Highly Soluble Monoamino-Substituted Perylene Tetracarboxylic Dianhydrides: Synthesis, Optical and Electrochemical Properties
Abstract
:1. Introduction
2. Results and Discussion
2.1. Synthesis

2.2. X-ray Structure


| Compound 2a | X-ray | DFT |
|---|---|---|
| Bond lengths | (Å) | (Å) |
| C(1)–O(1) | 1.220 (3) | 1.227 |
| C(1)–N(1) | 1.403 (3) | 1.403 |
| C(1)–C(2) | 1.469 (3) | 1.481 |
| C(3)–C(4) | 1.414 (3) | 1.414 |
| C(6)–C(7) | 1.388 (3) | 1.397 |
| C(8)–C(9) | 1.414 (3) | 1.427 |
| C(8)–C(15) | 1.464 (3) | 1.464 |
| C(10)–C(13) | 1.475 (3) | 1.477 |
| C(14)–C(19) | 1.427 (3) | 1.429 |
| C(20)–C(21) | 1.358 (4) | 1.366 |
| C(20)–C(23) | 1.486 (4) | 1.487 |
| Bond angles | (°) | (°) |
| O(1)–C(1)–C(2) | 122.0 (2) | 121.2 |
| C(2)–C(3)–C(4) | 119.3 (2) | 119.2 |
| C(11)–C(10)–C(13) | 123.4 (2) | 123.3 |
| C(13)–C(14)–C(19) | 120.6 (2) | 120.4 |
| C(23)–N(2)–C(24) | 123.8 (3) | 123.5 |
| C(22)–N(3)–C(37) | 116.8 (2) | 115.8 |
| Torsion angles | (°) | (°) |
| C(7)–C(8)–C(15)–C(16) | 11.6 (3) | 9.4 |
| C(11)–C(10)–C(13)–C(22) | 14.9 (3) | 13.4 |
| O(1)–C(1)–C(2)–C(12) | 3.4 (4) | 0.7 |
| C(19)–C(14)–C(15)–C(16) | 3.0 (4) | 2.1 |
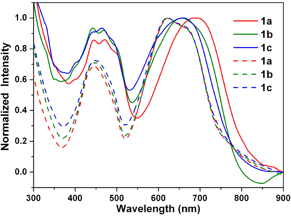
2.3. Optical Properties

| 1a/1b/1c | λabs (nm) a | λem (nm) a | Stokes Shift (nm) | Φ b × 103 |
|---|---|---|---|---|
| cyclohexane | 623/624/624 | 678/677/679 | 55/53/55 | 1.21/1.93/7.83 |
| toluene | 626/627/627 | 686/686/687 | 60/59/60 | 1.01/1.15/1.38 |
| diethyl ether | 624/626/625 | 708/709/708 | 84/83/83 | 1.03/1.19/1.70 |
| ethyl acetate | 636/637/637 | 727/726/727 | 91/89/90 | 0.90/0.81/0.96 |
| tetrahydrofuran | 638/639/639 | 731/732/731 | 93/93/92 | 0.48/0.55/0.62 |
| dichloromethane | 640/640/639 | 734/735/735 | 94/95/96 | 0.29/0.39/0.59 |
| acetonitrile | 641/641/642 | 745/745/743 | 104/104/101 | 0.16/0.24/0.33 |

2.4. Electrochemical Properties


| Compound | E+1/2 a | E2+1/2 a | E−1/2 a | E2−1/2 a | HOMO b | LUMO b |
|---|---|---|---|---|---|---|
| 1a | 1.05 | 1.32 | −0.65 | −0.79 | −5.67 | −3.68 |
| 1b | 1.03 | 1.31 | −0.66 | −0.80 | −5.65 | −3.67 |
| 1c | 1.04 | 1.30 | −0.64 | −0.78 | −5.66 | −3.69 |
| 2a | 0.84 | 1.11 | −0.97 | −1.09 | −5.46 | −3.35 |
| 2b | 0.85 | 1.13 | −0.95 | −1.10 | −5.47 | −3.36 |
| 2c | 0.83 | 1.12 | −0.96 | −1.08 | −5.45 | −3.34 |
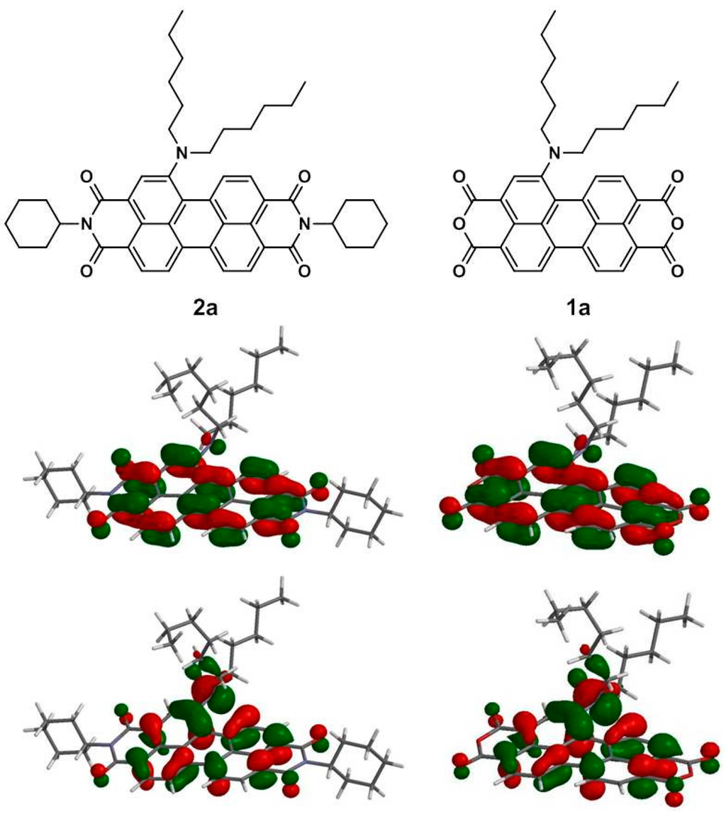
2.5. Quantum Chemistry Computation
| Compound | HOMO a | LUMO a | Eg a | Eg b | μg c | μe d | Twisting Angle (°) |
|---|---|---|---|---|---|---|---|
| 1a | −5.81 | −3.64 | 2.17 | 1.99 | 4.1 | 13.6 | 8.57, 12.42 |
| 1b | −5.80 | −3.64 | 2.16 | 1.98 | 4.3 | 16.2 | 8.59, 12.45 |
| 1c | −5.80 | −3.64 | 2.16 | 1.97 | 4.6 | 17.6 | 8.61, 12.47 |
| 2a | −5.48 | −3.19 | 2.29 | 2.11 | 3.5 | 12.5 | 9.40, 13.43 |
| 2b | −5.48 | −3.19 | 2.29 | 2.11 | 3.6 | 15.3 | 9.42, 13.45 |
| 2c | −5.47 | −3.19 | 2.28 | 2.11 | 3.8 | 16.6 | 9.45, 13.49 |


2.6. Stacking Behaviors of Dyes in Solution and Solid State


3. Experimental Section
3.1. General
3.2. Synthesis
3.2.1. Synthesis of 1-Nitroperylene Diimide (4)
3.2.2. Synthesis of 1-Aminoperylene Diimide (3)
3.2.3. General Procedure for Alkylation (2a–2c)
3.2.4. General Procedure for Saponification (1a–1c)
3.3. Crystal Structural Determination
4. Conclusions
Supplementary Materials
Acknowledgments
Author Contributions
Conflicts of Interest
References
- Choi, J.; Lee, W.; Sakong, C.; Yuk, S.B.; Park, J.S.; Kim, J.P. Facile synthesis and characterization of novel coronene chromophores and their application to LCD color filters. Dyes Pigment. 2012, 94, 34–39. [Google Scholar] [CrossRef]
- Sakong, C.; Kim, Y.D.; Choi, J.H.; Yoon, C.; Kim, J.P. The synthesis of thermally-stable red dyes for LCD color filters and analysis of their aggregation and spectral properties. Dyes Pigment. 2011, 88, 166–173. [Google Scholar] [CrossRef]
- Weiss, E.A.; Ahrens, M.J.; Sinks, L.E.; Gusev, A.V.; Ratner, M.A.; Wasielewski, M.R. Making a molecular wire: Charge and spin transport through para-phenylene oligomers. J. Am. Chem. Soc. 2004, 126, 5577–5584. [Google Scholar] [CrossRef] [PubMed]
- Wilson, T.M.; Tauber, M.J.; Wasielewski, M.R. Toward an n-type molecular wire: Electron hopping within linearly linked perylenediimide oligomers. J. Am. Chem. Soc. 2009, 131, 8952–8957. [Google Scholar] [CrossRef]
- Berberich, M.; Krause, A.M.; Orlandi, M.; Scandola, F.; Würthner, F. Toward fluorescent memories with nondestructive readout: Photoswitching of fluorescence by intramolecular electron transfer in a diaryl ethene-perylene bisimide photochromic system. Angew. Chem. Int. Ed. 2008, 47, 6616–6619. [Google Scholar] [CrossRef]
- Tan, W.; Li, X.; Zhang, J.; Tian, H. A photochromic diarylethene dyad based on perylene diimide. Dyes Pigment. 2011, 89, 260–265. [Google Scholar] [CrossRef]
- Jones, B.A.; Ahrens, M.J.; Yoon, M.H.; Facchetti, A.; Marks, T.J.; Wasielewski, M.R. High-mobility air-stable n-type semiconductors with processing versatility: Dicyanoperylene-3,4:9,10-bis(dicarboximides). Angew. Chem. Int. Ed. 2004, 43, 6363–6366. [Google Scholar] [CrossRef]
- Kim, F.S.; Guo, X.; Watson, M.D.; Jenekhe, S.A. High-mobility ambipolar transistors and high-gain inverters from a donor-acceptor copolymer semiconductor. Adv. Mater. 2009, 21, 1–5. [Google Scholar]
- Würthner, F.; Stolte, M. Naphthalene and perylene diimides for organic transistors. Chem. Commun. 2011, 47, 5109–5115. [Google Scholar] [CrossRef]
- Reghu, R.R.; Bisoyi, H.K.; Grazulevicius, J.V.; Anjukandi, P.; Gaidelis, V.; Jankauskas, V. Air stable electron-transporting and ambipolar bay substituted perylene bisimides. J. Mater. Chem. 2011, 21, 7811–7819. [Google Scholar] [CrossRef]
- Zaumseil, J.; Sirringhaus, H. Electron and ambipolar transport in organic field-effect transistors. Chem. Rev. 2007, 107, 1296–1323. [Google Scholar] [CrossRef] [PubMed]
- Locklin, J.; Li, D.; Mannsfeld, S.C.B.; Borkent, E.J.; Meng, H.; Advincula, R.; Bao, Z. Organic thin film transistors based on cyclohexyl-substituted organic semiconductors. Chem. Mater. 2005, 17, 3366–3374. [Google Scholar] [CrossRef]
- Ventura, B.; Langhals, H.; Böck, B.; Flamigni, L. Phosphorescent perylene imides. Chem. Commun. 2012, 48, 4226–4228. [Google Scholar]
- Matsui, M.; Wang, M.; Funabiki, K.; Hayakawa, Y.; Kitaguchi, T. Properties of novel perylene-3,4:9,10-tetracarboxidiimide-centred dendrimers and their application as emitters in organic electroluminescence devices. Dyes Pigment. 2007, 74, 169–175. [Google Scholar] [CrossRef]
- Damaceanu, M.-D.; Constantin, C.-P.; Bruma, N.; Pinteala, M. Tuning of the color of the emitted light from new polyperyleneimides containing oxadiazole and siloxane moieties. Dyes Pigment. 2013, 99, 228–239. [Google Scholar] [CrossRef]
- Lucenti, E.; Botta, C.; Cariati, E.; Righetto, S.; Scarpellini, M.; Tordin, E.; Ugo, R. New organic-inorganic hybrid materials based on perylene diimide-polyhedral oligomeric silsesquioxane dyes with reduced quenching of the emission in the solid state. Dyes Pigment. 2013, 96, 748–755. [Google Scholar] [CrossRef]
- Pan, J.; Zhu, W.; Li, S.; Zeng, W.; Cao, Y.; Tian, H. Dendron-functionalized perylene diimides with carrier-transporting ability for red luminescent materials. Polymer 2005, 46, 7658–7669. [Google Scholar] [CrossRef]
- Li, X.; Sinks, L.E.; Rybtchinski, B.; Wasielewski, M.R. Ultrafast aggregate-to-aggregate energy transfer within self-assembled light-harvesting columns of zinc phthalocyanine tetrakis(perylenediimide). J. Am. Chem. Soc. 2004, 126, 10810–10811. [Google Scholar] [CrossRef] [PubMed]
- Rybtchinski, B.; Sinks, L.E.; Wasielewski, M.R. Combining light-harvesting and charge separation in a self-assembled artificial photosynthetic system based on perylenediimide chromophores. J. Am. Chem. Soc. 2004, 126, 12268–12269. [Google Scholar] [CrossRef] [PubMed]
- Kozma, E.; Kotowski, D.; Catellani, M.; Luzzati, S.; Famulari, A.; Bertini, F. Synthesis and characterization of new electron acceptor perylene diimide molecules for photovoltaic applications. Dyes Pigment. 2013, 99, 329–338. [Google Scholar] [CrossRef]
- Li, J.; Dierschke, F.; Wu, J.; Grimsdale, A.C.; Müllen, K. Poly(2,7-carbazole) and perylene tetracarboxydiimide: A promising donor/acceptor pair for polymer solar cells. J. Mater. Chem. 2006, 16, 96–100. [Google Scholar] [CrossRef]
- Dinçalp, H.; Aşkar, Z.; Zafer, C.; İçli, S. Effect of side chain substituents on the electron injection abilities of unsymmetrical perylene diimide dyes. Dyes Pigment. 2011, 91, 182–191. [Google Scholar] [CrossRef]
- Ramanan, C.; Semigh, A.L.; Anthony, J.E.; Marks, T.J.; Wasielewski, M.R. Competition between singlet fission and charge separation in solution-processed blend films of 6,13-bis(triisopropylsilylethynyl)-pentacene with sterically-encumbered perylene-3,4:9,10-bis(dicarboximide)s. J. Am. Chem. Soc. 2012, 134, 386–397. [Google Scholar]
- Shibano, Y.; Umeyama, T.; Matano, Y.; Imahori, H. Electron-donating perylene tetracarboxylic acids for dye-sensitized solar cells. Org. Lett. 2007, 9, 1971–1974. [Google Scholar] [CrossRef] [PubMed]
- Kozma, E.; Catellani, M. Perylene diimides based materials for organic solar cells. Dyes Pigment. 2013, 98, 160–179. [Google Scholar] [CrossRef]
- Tian, H.; Liu, P.H.; Zhu, W.; Gao, E.; Wu, D.J.; Cai, S. Synthesis of novel multi-chromophoric soluble perylene derivatives and their photosensitizing properties with wide spectral response for SnO2 nanoporous electrode. J. Mater. Chem. 2000, 10, 2708–2715. [Google Scholar]
- Choi, H.; Paek, S.; Song, J.; Kim, C.; Cho, N.; Ko, J. Synthesis of annulated thiophene perylene bisimide analogues: Their applications to bulk heterojunction organic solar cells. Chem. Commun. 2011, 47, 5509–5511. [Google Scholar] [CrossRef]
- Huang, C.; Barlow, S.; Marder, S.R. Perylene-3,4,9,10-tetracarboxylic acid diimides: Synthesis, physical properties, and use in organic electronics. J. Org. Chem. 2011, 76, 2386–2407. [Google Scholar] [CrossRef] [PubMed]
- Wang, H.Y.; Peng, B.; Wei, W. Solar cells based on perylene bisimide derivatives. Prog. Chem. 2008, 20, 1751–1760. [Google Scholar]
- Lu, X.; Guo, Z.; Sun, C.; Tian, H.; Zhu, W. Helical Assembly induced by hydrogen bonding from chiral carboxylic acids based on perylene bisimides. J. Phys. Chem. B 2011, 115, 10871–10876. [Google Scholar] [CrossRef] [PubMed]
- Würthner, F. Perylene bisimide dyes as versatile building blocks for functional supramolecular architectures. Chem. Commun. 2004, 14, 1564–1579. [Google Scholar] [CrossRef]
- Wasielewski, M.R. Self-assembly strategies for integrating light harvesting and charge separation in artificial photosynthetic systems. Acc. Chem. Res. 2009, 42, 1910–1921. [Google Scholar] [CrossRef] [PubMed]
- Kaur, B.; Bhattacharya, S.N.; Henry, D.J. Interpreting the near-infrared reflectance of a series of perylene pigments. Dyes Pigment. 2013, 99, 502–511. [Google Scholar]
- Langhals, H.; Kirner, S. Novel fluorescent dyes by the extension of the core of perylenetetracarboxylic bisimides. Eur. J. Org. Chem. 2000, 2, 365–380. [Google Scholar] [CrossRef]
- Liang, Y.; Wang, H.; Wang, D.; Liu, H.; Feng, S. The synthesis, morphology and liquid-crystalline property of polysiloxane-modified perylene derivative. Dyes Pigment. 2012, 95, 260–267. [Google Scholar] [CrossRef]
- Kaur, B.; Quazi, N.; Ivanov, I.; Bhattacharya, S.N. Near-infrared reflective properties of perylene derivatives. Dyes Pigment. 2012, 92, 1108–1113. [Google Scholar] [CrossRef]
- Cui, Y.; Wu, Y.; Liu, Y.; Yang, G.; Liu, L.; Fu, H.; Li, Z.; Wang, S.; Wang, Z.; Chen, Y. PEGylated nanoparticles of diperylene bisimides with high efficiency of 1O2 generation. Dyes Pigment. 2013, 97, 129–133. [Google Scholar] [CrossRef]
- Wang, R.; Shi, Z.; Zhang, C.; Zhang, A.; Chen, J.; Guo, W.; Sun, Z. Facile synthesis and controllable bromination of asymmetrical intermediates of perylene monoanhydride/monoimide diester. Dyes Pigment. 2013, 98, 450–458. [Google Scholar] [CrossRef]
- Luo, M.-H.; Chen, K.-Y. Asymmetric perylene bisimide dyes with strong solvatofluorism. Dyes Pigment. 2013, 99, 456–464. [Google Scholar] [CrossRef]
- Kang, H.; Jiang, W.; Wang, Z. Construction of well-defined butadiynylene-linked perylene bisimide arrays via cross-coupling. Dyes Pigment. 2013, 97, 244–249. [Google Scholar] [CrossRef]
- Daimon, T.; Nihei, E. Fabrication of a poly(3-octylthiophene-2,5-diyl) electrochemiluminescence device assisted by perylene. Materials 2013, 6, 1704–1717. [Google Scholar] [CrossRef]
- Sharma, G.D.; Kurchania, R.; Ball, R.J.; Roy, M.S.; Mikroyannidis, J.A. Effect of deoxycholic acid on the performance of liquid electrolyte dye-sensitized solar cells using a perylene monoimide derivative. Int. J. Photoenergy 2012, 2012. [Google Scholar] [CrossRef]
- Tsai, H.Y.; Chang, C.W.; Chen, K.Y. 1,6- and 1,7-Regioisomers of asymmetric and symmetric perylene bisimides: synthesis, characterization and optical properties. Molecules 2014, 19, 327–341. [Google Scholar] [CrossRef]
- El-Daly, S.A.; Alamry, K.A.; Asiri, A.M.; Hussein, M.A. Spectral characteristics and fluorescence quenching of N,N′-bis(4-pyridyl)-3,4:9,10-perylenebis(dicarboximide) (BPPD). J. Lumin. 2012, 132, 2747–2752. [Google Scholar] [CrossRef]
- Tsai, H.Y.; Chen, K.Y. Synthesis and optical properties of novel asymmetric perylene bisimides. J. Lumin. 2014, 149, 103–111. [Google Scholar] [CrossRef]
- Naveenraj, S.; Raj, M.R.; Anandan, S. Binding interaction between serum albumins and perylene-3,4,9,10-tetracarboxylate - A spectroscopic investigation. Dyes Pigment. 2012, 94, 330–337. [Google Scholar] [CrossRef]
- Zhang, L.; Wang, Y.; Yu, J.; Zhang, G.; Cai, X.; Wu, Y.; Wang, L. A colorimetric and fluorescent sensor based on PBIs for palladium detection. Tetrahedron Lett. 2013, 54, 4019–4022. [Google Scholar] [CrossRef]
- Boobalan, G.; Imran, P.M.; Ramkumar, S.G.; Nagarajan, S. Fabrication of luminescent perylene bisimide nanorods. J. Lumin. 2014, 146, 387–393. [Google Scholar] [CrossRef]
- Ma, Y.S.; Wang, C.H.; Zhao, Y.J.; Yu, Y.; Han, C.X.; Qiu, X.J.; Shi, Z. Perylene diimide dyes aggregates: Optical properties and packing behavior in solution and solid state. Supramol. Chem. 2007, 19, 141–149. [Google Scholar] [CrossRef]
- Rajasingh, P.; Cohen, R.; Shirman, E.; Shimon, L.J.W.; Rybtchinski, B. Selective bromination of perylene diimides under mild conditions. J. Org. Chem. 2007, 72, 5973–5979. [Google Scholar] [CrossRef] [PubMed]
- Chen, K.Y.; Fang, T.C.; Chang, M.J. Synthesis, photophysical and electrochemical properties of 1-aminoperylene bisimides. Dyes Pigment. 2011, 92, 517–523. [Google Scholar] [CrossRef]
- Tsai, H.Y.; Chen, K.Y. 1,7-Diaminoperylene bisimides: Synthesis, optical and electrochemical properties. Dyes Pigment. 2013, 96, 319–327. [Google Scholar] [CrossRef]
- Ahrens, M.J.; Tauber, M.J.; Wasielewski, M.R. Bis(n-octylamino)perylene-3,4:9,10-bis(dicarboximide)s and their radical cations: Synthesis, electrochemistry, and ENDOR spectroscopy. J. Org. Chem. 2006, 71, 2107–2114. [Google Scholar] [CrossRef] [PubMed]
- Wang, H.; Kaiser, T.E.; Uemura, S.; Würthner, F. Perylene bisimide J-aggregates with absorption maxima in the NIR. Chem. Commun. 2008, 10, 1181–1183. [Google Scholar] [CrossRef]
- Zhao, C.; Zhang, Y.; Li, R.; Li, X.; Jiang, J. Di(alkoxy)- and di(alkylthio)-substituted perylene-3,4;9,10-tetracarboxy diimides with tunable electrochemical and photophysical properties. J. Org. Chem. 2007, 72, 2402–2410. [Google Scholar] [CrossRef] [PubMed]
- Zhang, X.; Pang, S.; Zhang, Z.; Ding, X.; Zhang, S.; He, S.; Zhan, C. Facile synthesis of 1-bromo-7-alkoxyl perylene diimide dyes: Toward unsymmetrical functionalizations at the 1,7-positions. Tetrahedron Lett. 2012, 53, 1094–1097. [Google Scholar] [CrossRef]
- Dhokale, B.; Gautam, P.; Misra, R. Donor-acceptor perylenediimide-ferrocene conjugates: Synthesis, photophysical, and electrochemical properties. Tetrahedron Lett. 2012, 53, 2352–2354. [Google Scholar] [CrossRef]
- Miasojedovasa, A.; Kazlauskasa, K.; Armonaitea, G.; Sivamuruganb, V.; Valiyaveettilb, S.; Grazuleviciusc, J.V.; Jursenasa, S. Concentration effects on emission of bay-substituted perylene diimide derivatives in a polymer matrix. Dyes Pigment. 2012, 92, 1285–1291. [Google Scholar] [CrossRef]
- Handa, N.V.; Mendoza, K.D.; Shirtcliff, L.D. Syntheses and properties of 1,6 and 1,7 perylene diimides and tetracarboxylic dianhydrides. Org. Lett. 2011, 13, 4724–4727. [Google Scholar] [CrossRef] [PubMed]
- Li, Y.; Tan, L.; Wang, Z.; Qian, H.; Shi, Y.; Hu, W. Air-stable n-type semiconductor: Core-perfluoroalkylated perylene bisimides. Org. Lett. 2008, 10, 529–532. [Google Scholar] [CrossRef] [PubMed]
- Chen, K.Y.; Chow, T.J. 1,7-Dinitroperylene bisimides: Facile synthesis and characterization as n-type organic semiconductors. Tetrahedron Lett. 2010, 51, 5959–5963. [Google Scholar] [CrossRef]
- Chen, Z.J.; Wang, L.M.; Zou, G.; Zhang, L.; Zhang, G.J.; Cai, X.F.; Teng, M.S. Colorimetric and ratiometric luorescent chemosensor for fluoride ion based on perylene diimide derivatives. Dyes Pigment. 2012, 94, 410–415. [Google Scholar] [CrossRef]
- Kong, X.; Gao, J.; Ma, T.; Wang, M.; Zhang, A.; Shi, Z.; Wei, Y. Facile synthesis and replacement reactions of mono-substituteded perylene bisimide dyes. Dyes Pigment. 2012, 95, 450–454. [Google Scholar] [CrossRef]
- Dubey, R.K.; Efimov, A.; Lemmetyinen, H. 1,7- And 1,6-regioisomers of diphenoxy and dipyrrolidinyl substituted perylene diimides: Synthesis, separation, characterization, and comparison of electrochemical and optical properties. Chem. Mater. 2011, 23, 778–788. [Google Scholar] [CrossRef]
- Würthner, F.; Stepanenko, V.; Chen, Z.; Saha-Möller, C.R.; Kocher, N.; Stalke, D. Preparation and characterization of regioisomerically pure 1,7-disubstituted perylene bisimide dyes. J. Org. Chem. 2004, 69, 7933–7939. [Google Scholar] [CrossRef] [PubMed]
- Lakowicz, J.R. Principles of Fluorescence Spectroscopy, 2nd ed.; Plenum: Berlin, Germany, 1999. [Google Scholar]
- Chen, Z.; Baumeister, U.; Tschierske, C.; Würthner, F. Effect of core twisting on self-assembly and optical properties of perylene bisimide dyes in solution and columnar liquid crystalline phases. Chem. Eur. J. 2007, 13, 450–465. [Google Scholar] [CrossRef] [PubMed]
- Sheldrick, G.M. SHELXS97, A Program for Automatic Solution of Crystal Structure; University of Göttingen: Wilhelmsplatz, Germany, 1997. [Google Scholar]
- Sheldrick, G.M. SHELX97, A Program for Crystal Structure Refinement; University of Göttingen: Wilhelmsplatz, Germany, 1997. [Google Scholar]
© 2014 by the authors; licensee MDPI, Basel, Switzerland. This article is an open access article distributed under the terms and conditions of the Creative Commons Attribution license (http://creativecommons.org/licenses/by/4.0/).
Share and Cite
Chen, K.-Y.; Chang, C.-W. Highly Soluble Monoamino-Substituted Perylene Tetracarboxylic Dianhydrides: Synthesis, Optical and Electrochemical Properties. Int. J. Mol. Sci. 2014, 15, 22642-22660. https://doi.org/10.3390/ijms151222642
Chen K-Y, Chang C-W. Highly Soluble Monoamino-Substituted Perylene Tetracarboxylic Dianhydrides: Synthesis, Optical and Electrochemical Properties. International Journal of Molecular Sciences. 2014; 15(12):22642-22660. https://doi.org/10.3390/ijms151222642
Chicago/Turabian StyleChen, Kew-Yu, and Che-Wei Chang. 2014. "Highly Soluble Monoamino-Substituted Perylene Tetracarboxylic Dianhydrides: Synthesis, Optical and Electrochemical Properties" International Journal of Molecular Sciences 15, no. 12: 22642-22660. https://doi.org/10.3390/ijms151222642
APA StyleChen, K.-Y., & Chang, C.-W. (2014). Highly Soluble Monoamino-Substituted Perylene Tetracarboxylic Dianhydrides: Synthesis, Optical and Electrochemical Properties. International Journal of Molecular Sciences, 15(12), 22642-22660. https://doi.org/10.3390/ijms151222642

