Next Article in Journal
Crystal Structure of N,N-bis-(3-Carbomethoxy-5-methyl-pyrazol-1-ylmethyl)aniline
Previous Article in Journal
Solid State Deprotection of Acetals and Thioacetals Using Benzyltriphenylphosphonium Peroxymonosulfate
 
 
Font Type:
Arial Georgia Verdana
Font Size:
Aa Aa Aa
Line Spacing:
Column Width:
Background:
Article

Synthesis and Biological Activity of 3-(2-Furanyl)-6-Aryl-1,2,4-Triazolo[3,4-b]-1,3,4 –Thiadiazoles

by
Li-Xue Zhang
1,*,
An-Jiang Zhang
1,
Xian-Xing Chen
1,
Xin-Xiang Lei
1,
Xiang-Yun Nan
1,
Dong-Yong Chen
1 and
Zi-Yi Zhang
2
1
Department of Chemistry, Wenzhou Normal College, Wenzhou 325003, P.R. China
2
Department of Chemistry, Lanzhou University, Lanzhou 730000, P.R. China
*
Author to whom correspondence should be addressed.
Molecules 2002, 7(8), 681-689; https://doi.org/10.3390/70800681
Published: 31 August 2002

Abstract

:
3-(2-Furanyl)-4-amino-5-mercapto-1,2,4-triazole (1) was prepared from 2-furoic acid through a multi-step reaction sequence. Compound 1 reacted with aromatic acids in the presence of phosphorus oxychloride to give 3-(2-furanyl)-6-aryl-1,2,4- triazolo[3,4-b]-1,3,4-thiadiazoles (2). The structures of all the newly synthesized compounds have been confirmed by elemental analysis, IR, 1H-NMR, 13C-NMR and mass spectra. The bioassay indicated most of the title compounds possess significant growth promoting effects on mung bean radicles.

Introduction

Various substituted 1,2,4-triazolo[3,4-b]-1,3,4–thiadiazoles are associated with diverse pharmacological activities, such as antimicrobial, bactericidal, antiinflammatory, antiviral, antihypertensive, anthelmintic and analgesic effects [1,2,3]. Prompted by these observations and as a continuation of our work on the synthesis of biologically active nitrogen and sulfur containing heterocycles, we report herein the reaction of aromatic acids with 3-furoyl-4-amino- 5-mercapto-1,2,4-triazole in the presence of phosphoryl chloride to give 3-(2-furanyl)-6-aryl- 1,2,4-triazolo-[3,4-b]-1,3,4–thiadiazoles. The structures of all the synthesized compounds were confirmed by elemental analysis, IR, 1H-NMR, 13C-NMR, and mass spectral data. The bioassay indicated most of the title compounds possess significant growth promoting effects on mung bean (Vigna radiata) radicles, giving up to 40% increases in growth in the case of some compounds.

Results And Discussion

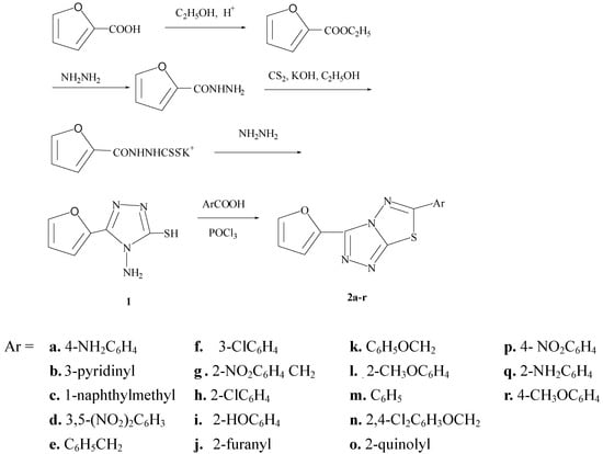
Synthetic route and improvement of synthetic methods

The synthetic route used is shown in Scheme 1. 2-Furoic hydrazide is a needle-like crystalline compound, but often exists in form liquid when prepared according to literature methods. Sometimes the crystals only appear after standing for up to three months. The liquid form of 2-furoic hydrazide was reacted with carbon disulphide and potassium hydroxide in ethanol, successfully giving potassium furoic hydrazide dithioformate.
Scheme 1. The synthetic route to the title compounds
Scheme 1. The synthetic route to the title compounds
Molecules 07 00681 g001
After the ring-closure of compound 1 with aromatic acids in the presence of phosphorus oxychloride, the literature procedure calls for the removal of excess phosphorus oxychloride under reduced pressure, but this can result in damage to the rotatory evaporator and vacuum pump due to the strong acidity and high boiling point of phosphorus oxychloride. An improvement was made in our experiments, in that the reaction mixture was gradually poured onto crushed ice with stirring, some solid potassium carbonate and then the appropriate amount of solid potassium hydroxide was added till the pH value was 8. The separated solid after standing overnight was filtered and thoroughly washed with cold water. Little product is lost because of its insolubility in water. This is a simple and convenient method of removing excess phosphorus oxychloride.

IR spectra of the title compounds

In the IR spectrum of compound 1 there are absorption bands at 3335, 3269 cm-1 due to the N-H stretching vibration, 1634, 1523, 1494, 1467, 1420 cm-1 due to furan and triazole ring skeleton vibrations, and 1109 cm-1 due to the C-O-C stretching vibration of the furan ring. Of course, the bands at 3335, 3269 cm-1 had disappeared in the IR spectra of compounds 2a-r. Furthermore, the strongest band in the IR of compound 1 is at 1457cm-1, while in the IR of compounds 2a-r it appears at around 1470 cm-1. The peaks at 1634 and 1109 cm –1 are also shifted to 1620 and 1125 cm –1, respectively. The C-S-C bending vibration bands of compounds 2a-r are observed around 700 cm –1.

1H-NMR spectra of the title compounds

The signals of the three furan ring hydrogens of 1 appear at δ 7.91, 6.70 and 7.36 ppm, attributed to H-5, H-4 and H-3, respectively. In the 1H-NMR spectra of the title compounds, the δ values of the 5-position hydrogens are noted to have shifted to 7.98-8.19, decreasing in the order of Ar =2-HOC6H4 > 2-ClC6H4 > 1-naphthylmethyl > 3-ClC6H4 > 2-furanyl > 2-NO2C6H4CH2 > C6H5 > 3,5-(NO2)2C6H3 > 4-NO2C6H4 > 3-pyridinyl > 2-CH3OC6H4 > 2,4-Cl2C6H3OCH2 > 4-NH2C6H4 > C6H5CH2 > C6H5OCH2 > 2-NH2C6H4 > 4-CH3OC6H4 and 2-quinolyl (where Ar is the substituent group at the 6 position of the triazolothiadiazoles). Moreover, the δ values of the 4-position hydrogens have increased to 6.71-6.85. Only the δ values of the 3-position hydrogens do not show a similar trend, as they go both up and down, varying between 7.21-7.58. When an active methylene group is attached to the 6 position of the triazolothiadiazoles, the δ values of the benzyl, o-nitrobenzyl and 1- naphthylmethyl methylene hydrogen is 4.50, 4.82 and 4.98 respectively, while the corresponding δ values of the phenoxymethyl and 2,4-dichlorophenoxymethyl methylene hydrogen are 5.59 and 5.71, respectively.

13C-NMR spectra of the title compounds

The δ values of the C-2 and C-3 carbons of the furan are 142.6 and 109.6, respectively. In the 13C‑NMR spectrum of the intermediate compound 1, there are peaks at 142.84, 139.91, 113.99 and 111.89 ppm, which can be attributed to 2, 5, 4 and 3 position carbons of the furan ring, respectively; the two triazole carbons have δ values of 166.56 and 145.22. In the 13C-NMR spectra of the title compounds, the C-4 and C-3 carbons still have δ values at 111 and 112 or so, while the chemical shifts of the C-2 and C-5 carbons vary between 135 and 145. When an active methylene group is attached to 6 position of the triazolothiadiazoles, the δ values of benzyl and 1- naphthylmethyl methylene carbons are 37.30 and 34.95 respectively, which is different from the quantitative order seen in the 1H-NMR.

Mass spectra

All the title compounds display molecular ion peaks. In the mass spectrum of a representative compound such as 2r the molecular ion peak is also the base peak. This is probably because both substituted benzene and furan ring form a well conjugated system with the triazolothiadiazole, which makes the molecular ion especially stable. The peak at m/z 151, i.e. 3-(2-furyl)-4-amino-1,2,4-triazole, is very strong, its intensity being second only to the base peak.

Biological Activity

The effect of the title compounds on sprouting of mung bean seeds has been investigated. After treating with culture solution of 10.0μgL-3 of the title compounds for 48 hours, the lengths of mung bean radicles with reference of distilled water, the growth promoting percentage has been calculated. The data of biological activity test are presented in Table 1. From the data it can be seen that 2h, 2l, 2o increase mung bean sprout growth by 40% at 10 μg·L-3. Even those compounds which inhibit mung bean sprout growth at 10 μg·L-3 can show promoting effect at lower concentrations.
Table 1. Effect of the title compounds on mung bean radicle growth
Table 1. Effect of the title compounds on mung bean radicle growth
Compd.Length of mung bean radicles (cm)Growth promotion (%)
2a2.451.87
2b3.3438.88
2c1.26- 49.27
2d2.4853.33
2e2.35-2.29
2f3.0828.07
2g2.524.78
2h3.4141.79
2i2.649.77
2j3.00524.95
2k0.7330.35
2l3.4041.37
2m2.38-6.17
2n2.4451.66
2o3.4041.37
2p2.7916.01
2q2.01-16.42
2r2.26-6.3

Experimental

General

All melting points were determined on an XT-4A apparatus and are uncorrected. The IR spectra (KBr disks) were taken on a Bruker Quinox 55 spectrophotometer. The 1H-NMR and 13C-NMR spectra were measured on a Bruker Advance 300 spectrometer for DMSO-d6 solutions using TMS as internal reference. The mass spectra were recorded on an HP 5988 spectrometer. Elemental analyses were carried out with a CE 1112 elemental analyzer. All the reagents used were AR grade.

Preparation of 3-(2-furyl)-4-amino-5-mercapto-1,2,4-triazole (1).

Ethyl 2-furoate [4], was treated with 85% NH2NH2·H2O. Reaction with CS2 and KOH in ethanol gave potassium 2-furoic hydrazide dithioformate [5]. The salt underwent ring-closure in 85% hydrazine monohydrate, giving 3-(2-furyl)-4-amino-5-mercapto-1,2,4-triazole (1), which was recrystallized from absolute ethanol: 1H-NMR δ: 13.89 (s, 1H, SH), 7.91 (d, 1H), 7.36 (d, 1H), 6.70 (q, 1H), 5.80 (s, 2H, NH2); 13C-NMR δ: 166.56, 145.22, 142.84, 139.91, 113.99, 111.89.

General method for the preparation of 3-(2-furanyl)-6-aryl-1,2,4-triazolo[3,4-b]-1,3,4–thiadiazoles (2a-r).

A mixture of 1 (5.0mmol) and an aromatic acid (5.5mmol) in POCl3 (20mL) was refluxed for 7hr. The reaction mixture was gradually poured onto crushed ice with stirring. Some solid K2CO3 was added to the mixture with stirring, then an appropriate amount of solid KOH was added till the pH value was 8. The solid which separated after standing overnight was filtered, washed with cold water, dried, and recrystallized from absolute alcohol to afford the title compounds 2a-r. The physical and spectral data of the title compounds are as follows:
3-(2-furanyl)-6-(4-aminophenyl)-1,2,4-triazolo[3,4-b]-1,3,4-thiadiazole (2a): Yield 48 %; M.p. 229-231°C; IR ν/cm-1: 3422, 3220 (N-H), 1603 (C=N), 1518, 1496, 1470 (aromatic skeleton), 1226 (N-N=C), 988, 952, 903, 841,739 (Ar-H bending vibration), 699 (C-S-C); 1H-NMR δ: 8.00, 6.78, 7.34 (3H, furan H), 6.69, 7.68 (4H,dd, J=8.7Hz, Ar-H); 13C-NMR δ: 167.80, 153.72, 145.25, 140.39, 139.10, 129.04, 128.04, 115.12, 113.72, 112.18, 111.56; MS (m/z, %): 283 (M+, 72.23), 136 (100), 118 (54.09), 109 (37.86), 93 (31.77), 91 (22.78), 83 (15.41), 79 (11.59), 77 (6.80), 51 (19.23), 39 (22.78). Calcd. for C13H9N5OS (%): C 55.11, H 3.20, N 24.73; Found (%): C 54.87, H 3.22 , N 24.51.
3-(2-furanyl)-6-(3-pyridyl)-1,2,4-triazolo[3,4-b]-1,3,4-thiadiazole (2b): Yield 57 %; Mp. 189-191°C; IR (KBr) ν/cm-1: 3128, 3063 (Ar-H), 1624 (C=N), 1588, 1574, 1517, 1473, 1459 (aromatic skeleton) 1249 (N-N=C), 1224 (furan C-O-C), 989, 960, 904, 885 ,809, 739 (Ar-H bending vibration), 700 (C-S-C); 1H-NMR δ: 8.02, 6.80, 7.44 (3H, furan H), 9.23, 8.83, 8.43, 7.68 (4H, pyridine H); 13C-NMR δ: 164.99, 153.62, 153.43, 147.88, 145.57, 140.00, 139.45, 135.17, 125.54, 124.59, 112.31, 112.13; MS (m/z, %): 269 (M+, 100), 137 (11.09), 122 (66.52), 109 (70.65), 93 (52.69), 78 (12.90), 77 (17.61), 65 (20.96), 51 (35.28), 39 (18.84). Calcd. for C12H7N5OS (%): C 53.52, H 2.62, N 26.01; Found (%): C 53.33, H 2.59, N 26.24.
3-(2-furanyl)-6-(1-naphthylmethyl)-1,2,4-triazolo[3,4-b]-1,3,4-thiadiazole (2c): Yield 64 %; Mp. 146-148°C; IR (KBr) ν/cm-1: 3128, 3063 (Ar-H), 1626 (C=N), 1598, 1517, 1473, 1427 (aromatic skeleton), 1262 (N-N=C), 1226 (furan C-O-C), 696 (C-S-C); 1H-NMR δ: 8.13, 6.77, 7.54 (3H, furan H), 7.18-8.00 (7H, m, naphthalene H), 4.98 (2H, s, CH2); 13C-NMR δ : 171.50, 153.96, 145.43, 140.21, 138.95, 133.69, 131.41, 128.89, 128.54, 128.34, 126.96, 126.33, 125.87, 125.63, 123.76, 112.21, 111.51, 34.95; MS (m/z, %): 332 (M+, 98.94), 185 (3.65), 167 (40.18), 166 (53.24), 152 (30.31), 141 (78.44), 137 (20.09), 115 (32.29), 109 (100), 93 (46.53), 83 (13.49), 65 (14.72), 63 (24.02), 51 (18.48), 39 (15.87). Calcd. for C18H12N4OS (%): C 65.04, H 3.64, N 16.86; Found (%): C 64.81, H 3.60, N 16.99.
3-(2-furanyl)-6-(3,5-dinitrophenyl)-1,2,4-triazolo[3,4-b]-1,3,4-thiadiazole (2d): Yield 55 %; Mp. 290-292°C; IR (KBr) ν/cm-1: 3136, 3059 (Ar-H), 1628 (C=N), 1595, 1551, 1519, 1477, 1456, 1425 (aromatic skeleton), 1252 (N-N=C), 1224 (furan C-O-C), 981, 916, 903, 886 ,799, 756, 737 (Ar-H bending vibration), 696 (C-S-C); 1H-NMR δ: 8.06, 6.83, 7.47 (3H, furan H), 9.06 (2H, s, Ar-H), 9.02 (1H, s, Ar-H); 13C-NMR δ: 163.86, 154.00, 148.87, 145.76, 139.86, 139.62, 131.73, 127.57, 121.84, 112.41, 112.39; MS (m/z, %): 358 (M+, 64.41), 266 (11.32), 211 (13.03), 165 (16.64), 137 (18.72), 119 (23.84), 111 (15.60), 109 (100), 93 (21.46), 75 (24.95), 57 (50.33), 43 (38.35). Calcd. for C13H6N6O5S (%): C 43.58, H 1.69, N 23.46; Found (%): C 43.23, H 1.60, N 23.66.
3-(2-furanyl)-6-benzyl-1,2,4-triazolo[3,4-b]-1,3,4-thiadiazole (2e): Yield 62 %; Mp.111-113°C; IR (KBr) ν/cm-1: 3133, 3061, 3029 (Ar-H), 1625 (C=N), 1536, 1518, 1495, 1474, 1456, 1425 (aromatic skeleton), 1265 (N-N=C), 1224 (furan C-O-C), 705 (C-S-C); 1H-NMR δ: 8.00, 6.76, 7.21 (3H, furan H), 7.31-7.44 (5H, m, Ar-H), 4.50 (2H, s, CH2); 13C-NMRδ: 171.16, 154.15, 145.40, 142.23, 138.95, 135.41, 129.36, 129.08, 127.83, 112.20, 111.51, 37.30; MS (m/z, %): 282 (M+, 55.07), 137 (15.15), 135 (4.07), 109 (100), 103 (18.82), 93 (46.41), 91 (47.94), 77 (22.82), 65 (39.07), 51 (42.84), 39 (45.75). Calcd. for C14H10N4OS (%): C 59.56, H 3.57, N 19.85; Found (%): C 59.28, H 3.65, N 20.07.
3-(2-furanyl)-6-(3-chlorophenyl)-1,2,4-triazolo[3,4-b]-1,3,4-thiadiazole (2f): Yield 66 %; M.p.207-209°C; IR (KBr) ν/cm-1: 3108, 3066 (Ar-H), 1626 (C=N), 1573, 1518, 1478, 1474, 1459, 1423 (aromatic skeleton), 1266 (N-N=C), 1226 (furan C-O-C), 694 (C-S-C); 1H-NMRδ: 8.13, 6.80, 7.45 (3H, furan H), 7.65-8.03 (4H, m, Ar-H); 13C-NMR δ: 165.89, 153.56, 145.56, 140.01, 139.48, 134.52, 132.84, 131.69, 130.95, 126.75, 126.34, 112.31, 112.17; MS (m/z, %): 304 (M++2, 24.00), 303 (M++1, 10.76), 302 (M+, 65.31), 160 (1.43), 158 (3.76), 157 (22.49), 155 (63.07), 139 (11.46), 137 (32.33), 109 (100), 93 (66.16), 75 (29.66), 65 (27.80), 51 (39.10), 39 (29.85); Calcd. for C13H7ClN4OS (%): C 51.57, H 2.33, N 18.51; Found (%): C 51.84, H 2.40, N 18.27.
3-(2-furanyl)-6-(2-nitrophenylmethyl)-1,2,4-triazolo[3,4-b]-1,3,4-thiadiazole (2g): Yield 59 %; M.p.187-189°C; IR (KBr) ν/cm-1: 3128 (Ar-H), 1620 (C=N), 1578, 1524, 1461, 1428 (aromatic skeleton), 1262 (N- N=C), 1225 (furan C-O-C), 695 (C-S-C); 1H-NMR δ: 8.09, 6.74, 7.34 (3H, furan H), 6.84-8.15 (4H, m, Ar-H), 4.82 (2H, s, CH2); MS (m/z, %): 327 (M+, 34.73), 282 (41.91), 137 (21.79), 135 (33.08), 119 (10.19), 109 (100), 77 (25.59), 64 (84.11), 51 (44.52), 39 (49.63); Calcd. for C14H9N5O3S (%): C 51.37, H 2.77, N 21.40; Found (%): C 51.66, H 2.74, N 21.16.
3-2-furanyl-6-(2-chlorophenyl)-1,2,4-triazolo[3,4-b]-1,3,4-thiadiazole (2h): Yield 54 %; M.p.169-171°C; IR (KBr) ν/cm-1: 3130, 3073, 3013 (Ar-H), 1628 (C=N), 1592, 1517, 1477, 1454, 1427 (aromatic skeleton), 1277 (N-N=C), 1227 (furan C-O-C), 695 (C-S-C); 1H-NMR δ: 8.14, 6.79, 7.34 (3H, furan H), 7.71-8.02 (4H, m, Ar-H); MS (m/z, %): 304 (M++2, 23.52), 303 (M++1, 10.71), 302 (M+, 60.98), 160 (1.17), 158 (3.13), 157 (18.19), 155 (49.15), 137 (27.81), 109 (100), 93 (59.72), 75 (22.51), 64 (41.34), 51 (30.21), 39 (20.59); Calcd. for C13H7ClN4OS (%): C 51.57, H 2.33, N 18.51; Found (%): C 51.33, H 2.40, N 18.23.
3-(2-furanyl)-6-(2-hydroxyphenyl)-1,2,4-triazolo[3,4-b]-1,3,4-thiadiazole (2i): Yield 49 %; M.p. 273-275°C; IR (KBr) ν/cm-1: 3423 (O-H), 3126, 3070 (Ar-H), 1602 (C=N), 1519, 1477, 1460, 1425 (aromatic skeleton), 1254 (N-N=C), 1224 (furan C-O-C), 699 (C-S-C); 1H-NMR δ: 11.70 (1H, s, OH), 8.19, 6.79, 7.39 (3H, furan H), 7.01-8.00 (4H, m, Ar-H); 13C-NMR δ: 163.44, 156.50, 155.16, 145.23, 140.49, 138.72, 127.69, 120.43, 117.03, 115.55, 112.23, 112.07, 111.53; MS (m/z, %): 284 (M+, 93.85), 137 (100), 119 (15.97), 109 (94.61), 93 (61.71), 77 (14.55), 64 (89.09), 51 (34.40), 39 (44.46); Calcd. for C13H8N4O2S (%): C 54.92, H 2.84, N 19.71; Found (%): C 54.68, H 2.91, N 19.98.
3,6-di(2-furanyl)-1,2,4-triazolo[3,4-b]-1,3,4-thiadiazole (2j): Yield 55 %; M.p. 204-206°C; IR (KBr) ν/cm-1: 3120, 3092 (Ar-H), 1623 (C=N), 1593, 1520, 1508, 1481, 1445, 1429 (aromatic skeleton), 1254 (N-N=C), 1224 (furan C-O-C), 990, 960, 904, 886, 818, 754 (Ar-H bending vibration), 699 (C-S-C). 1H-NMR δ: 8.12, 8.01, 7.58, 7.28, 6.85, 6.79 (6H, m, furan H); 13C-NMR δ: 157.05, 153.03, 147.94, 145.50, 143.07, 140.12, 139.45, 115.38, 113.54, 112.24, 111.78; Calcd. for C11H6N4O2S (%): C 51.15, H 2.34, N 21.70; Found (%): C 51.26, H 2.44, N 21.51.
3-(2-furanyl)-6-phenyloxymethyl-1,2,4-triazolo[3,4-b]-1,3,4-thiadiazole (2k): Yield 62 %; M.p.115-117°C; IR (KBr) ν/cm-1: 3115, 3070 (Ar-H), 1624 (C=N), 1589, 1519, 1496, 1475, 1452, 1427 (aromatic skeleton), 1243 (N-N=C), 692 (C-S-C); 1H-NMR δ: 8.00, 6.77, 7.37 (3H, furan H), 7.00-7.34 (5H, m, Ar-H), 5.59 (2H, s, OCH2); MS (m/z, %): 298 (M+, 46.92), 205 (30.84), 109 (24.13), 84 (100), 77 (27.61), 65 (66.98), 57 (72.70), 51 (25.10), 39 (51.15); Calcd. for C14H10N4O2S (%): C 56.36, H 3.38, N 18.79; Found (%): C 56.09, H 3.36, N 19.04.
3-(2-furanyl)-6-(2-methoxyphenyl)-1,2,4-triazolo[3,4-b]-1,3,4-thiadiazole (2l): Yield 58 %; M.p. 162-164°C; IR (KBr) ν/cm-1: 3111, 3012 (Ar-H), 1622 (C=N), 1584, 1506, 1462, 1435, 1422 (aromatic skeleton), 1255 (N-N=C), 1223 (furan C-O-C), 699 (C-S-C); 1H-NMR δ: 8.01, 6.80, 7.40 (3H, furan H), 7.21-8.33 (4H, m, Ar-H), 4.04 (3H, s, OCH3); MS (m/z, %): 298 (M+, 100), 149 (33.42), 109 (84.92), 93 (59.71), 77 (23.86), 64 (68.84), 51 (35.38), 39 (48.20); Calcd. for C14H10N4O2S (%): C 56.36, H 3.38, N 18.79; Found (%): C 56.10, H 3.41, N 18.51.
3-(2-furanyl)-6-phenyl-1,2,4-triazolo[3,4-b]-1,3,4-thiadiazole (2m): Yield 53 %; M.p. 203-205°C; IR (KBr) ν/cm-1: 3131, 3078, 3024 (Ar-H), 1624 (C=N), 1518, 1469, 1444, 1426 (aromatic skeleton), 1240 (N-N=C), 1224 (furan C-O-C), 691 (C-S-C); 1H-NMR δ: 8.07, 6.78, 7.40 (3H, furan H), 7.65-8.04 (5H, m, Ar-H); MS (m/z, %): 268 (M+, 100), 137 (15.84), 121 (88.23), 109 (77.76), 93 (52.23), 51 (41.26), 39 (26.39); Calcd. for C13H8N4OS (%): C 58.19, H 3.00, N 20.89; Found (%): C 58.44, H 2.98, N 20.67.
3-(2-furanyl)-6-(2,4-dichlorophenoxymethyl ) -1,2,4-triazolo[3,4-b]-1,3,4-thiadiazole (2n): Yield 51 %; M.p.193-195°C; IR (KBr) ν/cm-1: 3096, 3030 (Ar-H), 1625 (C=N), 1586, 1520, 1481, 1428 (aromatic skeleton), 1249 (N-N=C), 1224 (furan C-O-C), 687 (C-S-C); 1H-NMR δ: 8.01, 6.78, 7.46 (3H, furan H), 7.20-7.66 (3H, m, Ar-H), 5.71 (2H, s, OCH2); MS (m/z, %): 370 (M++4, 1.82), 368 (M++2, 8.86), 366 (M+, 12.83), 205 (58.79), 133 (12.64), 109 (22.09), 94 (45.70), 84 (100), 75 (6.40), 64 (19.66), 39 (9.28); Calcd. for C14H8Cl2N4O2S (%): C 45.79, H 2.19, N 15.26; Found (%): C 45.83, H 2.17, N 15.50.
3-(2-furanyl)-6-(2-quinolyl ) -1,2,4-triazolo[3,4-b]-1,3,4-thiadiazole (2o):Yield 48 %; M.p. 267-269°C; IR (KBr) ν/cm-1: 3128, 3069 (Ar-H), 1622 (C=N), 1585, 1561, 1519, 1474, 1445, 1427 (aromatic skeleton), 1288 (N-N=C), 1225 (furan C-O-C), 695 (C-S-C); 1H-NMR δ: 7.98, 6.71, 7.54 (3H, furan H), 6.22-9.05 (6H, m, quinoline H); Calcd. for C16H9 N5OS (%): C 60.17, H 2.84, N 21.94; Found (%): C 60.43, H 2.88, N 21.81.
3-(2-furanyl)-6-(4-nitrophenyl)-1,2,4-triazolo[3,4-b]-1,3,4-thiadiazole (2p): Yield 59 %; M.p. 304-306°C; IR (KBr) ν/cm-1: 3099, 3061 (Ar-H), 1622 (C=N), 1527, 1486, 1469, 1428 (aromatic skeleton), 1283 (N-N=C), 1228 (furan C-O-C), 688 (C-S-C); 1H-NMR δ: 8.05, 6.83, 7.39 (3H, furan H), 8.34-8.43 (4H, dd, J=9.0Hz, Ar-H); MS (m/z, %): 313 (M+, 78.32), 166 (29.75), 137 (19.97), 120 (34.58), 109 (100), 93 (71.97), 76 (22.26), 67 (14.30), 64 (72.07), 57 (39.21); Calcd. for C13H7 N5O3S (%): C 49.83, H 2.25, N 22.36; Found(%): C 50.10, H 2.27, N 22.12.
3-(2-furanyl)-6-(2-aminophenyl)-1,2,4-triazolo[3,4-b]-1,3,4-thiadiazole (2q): Yield 46 %; M.p. 144-146°C; R (KBr) ν/cm-1: 3448, 3346 (N-H), 3123, 3030 (Ar-H), 1621 (C=N), 1563, 1510, 1475, 1440, 1424 (aromatic skeleton), 1273 (N-N=C), 1232 (furan C-O-C), 697 (C-S-C); 1H-NMR δ: 8.01, 6.79, 7.50 (3H, furan H), 6.81-7.27 (4H, m, Ar-H), 6.70 (2H, s, NH2 ); 13C-NMR δ: 168.01, 152.43, 147.50, 145.45, 140.34, 139.49, 133.41, 129.53, 127.08, 116.52, 112.29, 111.53, 109.95; MS (m/z, %): 283(M+, 100), 136 (91.75), 118 (64.48), 109 (50.94), 93 (43.32), 91 (37.30), 77 (16.05), 64 (71.60), 51 (31.91), 39 (34.01); Calcd. for C13H9N5OS (%): C 55.11, H 3.20, N 24.73; Found (%): C 54.85, H 3.22, N 24.96.
3-(2-furanyl)-6-(4-methoxyphenyl )-1,2,4-triazolo[3,4-b]-1,3,4-thiadiazole (2r): Yield 61 %; M.p. 177-179°C; IR (KBr) ν/cm-1: 3102, 3003 (Ar-H), 1607 (C=N), 1576, 1518, 1496, 1473, 1420 (aromatic skeleton), 1264 (N-N=C), 1225 (furan C-O-C), 702 (C-S-C); 1H-NMR δ: 8.01, 6.79, 7.38 (3H, furan H), 7.15-8.00 (4H, dd, J=9.0Hz, Ar-H), 3.86 (3H, s, OCH3); 13C-NMR δ: 167.05, 163.07, 153.40, 145.44, 140.22, 139.34, 129.27, 121.31, 115.21,112.28, 111.86, 55.85; MS (m/z, %): 298 (M+,100), 177 (8.45), 151 (98.97), 137 (28.18), 133 (21.33), 93 (35.40); Calcd. for C14H10N4O2S (%): C 56.36, H 3.38, N 18.79; Found (%): C 56.64, H 3.48, N 18.57.

Acknowledgements

This work was financially supported by the National Science Foundation of China (grant No. 29802004), the University Backbone Teachers Foundation of the Education Ministry of China, and the Education Department of Zhejiang Province.

References

  1. Zhang, Z.Y.; Chen, X. Synthesis and Antibacterial Activity of 3-(4-Pyridyl)-6-aryl- 1,2,4-triazolo[3,4-b]-1,3,4-thiadiazoles. Acta Chim. Sinica 1991, 49, 513–520. [Google Scholar]
  2. Zhang, Z.Y.; Li, M.; Zhao, L.; Li, Z.M.; Liao, R.A. Synthesis of 3-Alkyl/Aryl-6- (3-pyridyl)-s-triazolo[3,4-b]-1,3,4-thiadiazoles. Chin. J. Org. Chem. 1993, 13, 397–402. [Google Scholar]
  3. Gupta, R.; Sudan, S.; Mengi, V.; Kachroo, P. L. Indian J. Chem., Sect. B 1996, 35, 621–623.
  4. Zhang, L.X.; Zhang, Z.Y.; Zeng, F.L. Studies on Synthesis and Spectral Properties of 1-Nicotinyl-4-arylaminosemicarbazides and Substituted-1,2,4-triazoles. Chem. J. Chin. Univ. 1990, 11, 148–153. [Google Scholar]
  5. Reid, J. R.; Heindel, N. D. J. Heterocyclic Chem. 1976, 13, 925–928.
  • Sample Availability: Not available.

Share and Cite

MDPI and ACS Style

Zhang, L.-X.; Zhang, A.-J.; Chen, X.-X.; Lei, X.-X.; Nan, X.-Y.; Chen, D.-Y.; Zhang, Z.-Y. Synthesis and Biological Activity of 3-(2-Furanyl)-6-Aryl-1,2,4-Triazolo[3,4-b]-1,3,4 –Thiadiazoles. Molecules 2002, 7, 681-689. https://doi.org/10.3390/70800681

AMA Style

Zhang L-X, Zhang A-J, Chen X-X, Lei X-X, Nan X-Y, Chen D-Y, Zhang Z-Y. Synthesis and Biological Activity of 3-(2-Furanyl)-6-Aryl-1,2,4-Triazolo[3,4-b]-1,3,4 –Thiadiazoles. Molecules. 2002; 7(8):681-689. https://doi.org/10.3390/70800681

Chicago/Turabian Style

Zhang, Li-Xue, An-Jiang Zhang, Xian-Xing Chen, Xin-Xiang Lei, Xiang-Yun Nan, Dong-Yong Chen, and Zi-Yi Zhang. 2002. "Synthesis and Biological Activity of 3-(2-Furanyl)-6-Aryl-1,2,4-Triazolo[3,4-b]-1,3,4 –Thiadiazoles" Molecules 7, no. 8: 681-689. https://doi.org/10.3390/70800681

APA Style

Zhang, L.-X., Zhang, A.-J., Chen, X.-X., Lei, X.-X., Nan, X.-Y., Chen, D.-Y., & Zhang, Z.-Y. (2002). Synthesis and Biological Activity of 3-(2-Furanyl)-6-Aryl-1,2,4-Triazolo[3,4-b]-1,3,4 –Thiadiazoles. Molecules, 7(8), 681-689. https://doi.org/10.3390/70800681

Article Metrics

Back to TopTop