Atmospheric Oxidation Mechanism and Kinetic Studies for OH and NO3 Radical-Initiated Reaction of Methyl Methacrylate
Abstract
:1. Introduction
2. Results and Discussion
2.1. Reaction Mechanism
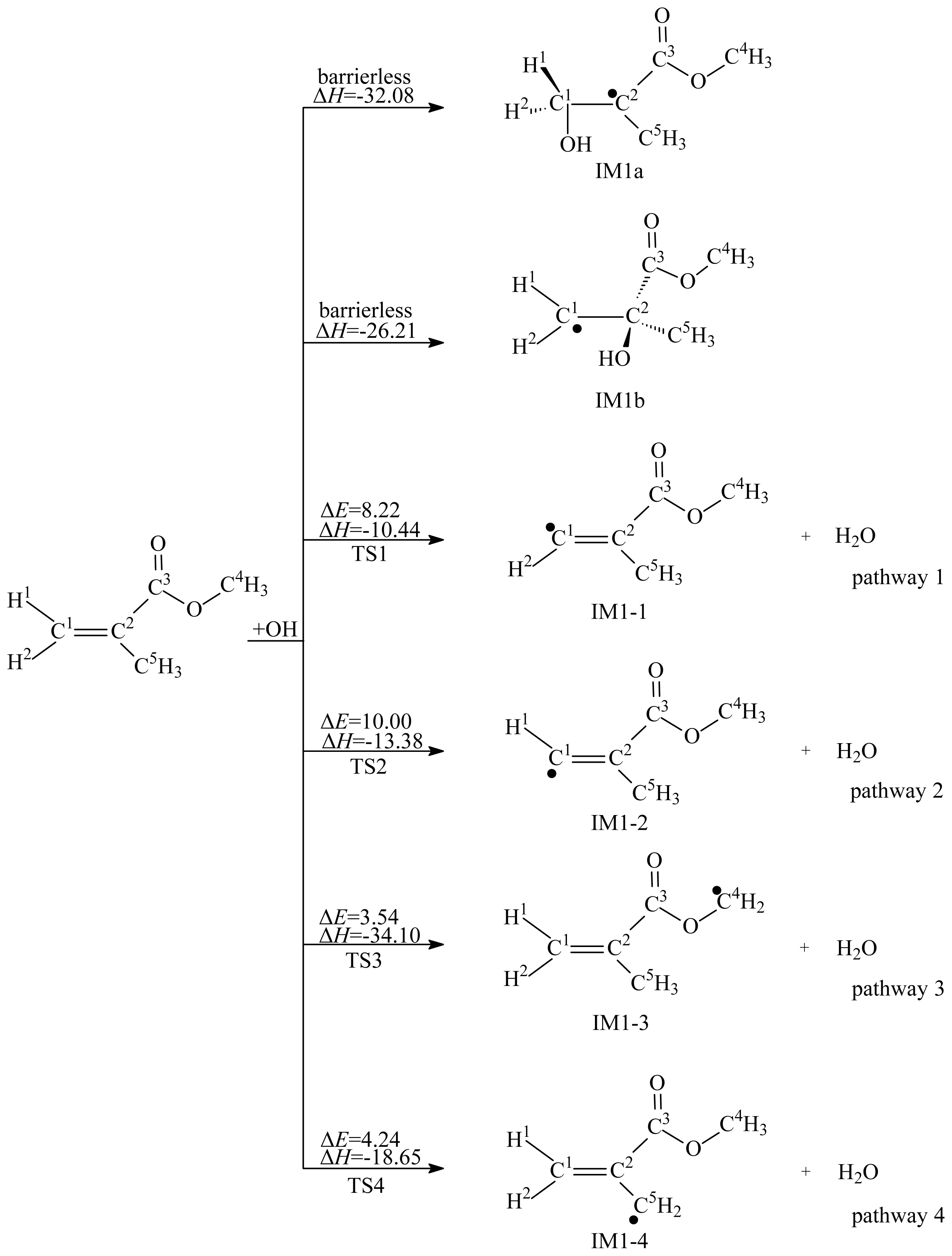
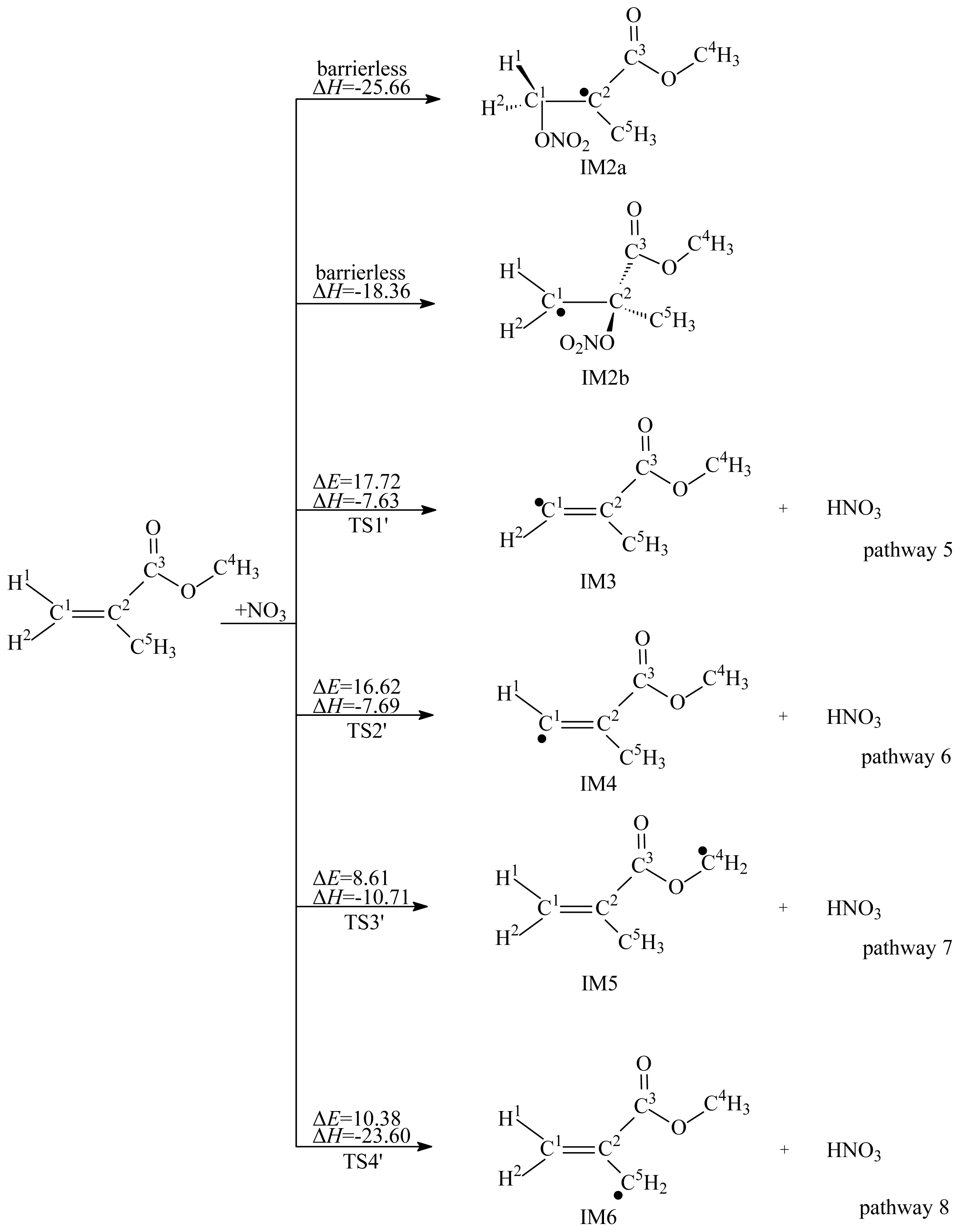
2.1.1. H Abstraction by OH and NO3 Radicals
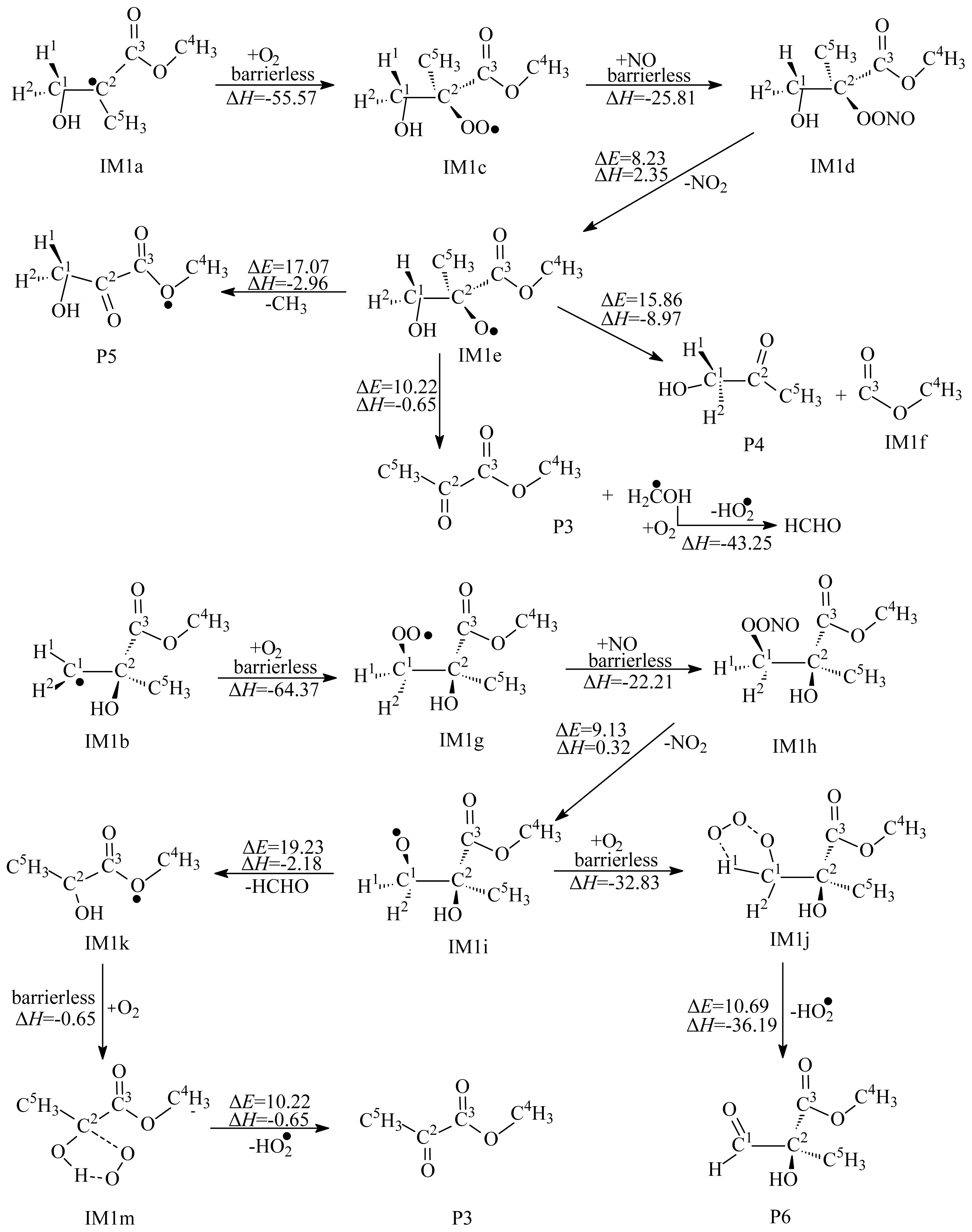
2.1.2. Addition of OH to MMA
2.1.3. Addition of NO3 to MMA
2.2. Rate Constant Calculations
3. Computational Methods
4. Conclusions
- (1)
- The mechanism of OH and NO3 radical-initiated reactions of MMA includes H abstraction pathways and the addition pathways, and the H abstraction pathways can be negligible because of their little contribution under the general atmospheric conditions.
- (2)
- The OH-MMA and NO3-MMA adducts are open-shell activated radical intermediates, and can further react with O2/NO in the atmosphere. For the OH radical-initiated reaction, the main products are CH3C(O)C(O)OCH3, HO2 and methanal, consistent with the experimental results [15]. For the NO3 radical-initiated oxidation, the reaction of the NO3-MMA adduct with O2/NO is thermodynamically and energetically more favorable than their unimolecular decomposition or isomerization under the general atmospheric conditions and the main products are CH3C(O)C(O)OCH3, CH3C(O)CH2NO3 and methanal.
Acknowledgments
Conflicts of Interest
References
- Mayo, F.R.; Lewis, F.M. Copolymerization I A basis for comparing the behavior of monomers in copolymerization; the copolymerization of styrene and methyl methacrylate. J. Am. Chem. Soc. 1944, 66, 1594–1601. [Google Scholar]
- Scott, M.P.; Brazel, C.S.; Benton, M.G.; Mays, J.W.; Holbrey, J.D.; Rogers, R.D. Application of ionic liquids as plasticizers for poly(methyl methacrylate). Chem. Commun. 2002, 1370–1371. [Google Scholar]
- Srinivasan, S.; Chhatre, S.S.; Mabry, J.M.; Cohen, R.E.; McKinley, G.H. Solution spraying of poly(methyl methacrylate) blends to fabricate microtextured superoleophobic surfaces. Polymer 2011, 52, 3209–3218. [Google Scholar]
- Nagai, K. New developments in the production of methyl methacrylate. Appl. Catal. Gen. 2001, 221, 367–377. [Google Scholar]
- Brune, D.A.G.; Beltesbrekke, H. Levels of methylmethacrylate formaldehyde and asbestos in dental workroom air. Eur. J. Oral Sci. 1981, 89, 113–116. [Google Scholar]
- Zhu, J.; Newhook, R.; Marro, L.; Chan, C.C. Selected volatile organic compounds in residential air in the city of ottawa canada. Environ. Sci. Technol. 2005, 39, 3964–3971. [Google Scholar]
- Borzelleca, J.F.; Larson, P.S.; Hennigar, G.R.; Huf, E.G.; Crawford, E.M.; Smith, R.B., Jr. Studies on the chronic oral toxicity of monomeric ethyl acrylate and methyl methacrylate. Toxicol. Appl. Pharm. 1964, 6, 29–36. [Google Scholar]
- Leggat, P.A.; Kedjarune, U. Toxicity of methyl methacrylate in dentistry. Int. Dent. J. 2003, 53, 126–131. [Google Scholar]
- Singh, A.R.; Lawrence, W.H.; Autian, J. Embryonic-fetal toxicity and teratogenic effects of a group of methacrylate esters in rats. J. Dent. Res. 1972, 51, 1632–1638. [Google Scholar]
- Canosa-Mas, C.E.; Carr, S.; King, M.D.; Shallcross, D.E.; Thompson, K.C.; Wayne, R.P. A kinetic study of the reactions of NO3 with methyl vinyl ketone methacrolein acrolein methyl acrylate and methyl methacrylate. Phys. Chem. Chem. Phys. 1999, 1, 4195–4202. [Google Scholar]
- Grosjean, D.; Grosjean, E.; Williams, E.L. Rate constants for the gas-phase reactions of ozone with unsaturated alcohols esters and carbonyls. Int. J. Chem. Kinet. 1993, 25, 783–794. [Google Scholar]
- Saunders, S.M.; Baulch, D.L.; Cooke, K.M.; Pilling, M.J.; Smurthwaite, P.I. Kinetics and mechanisms of the reactions of OH with some oxygenated compounds of importance in tropospheric chemistry. Int. J. Chem. Kinet. 1994, 26, 113–130. [Google Scholar]
- Blanco, M.B.; Taccone, R.A.; Lane, S.I.; Teruel, M.A. On the OH-initiated degradation of methacrylates in the troposphere: Gas-phase kinetics and formation of pyruvates. Chem. Phys. Lett. 2006, 429, 389–394. [Google Scholar]
- Wang, K.; Ge, M.; Wang, W. Kinetics of the gas-phase reactions of NO3 radicals with ethyl acrylate N-butyl acrylate methyl methacrylate and ethyl methacrylate. Atmos. Environ. 2010, 44, 1847–1850. [Google Scholar]
- Blanco, M.B.; Bejan, I.; Barnes, I.; Wiesen, P.; Teruel, M.A. Products and mechanism of the reactions of OH radicals and Cl atoms with methyl methacrylate (CH2=C(CH3)C(O)OCH3) in the presence of NOx. Environ. Sci. Technol. 2014, 48, 1692–1699. [Google Scholar]
- Hollenstein, H.; Günthard, H.H. Solid state and gas infrared spectra and normal coordinate analysis of 5 isotopic species of acetaldehyde. Spectrochim. Acta Mol. Biomol. Spectrosc. 1971, 27, 2027–2060. [Google Scholar]
- Kuchitsu, K.; Graner, G. Structure of Free Polyatomic Molecules: Basic Data; Springer Verlag: Berlin, Germany, 1998; pp. 1–25. [Google Scholar]
- Prinn, R.G.; Huang, J.; Weiss, R.F.; Cunnold, D.M.; Fraser, P.J.; Simmonds, P.G.; McCulloch, A.; Harth, C.; Salameh, P.; O’Doherty, S.; et al. Evidence for substantial variations of atmospheric hydroxyl radicals in the past two decades. Science 2001, 292, 1882–1888. [Google Scholar]
- Teruel, M.A.; Lane, S.I.; Mellouki, A.; Solignac, G.; Le Bras, G. OH reaction rate constants and Uv absorption cross-sections of unsaturated esters. Atmos. Environ. 2006, 40, 3764–3772. [Google Scholar]
- Shu, Y.; Atkinson, R. Atmospheric lifetimes and fates of a series of sesquiterpenes. J. Geophys. Res. 1995, 100, 7275–7281. [Google Scholar]
- Blanco, M.B.; Teruel, M.A.; Bejan, I.; Barnes, I.; Wiesen, P. Methyl methacrylate in the atmosphere: OH- and Cl-initiated oxidation in the gas phase. In Simulation and Assessment of Chemical Processes in a Multiphase Environment; Barnes, I., Kharytonov, M.M., Eds.; Springer Netherlands: Houten, The Netherlands, 2008; pp. 485–494. [Google Scholar]
- Ezell, M.J.; Wang, W.; Ezell, A.A.; Soskin, G.; Finlayson-Pitts, B.J. Kinetics of reactions of chlorine atoms with a series of alkenes at 1 Atm and 298 K: Structure and reactivity. Phys. Chem. Chem. Phys. 2002, 4, 5813–5820. [Google Scholar]
- Spicer, C.W.; Chapman, E.G.; Finlayson-Pitts, B.J.; Plastridge, R.A.; Hubbe, J.M.; Fast, J.D.; Berkowitz, C.M. Unexpectedly high concentrations of molecular chlorine in coastal air. Nature 1998, 394, 353–356. [Google Scholar]
- Lei, W.; Zhang, R. Theoretical study of hydroxyisoprene alkoxy radicals and their decomposition pathways. J. Phys. Chem. A 2001, 105, 3808–3815. [Google Scholar]
- McGivern, W.S.; Suh, I.; Clinkenbeard, A.D.; Zhang, R.; North, S.W. Experimental and computational study of the OH-isoprene reaction: Isomeric branching and low-pressure behavior. J. Phys. Chem. A 2000, 104, 6609–6616. [Google Scholar]
- Hou, H.; Wang, B. Ab initio study of the reaction of propionyl (C2H5CO) radical with oxygen (O2). J. Chem. Phys. 2007, 127, 1–9. [Google Scholar]
- He, M.; Cao, H.; Sun, Y.; Han, D.; Hu, J. Mechanistic and kinetic study of the gas-phase reaction of vinyl acetate with ozone. Atmos. Environ. 2012, 49, 197–205. [Google Scholar]






© 2014 by the authors; licensee MDPI, Basel, Switzerland This article is an open access article distributed under the terms and conditions of the Creative Commons Attribution license (http://creativecommons.org/licenses/by/3.0/).
Share and Cite
Gao, R.; Zhu, L.; Zhang, Q.; Wang, W. Atmospheric Oxidation Mechanism and Kinetic Studies for OH and NO3 Radical-Initiated Reaction of Methyl Methacrylate. Int. J. Mol. Sci. 2014, 15, 5032-5044. https://doi.org/10.3390/ijms15035032
Gao R, Zhu L, Zhang Q, Wang W. Atmospheric Oxidation Mechanism and Kinetic Studies for OH and NO3 Radical-Initiated Reaction of Methyl Methacrylate. International Journal of Molecular Sciences. 2014; 15(3):5032-5044. https://doi.org/10.3390/ijms15035032
Chicago/Turabian StyleGao, Rui, Ledong Zhu, Qingzhu Zhang, and Wenxing Wang. 2014. "Atmospheric Oxidation Mechanism and Kinetic Studies for OH and NO3 Radical-Initiated Reaction of Methyl Methacrylate" International Journal of Molecular Sciences 15, no. 3: 5032-5044. https://doi.org/10.3390/ijms15035032
APA StyleGao, R., Zhu, L., Zhang, Q., & Wang, W. (2014). Atmospheric Oxidation Mechanism and Kinetic Studies for OH and NO3 Radical-Initiated Reaction of Methyl Methacrylate. International Journal of Molecular Sciences, 15(3), 5032-5044. https://doi.org/10.3390/ijms15035032
