.1. Materials
3.2. Synthesis of Ag NPs
3.3. Preparation of Gelatin Nanofibers Containing Ag NPs
3.4. Characterization
4. Conclusions
Supplementary Information
ijms-15-06857-s001.pdfAcknowledgments
Conflicts of Interest
References
- Dahl, J.A.; Maddux, B.L.; Hutchison, J.E. Toward greener nanosynthesis. Chem. Rev 2007, 107, 2228–2269. [Google Scholar]
- Hutchison, J.E. Greener nanoscience: A proactive approach to advancing applications and reducing implications of nanotechnology. ACS Nano 2008, 2, 395–402. [Google Scholar]
- Li, L.-S.; Hu, J.; Yang, W.; Alivisatos, A.P. Band gap variation of size-and shape-controlled colloidal CdSe quantum rods. Nano Lett 2001, 1, 349–351. [Google Scholar]
- Sharma, V.K.; Yngard, R.A.; Lin, Y. Silver nanoparticles: Green synthesis and their antimicrobial activities. Adv. Colloid Interface Sci 2009, 145, 83–96. [Google Scholar]
- Smith, A.M.; Duan, H.; Rhyner, M.N.; Ruan, G.; Nie, S. A systematic examination of surface coatings on the optical and chemical properties of semiconductor quantum dots. Phys. Chem. Chem. Phys 2006, 8, 3895–3903. [Google Scholar]
- Kearns, G.J.; Foster, E.W.; Hutchison, J.E. Substrates for direct imaging of chemically functionalized SiO2 surfaces by transmission electron microscopy. Anal. Chem 2006, 78, 298–303. [Google Scholar]
- Chen, W.; Cai, W.; Zhang, L.; Wang, G.; Zhang, L. Sonochemical processes and formation of gold nanoparticles within pores of mesoporous silica. J. Colloid Interface Sci 2001, 238, 291–295. [Google Scholar]
- Frattini, A.; Pellegri, N.; Nicastro, D.; Sanctis, O.D. Effect of amine groups in the synthesis of Ag nanoparticles using aminosilanes. Mater. Chem. Phys 2005, 94, 148–152. [Google Scholar]
- Knoll, B.; Keilmann, F. Near-field probing of vibrational absorption for chemical microscopy. Nature 1999, 399, 134–137. [Google Scholar]
- Sengupta, S.; Eavarone, D.; Capila, I.; Zhao, G.; Watson, N.; Kiziltepe, T.; Sasisekharan, R. Temporal targeting of tumour cells and neovasculature with a nanoscale delivery system. Nature 2005, 436, 568–572. [Google Scholar]
- Wiley, B.; Sun, Y.; Xia, Y. Synthesis of silver nanostructures with controlled shapes and properties. Acc. Chem. Res 2007, 40, 1067–1076. [Google Scholar]
- Nagy, A.; Mestl, G. High temperature partial oxidation reactions over silver catalysts. Appl. Catal. A: Gen 1999, 188, 337–353. [Google Scholar]
- Tao, A.; Sinsermsuksakul, P.; Yang, P. Polyhedral silver nanocrystals with distinct scattering signatures. Angew. Chem. Int. Ed 2006, 45, 4597–4601. [Google Scholar]
- Wiley, B.; Sun, Y.; Mayers, B.; Xia, Y. Shape-controlled synthesis of metal nanostructures: The case of silver. Chem.-A Eur. J 2005, 11, 454–463. [Google Scholar]
- Kapoor, S.; Lawless, D.; Kennepohl, P.; Meisel, D.; Serpone, N. Reduction and aggregation of silver ions in aqueous gelatin solutions. Langmuir 1994, 10, 3018–3022. [Google Scholar]
- Henglein, A. Small-particle research: Physicochemical properties of extremely small colloidal metal and semiconductor particles. Chem. Rev 1989, 89, 1861–1873. [Google Scholar]
- Gutierrez, M.; Henglein, A. Formation of colloidal silver by “push-pull” reduction of Ag(+). J. Phys. Chem 1993, 97, 11368–11370. [Google Scholar]
- Ershov, B.; Janata, E.; Henglein, A. Study of the formation of the dispersed phase in aqueous solutions of Cu (II). Int. J. Radiat. Appl. Instrum. Part C. Radiat. Phys. Chem 1992, 39, 123–126. [Google Scholar]
- Lee, P.; Meisel, D. Adsorption and surface-enhanced Raman of dyes on silver and gold sols. J. Phys. Chem 1982, 86, 3391–3395. [Google Scholar]
- Shirtcliffe, N.; Nickel, U.; Schneider, S. Reproducible preparation of silver sols with small particle size using borohydride reduction: For use as nuclei for preparation of larger particles. J. Colloid Interface Sci 1999, 211, 122–129. [Google Scholar]
- Emory, S.R.; Nie, S. Near-field surface-enhanced Raman spectroscopy on single silver nanoparticles. Anal. Chem 1997, 69, 2631–2635. [Google Scholar]
- Nair, L.S.; Laurencin, C.T. Silver nanoparticles: Synthesis and therapeutic applications. J. Biomed. Nanotechnol 2007, 3, 301–316. [Google Scholar]
- Zhang, Z.; Patel, R.C.; Kothari, R.; Johnson, C.P.; Friberg, S.E.; Aikens, P.A. Stable silver clusters and nanoparticles prepared in polyacrylate and inverse micellar solutions. J. Phys. Chem. B 2000, 104, 1176–1182. [Google Scholar]
- Yang, Q.; Wang, F.; Tang, K.; Wang, C.; Chen, Z. The formation of fractal Ag nanocrystallites via γ-irradiation route in isopropyl alcohol. Mater. Chem. Phys 2003, 78, 495–500. [Google Scholar]
- Zhang, Z.; Han, M. One-step preparation of size-selected and well-dispersed silver nanocrystals in polyacrylonitrile by simultaneous reduction and polymerization. J. Mater. Chem 2003, 13, 641–643. [Google Scholar]
- Chen, M.; Wang, L.-Y.; Han, J.-T.; Zhang, J.-Y.; Li, Z.-Y.; Qian, D.-J. Preparation and study of polyacryamide-stabilized silver nanoparticles through a one-pot process. J. Phys. Chem. B 2006, 110, 11224–11231. [Google Scholar]
- Patakfalvi, R.; Virányi, Z.; Dékány, I. Kinetics of silver nanoparticle growth in aqueous polymer solutions. Colloid Polym. Sci 2004, 283, 299–305. [Google Scholar]
- Rujitanaroj, P.-O.; Pimpha, N.; Supaphol, P. Wound-dressing materials with antibacterial activity from electrospun gelatin fiber mats containing silver nanoparticles. Polymer 2008, 49, 4723–4732. [Google Scholar]
- Young, S.; Wong, M.; Tabata, Y.; Mikos, A.G. Gelatin as a delivery vehicle for the controlled release of bioactive molecules. J. Control. Release 2005, 109, 256–274. [Google Scholar]
- Jongjareonrak, A.; Benjakul, S.; Visessanguan, W.; Prodpran, T.; Tanaka, M. Characterization of edible films from skin gelatin of brownstripe red snapper and bigeye snapper. Food Hydrocoll 2006, 20, 492–501. [Google Scholar]
- Huss, F.R.; Junker, J.P.; Johnson, H.; Kratz, G. Macroporous gelatine spheres as culture substrate, transplantation vehicle, and biodegradable scaffold for guided regeneration of soft tissues. In vivo study in nude mice. J. Plast. Reconstr. Aesthet. Surgery 2007, 60, 543–555. [Google Scholar]
- Vandervoort, J.; Ludwig, A. Preparation and evaluation of drug-loaded gelatin nanoparticles for topical ophthalmic use. Eur. J. Pharm. Biopharm 2004, 57, 251–261. [Google Scholar]
- Tabata, Y.; Hijikata, S.; Ikada, Y. Enhanced vascularization and tissue granulation by basic fibroblast growth factor impregnated in gelatin hydrogels. J. Control. Release 1994, 31, 189–199. [Google Scholar]
- Liu, T.-Y.; Hu, S.-H.; Liu, K.-H.; Liu, D.-M.; Chen, S.-Y. Preparation and characterization of smart magnetic hydrogels and its use for drug release. J. Magn. Magn. Mater 2006, 304, e397–e399. [Google Scholar]
- Liu, J.; Meisner, D.; Kwong, E.; Wu, X.Y.; Johnston, M.R. A novel trans-lymphatic drug delivery system: Implantable gelatin sponge impregnated with PLGA-paclitaxel microspheres. Biomaterials 2007, 28, 3236–3244. [Google Scholar]
- Ramakrishna, S.; Fujihara, K.; Teo, W.-E.; Lim, T.-C.; Ma, Z. An Introduction to Electrospinning and Nanofibers; World Scientific: Singapore, Singapore, 2005; Volume 90. [Google Scholar]
- Li, D.; Xia, Y. Electrospinning of nanofibers: Reinventing the wheel? Adv. Mater 2004, 16, 1151–1170. [Google Scholar]
- Min, B.-M.; Lee, G.; Kim, S.H.; Nam, Y.S.; Lee, T.S.; Park, W.H. Electrospinning of silk fibroin nanofibers and its effect on the adhesion and spreading of normal human keratinocytes and fibroblastsin vitro. Biomaterials 2004, 25, 1289–1297. [Google Scholar]
- Dong, B.; Arnoult, O.; Smith, M.E.; Wnek, G.E. Electrospinning of collagen nanofiber scaffolds from benign solvents. Macromol. Rapid Commun 2009, 30, 539–542. [Google Scholar]
- Li, W.J.; Laurencin, C.T.; Caterson, E.J.; Tuan, R.S.; Ko, F.K. Electrospun nanofibrous structure: A novel scaffold for tissue engineering. J. Biomed. Mater. Res 2002, 60, 613–621. [Google Scholar]
- Chun, J.Y.; Kang, H.K.; Jeong, L.; Kang, Y.O.; Oh, J.-E.; Yeo, I.-S.; Jung, S.Y.; Park, W.H.; Min, B.-M. Epidermal cellular response to poly (vinyl alcohol) nanofibers containing silver nanoparticles. Colloids Surf. B: Biointerfaces 2010, 78, 334–342. [Google Scholar]
- Fukae, R.; Maekawa, A.; Sangen, O. Gel-spinning and drawing of gelatin. Polymer 2005, 46, 11193–11194. [Google Scholar]
- Huang, Z.-M.; Zhang, Y.; Ramakrishna, S.; Lim, C. Electrospinning and mechanical characterization of gelatin nanofibers. Polymer 2004, 45, 5361–5368. [Google Scholar]
- Zhang, Y.; Ouyang, H.; Lim, C.T.; Ramakrishna, S.; Huang, Z.M. Electrospinning of gelatin fibers and gelatin/PCL composite fibrous scaffolds. J. Biomed. Mater. Res. Part B: Appl. Biomater 2005, 72, 156–165. [Google Scholar]
- Ki, C.S.; Baek, D.H.; Gang, K.D.; Lee, K.H.; Um, I.C.; Park, Y.H. Characterization of gelatin nanofiber prepared from gelatin-formic acid solution. Polymer 2005, 46, 5094–5102. [Google Scholar]
- Li, M.; Mondrinos, M.J.; Gandhi, M.R.; Ko, F.K.; Weiss, A.S.; Lelkes, P.I. Electrospun protein fibers as matrices for tissue engineering. Biomaterials 2005, 26, 5999–6008. [Google Scholar]
- Li, M.; Guo, Y.; Wei, Y.; MacDiarmid, A.G.; Lelkes, P.I. Electrospinning polyaniline-contained gelatin nanofibers for tissue engineering applications. Biomaterials 2006, 27, 2705–2715. [Google Scholar]
- Choktaweesap, N.; Arayanarakul, K.; Aht-Ong, D.; Meechaisue, C.; Supaphol, P. Electrospun gelatin fibers: Effect of solvent system on morphology and fiber diameters. Polym. J 2007, 39, 622–631. [Google Scholar]
- Songchotikunpan, P.; Tattiyakul, J.; Supaphol, P. Extraction and electrospinning of gelatin from fish skin. Int. J. Biol. Macromol 2008, 42, 247–255. [Google Scholar]
- Sikareepaisan, P.; Suksamrarn, A.; Supaphol, P. Electrospun gelatin fiber mats containing a herbal—Centella asiatica-extract and release characteristic of asiaticoside. Nanotechnology 2008, 19, 015102. [Google Scholar]
- Li, D.; McCann, J.T.; Gratt, M.; Xia, Y. Photocatalytic deposition of gold nanoparticles on electrospun nanofibers of titania. Chem. Phys. Lett 2004, 394, 387–391. [Google Scholar]
- Wang, M.; Singh, H.; Hatton, T.; Rutledge, G. Field-responsive superparamagnetic composite nanofibers by electrospinning. Polymer 2004, 45, 5505–5514. [Google Scholar]
- Demir, M.M.; Gulgun, M.A.; Menceloglu, Y.Z.; Erman, B.; Abramchuk, S.S.; Makhaeva, E.E.; Khokhlov, A.R.; Matveeva, V.G.; Sulman, M.G. Palladium nanoparticles by electrospinning from poly (acrylonitrile-co-acrylic acid)-PdCl2 solutions. Relations between preparation conditions, particle size, and catalytic activity. Macromolecules 2004, 37, 1787–1792. [Google Scholar]
- Kedem, S.; Schmidt, J.; Paz, Y.; Cohen, Y. Composite polymer nanofibers with carbon nanotubes and titanium dioxide particles. Langmuir 2005, 21, 5600–5604. [Google Scholar]
- Su, Z.; Zhao, Y.; Kang, N.; Zhang, X.; Xu, Y.; Wu, J.; Wang, D.; Han, C.C.; Xu, D. Investigation of the variation of unit cell dimensions of crystalline polymers with high-resolution FT-IR spectroscopy. Macromol. Rapid Commun 2005, 26, 895–898. [Google Scholar]
- Hussain, S.; Hess, K.; Gearhart, J.; Geiss, K.; Schlager, J. In vitro toxicity of nanoparticles in BRL 3A rat liver cells. Toxicol. In Vitro 2005, 19, 975–983. [Google Scholar]
- Braydich-Stolle, L.; Hussain, S.; Schlager, J.J.; Hofmann, M.-C. In vitro cytotoxicity of nanoparticles in mammalian germline stem cells. Toxicol. Sci 2005, 88, 412–419. [Google Scholar]
- Lam, P.; Chan, E.; Ho, W.; Liew, C. In vitro cytotoxicity testing of a nanocrystalline silver dressing (Acticoat) on cultured keratinocytes. Br. J. Biomed. Sci 2003, 61, 125–127. [Google Scholar]
- Hidalgo, E.; Bartolome, R.; Barroso, C.; Moreno, A.; Dominguez, C. Silver nitrate: Antimicrobial activity related to cytotoxicity in cultured human fibroblasts. Skin Pharmacol. Physiol 1998, 11, 140–151. [Google Scholar]
- Poon, V.K.; Burd, A. In vitro cytotoxity of silver: Implication for clinical wound care. Burns 2004, 30, 140–147. [Google Scholar]
- Saquing, C.D.; Manasco, J.L.; Khan, S.A. Electrospun nanoparticle-nanofiber composites via a one-step synthesis. Small 2009, 5, 944–951. [Google Scholar]
- Yang, Q.; Li, D.; Hong, Y.; Li, Z.; Wang, C.; Qiu, S.; Wei, Y. Preparation and characterization of a PAN nanofibre containing Ag nanoparticles via electrospinning. Synth. Met 2003, 137, 973–974. [Google Scholar]
- Lee, H.K.; Jeong, E.H.; Baek, C.K.; Youk, J.H. One-step preparation of ultrafine poly (acrylonitrile) fibers containing silver nanoparticles. Mater. Lett 2005, 59, 2977–2980. [Google Scholar]
- Lim, S.K.; Lee, S.K.; Hwang, S.H.; Kim, H. Photocatalytic deposition of silver nanoparticles onto organic/inorganic composite nanofibers. Macromol. Mater. Eng 2006, 291, 1265–1270. [Google Scholar]
- Son, W.K.; Youk, J.H.; Lee, T.S.; Park, W.H. Preparation of antimicrobial ultrafine cellulose acetate fibers with silver nanoparticles. Macromol. Rapid Commun 2004, 25, 1632–1637. [Google Scholar]
- Son, W.K.; Youk, J.H.; Park, W.H. Antimicrobial cellulose acetate nanofibers containing silver nanoparticles. Carbohydr. Polym 2006, 65, 430–434. [Google Scholar]
- Jin, W.J.; Lee, H.K.; Jeong, E.H.; Park, W.H.; Youk, J.H. Preparation of polymer nanofibers containing silver nanoparticles by using poly (N-vinylpyrrolidone). Macromol. Rapid Commun 2005, 26, 1903–1907. [Google Scholar]
- Hong, K.H.; Park, J.L.; Sul, I.H.; Youk, J.H.; Kang, T.J. Preparation of antimicrobial poly (vinyl alcohol) nanofibers containing silver nanoparticles. J. Polym. Sci. Part B: Polym. Phys 2006, 44, 2468–2474. [Google Scholar]
- Hong, K.H. Preparation and properties of electrospun poly (vinyl alcohol)/silver fiber web as wound dressings. Polym. Eng. Sci 2007, 47, 43–49. [Google Scholar]
- Pastoriza-Santos, I.; Liz-Marzán, L.M. Formation of PVP-protected metal nanoparticles in DMF. Langmuir 2002, 18, 2888–2894. [Google Scholar]
- Shin, H.S.; Yang, H.J.; Kim, S.B.; Lee, M.S. Mechanism of growth of colloidal silver nanoparticles stabilized by polyvinyl pyrrolidone in γ-irradiated silver nitrate solution. J. Colloid Interface Sci 2004, 274, 89–94. [Google Scholar]
- Temgire, M.; Joshi, S. Optical and structural studies of silver nanoparticles. Radiat. Phys. Chem 2004, 71, 1039–1044. [Google Scholar]
- Yiwei, A.; Yunxia, Y.; Shuanglong, Y.; Lihua, D.; Guorong, C. Preparation of spherical silver particles for solar cell electronic paste with gelatin protection. Mater. Chem. Phys 2007, 104, 158–161. [Google Scholar]
- Xu, X.; Zhou, M. Antimicrobial gelatin nanofibers containing silver nanoparticles. Fibers Polym 2008, 9, 685–690. [Google Scholar]
- Zhang, Y.; Venugopal, J.; Huang, Z.-M.; Lim, C.; Ramakrishna, S. Crosslinking of the electrospun gelatin nanofibers. Polymer 2006, 47, 2911–2917. [Google Scholar]
- Damink, L.O.; Dijkstra, P.; van Luyn, M.; van Wachem, P.; Nieuwenhuis, P.; Feijen, J. Glutaraldehyde as a crosslinking agent for collagen-based biomaterials. J. Mater. Sci.: Mater. Med 1995, 6, 460–472. [Google Scholar]
- Akin, H.; Hasirci, N. Preparation and characterization of crosslinked gelatin microspheres. J. Appl. Polym. Sci 1995, 58, 95–100. [Google Scholar]











© 2014 by the authors; licensee MDPI, Basel, Switzerland This article is an open access article distributed under the terms and conditions of the Creative Commons Attribution license (http://creativecommons.org/licenses/by/3.0/).
Share and Cite
Jeong, L.; Park, W.H. Preparation and Characterization of Gelatin Nanofibers Containing Silver Nanoparticles. Int. J. Mol. Sci. 2014, 15, 6857-6879. https://doi.org/10.3390/ijms15046857
Jeong L, Park WH. Preparation and Characterization of Gelatin Nanofibers Containing Silver Nanoparticles. International Journal of Molecular Sciences. 2014; 15(4):6857-6879. https://doi.org/10.3390/ijms15046857
Chicago/Turabian StyleJeong, Lim, and Won Ho Park. 2014. "Preparation and Characterization of Gelatin Nanofibers Containing Silver Nanoparticles" International Journal of Molecular Sciences 15, no. 4: 6857-6879. https://doi.org/10.3390/ijms15046857
APA StyleJeong, L., & Park, W. H. (2014). Preparation and Characterization of Gelatin Nanofibers Containing Silver Nanoparticles. International Journal of Molecular Sciences, 15(4), 6857-6879. https://doi.org/10.3390/ijms15046857

