Next Article in Journal
Effect of Fiber Esterification on Fundamental Properties of Oil Palm Empty Fruit Bunch Fiber/Poly(butylene adipate-co-terephthalate) Biocomposites
Previous Article in Journal
Expression Analysis of MYC Genes from Tamarix hispida in Response to Different Abiotic Stresses
 
 
Font Type:
Arial Georgia Verdana
Font Size:
Aa Aa Aa
Line Spacing:
Column Width:
Background:
Article

Serine Hydroxymethyltransferase from the Cold Adapted Microorganism Psychromonas ingrahamii: A Low Temperature Active Enzyme with Broad Substrate Specificity

Department of Biochemical Sciences “A. Rossi Fanelli”, University of Rome “La Sapienza”, P.le Aldo Moro 5, Roma 00185, Italy
*
Author to whom correspondence should be addressed.
Int. J. Mol. Sci. 2012, 13(2), 1314-1326; https://doi.org/10.3390/ijms13021314
Submission received: 30 November 2011 / Revised: 12 January 2012 / Accepted: 12 January 2012 / Published: 25 January 2012
(This article belongs to the Section Biochemistry)

Abstract

:
Serine hydroxymethyltransferase from the psychrophilic microorganism Psychromonas ingrahamii was expressed in Escherichia coli and purified as a His-tag fusion protein. The enzyme was characterized with respect to its spectroscopic, catalytic, and thermodynamic properties. The properties of the psychrophilic enzyme have been contrasted with the characteristics of the homologous counterpart from E. coli, which has been structurally and functionally characterized in depth and with which it shares 75% sequence identity. Spectroscopic measures confirmed that the psychrophilic enzyme displays structural properties almost identical to those of the mesophilic counterpart. At variance, the P. ingrahamii enzyme showed decreased thermostability and high specific activity at low temperature, both of which are typical features of cold adapted enzymes. Furthermore, it was a more efficient biocatalyst compared to E. coli serine hydroxymethyltransferase (SHMT) particularly for side reactions. Many β-hydroxy-α-amino acids are SHMT substrates and represent important compounds in the synthesis of pharmaceuticals, agrochemicals and food additives. Thanks to these attractive properties, this enzyme could have a significant potential for biotechnological applications.

Graphical Abstract

1. Introduction

Life, particularly microbial life, has evolved the capacity to proliferate in a broad range of different thermal environments. Thermal adaptation, particularly to extremes, has also limited the range of temperatures any individual organism may tolerate. This is illustrated for hot environments by a member of the Archaea dubbed strain 121, which was isolated from a deep sea hydrothermal vent and is capable of and restricted to growth at temperatures between 85 °C and 121 °C [1]. At the opposite thermal extreme, psychrophilic (cold adapted) microorganisms have been described that are capable of metabolizing in snow and ice at −20 °C, and numerous psychrophilic isolates have been characterized by their ability to proliferate at ≤0 °C and are restricted to <30 °C [25]. Clearly, mechanisms have evolved that provide the ability of an organism to adapt to a particular thermal environment. All these organisms are at thermal equilibrium with their environment, and all components of their cells must be suitably adapted to the cold [5,6]. Their phylogenetic diversity underscores the potential mechanistic variety that may have evolved to enable cold adaptation, and to some degree, cell-specific adaptation strategies have been identified. For example, psychrophilic organisms need enzymes able to efficiently catalyze viable reactions at temperatures close to 0 °C, at which most other species cannot grow because of their inability to maintain adequate metabolic fluxes [3,7,8]. Compared to their mesophilic and thermophilic counterparts, these enzymes display improved catalytic efficiency at low temperatures that is reflected in their higher turnover number (rise in kcat) and/or in the increased affinity for the substrate (reduction of KM). It is generally assumed that the structural determinants of such kinetic features are responsible not only for the low temperature optima but also for the inactivation of cold adapted enzymes at moderate temperatures (usually >40 °C). It has been proposed that thermolability of psychrophilic enzymes is a consequence of the higher flexibility of their molecular structure, in contrast with the thermostability of enzymes from thermophiles that, conversely, is correlated with rigidity of their polypeptide chain [3]. Thanks to recent advances provided by X-ray crystallography, structure modeling, protein engineering and biophysical studies, the adaptation strategies are beginning to be understood although structural and functional information still remain scant [9].
This study reports on the purification of recombinant serine hydroxymethyltransferase (SHMT; EC 2.1.2.1) from Psychromonas ingrahamii (piSHMT), a bacterium recently isolated from the Arctic polar sea ice [10] able to grow in the temperature interval from −12 °C to 10 °C, and on the characterization of its structural and functional properties. SHMT is a pyridoxal-5′-phosphate (PLP)-dependent enzyme belonging to the fold type I superfamily which catalyzes the reversible conversion of l-serine and tetrahydropteroylglutamate (H4PteGlu) to glycine and 5,10-methylenetetrahydropteroylglutamate (5,10-CH2-H4PteGlu), respectively. It plays a central role in the one-carbon unit metabolism and it is a potential target for cancer therapy [11]. SHMT also catalyzes the H4PteGlu-independent cleavage of many 3-hydroxyamino acids and the decarboxylation of aminomalonate, at rates similar to that of H4PteGlu-dependent serine cleavage. This enzyme is structurally conserved after divergent evolution and it is ubiquitous in nature; many sequences from Eucarya, Eubacteria and Archaea are available in databanks as well as several unique crystal structures. In previous works, the molecular basis of the SHMT adaptation to low [12] and high [13,14] temperatures, using experimental and comparative in silico approaches, it has been analyzed. On the basis of this analysis, we decided to characterize the SHMT from Psychromonas ingrahamii since this bacterium displayed to lowest growth temperature among the ten available psychrophilic species [12]. To the best of our knowledge, only another PLP enzyme of fold type-I from a psychrophilic organism has been characterized, namely aspartate aminotransferase from Pseudoalteromonas haloplanktis [15]. In addition to this, further motivation to undertake the study of this enzyme resides in the fact that many β-hydroxy-α-amino acids that are substrates for SHMT, are important compounds for the synthesis of pharmaceuticals, agrochemicals and food additives [16]. Under these perspectives, the characterization of the kinetic and stability properties of SHMT from P. ingrahamii was considered attractive and interesting. To highlight the characteristics coupled to the adaptation to low temperature, the properties of the psychrophilic enzyme have been contrasted with those of the homologous counterpart from E. coli, which has been structurally and functionally characterized in depth and with which it shares 75% amino acid sequence identity. The structure of SHMT is, in fact, typically very conserved during evolution [12].

2. Results and Discussion

2.1. Heterologous Expression and Purification of the Recombinant Psychromonas ingrahamii SHMT

The gene coding for Psychromonas ingrahamii SHMT (piSHMT) was synthesized from GENEART after code optimization. The codon usage was adapted to the codon bias of E. coli genes. The optimized gene should therefore allow high and stable expression rates in E. coli. We introduced this synthetic gene in the cloning/expression region of the vector pET28a (Novagen Inc.) in frame with His-Tag sequence at the N-terminal of the protein. The His-Tag sequence, which binds to divalent cations (Ni2+) immobilized on the His-Bind® metal chelating resin, provides a convenient means of protein purification. Using this chromatographic procedure, we obtained approximately 100 mg of pure protein starting from 2 L of bacterial culture. The final protein concentration was about 0.1 mM. All the protein is purified with PLP bound, as judged by the comparison of the PLP concentration, determined from the absorbance at 388 nm after the PLP release from SHMT in 0.2 M NaOH, to the concentration of SHMT determined by absorbance at 280 nm.

2.2. Spectroscopic Studies

The eSHMT exhibits a single absorption band in the visible region of the spectrum, with maximum intensity at 422 nm, typical of the protonated internal aldimine of PLP [17]. The piSHMT absorbance spectrum is very similar to the eSHMT spectrum. Both exhibit a major band at 422 nm and a minor band at 334 nm. The addition of 90% saturating glycine to both SHMTs determined the increase of the 422 nm absorbing band, corresponding to the formation of the external aldimine, and the appearance of a band with a maximum absorbance at 343 nm, interpreted as the gem-diamine intermediates [17]. When H4PteGlu was added to the enzyme solution containing glycine, another band with maximum absorbance at 492 nm appeared, to the detriment of the external aldimine. It is known from literature that the 492 nm absorbing band corresponds to the accumulation of the quinonoid intermediate resulting from deprotonation of the Cα of glycine in the SHMT–Gly–H4PteGlu ternary complex [17]. The effect of H4PteGlu addition on the gem-diamine intermediate concentration is obscured by the intense absorption of this compound in the UV region. The two proteins, as shown in Figure 1, exhibit essentially the same spectral properties.
The far UV CD spectra of P. ingrahmii enzyme at 2.5 μM subunit concentration is virtually identical to that of the E. coli enzyme, indicating that the two proteins have essentially the same secondary structure content (data not shown). The visible CD spectrum of piSHMT is characterized by a positive cofactor band centered at around 422 nm. In the near UV region, were the ellipticity becomes negative, a broad band between 320 and 340 nm, also attributable to the cofactor, is visible. Below 310 nm, the spectrum shows the characteristic CD bands of aromatic residues [18]. Concerning the apo-form of the enzyme, the near UV CD spectrum is profoundly different with respect to that of the holo-form (Figure 2). These results could be due to the possibility that the loss of the cofactor induces some consistent change in the tertiary structure of the protein.

2.3. Thermal Stability

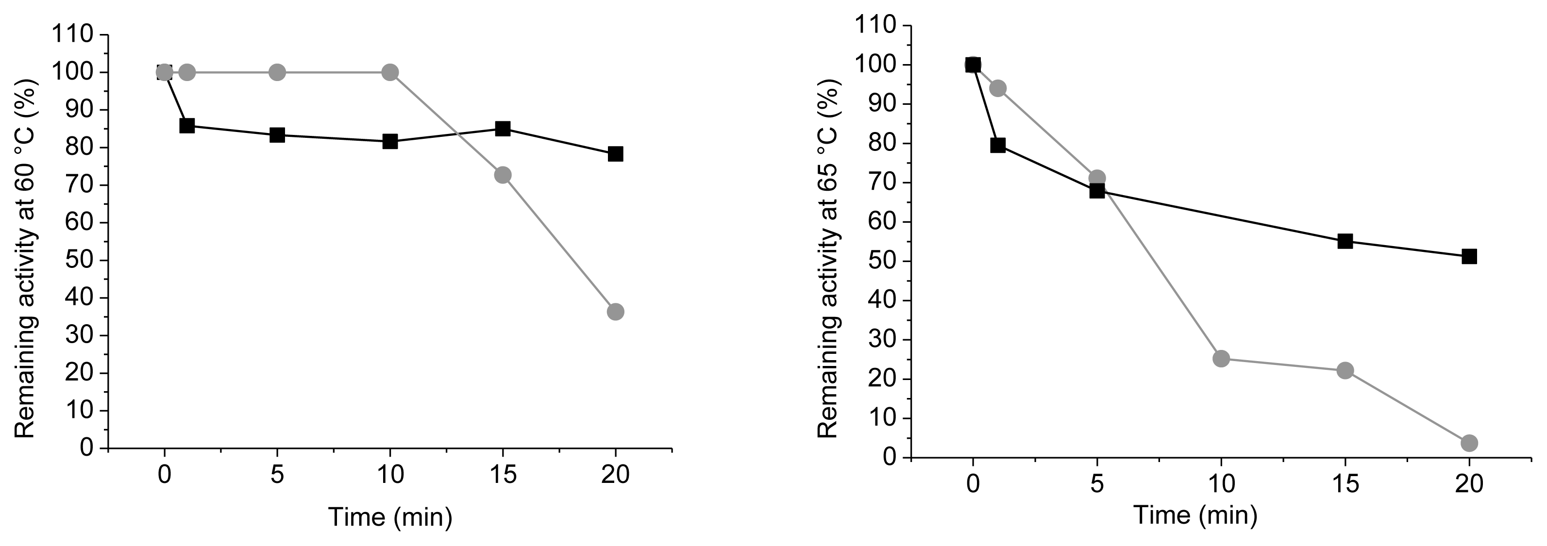
Both enzymes were incubated separately at 60 °C and 65 °C for different time intervals at the end of which the residual enzyme activity was measured. Figure 3 shows that eSHMT activity did not change significantly after the incubation time range employed (20 min) at 60 °C. On the contrary, the P. ingrahmii enzyme lost 30% and 70% of activity after 15 and 20 min, respectively, of incubation time at 60 °C. When the enzymes were incubated at 65 °C, a decrease of the eSHMT activity at about 50% of the starting activity after 15 and 20 min time intervals was observed. In the same conditions, piSHMT activity decreased to about 20% and 3% of the initial activity, respectively. These results suggest that the activity of the mesophilic enzyme is resistant to incubation at moderately high temperature whereas the psychrophilic enzyme is quickly and irreversibly inactivated.

2.4. Catalytic Properties of piSHMT

SHMT utilizes a wide variety of 3-hydroxyamino acid substrates and catalyzes numerous side reactions including decarboxylation, transamination and racemization. Table 1 reports the kinetic parameters of four reactions catalyzed by piSHMT and eSHMT, at 30 °C. Except for the serine hydroxymethyltransferase reaction, for which the two enzymes exhibit the same kinetic parameters, the kcat for l-allothreonine and l-treophenylserine cleavage reactions catalyzed by piSHMT, show a 3- and 5-fold increase, respectively. On the other hand, the KM values for the same reactions do not change significantly. Catalytic efficiencies with respect to l-allothreonine and l-treophenylserine substrates are increased at the same extent.

2.5. Thermal Denaturation Experiments

Thermal stability of piSHMT was investigated by monitoring the change of ellipticity at 222 nm in the far-UV CD spectrum, when the temperature was increased from 10 °C to 80 °C. The observed sigmoid transition was irreversible and the CD spectrum measured at the end of the cooling phase differed from that of the protein at 20 °C. The parameter chosen to compare the transition curves was the apparent melting temperature (Tm), defined as the mid-point of the sigmoid denaturation process and calculated by plotting the first derivative of the molar ellipticity values as a function of temperature. The experiments were performed on either holo- or apo-form of the enzyme (Figure 4). The apparent Tm value for the holo- and the apo-piSHMT was 62.0 °C and 42.0 °C, respectively whereas the difference of the apparent Tm between the holo- and apo-eSHMT was 10.7 °C [21].

2.6. Temperature Dependence of Enzyme Activity

The temperature dependence of enzyme activity in the retroaldol cleavage of l-threo-phenylserine shows that piSHMT and eSHMT have an optimal temperature at 50 °C (Figure 5). Calculated activation energies for piSHMT and eSHMT are 15.4 ± 0.14 kcal mol−1 and 13.4 ± 0.13 kcal mol−1, respectively, confirming the similar mechanistic behaviour of both enzymes (Figure 5 inset). Our results show that, in the temperature range tested, the piSHMT activity is at least ten fold higher than eSHMT activity.

2.7. Psychrophilicity of Psychromonas ingrahamii SHMT

Low thermal stability and high specific activity at low temperature are generally reported as the main features of cold adapted extracellular enzymes [22,23]. Our results suggest that piSHMT is indeed more unstable than eSHMT, according to the rapid loss of activity after incubation at 60 °C or 65 °C (Figure 3) and to its apparent melting temperature, lower than that of the eSHMT [21]. Interestingly, the apoenzyme is far more unstable than the holoenzyme (Figure 4). This observation suggests that the intrinsic instability of the active site is partly compensated by the interaction with the cofactor. Flexibility of the active site is strongly supported by the near UV CD changes observed upon PLP binding (Figure 2). The instability and the consequent flexibility of the active site may be also functionally relevant for the conformational transitions during the low temperature transfer of the PLP to its binding site within the apoenzyme [24,25].
Our results clearly suggest that the P. ingrahamii SHMT is in general a more efficient biocatalyst compared to E. coli SHMT, in particular for the side reactions involving several substrates such as β-hydroxy-α-amino acids (Table 1), which represent important compounds in pharmaceuticals, agrochemicals and food additives [26].
The relative high activity characterizing psychrophilic enzymes is the main adaptive parameter to low temperatures and seems to be achieved by the destabilization of the active site or of the entire protein structure, allowing the catalytic center to be more flexible at low temperatures. In this way, it should be able to reach the transition complex with lower requirement of energy, generally not abundant in a low temperature environment. However, the relationships between activity, flexibility and stability still remain controversial. Overall, it seems that each psychrophilic enzyme adopts its own adaptive strategy [2730]. We should mention that in a recent in silico analysis we have carried out on the structural adaptation of psychrophilic SHMTs, it turned out that a significant increase of frequency of flexible residues was consistently observed [12]. The piSHMT activity is heat labile, as demonstrated by heat inactivation experiments. However, the curve representing the thermal dependence of the specific activities shows that the apparent maximal activity of piSHMT is approximately the same as the mesophilic enzyme (Figure 5). In general, mesophilic and thermophilic enzymes show a temperature of maximal activity corresponding to the unfolding transition, suggesting that the observed loss of activity is due to protein unfolding. Interestingly, this is not the case for SHMT: mesophilic enzyme shows an apparent maximal activity (50 °C) below that at which the protein unfold, as the psychrophilic form. This result could be due to the particular catalytic apparatus evolved by SHMT, which is also responsible of its typical catalytic promiscuity. Furthermore, piSHMT is 10 to 20 fold more active than eSHMT over the range of tested temperatures. Interestingly, activity of piSHMT at 10 °C for the tested reaction is of the same order of magnitude of the activity of eSHMT at 37 °C.

3. Experimental Section

3.1. Materials

Ingredients for bacterial growth were from Difco. Chemicals for the purification of the enzymes were from BDH, Ni-NTA agarose was purchased from Sigma-Aldrich. All buffers, amino acids, and coenzymes used in the purification and assay of enzymes were of the highest purity available. Enzymes used in cloning procedures were purchased from New England BioLabs Inc. SHMT from E. coli was expressed and purified as previously described [20]. (6S)-H4PteGlu was a gift from A. G. Eprova, Schaffhausen, Switzerland. All other reagents were from Sigma-Aldrich.

3.2. Cloning of the Gene Encoding the Psychromonas ingrahamii SHMT

The coding sequence of the piSHMT gene was synthesized by GENEART (Geneart AG, Regensburg, Germany), which provided us the 1290 bp DNA fragment, coding the protein, cloned in the pMK-RQ vector. The gene sequence properties were optimized for expression in the adopted system. We inserted the synthetic gene into the pET28a(+) expression vector (Novagen, Inc., Madison, WI, USA) between the restriction sites NdeI and EcoRI. The pET28-piSHMT construct was used to transform E. coli HMS174(DE3) strain cells (Novagen, Inc.). The pET28a(+) vector adds 20 residues to the N-terminal of piSHMT, including a sequence of six His residues for binding to an Ni-NTA column. The sequence of the DNA insert was verified in both directions.

3.3. Expression and Purification of Psychromonas ingrahamii SHMT

An overnight culture (40 mL) of HMS174 (DE3) cells, transformed with the piSHMT overexpressing plasmid, was inoculated into 2 L of Luria-Bertani broth containing kanamycin (40 μg/mL). Bacteria were grown aerobically at 37 °C to exponential phase (until the optical density at 600 nm was 0.3–0.4), then the incubation temperature was lowered to 25 °C and the expression of piSHMT was induced with 0.05 mM isopropyl thio-β-d-galactoside (IPTG). Bacteria were harvested after 20 h and suspended in 10 mM Tris/HCl buffer, pH 7.6, containing 1 mM EDTA. Cell lysis was carried out by the addition of 10 mg of lysozyme per gram of packed bacterial cells and incubation for 20 min at room temperature. A 25 μL aliquot of protease inhibitor cocktail for bacterial extracts (Sigma) was added and the cell extract was frozen. After defreezing and the addition of 1% (w/v) streptomycin sulfate to precipitate DNA, the cell extract was centrifuged at 15,000 g for 30 min and the pellet was discarded. Solid ammonium sulfate was added to the cell extract to 35% of saturation. The solution was centrifuged at 15,000 g for 20 min and the pellet was discarded. Ammonium sulfate was added to the supernatant to 75% of saturation and the precipitated protein was collected by centrifugation as before. The protein pellet was dissolved in a minimal amount of 20 mM potassium phosphate, pH 7.2, and dialyzed for 4 h against 1 L of the same buffer, with a buffer change against 2 L of the same buffer overnight. After a brief centrifugation to remove precipitate materials, the dialysed material was added to an Ni-NTA column (3 cm × 8 cm) equilibrated with 20 mM sodium phosphate, pH 7.4 containing 300 mM NaCl. The enzyme binds to the column as a yellow band. The column was washed with equilibration buffer until the absorbance at 260 nm was below 0.1 and then with the same buffer with increasing concentration of imidazole (5–10–25 mM). The enzyme was eluted with 500 mM imidazole. Fractions were collected, and those absorbing at 422 nm were pooled and concentrated by 75% ammonium sulfate precipitation, followed by dialysis in 20 mM potassium phosphate at pH 7.0, containing 200 μM DTT and 100 μM EDTA. All procedures were performed at about 4 °C. The purity of the piSHMT sample was checked by SDS-PAGE and judged to be ≥98%. The protein concentration was determined measuring the absorbance at 280 nm and using a ɛ280 = 43.320 M−1 cm−1 calculated according to Gill and von Hippel [31].

3.4. Preparation of Apoenzyme

Apo-piSHMT was prepared using l-cysteine as previously described [24]. A small, residual fraction (less than 5%) of holoenzyme, estimated by activity assays, was present in the apoenzyme samples. The same observation was also made with the mesophilic enzyme. This residual activity could be due to incomplete removal of PLP. The holoenzyme was reconstituted by incubating the apoenzyme with PLP and separating the unbound PLP from the enzyme by dialysis.

3.5. Spectroscopic Measurements

UV-visible CD spectra were recorded with a Jasco 725 spectropolarimeter in the circular dichroism mode. Far (190–250 nm), near UV (250–310 nm), and visible (310–500 nm) CD spectra were measured using 0.2 and 1.0 cm path length quartz cuvettes. UV-visible spectra and kinetic measurements in the activity assays were recorded on a Hewlett-Packard 8453 diode-array spectrophotometer equipped with a thermostatically controlled water bath. All spectroscopic measurements were carried out at 20 °C in 20 mM potassium phosphate pH 7.2, containing 0.2 mM DTT and 0.1 mM EDTA.

3.6. Activity Assays

All assays were carried out in 20 mM potassium phosphate pH 7.2, containing 0.2 mM DTT and 0.1 mM EDTA at 30 °C. The serine hydroxymethyltransferase activity was measured with 0.05 μM enzyme samples with l-serine and H4PteGlu as substrates, using a coupled assay as previously described [20]. In order to determine the KM for l-serine, H4PteGlu was maintained at 0.03 mM and the l-serine concentration was varied between 0.06 mM and 25 mM.
The rate of l-allo-threonine cleavage (3 μM enzyme samples) was followed by determining the rate of reduction of the product acetaldehyde by alcohol dehydrogenase and NADH at 340 nm [32].
Benzaldehyde production from phenylserine cleavage was measured spectrophotometrically at 279 nm, employing a molar absorption value of ɛ279 = 1400 cm−1·M−1 [33].

3.7. Data Analysis

All data analyses were carried out using the software Prism [34] and OriginPro8 [35].

3.8. Thermal Denaturation Experiments

The protein samples (2.3 μM) in 50 mM sodium Hepes buffer, pH 7.2, containing 0.2 mM DTT and 0.1 mM EDTA were heated from 10 °C to 80 °C with a heating rate of 1 degree min−1 controlled by a Jasco programmable Peltier element. The dichroic activity at 222 nm was monitored continuously every 0.5 °C. All thermal scans were corrected for solvent contribution at the different temperatures. Melting temperature values were calculated by taking the first derivative of the ellipticity at 222 nm with respect to temperature [36]. Replicate determinations of melting temperature values with different batches of enzyme did not vary more than 2%.

3.9. Heat Inactivation

eSHMT or piSHMT was kept in a thermostatically controlled block at 60 °C and 65 °C. At different time intervals (0–20 min) aliquots of 30 mL were withdrawn and chilled in ice. These aliquots were subsequently assayed at 30 °C for residual enzyme activity, employing the l-allo-threonine cleavage assay, after adding the remaining components of enzyme assay mixture. Results of heat inactivation experiments were expressed as percent activity remaining compared to the control value obtained at zero time of incubation.

3.10. Temperature Dependence of Enzyme Activity

The temperature dependence of the rate of retroaldol cleavage of l-threo-phenylserine was determined, using either eSHMT or piSHMT as catalyst, over the range from 10 °C to 65 °C. The steady state velocity of the reaction was measured using 15 mM substrate. Data in range temperature 10–45°C were used in a global fit to the Arrhenius equation in which the activation energy was a shared parameter.

4. Conclusions

In conclusion, our studies demonstrate that SHMT from Psychromonas ingrahamii is an enzyme with psychrophilic features, which deserves further investigations. This enzyme has a lower melting temperature compared to its counterpart, although it is not as unstable as other psychrophilic enzymes reported in the literature, despite being substantially more active than the eSHMT. Therefore this enzyme appears, in a sense, optimized for good stability combined with good activity at low temperature. This suggests also that P. ingrahamii may be a source of enzymes with attractive characteristics for biotechnological applications.

Acknowledgments

This work has been partially supported by the funds from the italian “Ministero dell’Istruzione, dell’Università e della Ricerca”. Authors thank Alessandro Siglioccolo for the helpful suggestions deduced from his in silico analysis of piSHMT. This paper is dedicated to Francesco Bossa and Donatella Barra on the occasion of their 70th birthday.

References

  1. Kashefi, K.; Lovley, D.R. Extending the upper temperature limit for life. Science 2003, 301, 934. [Google Scholar]
  2. Cavicchioli, R.; Siddiqui, K.S.; Andrews, D.; Sowers, K.R. Low-temperature extremophiles and their applications. Curr. Opin. Biotechnol 2002, 13, 253–261. [Google Scholar]
  3. Feller, G.; Gerday, C. Psychrophylic enzymes: Hot topics in cold adaptation. Nat. Rev. Microbiol 2003, 1, 200–208. [Google Scholar]
  4. Somero, G.N. Adaptation of enzymes to temperature: Searching for basic “strategies”. Comp. Biochem. Physiol. B 2004, 139, 321–333. [Google Scholar]
  5. Siddiqui, K.S.; Cavicchioli, R. Cold-Adapted Enzymes. Annu. Rev. Biochem 2006, 75, 403–433. [Google Scholar]
  6. Smalås, A.O.; Leiros, H.K.; Os, V.; Willassen, N.P. Cold adapted enzymes. Biotechnol. Annu. Rev 2000, 6, 1–57. [Google Scholar]
  7. D’Amico, S.; Gerday, C.; Feller, G. Structural determinants of cold adaptation and stability in a large protein. J. Biol. Chem 2001, 276, 25791–25796. [Google Scholar]
  8. D’Amico, S.; Marx, J.C.; Gerday, C.; Feller, G. Activity-stability relationships in extremophilic enzymes. J. Biol. Chem 2003, 278, 7891–7896. [Google Scholar]
  9. Michaux, C.; Massant, J.; Kerff, F.; Frère, J.M.; Docquier, J.D.; Vandenberghe, I.; Samyn, B.; Pierrard, A.; Feller, G.; Charlier, P.; et al. Crystal structure of a cold adapted class C beta-lactamase. FEBS J 2008, 275, 1687–1697. [Google Scholar]
  10. Auman, A.J.; Breezee, J.L.; Gosink, J.J.; Kämpfer, P.; Staley, J.T. Psychromonas ingrahamii sp. nov., a novel gas vacuolate, psychrophilic bacterium isolated from Arctic polar sea ice. Int. J. Syst. Evol. Microbiol 2006, 56, 1001–1007. [Google Scholar]
  11. Amadasi, A.; Bertoldi, M.; Contestabile, R.; Bettati, S.; Cellini, B.; di Salvo, M.L.; Borri-Voltattorni, C.; Bossa, F.; Mozzarelli, A. Pyridoxal 5′-phosphate enzymes as targets for therapeutic agents. Curr. Med. Chem 2007, 14, 1291–1324. [Google Scholar]
  12. Siglioccolo, A.; Bossa, F.; Pascarella, S. Structural adaptation of serine hydroxymethyltransferase to low temperatures. Int. J. Biol. Macromol 2010, 46, 37–46. [Google Scholar]
  13. Angelaccio, S.; Chiaraluce, R.; Consalvi, V.; Buchenau, B.; Giangiacomo, L.; Bossa, F.; Contestabile, R. Catalytic and thermodynamic properties of tetrahydromethanopterin-dependent serine hydroxymethyltransferase from Methanococcus jannaschii. J. Biol. Chem 2003, 278, 41789–41797. [Google Scholar]
  14. Paiardini, A.; Gianese, G.; Bossa, F.; Pascarella, S. Structural plasticity of thermophilic serine hydroxymethyltransferases. Proteins 2003, 50, 122–134. [Google Scholar]
  15. Birolo, L.; Tutino, M.L.; Fontanella, B.; Gerday, C.; Mainolfi, K.; Pascarella, S.; Sannia, G.; Vinci, F.; Marino, G. Aspartate aminotransferase from the Antarctic bacterium Pseudoalteromonas haloplanktis TAC 125 Cloning, expression, properties, and molecular modeling. Eur. J. Biochem 2000, 267, 2790–2802. [Google Scholar]
  16. Russell, N.J. Molecular adaptations in psychrophilic bacteria: Potential for biotechnological applications. Adv. Biochem. Eng. Biotechnol 1998, 61, 1–21. [Google Scholar]
  17. Schirch, V. Mechanism of Folate-Requiring Enzymes in One-Carbon Metabolism. In Comprehensive Biological Catalysis, 2nd ed; Sinnot, M.L., Ed.; Academic Press: New York, NY, USA, 1998; pp. 211–252. [Google Scholar]
  18. Strickland, E.H. Aromatic contributions to circular dichroism spectra of proteins. CRC Crit. Rev. Biochem 1974, 2, 113–175. [Google Scholar]
  19. Contestabile, R.; Paiardini, A.; Pascarella, S.; di Salvo, M.L.; D’Aguanno, S.; Bossa, F. l-Threonine aldolase, serine hydroxymethyltransferase and fungal alanine racemase, A subgroup of strictly related enzymes specialized for different functions. Eur. J. Biochem 2001, 268, 6508–6525. [Google Scholar]
  20. Schirch, V.; Hopkins, S.; Villar, E.; Angelaccio, S. Serine hydroxymethyltransferase from Escherichia coli: Purification and properties. J. Bacteriol 1985, 163, 1–7. [Google Scholar]
  21. Vivoli, M.; Angelucci, F.; Ilari, A.; Morea, V.; Angelaccio, S.; di Salvo, M.L.; Contestabile, R. Role of a conserved active site cation-π interaction in Escherichia coli serine hydroxymethyltransferase. Biochemistry 2009, 48, 12034–12046. [Google Scholar]
  22. Gerday, C.; Aittaleb, M.; Arpigny, J.L.; Baise, E.; Chessa, J.P.; Garsoux, G.; Petrescu, I.; Feller, G. Psychrophilic enzymes: A thermodynamic challenge. Biochim. Biophys. Acta 1997, 1342, 119–131. [Google Scholar]
  23. Bjelic, S.; Brandsdal, B.O.; Aqvist, J. Cold adaptation of enzyme reaction rates. Biochemistry 2008, 47, 10049–10057. [Google Scholar]
  24. Cai, K.; Schirch, D.; Schirch, V. The affinity of pyridoxal 5′-phosphate for folding intermediates of Escherichia coli serine hydroxymethyltransferase. J. Biol. Chem 1995, 270, 19294–19299. [Google Scholar]
  25. Malerba, F.; Bellelli, A.; Giorgi, A.; Bossa, F.; Contestabile, R. The mechanism of addition of pyridoxal 5′-phosphate to Escherichia coli apo-serine hydroxymethyltransferase. Biochem. J 2007, 404, 477–485. [Google Scholar]
  26. Zhao, G.H.; Li, H.; Liu, W.; Zhang, W.G.; Zhang, F.; Liu, Q.; Jiao, Q.C. Preparation of optically active β-hydroxy-α-amino acid by immobilized Escherichia coli cells with serine hydroxymethyl transferase activity. Amino Acids 2011, 40, 215–220. [Google Scholar]
  27. Hoyoux, A.; Blaise, V.; Collins, T.; D’Amico, S.; Gratia, E.; Huston, A.L.; Marx, J.C.; Sonan, G.; Zeng, Y.; Feller, G.; et al. Extreme catalysts from low-temperature environments. J. Biosci. Bioeng 2004, 98, 317–330. [Google Scholar]
  28. Merlino, A.; Krauss, I.R.; Castellano, I.; de Vendittis, E.; Rossi, B.; Conte, M.; Vergara, A.; Sica, F. Structure and flexibility in cold-adapted iron superoxide dismutases: The case of the enzyme isolated from Pseudoalteromonas haloplanktis. Struct. Biol 2010, 172, 343–352. [Google Scholar]
  29. Mereghetti, P.; Riccardi, L.; Brandsdal, B.O.; Fantucci, P.; de Gioia, L.; Papaleo, E. Near native-state conformational landscape of psychrophilic and mesophilic enzymes: Probing the folding funnel model. J. Phys. Chem. B 2010, 114, 7609–7619. [Google Scholar]
  30. Chiuri, R.; Maiorano, G.; Rizzello, A.; del Mercato, L.L.; Cingolani, R.; Rinaldi, R.; Maffia, M.; Pompa, P.P. Exploring local flexibility/rigidity in psychrophilic and mesophilic carbonic anhydrases. Biophys. J 2009, 96, 1586–1596. [Google Scholar]
  31. Gill, S.C.; von Hippel, P.H. Calculation of protein extinction coefficients from amino acid sequence data. Anal. Biochem 1989, 182, 319–326. [Google Scholar]
  32. Schirch, L.; Peterson, D. Purification and properties of mitochondrial serine hydroxymethyltransferase. J. Biol. Chem 1980, 255, 7801–7806. [Google Scholar]
  33. Ulevitch, R.J.; Kallen, R.G. Purification and characterization of pyridoxal 50-phosphate-dependent serine hydroxymethyltransferase from lamb liver and its action upon β-phenylserines. Biochemistry 1977, 16, 5342–5350. [Google Scholar]
  34. GraphPad Prism, version 4.0; GraphPad Software Inc.: San Diego, CA, USA, 2003.
  35. OriginPro8, version 8.0988; OriginLab Corporation: Northampton, MA, USA, 2009.
  36. Bellapadrona, G.; Chiaraluce, R.; Consalvi, V.; Ilari, A.; Stefanini, S.; Chiancone, E. The mutations Lys 114 → Gln and Asp 126 → Asn disrupt an intersubunit salt bridge and convert Listeria innocua Dps into its natural mutant Listeria monocytogenes Dps. Effects on protein stability at low pH. Proteins 2007, 66, 975–983. [Google Scholar]
Figure 1. Absorbance spectra of Psychromonas ingrahamii SHMT (piSHMT) and Escherichia coli SHMT (eSHMT) in the absence and presence of substrates. (A) Panel A shows the absorption spectra of 30 μM piSHMT (continuous line), and eSHMT (dashed line) at 30 °C; (B) Panel B shows the absorption spectra after the addition of 90% saturating glycine (continuous line piSHMT and dashed line eSHMT); (C) In panel C are shown the spectra taken after the addition of 100 μM H4PteGlu to the samples containing glycine.
Figure 1. Absorbance spectra of Psychromonas ingrahamii SHMT (piSHMT) and Escherichia coli SHMT (eSHMT) in the absence and presence of substrates. (A) Panel A shows the absorption spectra of 30 μM piSHMT (continuous line), and eSHMT (dashed line) at 30 °C; (B) Panel B shows the absorption spectra after the addition of 90% saturating glycine (continuous line piSHMT and dashed line eSHMT); (C) In panel C are shown the spectra taken after the addition of 100 μM H4PteGlu to the samples containing glycine.
Ijms 13 01314f1
Figure 2. CD spectra of holo-piSHMT (continuous line) and apo-piSHMT (dotted line). CD spectra were recorded on 30 μM enzyme samples at 20 °C, in 20 mM potassium phosphate pH 7.2, containing 0.2 mM DTT, 0.1 mM EDTA and 50 mM Na2SO4.
Figure 2. CD spectra of holo-piSHMT (continuous line) and apo-piSHMT (dotted line). CD spectra were recorded on 30 μM enzyme samples at 20 °C, in 20 mM potassium phosphate pH 7.2, containing 0.2 mM DTT, 0.1 mM EDTA and 50 mM Na2SO4.
Ijms 13 01314f2
Figure 3. Residual enzyme activity after incubation at 60 °C (left panel) or 65 °C (right panel). Black and gray symbols refer to Escherichia coli and Psychromonas ingrahamii SHMT respectively. The reaction tested was: l-allothreonine cleavage assay. The values are the average of three independent replicates on different bathes of enzyme which did not vary more than 5%.
Figure 3. Residual enzyme activity after incubation at 60 °C (left panel) or 65 °C (right panel). Black and gray symbols refer to Escherichia coli and Psychromonas ingrahamii SHMT respectively. The reaction tested was: l-allothreonine cleavage assay. The values are the average of three independent replicates on different bathes of enzyme which did not vary more than 5%.
Ijms 13 01314f3
Figure 4. Thermal denaturation of apo- (dotted curve) and holo- (continuous curve) Psychromonas ingrahamii SHMT. The inset shows the first derivative of the same data.
Figure 4. Thermal denaturation of apo- (dotted curve) and holo- (continuous curve) Psychromonas ingrahamii SHMT. The inset shows the first derivative of the same data.
Ijms 13 01314f4
Figure 5. Temperature dependence of enzyme activity of pi- (gray symbols and left axis scale) and e- (black squares and right axis scale) SHMTs. Activities were measured for the retroaldol cleavage of l-threo-phenylserine. The values are the average of three independent replicates on different batches of enzyme which did not vary more than 2%. Inset: fitting of activity values of pi- and e-SHMTs to the Arrhenius equation in the temperature range 10–45 °C. Values refer to the same respective scales.
Figure 5. Temperature dependence of enzyme activity of pi- (gray symbols and left axis scale) and e- (black squares and right axis scale) SHMTs. Activities were measured for the retroaldol cleavage of l-threo-phenylserine. The values are the average of three independent replicates on different batches of enzyme which did not vary more than 2%. Inset: fitting of activity values of pi- and e-SHMTs to the Arrhenius equation in the temperature range 10–45 °C. Values refer to the same respective scales.
Ijms 13 01314f5
Table 1. Comparison of the kinetic parameters of several reactions catalyzed by Psychromonas ingrahamii SHMT and Escherichia coli SHMTs at 30 °C.
Table 1. Comparison of the kinetic parameters of several reactions catalyzed by Psychromonas ingrahamii SHMT and Escherichia coli SHMTs at 30 °C.
ReactionsPsychromonas ingrahamiiEscherichia coli

SubstrateKM (mM)kcat (min−1)kcat/KM (min−1 mM−1)KM (mM)kcat (min−1)kcat/KM (min−1 mM−1)
l-threonine20.26.60.343 a4.3 a0.1 a
l-threo-phenylserine17.28525019 a167 a8.8 a
l-allo-threonine1.6107671.5 b30 b20 b
l-serine (H4PteGlu 30 μM)0.455513880.3 b640 b2130 b
afrom reference [19];
bfrom reference [20].

Share and Cite

MDPI and ACS Style

Angelaccio, S.; Florio, R.; Consalvi, V.; Festa, G.; Pascarella, S. Serine Hydroxymethyltransferase from the Cold Adapted Microorganism Psychromonas ingrahamii: A Low Temperature Active Enzyme with Broad Substrate Specificity. Int. J. Mol. Sci. 2012, 13, 1314-1326. https://doi.org/10.3390/ijms13021314

AMA Style

Angelaccio S, Florio R, Consalvi V, Festa G, Pascarella S. Serine Hydroxymethyltransferase from the Cold Adapted Microorganism Psychromonas ingrahamii: A Low Temperature Active Enzyme with Broad Substrate Specificity. International Journal of Molecular Sciences. 2012; 13(2):1314-1326. https://doi.org/10.3390/ijms13021314

Chicago/Turabian Style

Angelaccio, Sebastiana, Rita Florio, Valerio Consalvi, Guido Festa, and Stefano Pascarella. 2012. "Serine Hydroxymethyltransferase from the Cold Adapted Microorganism Psychromonas ingrahamii: A Low Temperature Active Enzyme with Broad Substrate Specificity" International Journal of Molecular Sciences 13, no. 2: 1314-1326. https://doi.org/10.3390/ijms13021314

APA Style

Angelaccio, S., Florio, R., Consalvi, V., Festa, G., & Pascarella, S. (2012). Serine Hydroxymethyltransferase from the Cold Adapted Microorganism Psychromonas ingrahamii: A Low Temperature Active Enzyme with Broad Substrate Specificity. International Journal of Molecular Sciences, 13(2), 1314-1326. https://doi.org/10.3390/ijms13021314

Article Metrics

Back to TopTop