Solubility Enhancement of Steviol Glycosides and Characterization of Their Inclusion Complexes with Gamma-Cyclodextrin
Abstract
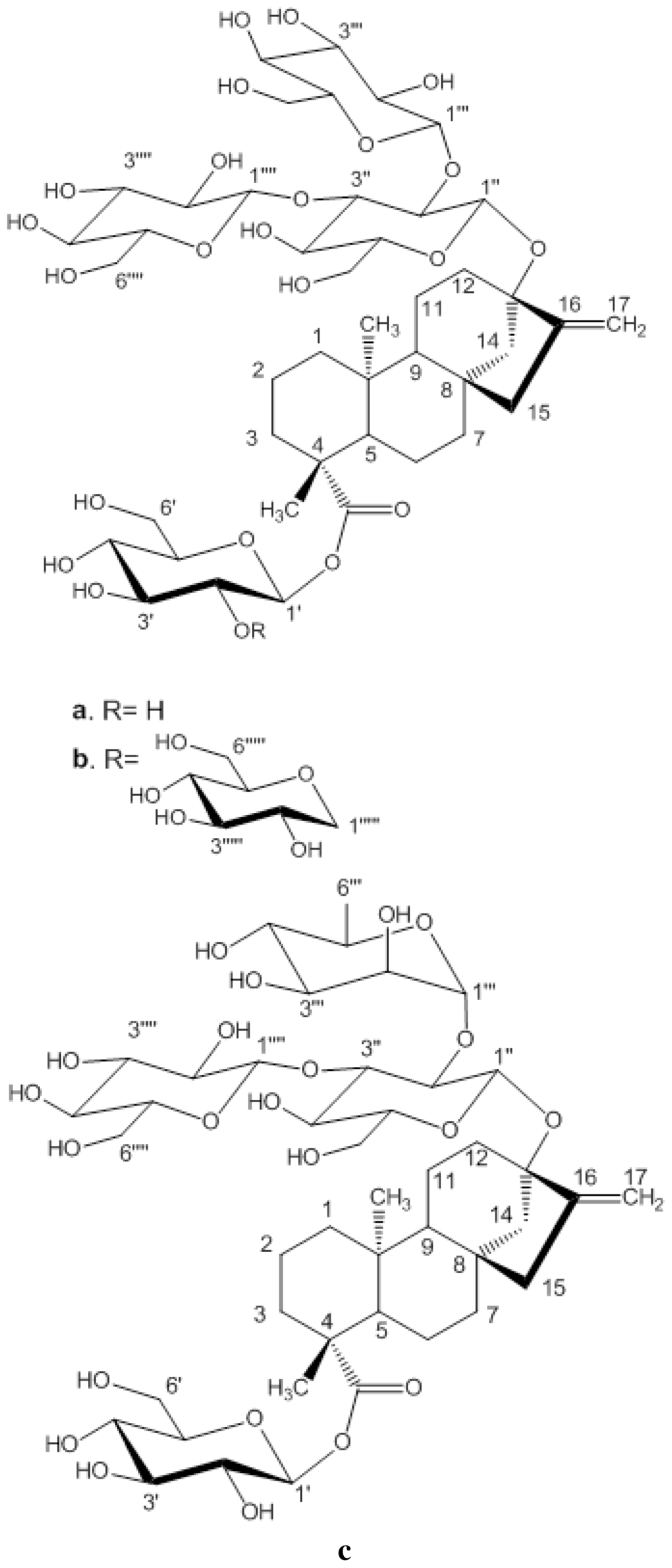
:1. Introduction
2. Results and Discussion
2.1. Differential Scanning Calorimetry (DSC) Study
2.2. Fourier Transform Infrared Spectroscopy (FT-IR) Study
2.3. Raman Spectral Studies
2.4. NMR Spectroscopy Studies
1H NMR
13C CP/MAS Solid state NMR
2.5. Phase Solubility Analysis
3. Experimental Section
Materials
Preparation of γ-CD/Reb A (hydrate form) and γ-CD/Reb C Inclusion Complexes
Preparation of γ-CD/Reb D Inclusion complex. A
B
Preparation of Physical Mixtures
Preliminary solubility analysis
Differential Scanning Calorimetry
Raman Spectroscopy
IR Spectroscopy
Phase solubility studies
LC-MS
1H NMR Spectroscopy
13C CP/MAS NMR Spectroscopy
4. Conclusions
Acknowledgments
References
- Kim, N.C.; Kinghorn, A.D. Sweet tasting and sweetness-modifying constituents of plants. Stud. Nat. Prod. Chem 2002, 27, 3–57. [Google Scholar]
- Carakostas, M.; Prakash, I.; Kinghorn, A.D.; Wu, C.D.; Soejarto, D.D. Steviol glycosides. In Alternative Sweeteners, 4th ed.; Nabors, L.B., Ed.; Marcel Dekker: New York, NY, USA, 2011; pp. 159–180. [Google Scholar]
- Salemme, R.F.; Long, D.; Palmer, R.K.; Brennan, F.X.; Sprous, D. Rebaudioside C and its stereoisomers as natural product sweetness enhancers. U.S. Patent Application 20110070172, 2011. [Google Scholar]
- Prakash, I.; Dubois, G.E.; Klucik, J.; San Miguel, R.I.; Fritsch, R.J.; Chaturvedula, V.S.P. Sweetness enhancers, compositions thereof and methods for use. U.S. Patent 20110160311, 2011. [Google Scholar]
- Ohtani, K.; Aikawa, Y.; Fujisawa, Y.; Kasai, R.; Tanaka, O.; Yamasaki, K. Solubilization of steviolbioside and steviolmonoside with gamma-cyclodextrin and its application to selective syntheses of better sweet glycosides from stevioside and rubusoside. Chem. Pharm. Bull 1991, 39, 3172–3174. [Google Scholar]
- Szejtli, J.; Szente, L. Elimination of bitter, disgusting tastes of drugs and foods by cyclodextrins. Eur. J. Pharm. Biopharm 2005, 61, 115–125. [Google Scholar]
- Sicard, P.J.; Saniez, M.H. Biosynthesis of cycloglycosyl transferase and obtention of its enzymatic reaction products. In Cyclodextrins and Their Industrial Uses; Duchene, D., Ed.; Editions de Sante: Paris, France, 1987; pp. 75–103. [Google Scholar]
- Redenti, E.; Peveri, T.; Zanol, M.; Ventura, P.; Gnappi, G.; Montenero, A. A study on the differentiation between amorphous piroxicam: β-cyclodextrin complex and a mixture of the two amorphous components. Int. J. Pharm 1996, 129, 289–294. [Google Scholar]
- Taylor, L.S.; Zografi, G. Spectroscopic characterization of interactions between PVP and indomethacin in amorphous molecular dispersions. Pharm. Res 1997, 14, 1691–1698. [Google Scholar]
- Higuchi, T.; Connors, K.A. Phase solubility techniques. Adv. Anal. Chem. Instrum 1965, 4, 117–212. [Google Scholar]
- Brewster, M.E.; Loftsson, T. Cyclodextrins as pharmaceutical solubilizers. Adv. Drug Deliv. Rev 2007, 59, 645–666. [Google Scholar]
- Sakamoto, I.; Yamasaki, K.; Osamu, T. Application of 13C NMR spectroscopy to chemistry of plant glycosides: Rebaudioside-C, a new sweet diterpene glycoside of stevia rebaudiana. Chem. Pharm. Bull 1977, 25, 844–846. [Google Scholar]
- Sakamoto, I.; Yamasaki, K.; Osamu, T. Application of 13C NMR spectroscopy to chemistry of plant glycosides: Rebaudioside D and E, new sweet diterpene glucosides of stevia rebaudiana Bertoni. Chem. Pharm. Bull 1977, 12, 3437–3439. [Google Scholar]
- Onda, M.; Yamamoto, Y.; Inoue, Y.; Chujo, R. 1H NMR study of intramolecular hdrogen bonding interaction in cyclodextrins and their di-O-methylated derivatives. Bull. Chem. Soc. Jpn 1988, 61, 4015–4021. [Google Scholar]





















| Sample | Inclusion Complex* | Concentration in Water | Time | Visual Observation |
|---|---|---|---|---|
| 1 | γ-CD/Reb A | 1.43% | 30 days | clear |
| 2 | γ-CD/Reb C | 2% | 30 days | clear |
| 3 | γ-CD/Reb C | 4% | 4 days | clear |
| 4 | γ-CD/Reb D-(A) ** | 1% | 30 days | clear |
| Steviol glycoside | Type of diagram | Slope | K1:1 (M−1) | EF* |
|---|---|---|---|---|
| Reb A | AL | 0.1242 | 133 | 12.75 |
| Reb C | AL | 4.9190 | 1028 | 5.5 |
| reb D | AN | 4.3485 | 1091 | 9.6 |
© 2011 by the authors; licensee MDPI, Basel, Switzerland. This article is an open-access article distributed under the terms and conditions of the Creative Commons Attribution license (http://creativecommons.org/licenses/by/3.0/).
Share and Cite
Upreti, M.; Strassburger, K.; Chen, Y.L.; Wu, S.; Prakash, I. Solubility Enhancement of Steviol Glycosides and Characterization of Their Inclusion Complexes with Gamma-Cyclodextrin. Int. J. Mol. Sci. 2011, 12, 7529-7553. https://doi.org/10.3390/ijms12117529
Upreti M, Strassburger K, Chen YL, Wu S, Prakash I. Solubility Enhancement of Steviol Glycosides and Characterization of Their Inclusion Complexes with Gamma-Cyclodextrin. International Journal of Molecular Sciences. 2011; 12(11):7529-7553. https://doi.org/10.3390/ijms12117529
Chicago/Turabian StyleUpreti, Mani, Ken Strassburger, You L. Chen, Shaoxiong Wu, and Indra Prakash. 2011. "Solubility Enhancement of Steviol Glycosides and Characterization of Their Inclusion Complexes with Gamma-Cyclodextrin" International Journal of Molecular Sciences 12, no. 11: 7529-7553. https://doi.org/10.3390/ijms12117529
APA StyleUpreti, M., Strassburger, K., Chen, Y. L., Wu, S., & Prakash, I. (2011). Solubility Enhancement of Steviol Glycosides and Characterization of Their Inclusion Complexes with Gamma-Cyclodextrin. International Journal of Molecular Sciences, 12(11), 7529-7553. https://doi.org/10.3390/ijms12117529
