Complexes of Silver(I) Ions and Silver Phosphate Nanoparticles with Hyaluronic Acid and/or Chitosan as Promising Antimicrobial Agents for Vascular Grafts
Abstract
:1. Introduction
2. Results and Discussion
2.1. Characterization of Silver Phosphate Nanoparticles (SPNPs)
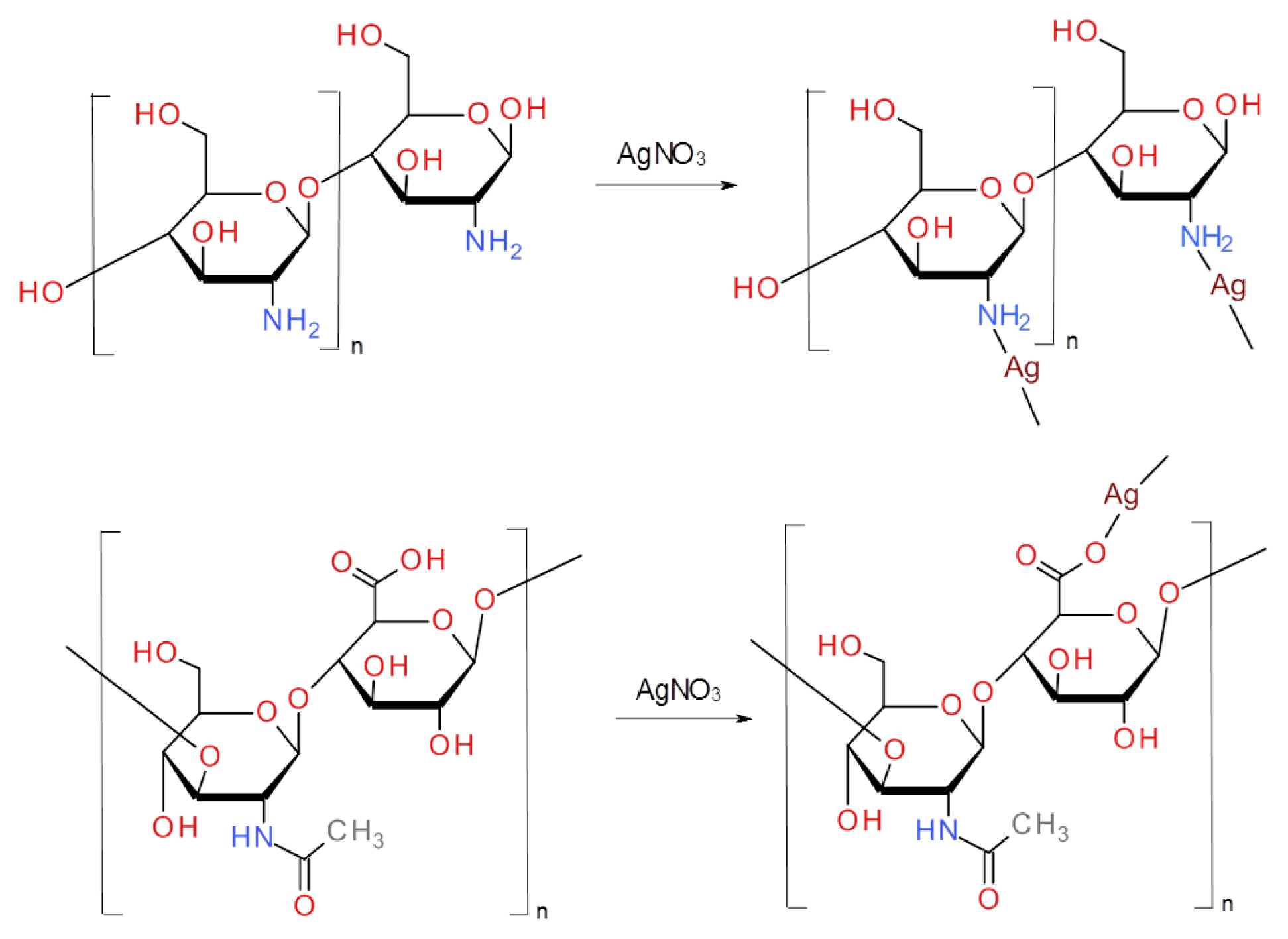
2.2. Formation of Complexes of Silver with Polymeric Compounds
2.3. Characterization of Creation of Complex between Silver and Polymeric Compounds Using Electrochemical Methods
2.4. Spectrophotometric Characterization of Course of Creation of Complexes of Silver and Polymeric Compounds
2.5. Mass Spectrometric Characterization of the Used Bacterial Strain
2.6. Determination of Antimicrobial Activity of Complexes of Silver and Polymeric Compounds
2.7. Biochemical Array
3. Experimental Section
3.1. Chemicals
3.2. Knitted Vascular Prosthesis
3.3. Preparation of Silver Phosphate Nanoparticles (SPNPs)
3.4. Cultivation of Staphylococcus aureus
3.5. Determination of Antibacterial Properties
3.6. Determination of Growth Curves
3.7. Biochemical Tests
3.8. Determination of Protein Matrix-Assisted Laser Desorption-Ionization Time-of-Flight (MALDI) Mass Spectra
3.9. Electrochemical Determination of Silver(I) Ions, and SPNPs in Complexes with Hyaluronic Acid and Chitosan Using Sensor Array
3.10. Spectrophotometric Determination of Silver(I) Ions, and SPNPs in Complexes with Hyaluronic Acid and Chitosan
3.11. Scanning Electron Microscope
3.12. Statistical Analyses
4. Conclusions
Acknowledgments
Conflict of Interest
References
- Perl, T.M.; Cullen, J.J.; Wenzel, R.P.; Zimmerman, M.B.; Pfaller, M.A.; Sheppard, D.; Twombley, J.; French, P.P.; Herwaldt, L.A. the Mupirocin and the Risk of Staphylococcus aureus Study Team. Intranasal mupirocin to prevent postoperative Staphylococcus aureus infections. N. Engl. J. Med. 2002, 346, 1871–1877. [Google Scholar]
- Ginalska, G.; Osinska, M.; Uryniak, A.; Urbanik-Sypniewska, T.; Belcarz, A.; Rzeski, W.; Wolski, A. Antibacterial activity of gentamicin-bonded gelatin-sealed polyethylene terephthalate vascular prostheses. Eur. J. Vasc. Endovasc. Surg 2005, 29, 419–424. [Google Scholar]
- Bandyk, D.F. Vascular surgical site infection: Risk factors and preventive measures. Semin. Vasc. Surg 2008, 21, 119–123. [Google Scholar]
- Teebken, O.E.; Bisdas, T.; Assadian, O.; Ricco, J.B. Recommendations for reporting treatment of aortic graft infections. Eur. J. Vasc. Endovasc. Surg 2012, 43, 174–181. [Google Scholar]
- Homer-Vanniasinkam, S. Surgical site and vascular infections: Treatment and prophylaxis. Int. J. Infect. Dis 2007, 11, S17–S22. [Google Scholar]
- O’Brien, R.; Pocock, N.; Torella, F. Wound infection after reconstructive arterial surgery of the lower limbs: Risk factors and consequences. Surg. J. R. Coll. Surg. Edinb. Irel 2011, 9, 245–248. [Google Scholar]
- Tatterton, M.R.; Homer-Vanniasinkam, S. Infections in vascular surgery. Injury-Int. J. Care Inj 2011, 42, S35–S41. [Google Scholar]
- Nasim, A.; Thompson, M.M.; Naylor, A.R.; Bell, P.R.F.; London, N.J.M. The impact of MRSA on vascular surgery. Eur. J. Vasc. Endovasc. Surg 2001, 22, 211–214. [Google Scholar]
- Young, M.H.; Upchurch, G.R.; Malani, P.N. Vascular graft infections. Infect. Dis. Clin. N. Am 2012, 26, 41–56. [Google Scholar]
- Anderson, D.J.; Sexton, D.J.; Kanafani, Z.A.; Auten, G.; Kaye, K.S. Severe surgical site infection in community hospitals: Epidemiology, key procedures, and the changing prevalence of methicillin-resistant staphylococcus aureus. Infect. Control Hosp. Epidemiol 2007, 28, 1047–1053. [Google Scholar]
- Earnshaw, J.J. Methicillin-resistant Staphylococcus aureus: Vascular surgeons should fight back. Eur. J. Vasc. Endovasc. Surg 2002, 24, 283–286. [Google Scholar]
- Driscoll, A.J.; Bhat, N.; Karron, R.A.; O’Brien, K.L.; Murdoch, D.R. Disk diffusion bioassays for the detection of antibiotic activity in body fluids: Applications for the pneumonia etiology research for child health project. Clin. Infect. Dis 2012, 54, S159–S164. [Google Scholar]
- Lew, W.; Moore, W. Antibiotic-impregnated grafts for aortic reconstruction. Semin. Vasc. Surg 2011, 24, 211–219. [Google Scholar]
- Ricco, J.B.; Assadian, O. Antimicrobial silver grafts for prevention and treatment of vascular graft infection. Semin. Vasc. Surg 2011, 24, 234–241. [Google Scholar]
- Green, J.B.D.; Fulghum, T.; Nordhaus, M.A. Review of immobilized antimicrobial agents and methods for testing. Biointerphases 2011, 6, MR13–MR28. [Google Scholar]
- Osinska-Jaroszuk, M.; Ginalska, G.; Belcarz, A.; Uryniak, A. Vascular prostheses with covalently bound gentamicin and amikacin reveal superior antibacterial properties than silver-impregnated ones—An in vitro study. Eur. J. Vasc. Endovasc. Surg. 2009, 38, 697–706. [Google Scholar]
- Rai, M.K.; Deshmukh, S.D.; Ingle, A.P.; Gade, A.K. Silver nanoparticles: The powerful nanoweapon against multidrug-resistant bacteria. J. Appl. Microbiol 2012, 112, 841–852. [Google Scholar]
- Unger, C.; Luck, C. Inhibitory effects of silver ions on Legionella pneumophila grown on agar, intracellular in Acanthamoeba castellanii and in artificial biofilms. J. Appl. Microbiol 2012, 112, 1212–1219. [Google Scholar]
- Xu, H.Y.; Qu, F.; Xu, H.; Lai, W.H.; Wang, Y.A.; Aguilar, Z.P.; Wei, H. Role of reactive oxygen species in the antibacterial mechanism of silver nanoparticles on Escherichia coli O157:H7. Biometals 2012, 25, 45–53. [Google Scholar]
- Park, H.J.; Kim, J.Y.; Kim, J.; Lee, J.H.; Hahn, J.S.; Gu, M.B.; Yoon, J. Silver-ion-mediated reactive oxygen species generation affecting bactericidal activity. Water Res 2009, 43, 1027–1032. [Google Scholar]
- Kwakye-Awuah, B.; Williams, C.; Kenward, M.A.; Radecka, I. Antimicrobial action and efficiency of silver-loaded zeolite X. J. Appl. Microbiol 2008, 104, 1516–1524. [Google Scholar]
- Li, W.R.; Xie, X.B.; Shi, Q.S.; Duan, S.S.; Ouyang, Y.S.; Chen, Y.B. Antibacterial effect of silver nanoparticles on Staphylococcus aureus. Biometals 2011, 24, 135–141. [Google Scholar]
- Limbach, L.K.; Wick, P.; Manser, P.; Grass, R.N.; Bruinink, A.; Stark, W.J. Exposure of engineered nanoparticles to human lung epithelial cells: Influence of chemical composition and catalytic activity on oxidative stress. Environ. Sci. Technol 2007, 41, 4158–4163. [Google Scholar]
- Choi, O.; Deng, K.K.; Kim, N.J.; Ross, L.; Surampalli, R.Y.; Hu, Z.Q. The inhibitory effects of silver nanoparticles, silver ions, and silver chloride colloids on microbial growth. Water Res 2008, 42, 3066–3074. [Google Scholar]
- Chen, Y.G.; Chen, H.; Zheng, X.; Mu, H. The impacts of silver nanoparticles and silver ions on wastewater biological phosphorous removal and the mechanisms. J. Hazard. Mater 2012, 239, 88–94. [Google Scholar]
- Jo, H.J.; Choi, J.W.; Lee, S.H.; Hong, S.W. Acute toxicity of Ag and CuO nanoparticle suspensions against Daphnia magna: The importance of their dissolved fraction varying with preparation methods. J. Hazard. Mater 2012, 227, 301–308. [Google Scholar]
- Joshi, N.; Ngwenya, B.T.; French, C.E. Enhanced resistance to nanoparticle toxicity is conferred by overproduction of extracellular polymeric substances. J. Hazard. Mater 2012, 241, 363–370. [Google Scholar]
- Pallavicini, P.; Taglietti, A.; Dacarro, G.; Diaz-Fernandez, Y.A.; Galli, M.; Grisoli, P.; Patrini, M.; de Magistris, G.S.; Zanoni, R. Self-assembled monolayers of silver nanoparticles firmly grafted on glass surfaces: Low Ag+ release for an efficient antibacterial activity. J. Colloid Interface Sci 2010, 350, 110–116. [Google Scholar]
- Taglietti, A.; Fernandez, Y.A.D.; Amato, E.; Cucca, L.; Dacarro, G.; Grisoli, P.; Necchi, V.; Pallavicini, P.; Pasotti, L.; Patrini, M. Antibacterial activity of glutathione-coated silver nanoparticles against gram positive and gram negative bacteria. Langmuir 2012, 28, 8140–8148. [Google Scholar]
- Dowling, D.P.; Betts, A.J.; Pope, C.; McConnell, M.L.; Eloy, R.; Arnaud, M.N. Anti-bacterial silver coatings exhibiting enhanced activity through the addition of platinum. Surf. Coat. Technol 2003, 163, 637–640. [Google Scholar]
- Ruden, S.; Hilpert, K.; Berditsch, M.; Wadhwani, P.; Ulrich, A.S. Synergistic interaction between silver nanoparticles and membrane-permeabilizing antimicrobial peptides. Antimicrob. Agents Chemother 2009, 53, 3538–3540. [Google Scholar]
- Zitka, O.; Sobrova, P.; Adam, V.; Hubalek, J.; Provaznik, I.; Zizkova, V.; Kizek, R. Nanotechnology for more efficient blood vessel replacements. Chem. Listy 2013, 107, 24–29. [Google Scholar]
- Evanko, S.P.; Wight, T.N. Intracellular localization of hyaluronan in proliferating cells. J. Histochem. Cytochem 1999, 47, 1331–1341. [Google Scholar]
- Kogan, G.; Soltes, L.; Stern, R.; Gemeiner, P. Hyaluronic acid: A natural biopolymer with a broad range of biomedical and industrial applications. Biotechnol. Lett 2007, 29, 17–25. [Google Scholar]
- Guibal, E. Interactions of metal ions with chitosan-based sorbents: A review. Sep. Purif. Technol 2004, 38, 43–74. [Google Scholar]
- Pires, N.R.; Cunha, P.L.R.; Maciel, J.S.; Angelim, A.L.; Melo, V.M.M.; de Paula, R.C.M.; Feitosa, J.P.A. Sulfated chitosan as tear substitute with no antimicrobial activity. Carbohydr. Polym 2013, 91, 92–99. [Google Scholar]
- Madhumathi, K.; Kumar, P.T.S.; Abhilash, S.; Sreeja, V.; Tamura, H.; Manzoor, K.; Nair, S.V.; Jayakumar, R. Development of novel chitin/nanosilver composite scaffolds for wound dressing applications. J. Mater. Sci 2010, 21, 807–813. [Google Scholar]
- Jayakumar, R.; Menon, D.; Manzoor, K.; Nair, S.V.; Tamura, H. Biomedical applications of chitin and chitosan based nanomaterials—A short review. Carbohydr. Polym 2010, 82, 227–232. [Google Scholar]
- Huang, G.Q.; Sun, Y.T.; Xiao, J.X.; Yang, J. Complex coacervation of soybean protein isolate and chitosan. Food Chem 2012, 135, 534–539. [Google Scholar]
- Lee, S.B.; Kim, Y.H.; Chong, M.S.; Lee, Y.M. Preparation and characteristics of hybrid scaffolds composed of beta-chitin and collagen. Biomaterials 2004, 25, 2309–2317. [Google Scholar]
- Abdel-Mohsen, A.M.; Hrdina, R.; Burgert, L.; Krylova, G.; Abdel-Rahman, R.M.; Krejcova, A.; Steinhart, M.; Benes, L. Green synthesis of hyaluronan fibers with silver nanoparticles. Carbohydr. Polym 2012, 89, 411–422. [Google Scholar]
- Wan, Y.; Guo, Z.R.; Jiang, X.L.; Fang, K.; Lu, X.; Zhang, Y.; Gu, N. Quasi-spherical silver nanoparticles: Aqueous synthesis and size control by the seed-mediated Lee-Meisel method. J. Colloid Interface Sci 2013, 394, 263–268. [Google Scholar]
- Jiang, J.; Chae, B.; Jeong, S.K.; Min, B.K.; Kim, S.H.; Piao, L.; Yoon, S. Assembling Ag nanoparticles into morphology controlled secondary structures on loosely packed self-assembled monolayers. J. Colloid Interface Sci 2013, 394, 639–642. [Google Scholar]
- Boomi, P.; Prabu, H.G.; Mathiyarasu, J. Synthesis and characterization of polyaniline/Ag-Pt nanocomposite for improved antibacterial activity. Colloid Surf. B 2013, 103, 9–14. [Google Scholar]
- Li, G.Y.; Wen, Q.W.; Zhang, T.; Ju, Y.Y. Synthesis and properties of silver nanoparticles in chitosan-based thermosensitive semi-interpenetrating hydrogels. J. Appl. Polym. Sci 2013, 127, 2690–2697. [Google Scholar]
- Li, X.; Lenhart, J.J. Aggregation and dissolution of silver nanoparticles in natural surface water. Environ. Sci. Technol 2012, 46, 5378–5386. [Google Scholar]
- Khan, A.; Qamar, M.; Muneer, M. Synthesis of highly active visible-light-driven colloidal silver orthophosphate. Chem. Phys. Lett. 2012, 519–520, 54–58. [Google Scholar]
- Bin Ahmad, M.; Lim, J.J.; Shameli, K.; Ibrahim, N.A.; Tay, M.Y. Synthesis of silver nanoparticles in chitosan, gelatin and chitosan/gelatin bionanocomposites by a chemical reducing agent and their characterization. Molecules 2011, 16, 7237–7248. [Google Scholar]
- Dospivova, D.; Hynek, D.; Kopel, P.; Bezdekova, A.; Sochor, J.; Krizkova, S.; Adam, V.; Trnkova, L.; Hubalek, J.; Babula, P.; et al. Electrochemical behaviour of apoferritin encapsulating of silver(i) ions and its application for treatment of Staphylococcus aureus. Int. J. Electrochem. Sci 2012, 7, 6378–6395. [Google Scholar]
- Trnkova, L.; Krizkova, S.; Adam, V.; Hubalek, J.; Kizek, R. Immobilization of metallothionein to carbon paste electrode surface via anti-MT antibodies and its use for biosensing of silver. Biosens. Bioelectron 2011, 26, 2201–2207. [Google Scholar]
- Zitka, O.; Huska, D.; Adam, V.; Horna, A.; Beklova, M.; Svobodova, Z.; Kizek, R. CoulArray detector as a tool for estimation of acute toxicity of silver(I) ions. Int. J. Electrochem. Sci 2010, 5, 1082–1089. [Google Scholar]
- Chekin, F.; Raoof, J.B.; Bagheri, S.; Abd Hamid, S.B. The porous chitosan-sodium dodecyl sulfate-carbon nanotube nanocomposite: Direct electrochemistry and electrocatalysis of hemoglobin. Anal. Methods 2012, 4, 2977–2981. [Google Scholar]
- Ma, L.P.; Yuan, R.; Chai, Y.Q.; Chen, S.H. Amperometric hydrogen peroxide biosensor based on the immobilization of HRP on DNA-silver nanohybrids and PDDA-protected gold nanoparticles. J. Mol. Catal. B 2009, 56, 215–220. [Google Scholar]
- An, J.; Luo, Q.Z.; Yuan, X.Y.; Wang, D.S.; Li, X.Y. Preparation and characterization of silver-chitosan nanocomposite particles with antimicrobial activity. J. Appl. Polym. Sci 2011, 120, 3180–3189. [Google Scholar]
- Sharma, S.; Sanpui, P.; Chattopadhyay, A.; Ghosh, S.S. Fabrication of antibacterial silver nanoparticle-sodium alginate-chitosan composite films. RSC Adv 2012, 2, 5837–5843. [Google Scholar]
- Rodriguez-Arguelles, M.C.; Sieiro, C.; Cao, R.; Nasi, L. Chitosan and silver nanoparticles as pudding with raisins with antimicrobial properties. J. Colloid Interface Sci 2011, 364, 80–84. [Google Scholar]
- Murray, P.R. What is new in clinical microbiology microbial identification by MALDI-TOF mass spectrometry a paper from the 2011 William Beaumont Hospital Symposium on molecular pathology. J. Mol. Diagn 2012, 14, 419–423. [Google Scholar]
- Welker, M. Proteomics for routine identification of microorganisms. Proteomics 2011, 11, 3143–3153. [Google Scholar]
- Jordana-Lluch, E.; Catala, E.M.; Ruiz, V.A. Mass spectrometry in the clinical microbiology laboratory. Enferm. Infec. Microbiol. Clin 2012, 30, 635–644. [Google Scholar]
- Kok, J.; Chen, S.C.A.; Dwyer, D.E.; Iredell, J.R. Current status of matrix-assisted laser desorption ionisation-time of flight mass spectrometry in the clinical microbiology laboratory. Pathology 2013, 45, 4–17. [Google Scholar]
- Lu, J.J.; Tsai, F.J.; Ho, C.M.; Liu, Y.C.; Chen, C.J. Peptide biomarker discovery for identification of methicillin-resistant and vancomycin-intermediate Staphylococcus aureus strains by MALDI-TOF. Anal. Chem 2012, 84, 5685–5692. [Google Scholar]
- Ouedraogo, R.; Daumas, A.; Ghigo, E.; Capo, C.; Mege, J.L.; Textoris, J. Whole-cell MALDI-TOF MS: A new tool to assess the multifaceted activation of macrophages. J. Proteomics 2012, 75, 5523–5532. [Google Scholar]
- Van Veen, S.Q.; Claas, E.C.J.; Kuijper, E.J. High-throughput identification of bacteria and yeast by matrix-assisted laser desorption ionization-time of flight mass spectrometry in conventional medical microbiology laboratories. J. Clin. Microbiol. 2010, 48, 900–907. [Google Scholar]
- Szabados, F.; Woloszyn, J.; Richter, C.; Kaase, M.; Gatermann, S. Identification of molecularly defined Staphylococcus aureus strains using matrix-assisted laser desorption/ionization time of flight mass spectrometry and the Biotyper 2.0 database. J. Med. Microbiol 2010, 59, 787–790. [Google Scholar]
- Charyulu, E.M.; Gnanamani, A.; Mandal, A.B. Identification and Discrimination of methicillin resistant Staphylococcus aureus strains isolated from burn wound sites using pcr and authentication with MALDI-TOF-MS. Indian J. Microbiol. 2012, 52, 337–345. [Google Scholar]
- Bohme, K.; Morandi, S.; Cremonesi, P.; No, I.C.F.; Barros-Velazquez, J.; Castiglioni, B.; Brasca, M.; Canas, B.; Calo-Mata, P. Characterization of Staphylococcus aureus strains isolated from Italian dairy products by MALDI-TOF mass fingerprinting. Electrophoresis 2012, 33, 2355–2364. [Google Scholar]
- Verma, V.C.; Kharwar, R.N.; Gange, A.C. Biosynthesis of antimicrobial silver nanoparticles by the endophytic fungus Aspergillus clavatus. Nanomedicine 2010, 5, 33–40. [Google Scholar]
- Dar, M.A.; Ingle, A.; Rai, M. Enhanced antimicrobial activity of silver nanoparticles synthesized by Cryphonectria sp. evaluated singly and in combination with antibiotics. Nanomedicine 2013, 9, 105–110. [Google Scholar]
- Mohanty, S.; Mishra, S.; Jena, P.; Jacob, B.; Sarkar, B.; Sonawane, A. An investigation on the antibacterial, cytotoxic, and antibiofilm efficacy of starch-stabilized silver nanoparticles. Nanomedicine 2012, 8, 916–924. [Google Scholar]
- Martinez-Gutierrez, F.; Thi, E.P.; Silverman, J.M.; de Oliveira, C.C.; Svensson, S.L.; Hoek, A.V.; Sanchez, E.M.; Reiner, N.E.; Gaynor, E.C.; Pryzdial, E.L.G.; et al. Antibacterial activity, inflammatory response, coagulation and cytotoxicity effects of silver nanoparticles. Nanomedicine 2012, 8, 328–336. [Google Scholar]
- Martinez-Gutierrez, F.; Olive, P.L.; Banuelos, A.; Orrantia, E.; Nino, N.; Sanchez, E.M.; Ruiz, F.; Bach, H.; Av-Gay, Y. Synthesis, characterization, and evaluation of antimicrobial and cytotoxic effect of silver and titanium nanoparticles. Nanomedicine 2010, 6, 681–688. [Google Scholar]
- Hrabarova, E.; Valachova, K.; Rychly, J.; Rapta, P.; Sasinkova, V.; Malikova, M.; Soltes, L. High-molar-mass hyaluronan degradation by Weissberger’s system: Pro- and anti-oxidative effects of some thiol compounds. Polym. Degrad. Stabil 2009, 94, 1867–1875. [Google Scholar]
- Sintzel, M.B.; Bernatchez, S.F.; Tabatabay, C.; Gurny, R. Biomaterials in ophthalmic drug delivery. Eur. J. Pharm. Biopharm 1996, 42, 358–374. [Google Scholar]
- Stern, R. Devising a pathway for hyaluronan catabolism: Are we there yet? Glycobiology 2003, 13, 105R–115R. [Google Scholar]
- Teh, B.M.; Shen, Y.; Friedland, P.L.; Atlas, M.D.; Marano, R.J. A review on the use of hyaluronic acid in tympanic membrane wound healing. Expert Opin. Biol. Ther 2012, 12, 23–36. [Google Scholar]
- Fernandez-Saiz, P.; Soler, C.; Lagaron, J.M.; Ocio, M.J. Effects of chitosan films on the growth of Listeria monocytogenes, Staphylococcus aureus and Salmonella spp. in laboratory media and in fish soup. Int. J. Food Microbiol 2010, 137, 287–294. [Google Scholar]
- Borneman, D.L.; Ingham, S.C.; Ane, C. Mathematical approaches to estimating lag-phase duration and growth rate for predicting growth of Salmonella serovars, Escherichia coli O157:H7, and Staphylococcus aureus in raw beef, bratwurst, and poultry. J. Food Prot 2009, 72, 1190–1200. [Google Scholar]
- Rufian-Henares, J.A.; Morales, F.J. Microtiter plate-based assay for screening antimicrobial activity of melanoidins against E-coli and S-aureus. Food Chem 2008, 111, 1069–1074. [Google Scholar]
- Mahdavi, B.; Yaacob, W.A.; Din, L.B.; Nazlina, I. Antimicrobial activity of consecutive extracts of Etlingera brevilabrum. Sains Malays 2012, 41, 1233–1237. [Google Scholar]
- Joray, M.B.; Gonzalez, M.L.; Palacios, S.M.; Carpinella, M.C. Antibacterial activity of the plant-derived compounds 23-Methyl-6-O-desmethylauricepyrone and (Z,Z)-5-(Trideca-4,7- dienyl)resorcinol and their synergy with antibiotics against methicillin-susceptible and -resistant Staphylococcus aureus. J. Agric. Food Chem 2011, 59, 11534–11542. [Google Scholar]
- Tawiah, A.A.; Gbedema, S.Y.; Adu, F.; Boamah, V.E.; Annan, K. Antibiotic producing microorganisms from River Wiwi, Lake Bosomtwe and the Gulf of Guinea at Doakor Sea Beach, Ghana. BMC Microbiol 2012, 12, 1–8. [Google Scholar]
- Moussa, A.; Noureddine, D.; Mohamed, H.S.; Abdelmelek, M.; Saad, A. Antibacterial activity of various honey types of Algeria against Staphylococcus aureus and Streptococcus pyogenes. Asian Pac. J. Trop. Med 2012, 5, 773–776. [Google Scholar]
- Lokendrajit, N.; Indira, S.; Swapana, N.; Singh, C.B. Antioxidant and antimicrobial activity of Croton caudatus Geisel. Asian J. Chem 2012, 24, 4418–4420. [Google Scholar]
- Zaremba, M.; Borowski, J.; Polejczuk, E.; Jakubicz, P. Evaluation of Staphytest, A New System for Identification of Staphylococci; Gustav Fischer Verlag: Stuttgart, Germany, 1991; Volume 21, p. 87. [Google Scholar]
- Sedlacek, I.; Kocur, M. Identification of Staphylococcus and Micrococcus species with the Staphytest system. Folia Microbiol 1991, 36, 401–405. [Google Scholar]
- Radulescu, M.C.; Chira, A.; Radulescu, M.; Bucur, B.; Bucur, M.P.; Radu, G.L. Determination of silver(i) by differential pulse voltammetry using a glassy carbon electrode modified with synthesized N-(2-Aminoethyl)-4,4′-Bipyridine. Sensors 2010, 10, 11340–11351. [Google Scholar]
- Peverly, A.A.; Peters, D.G. Electrochemical determination of trihalomethanes in water by means of stripping analysis. Anal. Chem 2012, 84, 6110–6115. [Google Scholar]
- Yan, G.P.; Wang, Y.H.; He, X.X.; Wang, K.M.; Su, J.; Chen, Z.F.; Qing, Z.H. A highly sensitive electrochemical assay for silver ion detection based on un-labeled C-rich ssDNA probe and controlled assembly of MWCNTs. Talanta 2012, 94, 178–183. [Google Scholar]







| Type of Ag | Other compound | Time | IC50 (μM) |
|---|---|---|---|
| SPNPs | chitosan | 6 | 5.10 |
| SPNPs | chitosan | 12 | 3.72 |
| SPNPs | chitosan | 24 | 1.00 |
| AgNO3 | hyaluronic acid | 6 | 209.63 |
| AgNO3 | hyaluronic acid | 12 | 246.55 |
| AgNO3 | hyaluronic acid | 24 | 188.15 |
| SPNPs | hyaluronic acid | 6 | 1.00 |
| SPNPs | hyaluronic acid | 12 | 1.00 |
| SPNPs | hyaluronic acid | 24 | 29.53 |
| AgNO3 | chitosan | 6 | 1.00 |
| AgNO3 | chitosan | 12 | 1.00 |
| AgNO3 | chitosan | 24 | 1.00 |
| Number | Type of Ag | Other compound | IC50 (μM)-Mean | 1 | 2 |
|---|---|---|---|---|---|
| 1 | AgNO3 | chitosan | 1.0000 | **** | |
| 2 | SPNPs | chitosan | 3.2704 | **** | |
| 3 | SPNPs | hyaluronic acid | 10.5100 | **** | |
| 4 | AgNO3 | hyaluronic acid | 214.7771 | **** |
© 2013 by the authors; licensee MDPI, Basel, Switzerland This article is an open access article distributed under the terms and conditions of the Creative Commons Attribution license (http://creativecommons.org/licenses/by/3.0/).
Share and Cite
Chudobova, D.; Nejdl, L.; Gumulec, J.; Krystofova, O.; Rodrigo, M.A.M.; Kynicky, J.; Ruttkay-Nedecky, B.; Kopel, P.; Babula, P.; Adam, V.; et al. Complexes of Silver(I) Ions and Silver Phosphate Nanoparticles with Hyaluronic Acid and/or Chitosan as Promising Antimicrobial Agents for Vascular Grafts. Int. J. Mol. Sci. 2013, 14, 13592-13614. https://doi.org/10.3390/ijms140713592
Chudobova D, Nejdl L, Gumulec J, Krystofova O, Rodrigo MAM, Kynicky J, Ruttkay-Nedecky B, Kopel P, Babula P, Adam V, et al. Complexes of Silver(I) Ions and Silver Phosphate Nanoparticles with Hyaluronic Acid and/or Chitosan as Promising Antimicrobial Agents for Vascular Grafts. International Journal of Molecular Sciences. 2013; 14(7):13592-13614. https://doi.org/10.3390/ijms140713592
Chicago/Turabian StyleChudobova, Dagmar, Lukas Nejdl, Jaromir Gumulec, Olga Krystofova, Miguel Angel Merlos Rodrigo, Jindrich Kynicky, Branislav Ruttkay-Nedecky, Pavel Kopel, Petr Babula, Vojtech Adam, and et al. 2013. "Complexes of Silver(I) Ions and Silver Phosphate Nanoparticles with Hyaluronic Acid and/or Chitosan as Promising Antimicrobial Agents for Vascular Grafts" International Journal of Molecular Sciences 14, no. 7: 13592-13614. https://doi.org/10.3390/ijms140713592
APA StyleChudobova, D., Nejdl, L., Gumulec, J., Krystofova, O., Rodrigo, M. A. M., Kynicky, J., Ruttkay-Nedecky, B., Kopel, P., Babula, P., Adam, V., & Kizek, R. (2013). Complexes of Silver(I) Ions and Silver Phosphate Nanoparticles with Hyaluronic Acid and/or Chitosan as Promising Antimicrobial Agents for Vascular Grafts. International Journal of Molecular Sciences, 14(7), 13592-13614. https://doi.org/10.3390/ijms140713592

