Synthesis and Reactions of Acenaphthenequinones-Part-2. The Reactions of Acenaphthenequinones
Abstract
:Contents
- Introduction
- Reactions of Acenaphthenequinones- 2.1
- Action of Alkali and Oxidation
- 2.2
- Reduction
- 2.3
- Protonation
- 2.4
- Reaction with active methylene compounds
- 2.5
- Reaction with aldehydes and ketones
- 2.6
- Reaction with Wittig reagents
- 2.7
- Reaction with magnesium and lithium reagents
- 2.8
- Friedel Craft reaction
- 2.9
- Diels-Alder reactions
- 2.10
- Reaction with phenolic compounds
- 2.11
- Bromination reactions
- 2.12
- Thiation reactions
- 2.13
- Alkylation reactions
- 2.14
- Ketal derivatives
- 2.15
- Reaction with Phosphite and Phospholanes
- 2.16
- Reaction with carbenes
- 2.17
- Decarbonylation
- 2.18
- Reaction with nitrogen nucleophiles
 
1. Introduction
2. Reactions of Acenaphthenequinones
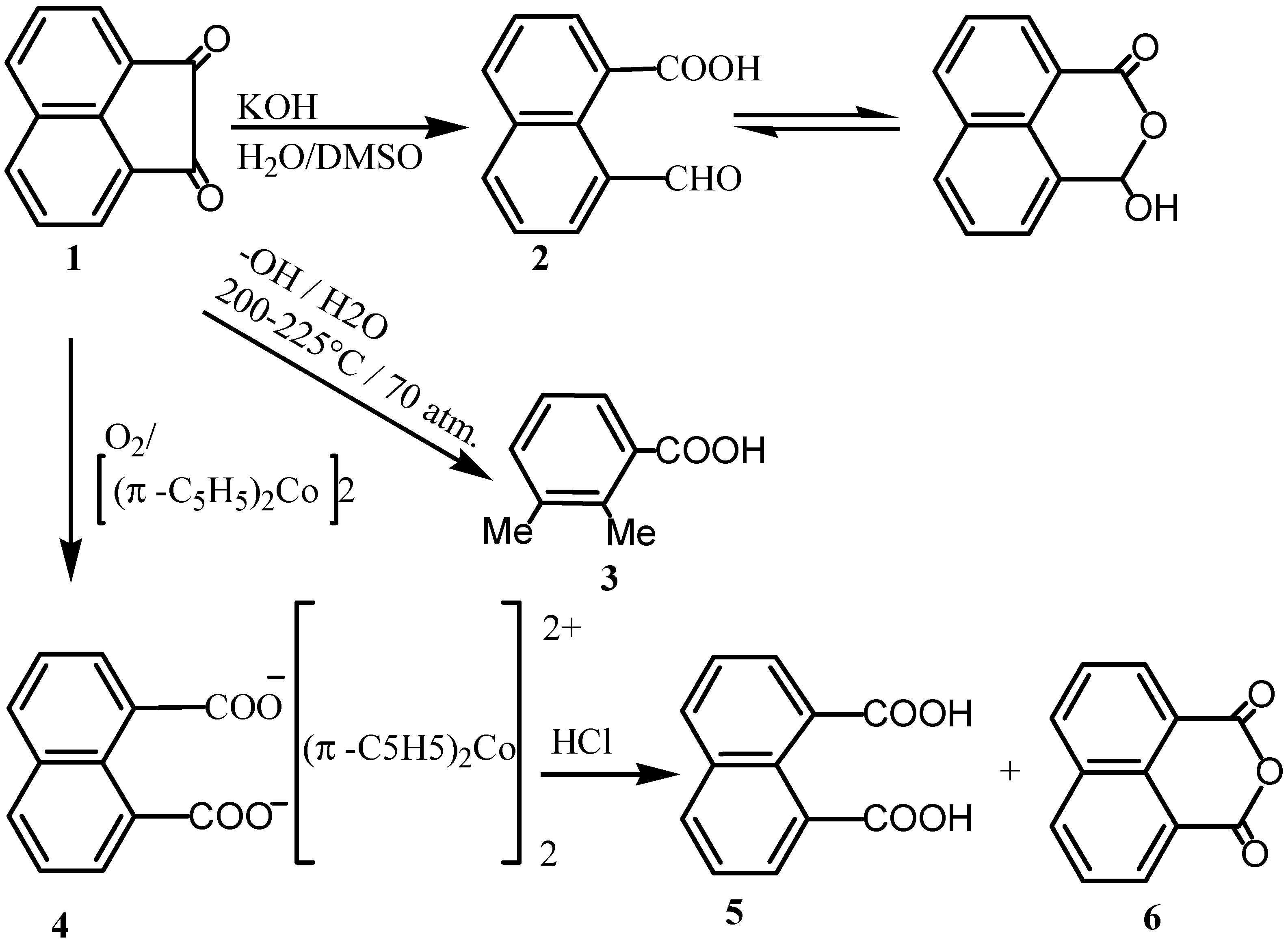
2.1 Ring opening and enlargement




2.2 Reduction




2.3 Protonation

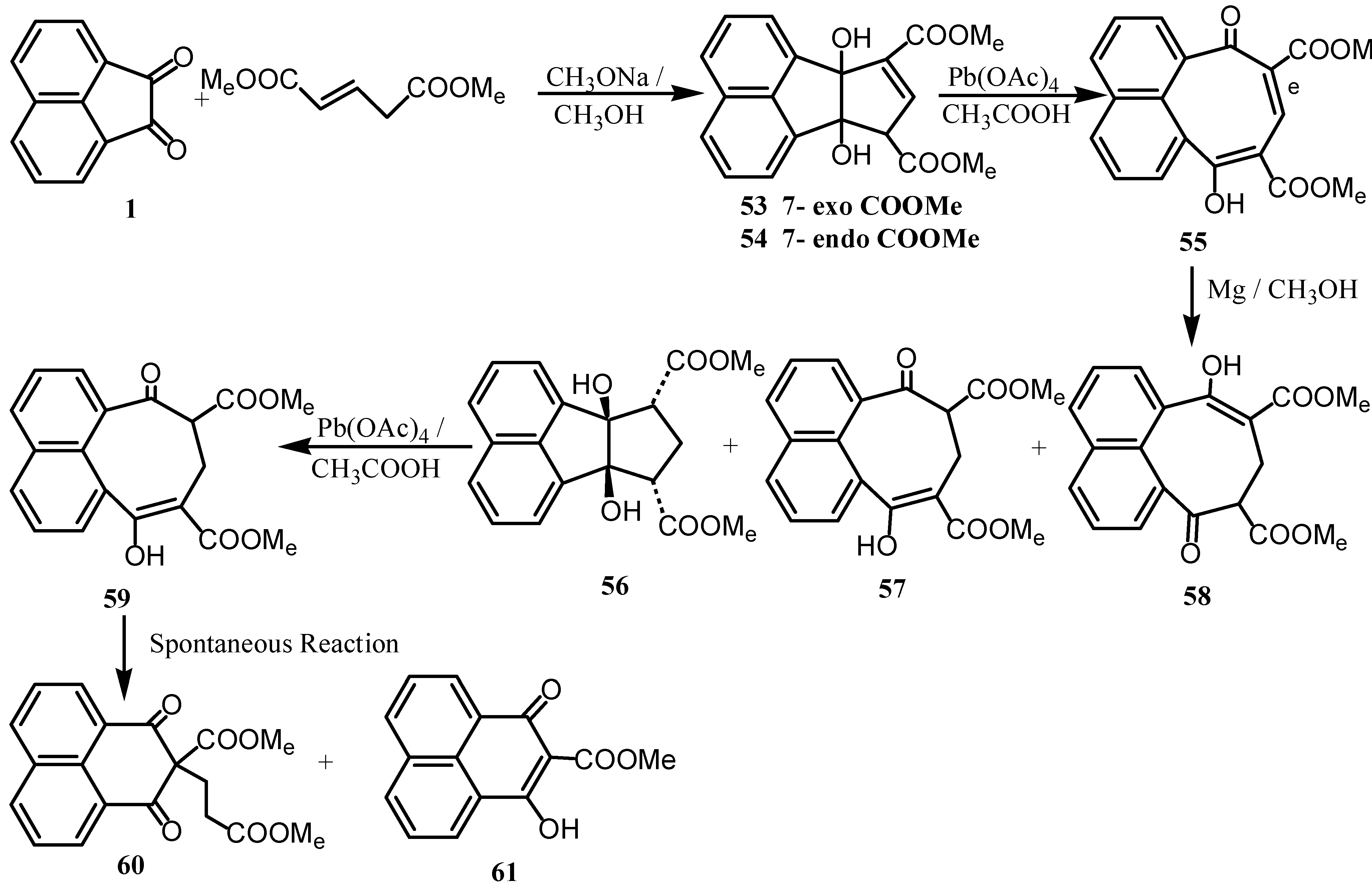
2.4 Reaction with active methylene compounds
















2.5. Reaction with aldehydes and ketones

2.6. Reaction with Wittig reagents






2.7. Reaction with magnesium and lithium reagents





2.8. Friedel Crafts reaction

2.9. Diels-Alder reaction

2.10. Reaction with phenolic compounds

2.11. Halogenation reactions

2.12. Thiation reactions

2.13. Alkylation reactions


 -silyl n-electron donors via triplet single electron transfer desilylation and triplet hydrogens abstraction pathways was explored [129]. Thus, photoaddition of Et2NCH2SiMe3 to 1 produced 2-hydroxy-2-[(diethylamino) methyl] acenaphthylen-1-one (161), whereas the photoaddition of n-PrSCH2SiMe3 to 1 generates two photoproducts 162 and 163 along with a photoreduction dimer of 1 (Scheme 43).
-silyl n-electron donors via triplet single electron transfer desilylation and triplet hydrogens abstraction pathways was explored [129]. Thus, photoaddition of Et2NCH2SiMe3 to 1 produced 2-hydroxy-2-[(diethylamino) methyl] acenaphthylen-1-one (161), whereas the photoaddition of n-PrSCH2SiMe3 to 1 generates two photoproducts 162 and 163 along with a photoreduction dimer of 1 (Scheme 43).
2.14. Ketal derivatives

2.15. Reaction with phosphites and phospholanes


2.16. Reaction with carbenes

2.17. Decarbonylation
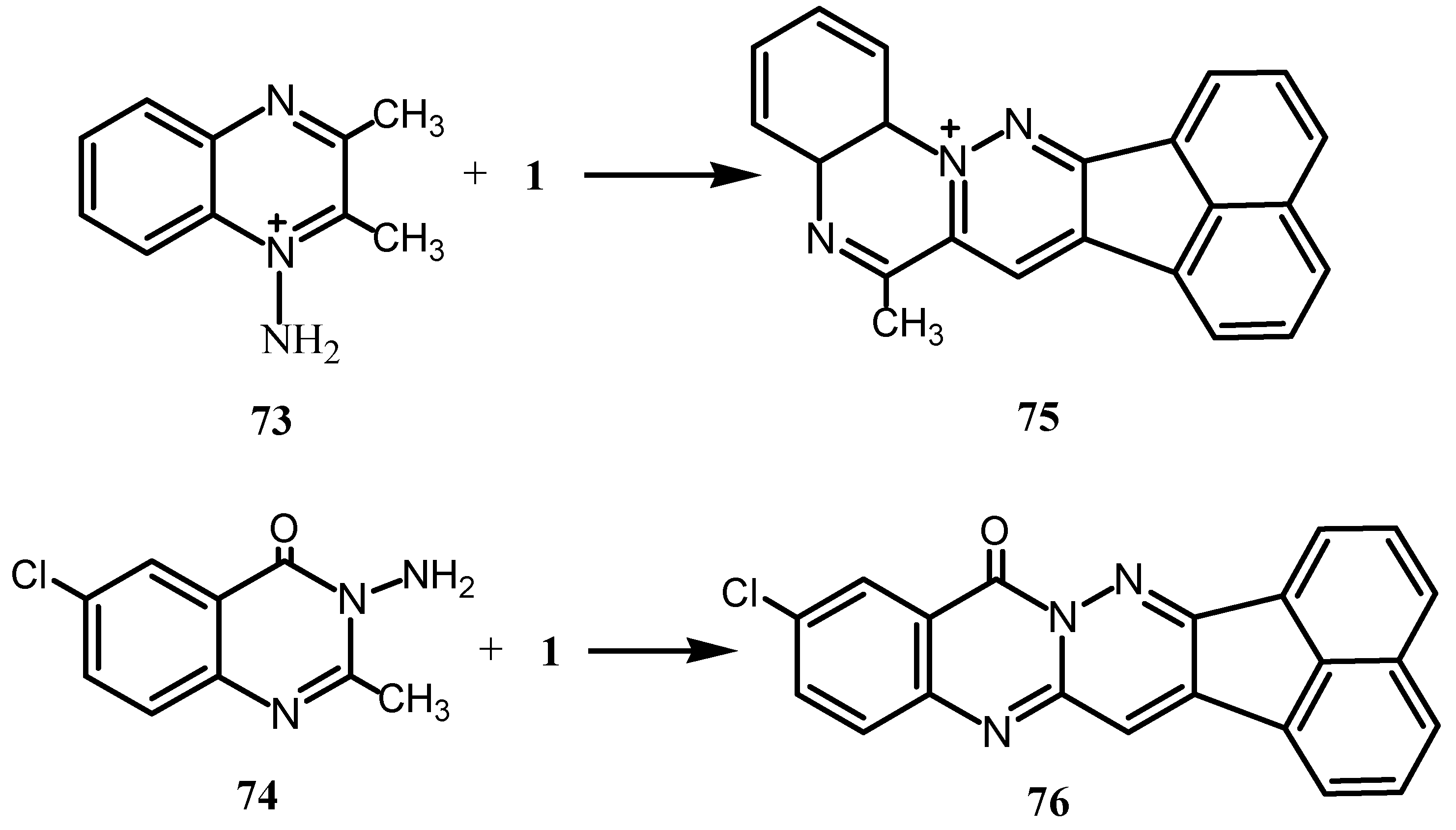
2.18. Reaction with nitrogen nucleophiles
References
- El Ashry, E. S.; Abdel Hamid, H.; Shoukry, M. Ind. J. Heterocycl. Chem. 1998, 7, 313.
- De Diesbach, H.; Lachat, P.; Poggi, M.; Baladi , B.; Friderich, R.; Walker, H. Helv. Chim. Acta 1940, 23, 1232.
- Bader, H.; Chiang, Y. H. U.S. Pat. 1974. 3,812,115; [Chem. Abstr. 1974, 81, 25456p].
- Bader, H.; Chiang, Y. H. Synthesis 1976, 4, 249.
- Proskuryakov, V. A.; Chistyakov, A. .N.; Soboleva, T. P. U.S.S.R. Pat. 1971.
- Randall, R. B.; Benger, M.; Groocock, C.M. Proc. Roy. Soc. 1938, A165, 432, [Chem. Abstr. 1938, 32, 5374].
- Tkacheva, G. d.; Suvorov, B. V. Izv. Akad. Nauk Kaz. SSR, Ser. Khim. 1987, 3, 63, [Chem. Abstr., 1988, 108, 94341k]..
- Tsuji, J.; Kobayashi, Y. Jpn. Pat. 1971, 71, 18–969, [Chem. Abstr., 1972, 76, 34020r].
- Kojima, H.; Takahashi, S.; Hagihara, N. Tetrahedron Lett. 1973, 22, 1991.
- Tabuchi,, T.; Nojima, M. J. Org. Chem. 1991, 56, 6591.
- Kasiwagi, I. Bull. Chem. Soc. Jpn. 1926, 1, 66.
- J-Younge, Koo; Schuster, G. B. J. Org. Chem. 1979, 44, 847.
- Schuster, G. B.; Ja-Young, K. Gov. Rep. Announce Index (U.S.) 1978, 78, 116, [Chem. Abstr. 1979, 90, 18601w].
- Boujlel, K.; Simonet, J. Tetrahedron Lett. 1979, 12, 1063.
- Edwards, W. G. H; Petrow, V. J. Chem. Soc. 1948, 1713.
- Eistert, B.; Schoenberg, A. Ber. 1962, 95, 2416.
- Eistert, B.; Selzer, V. Ber. 1963, 96, 314.
- Miller, A. R. J. Org. Chem. 1979, 44, 1931.
- Schwabe, I. K.; Berg, H. Z. ElektroChem. 1952, 56, 952, [Chem. Abstr. 1954, 48, 2005].
- Elbel, K.; Biebrich. U.S. Pat. 1910. 965,170; [Chem. Abstr. 1910, 4, 2738].
- Kalle and co. Ger. Pat. 1909, 224, 979, [Chem. Abstr. 1911, 5, 213].
- Kalle and co. Brit.Pat. 1909, 21, 579, [Chem. Abstr. 1911, 5, 1336].
- Skita, A. Ber. 1927, 60, 2522.
- Braun, J.V.; Bayer, O. Ber. 1926, 59B, 920.
- Goldestien, H.; Glauser, W. Helv. Chim. Acta 1934, 17, 788.
- Jack, K. M.; Rule, H. G. J. Chem. Soc. 1938, 188.Ghigi, E. Gazz. Chim. Ital. 1938, 68, 184, [Chem. Abstr., 1938, 32, 7910].Graebe, C.; Jequier, E. Ann. 1896, 290, 202.
- Trevoy, L.W.; Brown, W. G. J. Am. Chem. Soc. 1949, 71, 1675.
- Panaiotov, I. M.; Rashkov, I. B. Dokl. Bolg. Akad. Nauk 1968, 21, 885, [Chem. Abstr. 1969, 70, 28277q].
- Bakola-Christianopoulou, M. N. J. Organomet. Chem. 1986, 308, C24.
- Bakola-Christianopoulou, M. N. J. Mol. Catal. 1991, 65, 307, [Chem. Abstr. 1991, 115, 28843u].
- Yamashita, H.; Reddy, N. P.; Tanka, M. Chem. Lett. 1993, 2, 315.
- Guirado, A.; Barba, F. ; Hursthouse, M. B.; Arcas, A. J. Org. Chem. 1989, 54, 3205.
- Guirado, A.; Barba, F.; Tevar, A. Synth. Commun. 1984, 14, 333, [Chem. Abstr. 1984, 101, 190629m].
- Kalinwaski, M. K.; Tenderende-Guminska, B. J. Electroanal. Chem. Interfacial Electrochem. 1974, 55, 277, [Chem. Abstr. 1975, 82, 36634s].
- Rozhnova, T. K.; Serazetdinova, V. A.; Sembaev, D. Kh.; Suvorov, B. V. Zh. Anal. Khim. 1975, 30, 2462, [Chem. Abstr. 1976, 85, 71789e].
- Ghe, A. M.; Valcher, S.; Del Monte, M. G. Ann. Chim. (Rome) 1970, 60, 729, [Chem. Abstr. 1971, 75, 44255q].
- Boujlel, K.; Simonet, J. Tetrahedron Lett. 1979, 17, 1497.
- Simonet, J.; Lund, H. Bull. Soc. Chim. Fr. 1975, 2547, [Chem. Abstr. 1976, 85, 77232q].
- Boldt, P.; Arensmann, E.; Blenkle, M.; Kersten, H.; Tendler, H.; Trog, R. S.; Jones, P. G.; Doring, D. Chem. Ber. 1992, 125, 1147.
- Bruck, D.; Minsky, A.; Dagan, A.; Rabinovitz, M. Tetrahedron Lett. 1981, 22, 3545.
- Murayama, K.; Ono, K.; Osugi, J. Bull. Chem. Soc. Jpn. 1972, 45, 847.
- Junek, H.; Hamboeck, H.; Hornischer, B. Monatsh. Chem. 1967, 98, 315.
- Hans, J.; Albin, H.; Andre, B. M. Monatsh. Chem. 1975, 106, 715.
- Junek, H.; Hornischer, B.; Sterk, H. Monatsh. Chem. 1968, 99, 2121.
- Moureu, H.; Chovin, P.; Rivoal, G. Bull. Soc. Chim. France 1946, 106, [Chem. Abstr. 1946, 40, 6070].
- Moureu, H.; Chovin, P.; Rivoal, G. Compt. Rend. 1946, 223, 951, [Chem. Abstr. 1947, 41, 2032].
- Moureu, H.; Chovin, P.; Rivoal, G. Bull. Soc. Chim. France 1948, 99.
- Vickery, E. H.; Eisenbraun, E. J. Org. Prep. Proced. Int. 1979, 11, 259, [Chem. Abstr. 1980, 92, 94121q.
- Bedford, M. J.; Crombie, D. A. Proc. R. Soc. Edinburgh, Sect. A 1974, 71A, 279, [Chem. Abstr. 1975, 82, 97871p.
- Patwardhan, B. H.; Bagavant, G. Indian. J. Chem. 1973, 11, 1333.
- Tucker, S. H. J. Chem. Soc. 1958, 1462.
- Jackson, D. A.; Lacy, Ph. H.; Smith, D. C. C. J. Chem. Soc., Perkin Trans.1 1989, 215.
- Koshelev, V. I.; Palkidin, V. L. Zh. Org. Khim. 1973, 9, 597, [Chem. Abstr. 1973, 79, 5199n].
- Birch, A.; Crombie, D. A. Chem. Ind.(London) 1971, 6, 177.
- Rangnekar, D. W.; Mavalankar, S. V. J. Heterocycl. Chem. 1991, 28, 1455.
- Vanags, G.; Geita, L. Zhur. Obshchei Khim. 1956, 26, 511, [Chem. Abstr. 1956, 50, 13852a].
- Geita, L.; Vanags, G. Latvijas PSR Zinatnu Akad. Vestis 1958, 127, [Chem. Abstr. 1959, 53, 11371d].
- Vanags, G.; Geita, L. J. Gen. Chem. U.S.S.R. 1956, 26, 539, [Chem. Abstr. 1957, 51, 2686g].
- Ezoe, K.; Kurosawa, K. Bull. Chem. Soc. Jpn. 1977, 50, 443.
- Banerjee, P. K.; Bhattacharya, A. J. J. Indian J. Chem., Sect. B 1977, 15B, 953.
- Samanta, S. R.; Mukherjee, A. K.; Battacharyya, A. J. Curr. Sci. 1988, 57, 926.
- Guha, S. K.; Sinha, A. K. J. Indian Chem. Soc. 1952, 29, 415.
- Karishin, A. P.; Krivoshapko, N. G.; Osobik, D. I. Khim. Geterotsikl. S oedin 1968, 1, 61, [Chem. Abstr. 1969, 70, 12633s].
- Karishin, A. P.; Fedorenko, T. P. Ukrain, Khim. Zhur. 1953, 19, 631, [Chem. Abstr. 1955, 49, 1214e].
- Karishin, A. P. Ukrain. Khim. Zhur. 1952, 18, 504, [Chem. Abstr. 1955, 49, 1682i].
- Karishin, A. P.; Kustol, D. M. Ukrain. Khim Zhur. 1956, 22, 229, [Chem. Abstr. 1957, 51, 365c].
- Karishin, A. P., Timchenko; Dzhurka, G.F.; Samusenko, Yu. V.; Baklan, T. F.; Lysenko, G. M. Khim. Geterotskil. Soedin, Akad. Nauk Latv. SSR 1965, 5, 704, [Chem. Abstr. 1966, 64, 9708g].
- Karishin, A. P.; Samusenko, Yu. V. Zh. Organ. Khim. 1965, 1, 1003, [Chem. Abstr. 1965, 63, 11534f].
- Karishin, A. P.; Solomakha, L. A. Zh. Organ. Khim. 1965, 1, 2062, [Chem. Abstr. 1966, 64, 8166b].
- Hudson, C. B.; Robertson, A. V. Aust. J. [Chem. 1967, 20, 1511, [Chem. Abstr. 1967, 67, 117251g].
- Issidorides, C. H.; Atfah, M. A.; Sabounji, J. J.; Sidani, A. R.; Haddadin, M. J. Tetrahedron 1978, 34, 217.
- Matia, M. P.; Garci-Navio, J. L.; Vaquero, J. J.; Alvarez-Builla, J. Liebigs Ann. Chem. 1992, 7, 777.
- Erwin, D.; Frank, P. Eur. Pat. 1989, 339, 556, [Chem. Abstr. 1990, 112, 181391c].
- Crosby, J.; Milner, J. A. Ger. Pat. 2 1977, 714, 668, [Chem. Abstr. 1978, 88, 23601c].
- Alvarez-Builla, J.; Gonzalez Trigo, G.; Ezquerra, J.; Fombella, M. E. J. Hetrocycl. Chem. 1985, 22, 681.
- Ezquerra, J.; Builla, J. A. J. Heterocycl. Chem. 1986, 23, 1151.
- Pastor, J.; Paz Matia, M.; Garcia Nario, J. L.; Vaquero, J. J.; Alvarez-Builla, J. Heterocycles 1989, 29, 2369.
- Matia, M. P.; Ezquerra, J.; Sanchez-Ferrnado, F.; Garcia Navio, J. L.; Vaquero, J. J.; Alvarez-Builla, J. Tetrahedron 1991, 47, 7329.
- Galera, C.; Vaquero, J. J.; Garcia Navio, J. L.; Alvarez-Builla, J. J. Heterocycl. Chem. 1986, 23, 1889.
- Matia, M. P.; Garcia Navio, J. L.; Vaquero, J. J.; Alvarez-Builla, J. J. Heterocycl. Chem. 1990, 27, 661.
- Nightingale, D. V.; Erickson, F. B.; Shackelford, J. M. J. Org. Chem. 1952, 17, 1005.
- De Fazi, R.; Monforte, F. Atti accad. Lincei 1929, 10, 653, [Chem. Abstr. 1930, 24, 24423].
- Sircar, A. C.; Sen, S. C. J. Indian Chem. Soc. 1931, 8, 605.
- Tsuge, O.; Gunjima, T. Asahi Garasu Kogyo Gijustsu Shorei-Kai Kenkyu Hokou 1966, 12, 209, [Chem. Abstr. 1968, 68, 78248k].
- Sircar, A. C.; Sen, S. C. J. Indian Chem.. Soc. 1936, 13, 482.
- White, D. N. J. Org. Chem. 1970, 35, 2452.
- Otohiko, T.; Masashi, T.; Ichiro, S. Bull. Chem. Soc. Jpn. 1969, 42, 181.
- Rice, J. E; Shih, H. C.; Hussain, N.; La Voie, E. J. J. Org. Chem. 1987, 52, 849.
- Boulos, L. S.; Abd El-Rahman, N. M. Phosphorous, Sulfur- Silicon Relat. Elem. 1992, 68, 241.
- Helena, S.; Acad, C. R. Sci, Ser. C 1971, 273, 1194, [Chem. Abstr. 1972, 76, 59135v].
- Nicolaides, D. N.; Litinas, K. E.; Argyropoulos, N. G. J. Chem. Soc., Perkin Trans. 1 1986, 415.
- Rice, J. E.; Czech, A.; Hussain, N.; LaVoie,, E. J. J. Org. Chem. 1988, 53, 1775.
- Lefkaditis, D. A.; Nicolaides, D. N.; Papageorgiou, G. K.; Stephanidou-Stephanatou, J. J. Heterocycl. Chem. 1990, 27, 227.
- Papageeorgiou, G.; Nicolaides, D.; Stephanidou-Stephanatou, J. Liebigs Ann. Chem. 1989, 4, 397, [Chem. Abstr. 1989, 110, 212325z].
- Lefkaditis, D. A.; Argyropoulos, N. G.; Nicolaides, D.N. Liebigs Ann. Chem. 1986, 11, 1863, [Chem. Abstr. 1987, 106, 4947u].
- Maxim, N. Bull. Soc. Chim. 1928, 43, 769, [Chem. Abstr. 1928, 22, 4121].
- Acree, S. F. Am. Chem. J. 1905, 33, 186.
- Beschke, E.; Kitay, M. Ann. 1909, 369, 200.
- Bachmann, W. E.; Chu, E. J. J. Am. Chem. Soc. 1936, 58, 1118.
- Bartlett, P. D.; Brown, R. F. J. Am. Chem. Soc. 1940, 63, 2927.
- Brown, R. F. J. Am. Chem. Soc. 1954, 76, 1279.
- Moriconi, E. J.; O’Conner, W. F.; Kuhn, L. P.; Keneally, E. A.; Wallenberger, F. T. J. Am. Chem. Soc. 1959, 81, 6472.
- Jingshun, J. Huaxue Xuebao 1987, 45, 1211, [Chem. Abstr. 1988, 109, 92967r].
- Alder, R. W.; Colclough, D.; Grams, F.; Orpen, A. G. Tetrahedron 1990, 46, 7933.
- Miller, A. R.; Curtin, D. Y. J. Am. Chem. Soc. 1976, 98, 1860.
- Levchenko, A. I.; Morzo, R. A.; Zatolokin, E. I.; Suprun, V. Z.; Beloglazova, V. V.; Gaidukova, R. G.; Stal’nova, L.K. Kim. Atsetilena, Tr. Vses. Konf., 3rd 1986, 311, [Chem. Abstr. 1973, 79, 53803b].
- Mitchell, R. H.; Fyles, T.; Ralph, L. M. Can. J. Chem. 1977, 55, 1480, [Chem. Abstr. 1987, 88, 37475b].
- Blomberg, C.; Grootveld, H. H.; Gerner, T. H.; Bickelhaupt, F. J. Organometal. Chem. 1970, 24, 549.
- Zsuffa, M. Ber. 1910, 43, 2915, [Chem. Abstr. 1911, 5, 495].
- Tai-Shan, F.; Wang Ping, M.; Tsing Hsing, C.; Shih-Chen, S. J. J. Chin. Soc. 1985, 32, 457, [Chem. Abstr. 1987, 106, 196342n].
- Matei, I. Ber. 1929, 62B, 2095.
- Salazkin, S. N.; Korshak, V. V.; Vinogradova, S. V.; Beridze, L. A.; Pankratov, V. A. Deposited Doc., VINITI 1976, 2833, [Chem. Abstr. 1978, 89, 129169].
- Matei, I.; Bogdan, E. Ber. 1938, 71B, 2292.
- Matei, I.; Ccea, E. Ber. 1944, 77B, 714.
- Matei, I.; Bogdan, E. Ber. 1934, 67B, 1834.
- Dewhurst, F.; Shah, P. K. J. J. Chem. Soc., C 1970, 12, 1737.Graebe, C.; Guinsburg, M. Ann. 1903, 327, 85.
- Mayer, F.; Schonfelder, H. Ber. 1922, 55B, 2972.
- Rule, H. G.; Thompson, S. B. J. Chem. Soc. 1937, 1761.
- Petrenko, G. P.; Terent’eva, G. N.; Usachenko, V. G. U.S.S.R. Pat. 1973, 406, 827, [Chem. Abstr. 1974, 80, 82499h].Dziewonski, K.; Zarkrzewska-Barnaowska, M. Bull. Intern. Acad. Polon. Sci. 1927, 1-2A, 65.
- Ghigi, E. Gazz . Chem. Ital. 1938, 68, 184.
- Graebe; Jequier. Ann. 1896, 290, 202, [Chem. Abstr. 1938, 32, 7910].
- Petrenko, G. P.; Terent’eva, G. N.; Usachenko, V. G. Zh. Org. Khim. 1973, 9, 2313, [Chem. Abstr. 1974, 80,47690s].
- El Kateb, A. A.; Hennaway, I.T.; R.Shabana, Osman, F. H. Phosphorus Sulfur 1984, 20, 329, [Chem. Abstr. 1985, 103, 53784k].
- Singh, M. S.; Mehrotra, K. N. Indian J. Chem., Sect.B 1984, 23B, 1289, [Chem. Abstr. 1985, 102, 203950g].
- Ogata, Y.; Tsuchida, M. J. Org. Chem. 1955, 20, 1631.
- Akio, T.; Yutaka, N.; Koichi, Y.; Hidetoshi, I. Chem. Lett. 1990, 4639, [Chem. Abstr. 1990, 113, 77826h].
- Yoshinori, N. J. Am. Chem. Soc. 1980, 102, 3774.
- Brown, R. E.; Legg, K. D.; Wolf, M. W.; Singer, L. A.; Parks, J. H. Anal. Chem. 1974, 46, 1690.
- Yoon, U. C.; Kim, Y. C.; Choi, J. J.; Kim, D. U.; P. S., Mariano; Cho, I. S.; Jeon, Y. T. J. Org. Chem. 1992, 57, 1422.
- Cohen, A. I.; Harper, I. T.; Levine, S. D. J. Chem. Soc. D 1970, 23, 1610.
- Cohen, A. I.; Harper, I. T.; Puar, M. S.; Levine, S. D. J. Org. Chem. 1972, 37, 3147.
- Schönberg, A.; Schutz, O.; Arend, G.; Peter, J. Ber. 1927, 60B, 2344.
- Seymour David, L. Ger. Pat.2 1971, 102, 843, [Chem. Abstr. 1971, 75, 140829a].
- Sidky, M. M.; Osman, F. H. J. Prakt. Chem. 1973, 315, 881.
- Ogata, Y.; Yamashita, M. Bull. Chem. Soc. Jpn. 1973, 46, 2208.
- Ramirez, F.; Ramanathan, N. J. Org. Chem. 1961, 26, 3041.
- Ogata, Y.; Yamashita, M. J. Chem. Soc., Perkin Trans 2 1972, 493.
- Singh, M. S.; Mishra, G.; Mehrotra, K. N. Phosphorus Sulfur Silicon Relat. Elem. 1991, 63, 177.
- Ramirez, F.; Patwardhan, A. V.; Kugler, H. J.; Smith, C. P. Tetrahedron 1968, 24, 2275.
- Ried, W. Hg. Appeal Z. Naturforschung 1960, 15b, 684, [Chem. Abstr. 1961, 55, 21062g].
- Burmistrov, S. I.; Kondrat’eva, S. E. Nov. Khim. Karbenov, Mater. Vses. Soveshch. Khim. Karbenov Ikh. Analogv, 1ts 1972 (pub.1973). 240, [Chem. Abstr. 1975, 82, 43265a].
- Andras, S.; Harald, S.; Mundiyath, V. Justus Liebigs Ann. [Chem. 1977, 5, 747, [Chem. Abstr. 1977, 87, 134800r].
- Sample Availability: Not applicable.
© 2002 by MDPI (http://www.mdpi.org). Reproduction is permitted for non commercial purposes.
Share and Cite
El Ashry, E.S.H.; Hamid, H.A.; Kassem, A.A.; Shoukry, M. Synthesis and Reactions of Acenaphthenequinones-Part-2. The Reactions of Acenaphthenequinones. Molecules 2002, 7, 155-188. https://doi.org/10.3390/70200155
El Ashry ESH, Hamid HA, Kassem AA, Shoukry M. Synthesis and Reactions of Acenaphthenequinones-Part-2. The Reactions of Acenaphthenequinones. Molecules. 2002; 7(2):155-188. https://doi.org/10.3390/70200155
Chicago/Turabian StyleEl Ashry, El Sayed H., Hamida Abdel Hamid, Ahmed A. Kassem, and Mahmoud Shoukry. 2002. "Synthesis and Reactions of Acenaphthenequinones-Part-2. The Reactions of Acenaphthenequinones" Molecules 7, no. 2: 155-188. https://doi.org/10.3390/70200155
APA StyleEl Ashry, E. S. H., Hamid, H. A., Kassem, A. A., & Shoukry, M. (2002). Synthesis and Reactions of Acenaphthenequinones-Part-2. The Reactions of Acenaphthenequinones. Molecules, 7(2), 155-188. https://doi.org/10.3390/70200155
 
        
