New Anti-Inflammatory Aromatic Components from Antrodia camphorata
Abstract
:1. Introduction
2. Results and Discussion
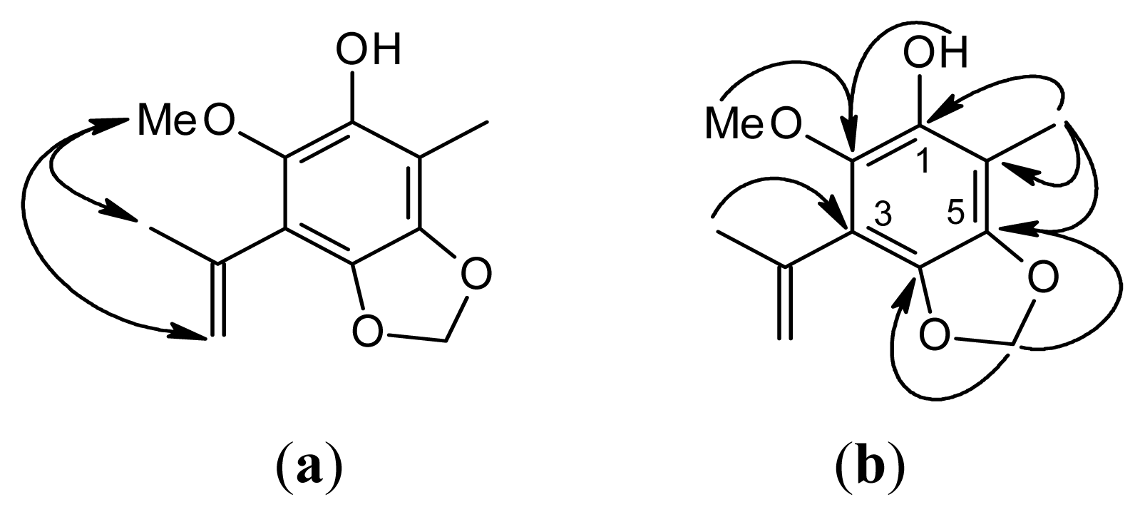
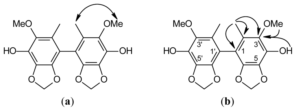
2.1. Isolation and Structure Elucidation
2.2. Anti-Inflammatory Activities
3. Experimental Section
3.1. General
3.2. Plant Material
3.3. Extraction and Isolation
3.4. 3-Isopropenyl-2-methoxy-6-methyl-4,5-methylenedioxyphenol (1)
3.5. 2-Hydroxy-4,4′-dimethoxy-3,3′-dimethyl-5,6,5′,6′-bimethylenedioxybiphenyl (2)
3.6. 4,4′-Dihydroxy-3,3′-dimethoxy-2,2′-dimethyl-5,6,5′,6′-bimethylenedioxybiphenyl (3)
3.7. Chemicals
3.8. Cell Culture
3.9. Cell Viability
3.10. Measurement of Nitric Oxide/Nitrite
3.11. Statistical Analysis
4. Conclusions
Acknowledgments
Conflict of Interest
References
- Tsai, Z.T.; Liaw, S.L. The Use and the Effect of Ganoderma; Sang-Yun Press: Taichung, Taiwan, 1982; p. 116. [Google Scholar]
- Shen, Y.C.; Chou, C.J.; Wang, Y.H.; Chen, C.F.; Chou, Y.C.; Lu, M.K. Anti-inflammatory activity of the extracts from mycelia of Antrodia camphorata cultured with water-soluble fractions from five different Cinnamomum species. FEMS Microbiol. Lett 2004, 231, 137–143. [Google Scholar]
- Shen, Y.C.; Wang, Y.H.; Chou, Y.C.; Chen, C.F.; Lin, L.C.; Chang, T.T.; Tien, J.H.; Chou, C.J. Evaluation of the anti-inflammatory activity of zhankuic acids isolated from the fruiting bodies of Antrodia camphorata. Planta Med 2004, 70, 310–314. [Google Scholar]
- Cheng, J.J.; Yang, C.J.; Cheng, C.H.; Wang, Y.T.; Huang, N.K.; Lu, M.K. Characterization and functional study of Antrodia camphorata lipopolysaccharide. J. Agric. Food Chem 2005, 53, 469–474. [Google Scholar]
- Chen, J.J.; Lin, W.J.; Liao, C.H.; Shieh, P.C. Anti-inflammatory benzenoids from Antrodia camphorata. J. Nat. Prod 2007, 70, 989–992. [Google Scholar]
- Chien, S.C.; Chen, M.L.; Kuo, H.T.; Tsai, Y.C.; Lin, B.F.; Kuo, Y.H. Anti-inflammatory activities of new succinic and maleic derivatives from the fruiting body of Antrodia camphorata. J. Agric. Food Chem 2008, 56, 7017–7022. [Google Scholar]
- Yang, S.S.; Wang, G.J.; Wang, S.Y.; Lin, Y.Y.; Kuo, Y.H.; Lee, T.H. New constituents with iNOS inhibitory activity from mycelium of Antrodia camphorata. Planta Med 2009, 75, 512–516. [Google Scholar]
- Wu, S.J.; Leu, Y.L.; Chen, C.H.; Chao, C.H.; Shen, D.Y.; Chan, H.H.; Lee, E.J.; Wu, T.S.; Wang, Y.H.; Shen, Y.C.; et al. Camphoratins A–J, potent cytotoxic and anti-inflammatory triterpenoids from the fruiting body of Taiwanofungus camphoratus. J. Nat. Prod 2010, 73, 1756–1762. [Google Scholar]
- Huang, G.J.; Huang, S.S.; Lin, S.S.; Shao, Y.Y.; Chen, C.C.; Hou, W.C.; Kuo, Y.H. Analgesic effects and the mechanisms of anti-inflammation of ergostatrien-3β-ol from Antrodia camphorata submerged whole broth in mice. J. Agric. Food Chem 2010, 58, 7445–7452. [Google Scholar]
- Chen, Y.C.; Liu, Y.L.; Li, F.Y.; Chang, C.I.; Wang, S.Y.; Lee, K.Y.; Li, S.L.; Chen, Y.P.; Jinn, T.R.; Tzen, J.T.C. Antcin A, a steroid-like compound from Antrodia camphorata, exerts anti-inflammatory effect via mimicking glucocorticoids. Acta Pharmacol. Sin 2011, 32, 904–911. [Google Scholar]
- Chung, T.Y.; Li, F.Y.; Chang, C.I.; Jinn, T.R.; Tzen, J.T.C. Inhibition of Na+/K+-ATPase by antcins, unique steroid-like compounds in Antrodia camphorate. Am. J. Chin. Med 2012, 40, 953–965. [Google Scholar]
- Huang, G.J.; Deng, J.S.; Huang, S.S.; Shao, Y.Y.; Chen, C.C.; Kuo, Y.H. Protective effect of antrosterol from Antrodia camphorata submerged whole broth against carbon tetrachloride-induced acute liver injury in mice. Food Chem 2012, 132, 709–716. [Google Scholar]
- Shen, Y.C.; Chen, C.F.; Wang, Y.H.; Chang, T.T.; Chou, C.J. Evaluation of the immuno-modulating activity of some active principles isolated from the fruiting bodies of Antrodia camphorata. Chin. Pharm. J 2003, 55, 313–318. [Google Scholar]
- Geethangili, M.; Fang, S.H.; Lai, C.H.; Rao, Y.K.; Lien, H.M.; Tzeng, Y.M. Inhibitory effect of Antrodia camphorata constituents on the Helicobacter pylori-associated gastric inflammation. Food Chem 2010, 119, 149–153. [Google Scholar]
- Chen, C.C.; Shiao, Y.J.; Lin, R.D.; Shao, Y.Y.; Lai, M.N.; Lin, C.C.; Ng, L.T.; Kuo, Y.H. Neuroprotective diterpenes from the fruiting body of Antrodia camphorata. J. Nat. Prod 2006, 69, 689–691. [Google Scholar]
- Lee, I.H.; Huang, R.L.; Chen, C.T.; Chen, H.C.; Hsu, W.C.; Lu, M.K. Antrodia camphorata polysaccharides exhibit anti-hepatitis B virus effects. FEMS Microbiol. Lett 2002, 209, 63–67. [Google Scholar]
- Huang, R.L.; Huang, Q.; Chen, C.F.; Chang, T.T.; Chou, C.J. Anti-viral effects of active compounds from Antrodia camphorata on wild-type and lamivudine-resistant mutant HBV. Chin. Pharm. J 2003, 55, 371–379. [Google Scholar]
- Nakamura, N.; Hirakawa, A.; Gao, J.J.; Kakuda, H.; Shiro, M.; Komatsu, Y.; Sheu, C.C.; Hattori, M. Five new maleic and succinic acid derivatives from the mycelium of Antrodia camphorata and their cytotoxic effects on LLC tumor cell line. J. Nat. Prod 2004, 67, 46–48. [Google Scholar]
- Liu, J.J.; Huang, T.S.; Hsu, M.L.; Chen, C.C.; Lin, W.S.; Lu, F.J.; Chang, W.H. Antitumor effects of the partially purified polysaccharides from Antrodia camphorata and the mechanism of its action. Toxicol. Appl. Pharmacol 2004, 201, 186–193. [Google Scholar]
- Lee, T.H.; Lee, C.K.; Tsou, W.L.; Liu, S.Y.; Kuo, M.T.; Wen, W.C. A new cytotoxic agent from solid-state fermented mycelium of Antrodia camphorata. Planta Med 2007, 73, 1412–1415. [Google Scholar]
- Yeh, C.T.; Rao, Y.K.; Yao, C.J.; Yeh, C.F.; Li, C.H.; Chuang, S.E.; Luong, J.H.; Lai, G.M.; Tzeng, Y.M. Cytotoxic triterpenes from Antrodia camphorata and their mode of action in HT-29 human colon cancer cells. Cancer Lett 2009, 285, 73–79. [Google Scholar]
- Deng, J.Y.; Chen, S.J.; Jow, G.M.; Hsueh, C.W.; Jeng, C.J. Dehydroeburicoic acid induces calcium- and calpain-dependent necrosis in human U87MG glioblastomas. Chem. Res. Toxicol 2009, 22, 1817–1826. [Google Scholar]
- Tsai, W.C.; Rao, Y.K.; Lin, S.S.; Chou, M.Y.; Shen, Y.T.; Wu, C.H.; Geethangili, M.; Yang, C.C.; Tzeng, Y.M. Methylantcinate A induces tumor specific growth inhibition in oral cancer cells via Bax-mediated mitochondrial apoptotic pathway. Bioorg. Med. Chem. Lett 2010, 20, 6145–1648. [Google Scholar]
- Hsieh, Y.C.; Rao, Y.K.; Wu, C.C.; Huang, C.Y.F.; Geethangili, M.; Hsu, S.L.; Tzeng, Y.M. Methyl antcinate A from Antrodia camphorata induces apoptosis in human liver cancer cells through oxidant-mediated cofilin- and Bax-triggered mitochondrial pathway. Chem. Res. Toxicol 2010, 23, 1256–1267. [Google Scholar]
- Shi, L.S.; Chao, C.H.; Shen, D.Y.; Chan, H.H.; Chen, C.H.; Liao, Y.R.; Wu, S.J.; Leu, Y.L.; Shen, Y.C.; Kuo, Y.H.; et al. Biologically active constituents from the fruiting body of Taiwanofungus camphoratus. Bioorg. Med. Chem 2011, 19, 677–683. [Google Scholar]
- Hsieh, Y.C.; Rao, Y.K.; Whang-Peng, J.; Huang, C.Y.F.; Shyue, S.K.; Hsu, S.L.; Tzeng, Y.M. Antcin B and its ester derivative from Antrodia camphorata induce apoptosis in hepatocellular carcinoma cells involves enhancing oxidative stress coincident with activation of intrinsic and extrinsic apoptotic pathway. J. Agric. Food Chem 2011, 59, 10943–10954. [Google Scholar]
- Yu, C.C.; Chiang, P.C.; Lu, P.H.; Kuo, M.T.; Wen, W.C.; Chen, P.; Guh, J.H. Antroquinonol, a natural ubiquinone derivative, induces a cross talk between apoptosis, autophagy and senescence in human pancreatic carcinoma cells. J. Nutr. Biochem 2012, 23, 900–907. [Google Scholar]
- Tu, S.H.; Wu, C.H.; Chen, L.C.; Huang, C.S.; Chang, H.W.; Chang, C.H.; Lien, H.M.; Ho, Y.S. In vivo antitumor effects of 4,7-dimethoxy-5-methyl-1,3-benzodioxole isolated from the fruiting body of Antrodia camphorata through activation of the p53-mediated p27/Kip1 signaling pathway. J. Agric. Food Chem 2012, 60, 3612–3618. [Google Scholar]
- Lee, Y.P.; Tsai, W.C.; Ko, C.J.; Rao, Y.K.; Yang, C.R.; Chen, D.R.; Yang, M.H.; Yang, C.C.; Tzeng, Y.M. Anticancer effects of eleven triterpenoids derived from Antrodia camphorata. Anticancer Res 2012, 32, 2727–2734. [Google Scholar]
- Lin, T.Y.; Chien, S.C.; Kuo, Y.H.; Wang, S.Y. Distinguishing between R- and S-antcin C and their cytotoxicity. Nat. Prod. Commun 2012, 7, 835–836. [Google Scholar]
- Huang, H.C.; Liaw, C.C.; Yang, H.L.; Hseu, Y.C.; Kuo, H.T.; Tsai, Y.C.; Chien, S.C.; Amagaya, S.; Chen, Y.C.; Kuo, Y.H. Lanostane triterpenoids and sterols from Antrodia camphorata. Phytochemistry 2012, 84, 177–183. [Google Scholar]
- Silverstein, R.M.; Webster, F.X.; Kiemle, D.J. Spectrometric Identification of Organic Compounds, 7th ed; John Wiley & Sons, Inc: Hoboken, NJ, USA, 2005; p. 223. [Google Scholar]
- Chiu, H.L.; Wu, J.H.; Tung, Y.T.; Lee, T.H.; Chien, S.C.; Kuo, Y.H. Triterpenoids and aromatics from Derris laxiflora. J. Nat. Prod 2008, 71, 1829–1832. [Google Scholar]




| Position | 1 | 2 | 3 | |||
|---|---|---|---|---|---|---|
| δH | δC | δH | δC | δH | δC | |
| 1 | – | 132.0 | – | 129.3 | – | 123.7 |
| 2 | – | 138.5 | – | 135.6 | – | 114.6 |
| 3 | – | 97.1 | – | 116.8 | – | 136.0 |
| 4 | – | 136.0 | – | 135.0 | – | 133.2 |
| 5 | – | 133.0 | – | 136.0† | – | 138.9‡ |
| 6 | – | 110.0 | – | 133.4† | – | 133.3‡ |
| 7 | – | 127.2 | – | – | – | – |
| Me-2 | – | – | – | – | 1.82 (s) | 12.7 |
| Me-3 | – | – | 1.97 (s) | 9.4 | – | – |
| Me-6 | 2.27 (s) | 13.3 | – | – | – | – |
| MeO-2 | 3.94 (s) | 60.4 | – | – | – | – |
| MeO-3 | – | – | – | – | 3.88 (s) | 60.1 |
| MeO-4 | – | – | 3.88 (s) | 60.1 | – | – |
| Me-7 | 1.99 (s) | 23.5 | – | – | – | – |
| CH2-7 | 5.24 (br s) | 121.0 | – | – | – | – |
| 5.36 (br s) | ||||||
| 4-OCH2O-5 | 5.93 (s) | 101.7 | – | – | – | – |
| 5-OCH2O-6 | – | – | 5.96 (s) | 101.8 | 5.99 (s) | 101.7 |
| 1′ | – | – | – | 136.1 | – | 123.7 |
| 2′ | – | – | 5.94 (s) | 109.5 | – | 114.6 |
| 3′ | – | – | – | 124.1 | – | 136.0 |
| 4′ | – | – | – | 137.4 | – | 133.2 |
| 5′ | – | – | – | 138.6 | – | 138.9 |
| 6′ | – | – | – | 134.4 | – | 133.3 |
| Me-2′ | – | – | – | – | 1.82 (s) | 12.7 |
| Me-3′ | – | – | 2.03 (s) | 15.8 | – | – |
| MeO-3′ | – | – | – | – | 3.88 (s) | 60.1 |
| MeO-4′ | – | – | 3.87 (s) | 59.7 | – | – |
| 5′-OCH2O-6′ | – | – | 5.98 (s) | 101.7 | 5.99 (s) | 101.7 |
| OH | 4.64 (s) | – | – | – | 4.56 (s) | – |
| Compound | Dose (μg/mL) | Cell viability (% of control) | NO level (μM) | IC50 (μg/mL) |
|---|---|---|---|---|
| control | (−) | 96.4 ± 4.3 | 2.5 ± 0.2 | |
| LPS | (+) | 97.0 ± 0.8 | 25.3 ± 3.0 ### | |
| 1 | 0.312 | 92.0 ± 3.3 | 14.5 ± 2.2 ** | 1.8 ± 0.2 |
| 0.625 | 91.0 ± 3.7 | 14.1 ± 1.5 ** | ||
| 1.25 | 90.4 ± 2.4 | 13.0 ± 1.5 *** | ||
| 2.5 | 87.3 ± 2.3 | 12.0 ± 1.7 *** | ||
| 5 | 65.5 ± 1.7 | (−) | ||
| 2 | 0.312 | 98.0 ± 1.5 | 16.4 ± 2.4 ** | |
| 0.625 | 96.6 ± 7.6 | 16.1 ± 1.3 ** | ||
| 1.25 | 96.6 ± 2.2 | 15.7 ± 2.0 ** | ||
| 2.5 | 92.7 ± 1.3 | 15.5 ± 1.9 ** | ||
| 5 | 71.4 ± 2.2 | (−) | ||
| 3 | 3.12 | 95.1 ± 2.9 | 13.7 ± 0.1 *** | 18.8 ± 0.6 |
| 6.25 | 93.1 ± 2.7 | 13.4 ± 0.4 *** | ||
| 12.5 | 93.0 ± 2.6 | 13.2 ± 0.1 *** | ||
| 25 | 91.0 ± 7.7 | 12.1 ± 0.6 *** | ||
| 50 | 64.8 ± 2.2 | (−) | ||
| 4 | 0.312 | 97.0 ± 1.1 | 20.6 ± 1.2 * | |
| 0.625 | 96.2 ± 2.2 | 19.4 ± 2.0 * | ||
| 1.25 | 95.0 ± 2.1 | 18.3 ± 0.3 ** | ||
| 2.5 | 94.6 ± 1.6 | 13.6 ± 0.6 *** | ||
| 5 | 69.3 ± 2.1 | (−) | ||
| 5 | 0.312 | 93.8 ± 2.9 | 15.2 ± 1.4 ** | 0.8 ± 0.3 |
| 0.625 | 88.5 ± 1.5 | 12.8 ± 1.9 *** | ||
| 1.25 | 85.0 ± 2.9 | 12.1 ± 1.6 *** | ||
| 2.5 | 83.8 ± 1.9 | 10.4 ± 1.3 *** | ||
| 5 | 82.4 ± 2.7 | 10.0 ± 2.2 *** | ||
| Indomethacin | 25 | 96.2 ± 1.1 | 19.2 ± 0.6 * | |
| 50 | 94.8 ± 1.3 | 14.3 ± 0.8 ** | ||
© 2013 by the authors; licensee MDPI, Basel, Switzerland. This article is an open-access article distributed under the terms and conditions of the Creative Commons Attribution license (http://creativecommons.org/licenses/by/3.0/).
Share and Cite
Chen, Y.-C.; Chiu, H.-L.; Chao, C.-Y.; Lin, W.-H.; Chao, L.K.; Huang, G.-J.; Kuo, Y.-H. New Anti-Inflammatory Aromatic Components from Antrodia camphorata. Int. J. Mol. Sci. 2013, 14, 4629-4639. https://doi.org/10.3390/ijms14034629
Chen Y-C, Chiu H-L, Chao C-Y, Lin W-H, Chao LK, Huang G-J, Kuo Y-H. New Anti-Inflammatory Aromatic Components from Antrodia camphorata. International Journal of Molecular Sciences. 2013; 14(3):4629-4639. https://doi.org/10.3390/ijms14034629
Chicago/Turabian StyleChen, Yu-Chang, His-Lin Chiu, Che-Yi Chao, Wen-Hsin Lin, Louis Kuoping Chao, Guan-Jhong Huang, and Yueh-Hsiung Kuo. 2013. "New Anti-Inflammatory Aromatic Components from Antrodia camphorata" International Journal of Molecular Sciences 14, no. 3: 4629-4639. https://doi.org/10.3390/ijms14034629
APA StyleChen, Y.-C., Chiu, H.-L., Chao, C.-Y., Lin, W.-H., Chao, L. K., Huang, G.-J., & Kuo, Y.-H. (2013). New Anti-Inflammatory Aromatic Components from Antrodia camphorata. International Journal of Molecular Sciences, 14(3), 4629-4639. https://doi.org/10.3390/ijms14034629

