Abstract
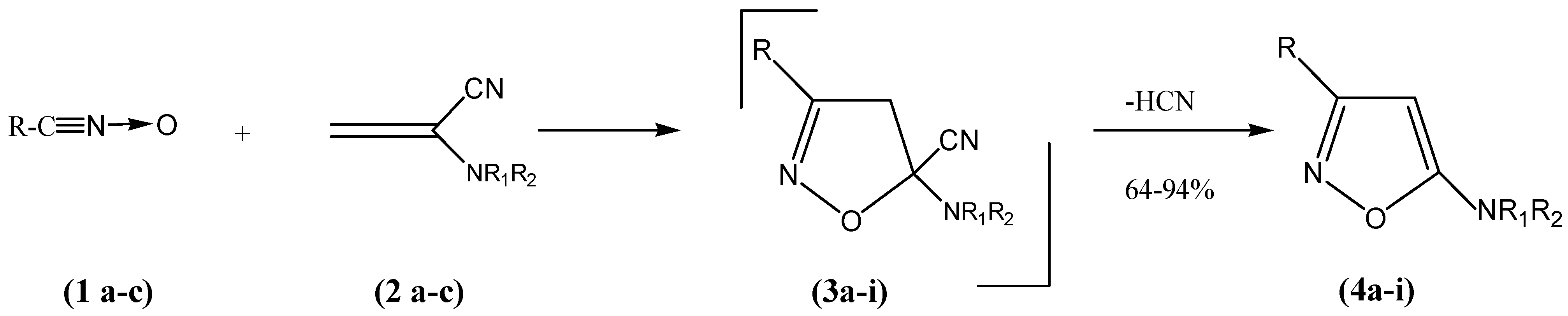
The 1,3-dipolar cycloaddition of nitrile oxides to 1-cyanoenamines gives 5-aminoisoxazoles regioselectively. Moderate to good yields could be obtained depending on the method used to generate the nitrile oxides. The intermediate isoxazolines could not be isolated.
Introduction
Many 5-aminoisoxazoles are of biological interest and display fungicidal [1], antihelmintic [3] or bactericidal properties [1,4] or are useful for treatment of cerebrovascular disorders [2]. Few literature methods describe the preparation of 5-aminoisoxazoles. The nucleophilic substitution by an amine with a 5-chloroisoxazole was described for the first time by Schäfer [5], while the intramolecular cyclisation of thioenamines [6] and the dipolar cycloaddition involving a nitrile oxide and either a nitrodienamine [7], an enyne [8], or ethylene dienamine [9], all lead to 5-aminoisoxazoles in moderate yields.
Result and Discussion
We report a simple one-pot procedure for the preparation of 5-aminoisoxazoles in toluene using a 1,3-dipolar cycloaddition reaction between nitrile oxides and captodative α-cyanoenamines, as described below.
The 1,3-dipoles 1a-c were prepared by dehydrohalogenation of a chloroxime for R = p-ClPh (1a, method A) or dehydration of a primary nitro derivative by the Mukayama method [10] for R = Me (1b, method B), while nitromethane (method C) [11] was a particular case, as in contrast to the secondary aliphatic nitro derivatives, which in the presence of phenylisocyanate and triethylamine (method B) easily gave the corresponding nitrile oxides, nitromethane leads under the same conditions to the formation of the corresponding cyanoformanilide N-oxide and not the desired fulminic acid. 1-Cyanoenamine compounds 2a-c were prepared from α-chloroacetaldehyde following the procedure described by Temin [12] and improved by Boucher and Stella [13b]. The reactivity of these compounds has been the subject of many studies. They have significant dienophilic properties [13,14], and have been used in (2+2) [15] and (3+2) cycloaddition reactions [16]. The 1,3-dipolar cycloadditions of these 1-cyanoenamines with nitrile oxides 1a-c were carried out in toluene at room temperature overnight and led directly to the corresponding 5-aminoisoxazoles 5 without requiring isolation of the transient isoxazolines 3, which spontaneously eliminated HCN as shown in Scheme 1.
Scheme 1.
Synthesis of 5-aminoisoxazoles 4a-i.
Scheme 1.
Synthesis of 5-aminoisoxazoles 4a-i.

The cycloaddition reactions of the nitrile oxides 1 with the cyanoenamines 2 proved to be highly regioselective, leading to a single regioisomer. The regioselectivity of the cycloaddition reactions of nitrile oxides with dipolarophiles and their mechanism have been explained in the literature [17]. As in the case of the cycloaddition reactions of arylazides [16], the α-cyanoenamines 2 behave as the synthetic equivalents of the corresponding aminoacetylenes [18].
Table 1.
Preparation of 5-aminoisoxazoles
| Products | R | NR1R2 | Yield (%) a |
| 4a | p-ClPh | ![]() | 75 |
| 4b | p-ClPh | ![]() | 94 |
| 4c | p-ClPh | ![]() | 70 |
| 4d | Me | ![]() | 85 |
| 4e | Me | ![]() | 70 |
| 4f | Me | ![]() | 75 |
| 4g | PhNHCO | ![]() | 64b |
| 4h | PhNHCO | ![]() | 58b |
| 4i | PhNHCO | ![]() | 65b |
a Yields of isolated, pure products.b The 5-aminoisoxazoles 4g-i were obtained by refluxing overnight after stirring 12 hours at room temperature.
The yields were generally good and depended on the method used to generate the nitrile oxides. For methods A (compounds 4a-c) and B (compounds 4d-f) the yields ranged from70 to 95%, whereas for method C (compounds 4g-i), yields ranging from 58 to 65% were obtained.
Conclusions
The 1,3-dipolar cycloaddition of nitrile oxides with α-cyanoenamines is a one step, very efficient and simple method for the preparation of 5-aminoisoxazoles.
Experimental
General
Melting points and boiling points are uncorrected. Unless stated otherwise 1H-NMR and 13C-NMR spectra were recorded for CDCl3 solutions at 300 MHz and 75.5 MHz, respectively, on a Bruker AM300 spectrometer using TMS as internal standard. IR spectra were recorded on a BioRad FTS 175C spectrophotometer using KBr pellets. Column chromatography purifications were carried out using silica gel (60-230 mesh).
Synthesis of Nitrile Oxides 1a-c.
p-Chlorobenzonitrile oxide (1a) was obtained by the procedure described in ref. [19] (method A) from the corresponding chloroxime, by elimination of hydrochloric acid using triethylamine at low temperature. The nitrile oxides 1b and 1c were generated in situ by dehydration of nitroethane for 1b (method B) and nitromethane for 1c (method C).
Synthesis of α-Cyanoenamines 2a-c
1-Morpholinoacrylonitrile (2a) was obtained by Temin’s procedure, as modified by Boucher and Stella for the synthesis of 2-(N-methylanilino)acrylonitrile [13b]. The reaction was carried out by mixing a 50% aqueous solution of chloroacetaldehyde (39.25 g, 0.25 mol) and morpholine (0.25 mol) at room temperature for 2 h. An aqueous solution of potassium cyanide (0.30 mol) was then added slowly to the stirred solution, followed by dropwise addition of triethylamine to the mixture. The solid formed was filtered off and recrystallized from cyclohexane to give a 54% yield of a colorless solid; mp = 61-63°C; IR (film, cm-1): 2220 (CN), 1590 (C=C); 1H-NMR: δ (ppm) = 3.30 (m, J = 5.0Hz, 4H), 3.75 (m, J = 5.0Hz, 4 H), 4.66 (d, J = 1.8Hz, 1 H), 4.85 (d, J = 1.8Hz, 1 H); 13C-NMR (50.0MHz): δ = 48.0 (-CH2-N-CH2-), 55.9 (-CH2-O-CH2-), 101.3 (CH2=C), 115.5 (CN), 130.1 (CH2=C).
1-Piperidinoacrylonitrile (2b) was obtained by the procedure described for preparation of 2a by mixing a 50% aqueous solution of chloroacetaldehyde (39.25 g, 0.25 mol), piperidine (0.25 mol) and potassium cyanide (0.30 mol) at room temperature for 2 h. The mixture was treated with triethylamine and extracted with ether (3 x 40 mL). The solvent was removed and the crude product was purified by distillation to give 16.3g. (48%) of a colorless liquid; bp = 43-45°C/5x10-2 torr.; IR (film, cm-1): 2220 (CN), 1590 (C=C); 1H-NMR: δ (ppm) = 1.6 (m, 6 H, -CH2-CH2-CH2-), 2.99 (m,4 H, -CH2-N-CH2-), 4.55 (d, J = 1.8Hz, 1 H, vinylic), 4.72 (d, J = 1.8Hz, 1 H, vinylic); 13C-NMR: δ (ppm) = 23.7 (-CH2-CH2-CH2-), 24.8 (-CH2-CH2-CH2-), 48.8 (-CH2-N-CH2-), 99.9 (CH2=C), 116.3(CN), 130.4(CH2=C).
1-(N-methyl)-piperazinoacrylonitrile (2c) was obtained by the same procedure as described for (2a) from 0.25 mol of a 50% aqueous solution of α-chloroacetaldehyde and 0.25 mol of N-methyl-piperazine. The reaction yielded 13.2 g (35%) of 2c as a colorless liquid; bp = 60-65°C/5x10-2 torr; IR (film, cm-1): 2220 (CN), 1590 (C=C); 1H-NMR: δ (ppm) = 2.32 (s, 3 H, CH3), 2.47 (m, 4 H, -CH2-N-CH2-), 3.04 (m, 4 H), 4.61 (d, J =1.9Hz, 1 H, vinylic), 4.80 (d, J = 1.9Hz, 1 H, vinylic); 13C-NMR: δ (ppm) = 46.0 (-N-CH3), 47.8 (-CH2-N-CH2-), 54.0 (-CH2-N-CH2-), 101.3 (CH2=C), 115.5 (CN), 130.1 (CH2=C).
General procedures for the synthesis of aminoisoxazoles 4.
Method A
Warning: The reaction releases hydrogen cyanide (a negligible quantity), so it is imperative to work under a hood with good ventilation. A 50 mL two-neck round bottom flask, flamed dried under N2 and containing p-chlorobenzonitrile (2 mmol) in dry toluene (10 mL) was cooled in an ice bath while a solution of the 1-cyanoenamine (2 mmol) in dry toluene (10 mL) was added dropwise. The reaction mixture was stirred overnight at room temperature. The solvent was removed and the obtained oil was recrystallised from an appropriate solvent.
1-[3-(4-Chlorophenyl)-isoxazol-5-yl)morpholine (4a). White solid; yield = 75 %; mp = 137-138°C (recrystallised from ethyl ether); 1H-NMR: δ (ppm) = 3.35 (dd, J = 5.0Hz, J = 4.8 Hz, 4 H,-CH2-N- CH2-), 3.80 (dd, J = 5.0Hz; J = 4.8Hz, 4 H,-CH2-O-CH2-), 5.30 (s,1 H, C4-H), 7.40-7.64 (2d, J = 8.6Hz; 4 H; C6H4); 13C-NMR: δ (ppm) = 46.7-65.9 [-(CH2)2-N-(CH2)2-O], 76.6 (C4); 127.8/128.3/128.9/135.6 (Carom), 162.5 (C5), 171.4 (C3); Anal. Calcd. for C13H13ClN2O2: C, 58.99; H, 4.95; N, 10.58; found: C, 59.43; H, 5.23; N, 10.27.
1-[3-(4-Chlorophenyl)isoxazol-5-yl)piperidine (4b). White solid; yield = 94 %; mp = 110-112°C (recrystallised from 1:1 hexane/ether); 1H-NMR: δ (ppm) = 2.00 [m, 6 H,-(CH2)3-], 3.33 (m, 4 H, -CH2-N-CH2-), 5.23 (s ,1 H, C4-H), 7.40-7.64 (2d, J = 8.6Hz; 4 H, C6H4); 13C-NMR: δ (ppm) = 23.8-47.6 (-(CH2)5-N-), 127.8/128.6/128.8/135.5 (Carom), 162.5 (C5), 171.6 (C3); Anal. Calcd. for C14H15ClN2O: C, 64.00; H, 5.75; N, 10.66; found: C, 63.65; H, 6.08; N, 10.22.
1-[3-(4-Chloro-phenyl)isoxazol-5-yl)]-4-methylpiperazine (4c). Colorless solid; yield = 70 %; mp = 127-128°C (recrystallised from 1:1 hexane/ether); 1H-NMR: δ (ppm) = 2.33 (s, 3 H, CH3), 2.51 (dd, J = 5.0Hz, J = 5.1Hz, 4 H, -CH2-N-CH2-), 3.39 (dd, J = 5.0Hz, J = 5.1Hz, 4 H, -CH2-N-CH2-), 5.27 (s, 1H, C4-H), 7.4-7.64 (2d, J = 8.6Hz, 4 H, C6H4); 13C-NMR: δ (ppm) = 171.3 (C3), 162.5 (C5), 127.8/128.4/128.8/135.5 (Carom.), 76.4 (C4), 46.4-53.8 [-CH2)2-N-CH2)2-N-], 46.1 (-N-CH3); Anal. Calcd. for C14H16ClN3O: C, 60.50; H, 5.81; N, 15.13; found: C, 60.16 ; H, 5.67; N, 14.85.
Method B
Warning: The reaction releases hydrogen cyanide (a negligible quantity), so it is imperative to work under a hood with good ventilation. Triethylamine (5 drops) was added slowly to a 50 mL two-neck round bottom flask, flame dried under N2, containing the 1-cyanoenamine (5 mmol), nitroethane (6 mmol, 1.2 equivalents) and distilled phenylisocyanate (9 mmol, 1.8 equivalents) in dry toluene (15 mL). Diphenylurea precipitated. Stirring was continued overnight at room temperature. The urea was filtered off and the solution concentrated in vacuo. The obtained products were purified by column chromatography on silica gel or distillation.
4-(3-Methylisoxazol-5-yl)morpholine (4d). Colorless solid; yield = 85 %; mp = 42-45°C; TLC: Rf = 0.66 (80:20 v/v ether/heptane); 1H-NMR: δ (ppm) = 2.15 (s, 3 H, CH3), 3.27 (dd, J =5.0Hz, J = 4.8Hz, 4 H, -CH2-N-CH2-), 3.37 (dd, J =5.0Hz, J =5.1Hz; 4 H, -CH2-O-CH2-), 4.89 (s, 1 H, C4-H); 13C-NMR: δ (ppm) = 170.8 (C3), 161.3 (C5), 79.4 (C4), 46.6-65.8 [-CH2)2-N-CH2)2-O-], 46.6 (-N-CH3), 11.7 (-CH3); Anal. Calcd. for C8H12N2O2: C,57.13; H, 6.19; N, 16.33; found: C, 56.88; H, 6.72; N, 16.45.
1-(3-Methylisoxazol-5-yl)piperidine (4e). Colorless solid; yield = 70%; mp = 60-63°C; TLC: Rf=0.71 (80:20 ether/heptane); 1H-NMR: δ (ppm) = 1.61 [m, 6 H, -(CH2) 3], 2.15 (s, 3 H, CH3), 3.25 (m, 4 H, -CH2-N-CH2-), 4.81 (1H, C4-H); 13C-NMR: δ (ppm) = 171.1 (C3), 161.3 (C5), 78.5 (C4), 23.9/ 24.8/47.6 [-(CH2)5-N-], 11.8 (CH3); Anal. Calcd. for C9H14N2O: C,65.03; H, 8.49; N, 16.85; found: C, 64.94; H, 8.12; N, 16.45.
1-Methyl-4-(3-methylisoxazol-5-yl)piperazine (4f). Colorless liquid; yield = 75%; bp = 87-90°C/ 0.001 torr; 1H-NMR: δ (ppm) = 2.15 (s, 3 H, CH3 ), 2.32 (s, 3 H, N-CH3), 2.48 (dd, J = 5.0Hz, J = 5.2Hz, -CH2-N-CH2-), 3.31 (dd, 4 H, J = 5.0Hz, J = 5.2Hz, -CH2-N-CH2-), 4.80 (s, 1 H, C4-H); 13C-NMR: δ (ppm) = 170.7 (C3), 161.3 (C5), 79.2 (C4), 53.9 (-CH2-N-CH2 -), 48.5 (-CH2-N-CH2), 46.1 (N-CH3); 11.7(-CH3); HRMS: calculated for C9H15N3O: 181.1209; found: 181.1209.
Method C
Warning: The reaction releases hydrogen cyanide (a negligible quantity), so it is imperative to work under a hood with good ventilation. Triethylamine (5 drops) was added slowly to a 50 mL two-neck round bottom flask, flame dried under N2, containing the 1-cyanoenamine (5 mmol), nitromethane (6 mmol, 1.2 equivalents) and distilled phenylisocyanate (10 mmol, 2 equivalents) in dry toluene (25 mL). Diphenylurea precipitated. Stirring was continued for 6 hours and then the suspension was refluxed overnight. The urea was filtered off and the solution concentrated in vacuo. The obtained products were purified by column chromatography on silica gel or by recrystallisation from alcohol.
N-phenyl-5-(morpholin-1-yl-)isoxazole-3-carboxamide (4g). Colorless solid; yield = 64%; mp = 147- 148°C (recrystallised from ethyl alcohol); 1H-NMR: δ (ppm) = 3.33 (dd, J = 5.0Hz, J = 4.8Hz, 4 H, - CH2-N-CH2-), 3.77 (dd, J = 5.0Hz, J = 4.8Hz, 4 H, -CH2-O-CH2-), 5.58 (s, 1 H, C4-H), 7.14/7.32/7.64 (Harom.), 8.6 (s, 1 H, NH); 13C-NMR: δ (ppm) = 172.0 (CO), 159.9 (C3), 157.3 (C5), 120.1/124.8/129.1/137.1 (C phenyl), 78.6 (C4), 46.5-65.8 [-CH2)2-N-CH2)2-O]; Anal. Calcd. for C14H15N3O3: C, 61.56; H, 5.53; N, 15.38; found: C, 61.35; H, 5.67; N, 15.24.
N-Phenyl-5-(piperidin-1-yl)isoxazole-3-carboxamide (4h). White solid; yield = 58%; mp = 120- 122°C; TLC: Rf=0.72 (80:20 ether/heptane); 1H-NMR: δ (ppm) = 1.67 [m, 6 H, -(CH3)2-], 3.33 (m, 4 H, -CH2-N-CH2-), 5.50 (s, 1 H, C4-H), 7.14-7.34-7.64 (Harom.), 8.49 (s, 1 H, NH); 13C-NMR: δ (ppm) = 172.2 (CO), 159.8 (C3), 157.6 (C5), 119.9/124.6/129.0/137.2 (C phenyl), 77.4 (C4), 47.6 (-CH2 - N-CH2-), 23.7-24.8 [-(CH2)3-]; Anal. Calcd. for C15H17N3O2: C, 66.40; H, 6.32; N, 15.49; found: C, 66.65; H, 6.15; N, 15.55.
5-(4-Methylpiperazin-1-yl)-N-phenylisoxazole-3-carboxamide (4i). White solid; yield = 65%; mp = 130-131°C; TLC: Rf=0.69 (80:20 ether/heptane); 1H-NMR: δ (ppm) = 2.31 (s, 3 H, N-CH3), 2.50 (dd, J = 5.0Hz, J = 5.1Hz, 4 H, -CH2-N-CH2-), 3.40 (dd, J = 5.0Hz; J = 5.1Hz, -CH2-N-CH2-), 5.55 (s, 1 H, C4-H), 7.14-7.33-7.64 (Harom.), 8.49 (s, 1 H, NH); 13C-NMR: δ (ppm) = 171.9 (CO), 159.9 (C3), 157.3 (C5), 120.0/124.7/129.0/137.1 (C phenyl), 78.2 (C4), 46.8-53.8 [-CH2)2-N-CH2)2-], 46.2 (-N-CH3), 46.8-53.8 [-CH2)2-N-CH2)2-]; Anal. Calcd. for C15H18N4O2: C, 62.92; H, 6.34; N, 19.57; found: C, 62.93; H, 6.24; N, 19.67.
References
- Minami, S.; Matsumoto, J. Jpn. Pat. Appl. JP 71-69917, 1973; [Chem. Abstr. 1974, P48032r,].
- Odo, N.; Yamashita, H.; Lisuka, H.; Odate, M.; Kawamo, H.; Shiga, Y.; Yoshioka, M. Jpn. Pat. Appl. JP 87-17385, 1988; [Chem. Abstr. 1989, P 23510r].
- Carr, J.B.; Durham, H.G.; Hass, D.K. J. Med. Chem. 1977, 20, 634.
- Micetich, R.G.; Raap, R.; Chin, C.G. J. Med. Chem. 1977, 14, 856.
- Schäfer, W.; Schlude, H.J. Tetrahedron Lett. 1967, 44, 4313.Schäfer, W.; Moore, W.H.; Aguado, A. Synthesis 1973, 30.Lin, S-T.; Yang, F-M. J. Chem. Res. Synop., 1994, 8, 292.
- Auer, H.; Weis, R.; Schweiger, K.; Schubert-Zsilavecs, M. Monatsh. Chem. 1994, 5, 571.
- Rajapa, S.; Advani, B.G.; Screenivasan, R. Synthesis 1974, 656.
- Himbert, G.; Faul, D.; Bars, M. Naturforsch. B: Chem. Sci. 46 1991, 7, 955.Sukava, L.N.; Ostroumov, I.G.; Bel’skii, V.K.; Galishev, V.A.; Maritena, I.A. Zh. Org. Khim. 1994, 30, 46.
- Auricchio Minami, S.; Bini, A.; Pastormella, E.; Truscello, A. Tetrahedron 1997, 53, 10911.Rajagopalan, P.; Talaty, C.N. Tetrahedron Lett. 1966, 4537.Micetich, R.G.; Durham, H.G.; Hass, D.K. J. Med. Chem. 1971, 14, 856.Carr, J.B.; Raap, R.; Chin, C.G. J. Med. Chem. 1997, 20, 934.
- Mukayama, T.; Hoshino, T. J.Am. Chem. Soc. 1960, 82, 5339.
- Paul, R.; Tchelitcheff, S. Bull. Soc. Chim. France. 1962, 140.
- Temin, S.C. Tetrahedron Lett. 1961, 583.
- Boucher, J.L.; Stella, L. Tetrahedron 1988, 44, 3595.
- Stella, L.; Boucher, J.L. Tetrahedron Lett. 1982, 23, 953.Stella, L.; Boucher, J.L. Tetrahedron 1985, 41, 5041.Stella, L.; Boucher, J.L. Bull. Soc. Chim. France 1986, 123, 276.
- Viehe, H.G.; Janousek, Z.; Merényi, R.; Stella, L. Acc. Chem. Res. 1985, 18, 148.Decock, Ch.; Piettre, S.; Lahouse, F.; Janousek, Z.; Merényi, R.; Viehe, H.G. Tetrahedron 1985, 41, 4183.De Boeck, B.; Jiang, S.; Janousek, Z.; Viehe, H.G. Tetrahedron 1994, 50, 7075.
- Texier, F.; Derdour, A.; Benhaoua, H.; Benabdellah, T.; Yebdri, O. Tetrahedron Lett. 1983, 24, 855.Derdour, A.; Benabdellah, T.; Merah, B.; Texier, F. Bull. Soc. Chim. France 1990, 127, 69.
- Houk, K.N.; Gonzalez, J.; Yi, Li. Acc. Chem. Res. 1995, 28, 81, and references cited therein.
- Pavarelo, P.; Amici, R.; Colombo, M.; Varasi, M. J. Chem. Soc. Perkin Trans 1 1993, 2151.
- Huisgen, R.; Mack, R. Tetrahedron Lett. 1961, 583.De Sarlo, F.; Guarna, A.G. J. Chem. Soc. Perkin II 1976, 626.De Sarlo, F.; Guarna, A.G. J. Chem. Soc. Perkin I 1974, 1951.
- Sample availability: Contact the corresponding author.
© by 2004 MDPI (http:www.mdpi.org). Reproduction is permitted for noncommercial purposes








