Abstract
The thermal decomposition of imidoyl azides (ArO-C=N-Z)-N3, (Ar = p-NO2-C6H4-, p-Br-C6H4-, p-Cl-C6H4-, p-C6H5-, p-CH3-C6H4-, 2,4-dimethyl-C6H3-, 2,4,6-trimethyl-C6H2-, p-CH3O-C6H4- and Z = p-CH3-C6H4-SO2-, 2,4,6-trimethyl-C6H2-SO2-, CN) in the solid phase and in anisole has been studied in detail. The sensitivity of nitrenes and nitrene precursors (imidoyl azides) towards substitution changes in the aryloxy (ArO) and Z moieties is examined.
Introduction
The sensitivity of nitrene reactivity to the electronic properties of Z in [YO-(C=N-Z)-N:] has been established [1]. The more electron-withdrawing the Z group is the greater the more reactivity the nitrene. For example, N'-(methylsulfonyl)ethoxycarbimidoyl nitrene did not attack benzene but by attaching only one methyl group to the benzene ring changed the yield from 0% to 92%. On the other hand, N'-(trifluoromethylsulfonyl)ethoxycarbimidoyl nitrene converted benzene to N-phenyl-N'-(trifluoro-methyl)sulfonyl]-O-methyl isourea in 80% yield.
Dabbagh and Ghaelee, recently demonstrated that in the reaction of N'-cyano(2,6-dimethylphenoxy)carbimidoyl nitrene with substituted benzenes there was an excellent correlation of the Hammett σ+ with ρ-value of -3.0 (r = 0.990) [2]. In fact this relationship was used to calculate the relative rate constants, partial rate factors, and Hammett ρ-values [2]. The thermal decomposition of N'-cyano-2,6-dimethylphenoxylcarbimidoyl azide in benzene was used as an external standard and compared with the thermal decomposition in other aromatic substrates (C6H5-X, X = CH3O, CH3CONH, CH3, Cl, CH3OCO, NO2).
The major tasks facing chemists are how to control the reactivity-selectivity of the imidoylnitrenes and the stability of imidoylnitrene precursor (the imidoyl azides). If imidoylnitrenes are to be used effectively in a variety of chemical reactions, one must be able control their reactivity to obtain the desired selectivity. Another important factor is the stability of the nitrene precursor that must withstand experimental and storage conditions. The question is this, what effect changes made in the electron withdrawing ability of Y would have on the reactivity and/or selectivity of imidoylnitrenes (YO-C=N-Z)-N: as well as the stability of the imidoylnitrenes precursor [the imidoyl azides, (YO-C=N-Z)-N3]?
Results and Discussion
The sensitivity of the imidoylnitrenes to Z substituents [(Y-O-C=N-Z)-N:] is well documented [1,2]. In this work, the sensitivity of the imidoylnitrenes (electronic and steric hindrance) to Y substituents is investigated. The goals are to gain more information about the factors influencing the reactivity and selectivity of imidoylnitrenes, the factors (the inductive, steric hindrance, and resonance effects) controlling stability of imidoylnitrenes precursor (the imidoyl azide), as well as the mechanism of their reactions with aromatic nuclei. To achieve this goal, the thermal decomposition of azides with the general structure (Ar-O-C=N-Z)-N3, where Ar = p-NO2-C6H4-, p-Br-C6H4-, p-Cl-C6H4-, p-CH3-C6H4-, 2,4-dimethylphenyl, 2,4,6-trimethylphenyl, p-OCH3-C6H4- and Z = p-CH3-C6H4-SO2-, 2,4,6-trimethylphenyl-C6H4-SO2-, CN, are investigated in the solid phase and in anisole (Scheme 1 and Table 1). The results are compared with the thermal decomposition of N'-(p-toluenesulfonyl)-phenoxycarbimidoyl azide (1).
Scheme 1.
Scheme 1.

Table 1.
Thermal Conversion of Imidoyl Azides (Y-Ph-O-C=N-Z)-N3 to Isoureas (Y-Ph-O-C=N-Z)-NH-C6H4-OCH3 as Solids or in the Presence of Anisole at 100 oC and 3 hrs a,b
| Y (entry #) | Azide dec. temp. (oC)c | % Therm. in anisole (nX)d | %Yield in anisole | Relative % isourease | ||
|---|---|---|---|---|---|---|
| Ortho (o) | Para(p) | Meta(m) | ||||
| H (1) | 96 | 6(1X) | 94 | 50(1) | 50(1) | 0(1) |
| 4-CH3 (2) | 92 | 4(2X) | 96 | 45(2) | 55(2) | 0(2) |
| DMf (3) | 94 | 3(3X) | 97 | 47(3) | 53(3) | 0(3) |
| 4-MeO- (4) | 77 | 6(4X) | 94 | 45(4) | 55(4) | 0(4) |
| 4-Cl (5) | 98 | 9(5X) | 91 | 45(5) | 55(5) | 0(5) |
| 4-Br (6) | 104 | 9(6X) | 91 | 45(6) | 55(6) | 0(6) |
| 4-NO2 (7) | 117 | 13(7X) | 87 | 48(7) | 52(7) | 0(7) |
| TMg (8) | 101 | 3.5(8X) | 96.5 | 45.5(8) | 54.5(8) | 0(8) |
| TM Z=Msh (9) | 120 | 14.3(9X) | 85.5 | 42(9) | 58(9) | 0(9) |
| TM Z=CN (10) | 119 | 3.5(10X) | 96.5 | 31(10) | 69(10) | 0(10) |
a Z= Tosyl unless otherwise stated; b % yields obtained by 1H-NMR; c Decomposition temperature as a solid; d % Thermolyzate; e No meta isomer; f DM=2,6-Dimethyl; g TM=2,4,6-Trimethyl; h Mesitylsulfonyl
A number of important relationships between substituent groups and chemical properties have been developed. In many cases, such relationships can be expressed quantitatively and are useful both for prediction of reaction rates and equilibria. The most widely applied of these relationships is the Hammett equation. In this case, the hydrogen is normally adopted as the "zero" substituent and other substituents are compared to it. The following relationships are applied to measure the relative rates and the Hammett parameters:
- a)
- The total relative reaction rate (Ref. [2]):
- b)
- The relative rate of azide decomposition of substituted phenoxyimidoylnitrenes (kX) is compared with phenoxyimidoylnitrene (kH):where Decom. T = 1/Decomposition temperature oKkX/kH = (Decom.T)X/(Decom. T)H
- c)
- The relative rate of reactivity of substituted phenoxyimidoylnitrenes (kX) is compared with phenoxyimidoylnitrenes (kH):where therm. = thermolyzate = rearrangment, fragmentation, dimerization and polymerization products of imidoylnitrenes.kX/kH = (%therm.)X/(%therm.)H
- d)
- The relative selectivity of substituted phenoxyimidoylnitrenes (kX) is compared with phenoxyimidoyl-nitrenes (kH):kX/kH = (ortho/para)X/(ortho/para)H
The relative rates are then applied to Hammett equations and with proper σ-value reaction constants (the ρ-values) are obtained. The Hammett parameters are qualitatively useful in comparing the properties of individual substituted phenoxyimidoylnitrenes and making at least a rough comparison of the interplay of resonance, inductive, and steric hindarance in different reaction of imidoylnitrenes.
The Hammett plots of the relative rates of imidoyl azide decompositions versus σ-values produced ρ-values of near -0.10 with some observed deviation from linearity for methoxy and/or methyl groups (Scheme 2).
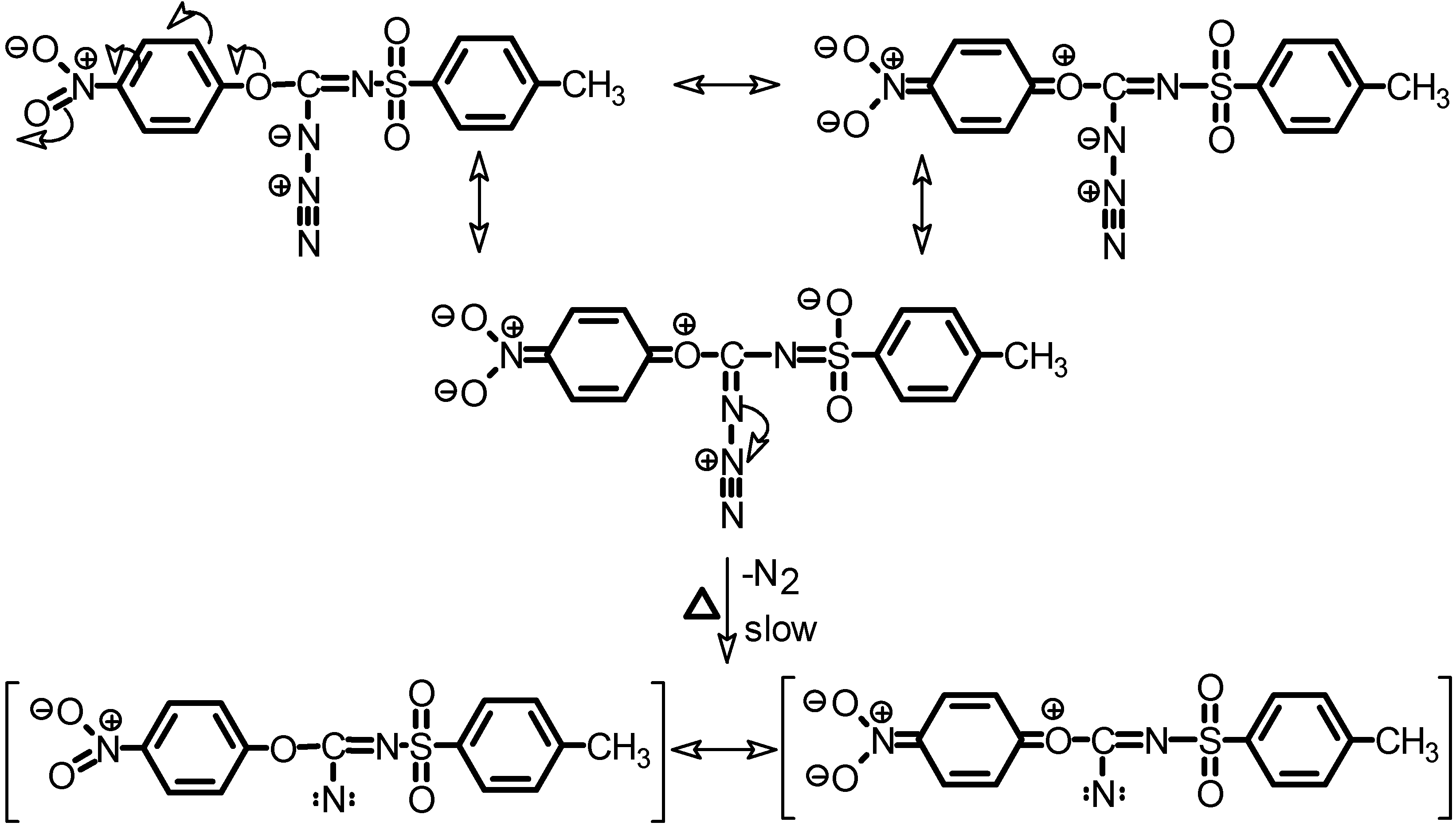
Scheme 2.
Scheme 2.

The effect of the substituents is believed to represent a combination of effects. Methoxy group acts as electron donor by resonance but the dipole associated with the substituent operate in the opposite direction. The electronic effects of the methyl group are experimentally that of mildly electron releasing by hyperconjugation and are best able to stabilize a positive center such as a nitrene when is located para to it. Hyperconjugation operates through the framework of the benzene ring, but there is a negligible inductive effect from this group. The poor correlation with σ-values indicates that either combination of steric, resonance, inductive, and field effect controls the rate-limiting step or there is a change in the mechanism. The small negative ρ−values indicate that very small development of positive charge (formation of nitrene is the rate limiting step) resulting in a relatively weak interaction (indirect interaction between the positive charge and the substituents) with substituents similar to thermal decomposition of diazomethane derivatives [3].
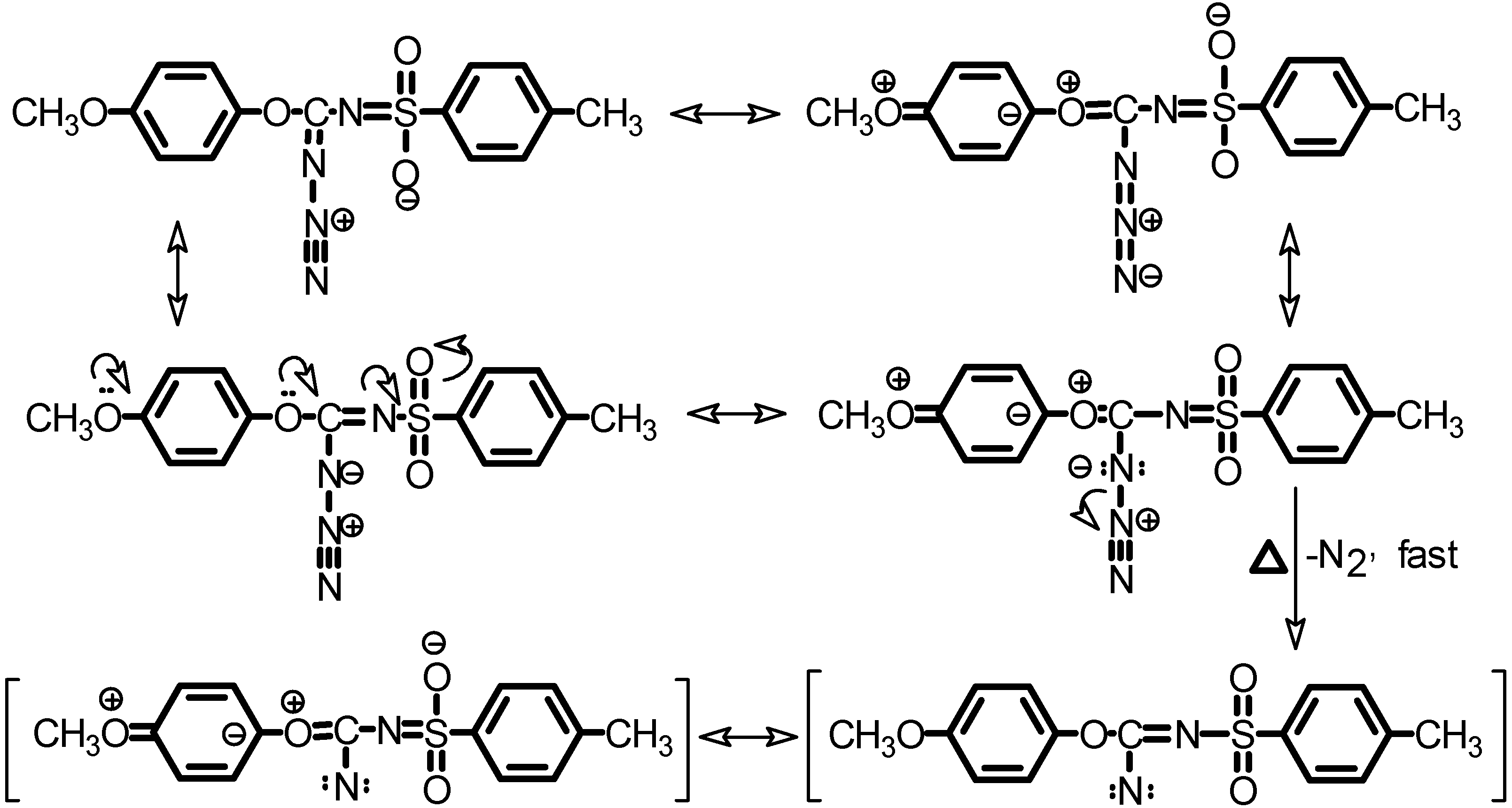
The decomposition temperature is lower for imidoyl azide having electron withdrawing groups rather than with electron-donating groups because the former decreases the electron donation by oxygen of phenoxy to the tosyl group allowing the nitronium anion to contribute to the resonance structures and preventing loss of nitrogen (Scheme 3). Methoxy has the opposite effect, increasing donation to the tosyl group prevents electron donation of the nitronium anion to the tosyl group enhancing the loss of nitrogen (Scheme 4, Table 1).
Scheme 3.
Scheme 3.

Scheme 4.
Scheme 4.

Correlation of the thermal decomposition of imidoylnitrenes in the solid phase indicated that electron-withdrawing groups such as NO2 increases the decomposition temperature. This is reversed for electron-releasing groups, which lower the decomposition temperature (Figure 1a, Table 1). Again, methoxy and methyl groups show deviation from linearity due to a nature of the effect.
Figure 1.
a) Correlation of the thermal decomposition (1/Tdcom.) of imidoyl azides in solid phase with % Thermolyzate (%T) of imidoyl azides in anisole. b) Typical Hammett plot for the relative % Thermolyzate (%Therm.) of (substituted azides)X over (unsubstituted azide)H. c) Effect of the number of methyl groups on azide on the thermal decomposition (TDecom.) in anisole. d) Effect of the number of methyl groups on nitrene (Y and Z) on the ortho-para ratio for the thermal decomposition of imidoyl azides in anisole.
Figure 1.
a) Correlation of the thermal decomposition (1/Tdcom.) of imidoyl azides in solid phase with % Thermolyzate (%T) of imidoyl azides in anisole. b) Typical Hammett plot for the relative % Thermolyzate (%Therm.) of (substituted azides)X over (unsubstituted azide)H. c) Effect of the number of methyl groups on azide on the thermal decomposition (TDecom.) in anisole. d) Effect of the number of methyl groups on nitrene (Y and Z) on the ortho-para ratio for the thermal decomposition of imidoyl azides in anisole.

The Hammett plot for the log of the relative rate of % Thermolyzate gave good correlation with σo, σp, and σI with positive ρ-values of 1.50, 1.50, and 1.90, respectively. The positive ρ-values indicates that relatively large development of negative charge in the σ-complex (the rate limiting step) interact with electron-withdrawing substituents, Figure 1b.
The Hammett plots for the log of ortho/para ratio gave no correlation with substituent constant σ-values indicating that ortho/para selectivity is a fast process and is not rate-controling step. This supported our earlier prediction that formation of σ-complex (instead of benzaziridine) is a fast thermodynamically favored process [1]. The decomposition point of imidoyl azides or reactivity of imidoylnitrenes is controlled by slight change in the electron availability of Y (YO-C=N-Z)-.
The effect of number of methyl groups of nitrene on the decomposition temperature, % and the ortho/para ratio, are shown in Figure 1c and Figure 1d, respectively. Decomposition temperature is increased with an increase in the number of methyl groups (lowest for imidoylnitrene with 3 methyl groups and highest for 6 methyl). The % Thermolyzate is increased with an increase in the number of methyl groups (lowest for imidoylnitrenes with 3 methyl). The ortho/para ratio showed descending linear correlation with an increase in the number of methyl groups (with the exception of the nitrene with three methyl groups).
Conclusions
In summary, the stability of aryloxyimidoyl azides is increased when the aryloxy groups have electron-withdrawing substituents or the steric hindrance (as measured by the increase in the number of methyl substituents) is increased. N'-(p-toluenesulfonyl-2,4,6-trimethylphenoxy)carbimidoyl azide is the most effective imidoyl azide with moderate decomposition temperature and low % Thermolyzate. The ortho/para ratio showed descending decrease with increase in the number of methyl groups. The small negative ρ-values for the thermal decomposition of imidoyl azide indicated small development of positive charge and that nitrene formation step is rate controlling. The positive ρ-values (1.50-1.90) for the formation of Thermolyzate indicated formation of negatively charged transition state. There is a linear relationship between decomposition temperature and % Thermolyzate. Electron-releasing substituents decrease and electron-withdrawing groups increased the decomposition temperature. The ortho/para ratio showed descending decrease with an increase in the number of methyl groups. The Hammett plots for the log of relative decomposition temperature produced ρ-values of near -0.10. The relative % Thermolyzate with σo, σp, and σI gave good correlation with ρ-values of 1.50, 1.50, and 1.90, respectively. No Hammett correlation with the log [(ortho/para)X/(ortho/para)H].
Experimental
General
For details on the use of 1H-NMR in this work see references [1, 2 and 7]. The tetrazoles 5-phenoxytetrazole (1T), 5-(4-methylphenoxy)tetrazole (2T), 5-(4-methoxyphenoxy)tetrazole (4T) and 5-(4-chlorophenoxy)tetrazole (5T), were prepared by the method of Martin and Weise [4]; 5-(4-nitro-phenoxy)tetrazole (5T) [5] and 2,6-dimethylphenoxytetrazole (3T) were reported earlier [1,2,6,7]. The preparation of the azides N'-(p-toluenesulfonylphenoxy)carbimidoyl azide (1), N'-(p-toluenesulfonyl-4-methylphenoxy)carbimidoyl azide (2), N'-(p-toluenesulfonyl-2,6-dimethylphenoxy)carbimidoyl azide (3), N'-(p-toluenesulfonyl-4-methoxyphenoxy)carbimidoyl azide (4), N'-(p-toluenesulfonyl)(4-chloro-phenoxy)carbimidoyl azide (5), N'-(p-toluenesulfonyl-4-bromophenoxy)carbimidoyl azide (6), N'-(p-toluenesulfonyl-4-nitrophenoxy)carbimidoyl azide (7), N'-(p-toluenesulfonyl-2,4,6-trimethylphenoxy)-carbimidoyl azide (8), N'-(mesitylsulfonyl-2,4,6-trimethylphenoxy)carbimidoyl azide (9) and N'-cyano-2,4,6-trimethylphenoxycarbimidoyl azide (10) were also reported earlier [7]. All the azides discussed here and quite a few others gave remarkably constant, but complex, product mixtures, not incorporating solvent and/or cosolute (e.g. substituted benzene). Their composition does not depend on the nature of solvent and cosolute, as seen by NMR, IR, TLC, and is characteristic for a given azide and different for different azides. We call these complex mixtures "Thermolyzates, nX". The results of the thermal decomposition of other azides as solid or with anisole are listed in Table 1. The method for characterization of ortho and para adducts and the calculation of the relative percents were reported earlier [2].
Typical thermal decomposition of azides in solid phase
Azide decompositions in the solid phase were carried out in a melting point apparatus. The decomposition temperatures were recorded with the initial evolution of the nitrogen gas in the capillary melting point tube and/or discoloration of the solid.
Typical thermal decomposition of azides in anisole
Unless stated otherwise, azides were thermolyzed in a 70-fold excess of anisole in a 10±5 oC oil bath for 3 hrs. The progress of the reactions was followed by thin layer chromatography. Excess anisole was removed at 2-25 mmHg and 25-40 oC. The residue was analyzed by 1H-NMR, using TMS (tetramethylsilane) as an internal standard and, unless stated otherwise, CD3CN-CCl4 as solvent. The residue was either chromatographed on silica gel (60-200 mesh) or extracted in a Soxhlet extractor using a suitable solvent.
N'-(p-toluenesulfonylphenoxycarbimidoyl azide (1): Thermolysis of azide 1 (1.575 g, 38.5 mmol) was decomposed completely at 100 ±5 oC in the presence of anisole (38.5 mL) during 3 hrs. Reaction progress was followed by the visual color change of the solution (a colorless solution turned to light brown) and thin layer chromatography (TLC). Removal of the volatiles by vacuum distillation afforded 1.85 g (94%) of crude product mixture containg 6% Thermolyzate 1X, by weight. 1H-NMR (crude): δ ppm 2.40 (s, 3H, CH3); 3.80 (s, 3H, OCH3); 3.96 (s, 3H, OCH3); 6.80-7.90 (m, 13H, aromatic); 9.30 (s, 1H, NH); 9.80(s, 1H, NH). This crude mixture was washed with cold methanol to give N-4-(methoxyphenyl)-N'-(4-methylphenylsulfonyl)-O-(phenoxy)isourea (1P): 1H-NMR δ ppm 2.50 (s, 3H, CH3); 3.90 (s, 3H, OCH3); 7.0-8.0, (m, 13H, aromatics); 9.50 (s, 1H, NH). The methanol soluble fraction gave mostly N-2-(methoxyphenyl)-N'-(4-methylphenylsulfonyl)-O-(phenoxy)isourea (1O): 1H-NMR δ ppm 2.50 (s, 3H, CH3); 4.1 (s, 3H, OCH3); 7.0-7.80 (m, 13H, aromatics); 10.10 (s, 1H, NH).
N'-(p-toluenesulfonyl) (4-methylphenoxy)carbimidoyl azide (2): Thermolysis of azide 2 (2.31 g, 7 mmol) in anisole (54 mL) gave 2.6 g of product (90% yield) with 4% Thermolyzate 2X: 1H-NMR δ ppm 2.40 (s, 3H, CH3), 2.53 (s, 3H, CH3), 3.75 (s, 3H, OCH3), 3.96 (s, 3H, OCH3), 6.80-7.8 (m, 12H, aromatics). The crude mixture was washed with cold methanol to produce N-4-(methoxyphenyl)-N'-(4-methylphenylsulfonyl)-O-(4-methylphenoxy)isourea (2P): 1H-NMR δ ppm 2.40 (s, 3H, CH3), 2.48 (s, 3H., CH3), 3.85 (s, 3H, OCH3), 6.90 (d, J = 7.5 Hz, 2H, aromatics), 7.05 (s, 4H, aromatics), 7.30 (d, J = 7.5 Hz, 2H, aromatics), 7.45 (d, J = 7.5 Hz, 2H, aromatics), 7.85 (d, J = 7.5 Hz, 2H, aromatics), 9.50 (s, 1H, NH). The methanol soluble fraction was concentrated under reduced pressure and crystallized from petroleum ether gave N-2-(methoxy-phenyl)-N'-(4-methylphenylsulfonyl)-O-(4-methylphenoxy)isourea (2O): 1H-NMR (CCl4-CDCl3): δ ppm 2.40 (s, 3H, CH3), 2.50 (s, 3H, CH3), 4.10 (s, 3H, OCH3), 7.0-7.90 (m, 12H, aromatics), 10 (s, 1H. NH).
N'-(p-toluenesulfonyl)(2,6-dimethylphenoxy)carbimidoyl azide (3): Thermolysis of azide 3 (2.064 g, 6 mmol) in anisole (46 mL) gave 2.54 g of crude mixture with 3% Thermolyzate 3X: 1H-NMR (CCl4-CDCl3): δ ppm 2.0 (s, 6H, CH3), 2.40 (s, 3H, CH3), 3.80 (s, 3H, OCH3), 4.0 (s, 3H, OCH3), 6.85-7.85 (m, 11H, aromatics), 9.45 (s, 1H, NH), 10.05 (s, 1H, NH). This mixture was washed with cold methanol. The insoluble fraction gave N-4-(methoxyphenyl)-N'-(4-methylphenylsulfonyl)-O-(2,6-dimethylphenoxy)-isourea (3P): 1H-NMR (CCl4-CDCl3): δ ppm 1.95 (s, 6H, CH3), 2.40 (s, 3H, CH3), 3.95 (s, 3H, OCH3), 6.80-7.0 (m 3H, aromatics), 6.90 (s, 4H, aromatics), 7.15 (d, j = 9 Hz, 2H), 7.60 (d, j = 9 Hz, 2H), 9.85 (s, 1H, NH). The methanol solution was condensed under reduced pressure to give N-2-(methoxyphenyl)-N'-(4-methylphenylsulfonyl)-O-(phenoxy)isourea (3O): 1H-NMR (CCl4-CDCl3): δ ppm 2.0 (s, 6H, CH3), 2.40 (s, 3H, CH3), 3.80 (s, 3H, OCH3), 6.85-7.85 (m, 11H, aromatics), 10.05 (s, 1H, NH).
N'-(p-toluenesulfonyl)(4-methoxyphenoxy)carbimidoyl azide (4). Thermolysis of 1.038 g (3 mmol) of azide 4 in anisole (33 mL) produced 1.20 g of crude mixture with 6% Thermolyzate 4X. The crude 1H-NMR (CCl4-pyridine-d6) δ ppm 2.40 (s, 3H, CH3), 3.80, (s, 3H, OCH3), 3.82 (s, 3H, OCH3), 3.85 (s, 3H, OCH3), 4.0 (s, 3H, OCH3), 6.70-7.90 (m, 12H, aromatics), 9.45 (s, 1H, NH), 10.05 (s, 1H, NH). Attempts to separate N-4-(methoxyphenyl)-N'-(4-methylphenylsulfonyl)-O-(4-methoxyphenoxy)-isourea (4P) from N-2-(methoxyphenyl)-N'-(4-methylphenylsulfonyl)-O-(4-methoxyphenoxy) isourea (4O) were unsuccessful.
N'-(p-toluenesulfonyl)(4-chlorophenoxy)carbimidoyl azide (5). Thermolysis of 1.75 g (5 mmol) of azide 5 in anisole (38 mL) gave 1.90 g of a crude mixture with 9% Thermolyzate 5X.1H-NMR δ ppm 2.40 (s, 3H, CH3), 3.78 (s, 3H, OCH3), 3.95 (s, 3H, OCH3), 6.80-7.80 (m, 12H, aromatics), 9.25 (s, 1H, NH), 9.70 (s, 1H, NH). All attempts to separate N-4-(methoxyphenyl)-N'-(4-methylphenylsulfonyl)-O-(4-chloro-phenoxy)isourea (5P) from N-2-(methoxyphenyl)-N'-(4-methylphenylsulfonyl)-O-(4-chlorophenoxy)-isourea (5O) failed.
N'-(p-toluenesulfonyl) (4-bromophenoxy)carbimidoyl azide (6). Thermolysis of 4.40 g (7.1 mmol) of azide 6 in anisole (24 mL) gave a crude product with 9% Thermolyzate 6X. 1H-NMR (CCl4-CDCl3): δ ppm 2.40 (s, 3H, CH3), 3.83 (s, 3H, OCH3), 4.0 (s, 3H, OCH3), 6.90-7.80 (m, 12H, aromatics), 9.46 (s, 1H, NH), 9.90 (s, 1H, NH). All attempts to separate the N-4-(methoxyphenyl)-N'-(4-methyl-phenylsulfonyl)-O-(4-bromophenoxy)isourea (6P) from N-2-(methoxyphenyl)-N'-(4-methylphenyl-sulfonyl)-O-(4-bromophenoxy)isourea (6O) failed.
N'-(p-toluenesulfonyl) (4-nitrophenoxy)carbimidoyl azide (7). Thermolysis of 2.13 g (5.9 mmol) of azide 7 in anisole (25 mL) gave 2.26 g of a crude mixture with 13% Thermolyzate 7X. 1H-NMR (CCl4- DMSO-d6): δ ppm 2.35 (s, 3H, CH3), 3.72 (s, 3H, OCH3), 3.90 (s, 3H, OCH3), 6.70-7.60 (m, 8H, aromatics), 7.75 (d, 2H, J=9 Hz, aromatics), 8.05 (d, 2H, J=9 Hz, aromatics), 9.15 (s, H, NH), 9.74 (s, 1H, NH) with 52% N-4-(methoxyphenyl)-N'-(4-methylphenylsulfonyl)-O-(4-nitrophenoxy)isourea (7P) and 48 % N-2-(methoxyphenyl)-N'-(4-methylphenylsulfonyl)-O-(4-nitrophenoxy)isourea (7O).
N'-(p-toluenesulfonyl) (2,4,6-trimethylphenoxy)carbimidoyl azide (8). Thermolysis of 5.48 g (16 mmol) of azide 8 in anisole (25 mL) gave 7.38 g of crude mp. 115-120 oC with 3.5% Thermolyzate 8X. 1H-NMR (CCl4- DMSO-d6): δ ppm 2.0 (s, 6H, CH3), 2.27 (s, 3H, CH3), 2.40 (s, 3H, CH3), 3.80 (s, 3H, OCH3), 6.68 (s, 2H, aromatic), 6.90-7.20 (m, 4H, aromatic), 7.25 (d, 2H, J=9Hz, aromatic), 7.72 (d, 2H, J=9Hz, aromatic), 9.50 (s, 1H, NH), 9.70 (s, 1H, NH). 1H-NMR indicated 54.5% p-N-4-(methoxy-phenyl)-N'-(4-methylphenylsulfonyl)-O-(2,4,6-trimethylphenoxy)isourea (8P) (pure 8P could not be obtained for NMR) and 45.5% N-2-(methoxyphenyl)-N'-(4-methylphenylsulfonyl)-O-(2,4,6-trimethyl-phenoxy)isourea (8O):1H-NMR (CCl4- DMSO-d6): δ ppm 2.0 (s, 6H, CH3), 2.32 (s, 3H, CH3), 2.40 (s, 3H, CH3), 3.80 (s, 3H, OCH3), 4.05 (s, 3H, OCH3), 6.70 (s, 2H, aromatic), 6.73-6.85 (m, 4H, aromatic), 7.40 (d, 2H, J=9 Hz, aromatic), 7.70 (d, 2H, J=9 Hz, aromatic), 9.45 (s, 1H, NH), 10.0 (s, 1H, NH).
N'-(mesitylsulfonyl)(2,4,6-trimethylphenoxy)carbimidyyl azide (9). Thermolysis of 2.0 g (5.18 mole) of azide 9 in anisole (40 mL) produced a crude mixture with 14.5% Thermolyzate 9X. 1H-NMR (CCl4- DMSO-d6) δ ppm 1.90 (s, 6H, CH3), 2.11 (s, 3H, CH3), 2.28 (s, 3H, CH3), 2.51 (s, 6H, CH3), 3.85 (s, 3H, OCH3), 4.11 (s, 3H, OCH3), 6.81 (d, 2H, J=9Hz, aromatic), 7.10 (d, 2H, J=9Hz, aromatic), 7.15 (s. 3H, aromatic), 9.65 (s, 1H, NH), 10.2 (s, 1H, NH). Crystallization from methanol gave 1.2 g (46%) of N-4-(methoxyphenyl)-N'-(4-mesitylsulfonyl)-O-(2,4,6-trimethylphenoxy)isourea (9P), mp.175-6oC. 1H-NMR (CCl4-DMSO-d6) δ ppm 1.80 (s, 6H, CH3), 2.20 (s, 3H, CH3), 2.36 (s, 3H, CH3), 2.50 (s, 6H, CH3), 4.0 (s, 3H, OCH3), 6.75 (d, 2H, J=9Hz, aromatic), 7.10 (d, 2H, J=9Hz, aromatic), 7.60 (s, 2H, aromatics), 7.70 (s, 2H, aromatics), 10.15 (s, 1H, NH). No pure N-2-(methoxyphenyl)-N'-(4-methylphenylsulfonyl)-O-(phenoxy)isourea (9O) could be isolated.
N'-Cyano(2,4,6-trimethylphenoxy)carbimidyl azide (10). Thermolysis of 0.20 g of azide 10 in anisole (7 mL) produced a crude mixture (3.5 % Thermolyzate 10X) of 69% N-4-(methoxyphenyl)-N'-(cyano)-O-(2,4,6-trimethylphenoxy)isourea (10P) and 31% N-2-(methoxyphenyl)-N'-(cyano)-O-(2,4,6-trimethyl-phenoxy)isourea (10O). 1H-NMR (CDCl3) δ ppm 2.1 (s, 6H, CH3), 2.35 (s, 3H, CH3), 3.8 (s, 3H, OCH3), 4.05 (s, 3H, OCH3), 6.85-7.40 (m, 6H, aromatics), 9.5 (s, 1H, NH). Attempted separation of the isomers was not successful.
Acknowledgments
This work was supported by the Isfahan University of Technology Research Consul Grant No. IUT-500-118-839.
References
- Dabbagh, H A.; Lwowski, W. Functionalization of phenyl rings by imidoylnitrenes. J. Org. Chem. 1989, 54, 3952. [Google Scholar]
- Dabbagh, HA.; Ghaelee, S. Functionalization of phenyl rings by imidoylnitrene 2. Cycloaddition or electrophilic aromatic substitution? J. Org. Chem. 1996, 61, 3439. [Google Scholar]
- Tsuno, Y.; Ibata, T.; Yukawa, Y. Curtin rearrangement II. The decomposition of substituted benzazide in toluene. Bull. Chem. Soc. Japan. 1959, 32, 960, 965, 971. [Google Scholar]
- Martin, D.; Weise, A. Heterocyclic ethers. Chem. Ber. 1966, 99, 317. [Google Scholar]
- Karimzadeh, R. Synthesis and studies of equilibria, hydrolysis and thermal decomposition of 5-substituted aryloxytetrazoles. M.Sc. Thesis, Isfahan University of Technology, Isfahan, Iran, 1995. [Google Scholar]
- Subbaraj, A.; Subba Rao, O.; Lwowski, W. Functinalization of olefins by alkoxyimidoyl nitrenes. J. Org. Chem. 1989, 54, 3945. [Google Scholar]
- Dabbagh, HA.; Modarresi-Alam, AR. A facile and efficient method for synthesis of the aryloxyimidoyl azides. J. Chem. Research (S) 2000, 44. [Google Scholar]
- Sample Availability: Available from the authors.
© 2002 by MDPI (http://www.mdpi.org). Reproduction is permitted for non commercial purposes.