Optimization of Ultrasound-Assisted Extraction of Anthocyanins from Mulberry, Using Response Surface Methodology
Abstract
:1. Introduction
2. Results and Discussion
2.1. Chromatographic Results
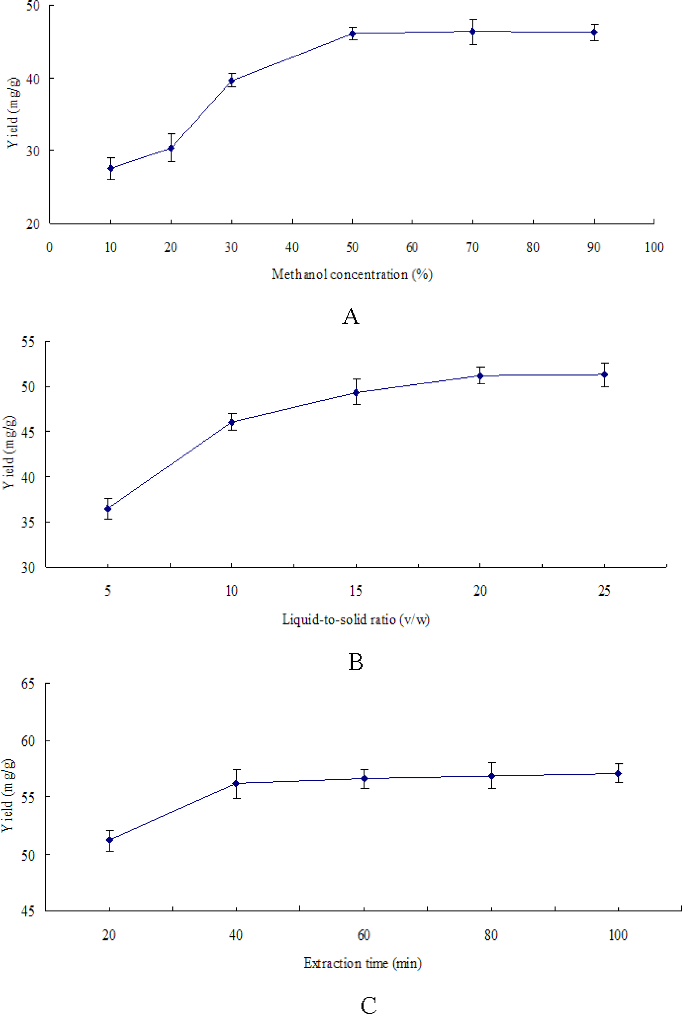
2.2. Selection of Solvent
2.3. Volume of Solvent
2.4. Extraction Time
2.5. Extraction Temperature
2.6. Optimization of the Yield of Anthocyanins
3. Experimental Section
3.1. Chemicals and Reagents
3.2. Plant Material
3.3. Ultrasound-Assisted Extraction
3.4. Experimental Design
3.5. HPLC Analysis
3.6. Statistical Analysis
4. Conclusions
Acknowledgments
References
- Chan, KC; Ho, HH; Huang, CN; Lin, MC; Chen, HM; Wang, CJ. Mulberry leaf extract inhibits vascular smooth muscle cell migration involving a block of small GTPase and Akt/NF-kappaB signals. J. Agric. Food Chem 2009, 57, 9147–9153. [Google Scholar]
- Kowalczyk, E; Krzesinski, P; Kura, M; Szmigiel, B; Blaszczyk, J. Anthocyanins in medicine. Pol. J. Pharmacol 2003, 55, 699–702. [Google Scholar]
- Zhang, MW; Zhang, RF; Zhang, FX; Liu, RH. Phenolic profiles and antioxidant activity of black rice bran of different commercially available varieties. J. Agric. Food Chem 2010, 58, 7580–7587. [Google Scholar]
- Cacace, JE; Mazza, G. Extraction of anthocyanins and other phenolics from black currants with sulfured water. J. Agric. Food Chem 2002, 50, 5939–5946. [Google Scholar]
- Burdulis, D; Sarkinas, A; Jasutiene, I; Stackevicene, E; Nikolajevas, L; Janulis, V. Comparative study of anthocyanin composition, antimicrobial and antioxidant activity in bilberry (Vaccinium myrtillus L.) and blueberry (Vaccinium corymbosum L.) fruits. Acta Pol. Pharm 2009, 66, 399–408. [Google Scholar]
- Wang, H; Nair, MG; Strasburg, GM; Chang, YC; Booren, AM; Gray, JI; Dewitt, DL. Antioxidant and antiinflammatory activities of anthocyanins and their aglycon, cyanidin, from tart cherries. J. Nat. Prod 1999, 62, 294–296. [Google Scholar]
- Goupy, P; Bautista-Ortin, AB; Fulcrand, H; Dangles, O. Antioxidant activity of wine pigments derived from anthocyanins: Hydrogen transfer reactions to the dpph radical and inhibition of the heme-induced peroxidation of linoleic acid. J. Agric. Food Chem 2009, 57, 5762–5770. [Google Scholar]
- Webb, MR; Min, K; Ebeler, SE. Anthocyanin interactions with DNA: Intercalation, topoisomerase I inhibition and oxidative reactions. J. Food Biochem 2008, 32, 576–596. [Google Scholar]
- Liu, X; Xiao, G; Chen, W; Xu, Y; Wu, J. Quantification and purification of mulberry anthocyanins with macroporous resins. J. Biomed. Biotechnol 2004, 2004, 326–331. [Google Scholar]
- Hassimotto, NM; Genovese, MI; Lajolo, FM. Absorption and metabolism of cyanidin-3-glucoside and cyanidin-3-rutinoside extracted from wild mulberry (Morus nigra L.) in rats. Nutr. Res 2008, 28, 198–207. [Google Scholar]
- Suhl, HJ; Noh, DO; Kang, CS; Kim, JM; Lee, SW. Thermal kinetics of color degradation of mulberry fruit extract. Nahrung 2003, 47, 132–135. [Google Scholar]
- Huang, HP; Shih, YW; Chang, YC; Hung, CN; Wang, CJ. Chemoinhibitory effect of mulberry anthocyanins on melanoma metastasis involved in the Ras/PI3K pathway. J. Agric. Food Chem 2008, 56, 9286–9293. [Google Scholar]
- Lapornik, B; Prosek, M; Wondra, AG. Comparison of extracts prepared from plant by-products using different solvents and extraction time. J. Food Eng 2005, 71, 214–222. [Google Scholar]
- Li, FQ; Hu, JH. Description of the release of sodium ferulate from hydroxypropyl methylcellulose based matrix tablets in vitro. Yao Xue Xue Bao 2004, 39, 389–391. [Google Scholar]
- Barbero, GF; Liazid, A; Palma, M; Barroso, CG. Ultrasound-assisted extraction of capsaicinoids from peppers. Talanta 2008, 75, 1332–1337. [Google Scholar]
- Vinatoru, M. An overview of the ultrasonically assisted extraction of bioactive principles from herbs. Ultrason. Sonochem 2001, 8, 303–313. [Google Scholar]
- Yang, H; Li, X; Tang, Y; Zhang, N; Chen, J; Cai, B. Supercritical fluid CO2 extraction and simultaneous determination of eight annonaceous acetogenins in Annona genus plant seeds by HPLC-DAD method. J. Pharmaceut. Biomed. Anal 2009, 49, 140–144. [Google Scholar]
- Hardlei, TF; Morkbak, AL; Nexo, E. Enzymatic extraction of cobalamin from monoclonal antibody captured haptocorrin and transcobalamin. Clin. Biochem 2007, 40, 1392–1397. [Google Scholar]
- Pedersen, JR; Olsson, JO. Soxhlet extraction of acrylamide from potato chips. Analyst 2003, 128, 332–334. [Google Scholar]
- Ghafoor, K; Choi, YH; Jeon, JY; Jo, IH. Optimization of ultrasound-assisted extraction of phenolic compounds, antioxidants, and anthocyanins from grape (Vitis vinifera) seeds. J. Agric. Food Chem 2009, 57, 4988–4994. [Google Scholar]
- Rostagno, MA; Palma, M; Barroso, CG. Ultrasound-assisted extraction of soy isoflavones. J. Chromatogr. A 2003, 1012, 119–128. [Google Scholar]
- Bezerra, MA; Santelli, RE; Oliveira, EP; Villar, LS; Escaleira, LA. Response surface methodology (RSM) as a tool for optimization in analytical chemistry. Talanta 2008, 76, 965–977. [Google Scholar]
- Liu, W; Yu, Y; Yang, R; Wan, C; Xu, B; Cao, S. Optimization of total flavonoid compound extraction from Gynura medica leaf using response surface methodology and chemical composition analysis. Int. J. Mol. Sci 2010, 11, 4750–4763. [Google Scholar]
- Parisa, S; Reza, H; Elham, G; Rashid, J. Effect of heating, UV irradiation and pH on stability of the anthocyanin copigment complex. Pakistan J. Biol. Sci 2007, 10, 267–272. [Google Scholar]
- Barnes, JS; Nguyen, HP; Shen, S; Schug, KA. General method for extraction of blueberry anthocyanins and identification using high performance liquid chromatography-electrospray ionization-ion trap-time of flight-mass spectrometry. J. Chromatogr. A 2009, 1216, 4728–4735. [Google Scholar]
- Li, H; Chen, B; Yao, S. Application of ultrasonic technique for extracting chlorogenic acid from Eucommia ulmodies Oliv. (E. ulmodies). Ultrason. Sonochem 2005, 12, 295–300. [Google Scholar]
- Valachovic, P; Pechova, A; Mason, TJ. Towards the industrial production of medicinal tincture by ultrasound assisted extraction. Ultrason. Sonochem 2001, 8, 111–117. [Google Scholar]
- Galhiane, MS; Rissato, SR; Chierice, GO; Almeida, MV; Silva, LC. Influence of different extraction methods on the yield and linalool content of the extracts of Eugenia uniflora L. Talanta 2006, 70, 286–292. [Google Scholar]
- Dong, J; Liu, Y; Liang, Z; Wang, W. Investigation on ultrasound-assisted extraction of salvianolic acid B from Salvia miltiorrhiza root. Ultrason. Sonochem 2010, 17, 61–65. [Google Scholar]
- Wang, Z; Xiao, G; Liao, S. The study of antioxidations and their correlations with anthocyanin contents in different varieties of mulberry. Sci. Seri 2006, 32, 399–402. [Google Scholar]
- Xia, EQ; Ai, XX; Zang, SY; Guan, TT; Xu, XR; Li, HB. Ultrasound-assisted extraction of phillyrin from Forsythia suspensa. Ultrason. Sonochem 2010, 18, 549–552. [Google Scholar]




| Independent variables | Coded Levels | ||
|---|---|---|---|
| −1 | 0 | 1 | |
| Methanol concentration (X1) | 30 | 50 | 70 |
| Temperature (X2) | 30 | 40 | 50 |
| Liquid-to-solid ratio (X3) | 15 | 20 | 25 |
| Test set | Coded levels | Anthocyanin yield (mg/g) | ||
|---|---|---|---|---|
| X1 | X2 | X3 | ||
| 1 | 1 | 0 | 1 | 63.42 |
| 2 | 0 | 1 | −1 | 52.09 |
| 3 | 1 | −1 | 0 | 51.24 |
| 4 | 1 | 0 | −1 | 56.73 |
| 5 | −1 | 0 | 1 | 52.62 |
| 6 | 0 | −1 | −1 | 49.06 |
| 7 | 0 | −1 | 1 | 51.05 |
| 8 | −1 | 0 | −1 | 50.98 |
| 9 | −1 | 1 | 0 | 48.65 |
| 10 | 0 | 1 | 1 | 59.16 |
| 11 | −1 | −1 | 0 | 45.63 |
| 12 | 1 | 1 | 0 | 59.14 |
| 13 | 0 | 0 | 0 | 62.13 |
| 14 | 0 | 0 | 0 | 63.37 |
| 15 | 0 | 0 | 0 | 61.02 |
| SD | SS | DF | MS | F value | p value |
|---|---|---|---|---|---|
| Model | 485.93 | 9 | 53.99 | 94.32 | <0.0001 |
| X1 | 133.25 | 1 | 133.25 | 232.79 | <0.0001 |
| X2 | 60.83 | 1 | 60.83 | 106.27 | 0.0001 |
| X3 | 37.80 | 1 | 37.80 | 66.04 | 0.0005 |
| X1 X2 | 5.95 | 1 | 5.95 | 10.40 | 0.0233 |
| X1 X3 | 6.38 | 1 | 6.38 | 11.14 | 0.0206 |
| X2 X3 | 6.45 | 1 | 6.45 | 11.27 | 0.0202 |
| X12 | 57.77 | 1 | 57.77 | 100.92 | 0.0002 |
| X22 | 183.67 | 1 | 183.67 | 320.87 | <0.0001 |
| X32 | 19.20 | 1 | 19.20 | 33.54 | 0.0022 |
| Lack of it | 0.098 | 3 | 0.033 | 0.024 | 0.9937 |
© 2011 by the authors; licensee MDPI, Basel, Switzerland. This article is an open-access article distributed under the terms and conditions of the Creative Commons Attribution license (http://creativecommons.org/licenses/by/3.0/).
Share and Cite
Zou, T.-B.; Wang, M.; Gan, R.-Y.; Ling, W.-H. Optimization of Ultrasound-Assisted Extraction of Anthocyanins from Mulberry, Using Response Surface Methodology. Int. J. Mol. Sci. 2011, 12, 3006-3017. https://doi.org/10.3390/ijms12053006
Zou T-B, Wang M, Gan R-Y, Ling W-H. Optimization of Ultrasound-Assisted Extraction of Anthocyanins from Mulberry, Using Response Surface Methodology. International Journal of Molecular Sciences. 2011; 12(5):3006-3017. https://doi.org/10.3390/ijms12053006
Chicago/Turabian StyleZou, Tang-Bin, Min Wang, Ren-You Gan, and Wen-Hua Ling. 2011. "Optimization of Ultrasound-Assisted Extraction of Anthocyanins from Mulberry, Using Response Surface Methodology" International Journal of Molecular Sciences 12, no. 5: 3006-3017. https://doi.org/10.3390/ijms12053006
APA StyleZou, T.-B., Wang, M., Gan, R.-Y., & Ling, W.-H. (2011). Optimization of Ultrasound-Assisted Extraction of Anthocyanins from Mulberry, Using Response Surface Methodology. International Journal of Molecular Sciences, 12(5), 3006-3017. https://doi.org/10.3390/ijms12053006
