Next Article in Journal
Three-Component Halo Aldol Condensation of Thioacrylates with Aldehydes Mediated by Titanium (IV) Halide
Previous Article in Journal
New Phenylpropanoid Glucosides from Eucalyptus maculata
 
 
Font Type:
Arial Georgia Verdana
Font Size:
Aa Aa Aa
Line Spacing:
Column Width:
Background:
Article

The Behaviour of 1,2,3-Indantrione Towards Wittig-Horner Reagents

by
N. M. Abd El-Rahman
* and
L. S. Boulos
Department of Pesticide Chemistry, National Research Centre, Dokki, Cairo, Egypt
*
Author to whom correspondence should be addressed.
Molecules 2002, 7(1), 81-88; https://doi.org/10.3390/70100081
Submission received: 1 October 2000 / Revised: 6 August 2001 / Accepted: 10 August 2001 / Published: 30 January 2002

Abstract

:
Wittig-Horner reagents 1a,b react with 1,2,3-indantrione (2) to give the dimeric adducts 3a and 3b, respectively. Moreover, 2 reacts with tert-butyl diethyl-phosphonoacetate (1c) yielding the ethylenic compound 4. On the other hand, 2 reacts with 1d to yield the phosphonate adduct 5. Mechanisms accounting for the formation of the new products are discussed and the probable structures of the products are presented based on compatible analytical and spectral data.

Introduction

In previous publications [1,2,3], we have examined the reactions of Wittig-Horner reagents 1 with o‑quinones, p-quinones and quinoneimines. The present work extends the former work by studying the behaviour of 1,2,3-indantrione (2) toward the same reagents 1.
Molecules 07 00081 i001

Results and Discussion

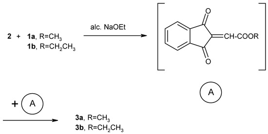
We have found that the reaction of 1,2,3-indantrione (2) with 1 mol equivalent of methyl diethylphosphonoacetate (1a), in the presence of alcoholic sodium ethoxide solution, proceeds at room temperature to give a chromatographically pure adduct formulated as dimethyl 2,3-bis(3-hydroxy-1-oxoinden-2-yl)butane-1,4-dioate (3a) (Scheme 1).
Scheme 1.
Scheme 1.
Molecules 07 00081 g001
The structure of 3a was confirmed by its satisfactory IR, 1H-NMR and MS and elemental analyses (cf. Experimental). The 1H-NMR spectrum of 3a showed two proton doublets centered at 4.30 and 4.33 ppm, with 3JH-H = 16 Hz that suggested a trans configuration for the adduct [4]. Similarly, triethylphosphonoacetate (1b) reacted with 1,2,3-indantrione (2) in the presence of alcoholic sodium ethoxide solution at room temperature for 6 hours to give a crystalline product that was assigned structure 3b (Scheme 1), on the basis of its IR, 1H-NMR, MS and elemental analyses (cf. Experimental). Formation of compounds 3a and 3b can be explained in terms of carbonyl olefination of 2 by the Wittig-Horner reagents 1a,b to give the reactive intermediate (A). Dimerization of the unstable reactive intermediate (A) results in the formation of the stable dimeric products 3a,b (Scheme 2).
Scheme 2.
Scheme 2.
Molecules 07 00081 g002
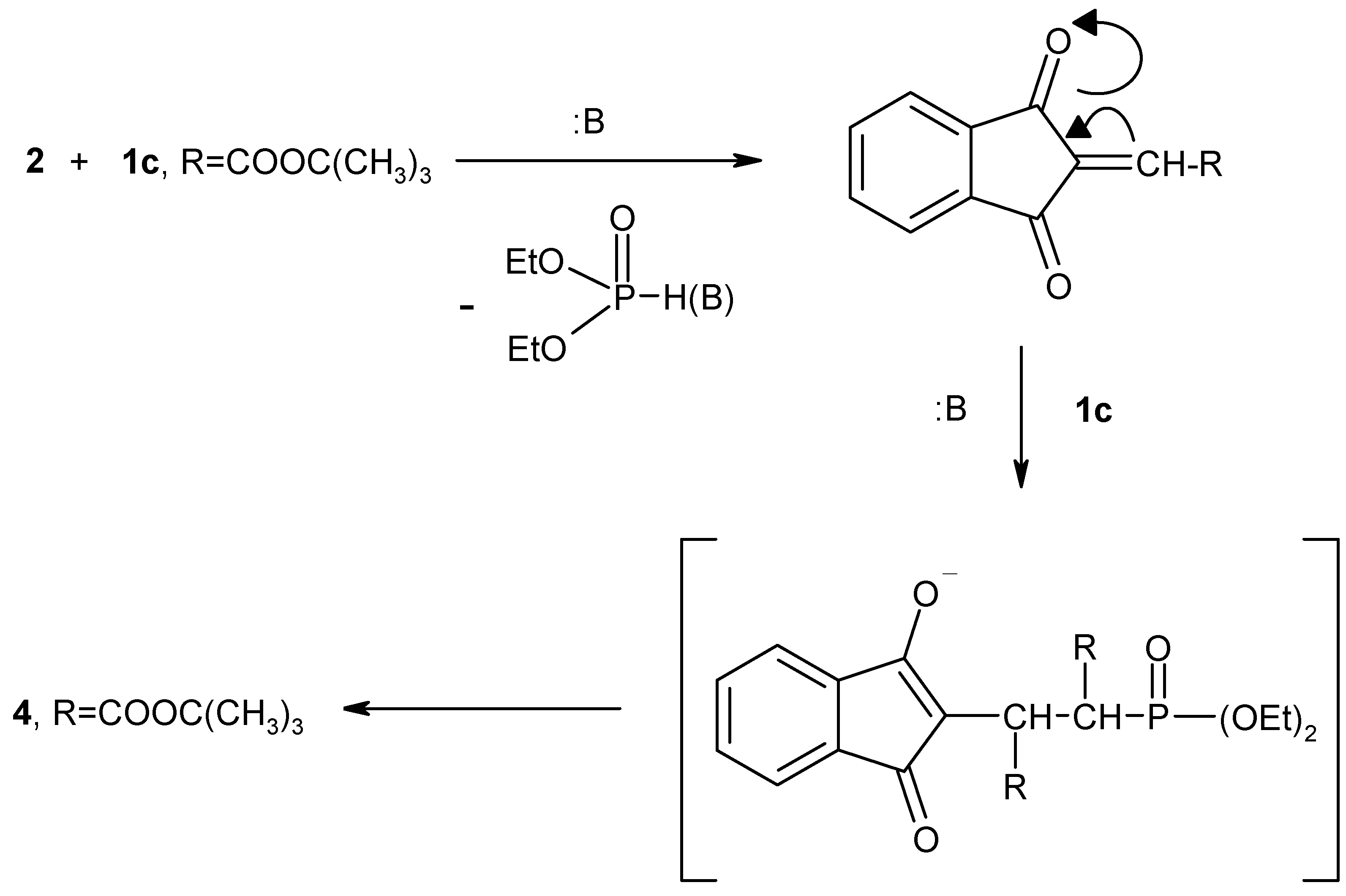
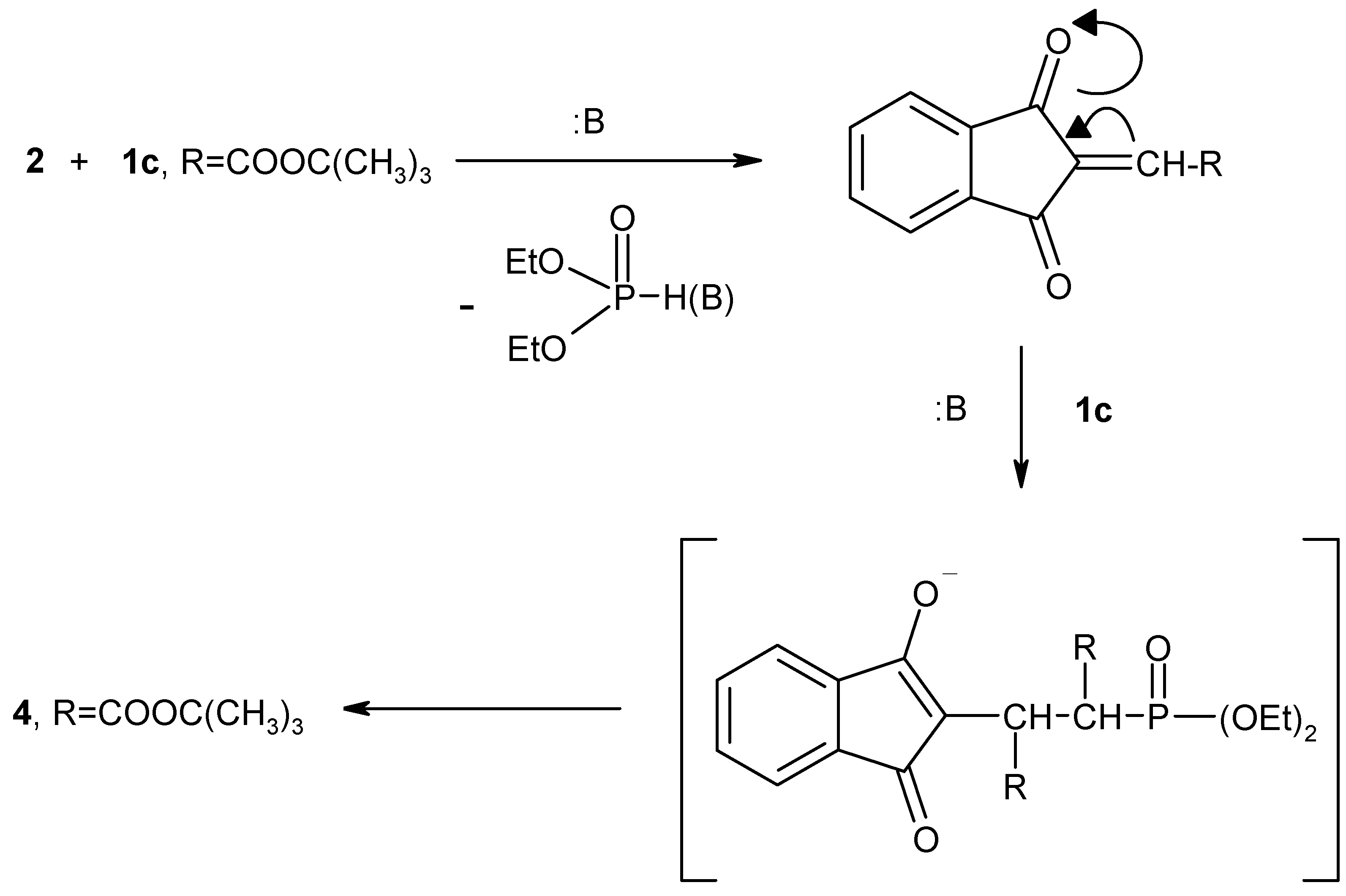
We have also investigated the reaction of compound 2 with tert-butyl diethylphosphonoacetate (1c). The reaction of 2 with 1c was performed in alcoholic sodium ethoxide solution in 1:2 molar ratio to give the olefinic product 4 (Scheme 3).
Scheme 3.
Scheme 3.
Molecules 07 00081 g003
Compound 4 was obtained in a sharp-melting chromatographically pure form. Its elemental and mass spectral analyses corresponded to a molecular formula of C21H24O6, and the structure of the adduct was further confirmed by its IR, 1H-NMR and mass spectral data (cf. Experimental). A possible explanation of the course of the reaction of tert-butyl diethylphosphonoacetate (1c) with 1,2,3-indantrione (2) is shown in Scheme 3. In the presence of NaOEt solution trione 2 reacts with two moles of tert-butyl diethylphosphonoacetate (1c) to give the stable olefinic compound 4. Next, when 1,2,3-indantrione (2) was treated with one mole equivalent of diethyl(cyanomethyl)phosphonate (1d) in the presence of alcoholic sodium ethoxide solution at room temperature for 10 hours, adduct 5 together with some unchanged trione 2 were isolated. Carrying out the reaction using two moles of 1d instead of one led to the formation of adduct 5 in a good yield (Scheme 1). The proposed structure of compound 5 was confirmed by correct elemental analyses, molecular weight determination by MS, IR spectrum, 31P NMR spectrum which indicates a phosphonate structure [6,7,8] and 1H NMR spectrum.
Apparently compound 2 reacts with one mole equivalent of diethyl (cyanomethyl)phosphonate (1d) in the presence of sodium ethoxide solution to give the unstable olefinic intermediate (B) which then reacts with another mole of 1d, in the presence of NaOEt solution, to give the stable phosphonate adduct 5 (Scheme 4).
Scheme 4.
Scheme 4.
Molecules 07 00081 g004
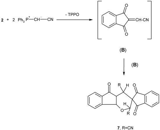
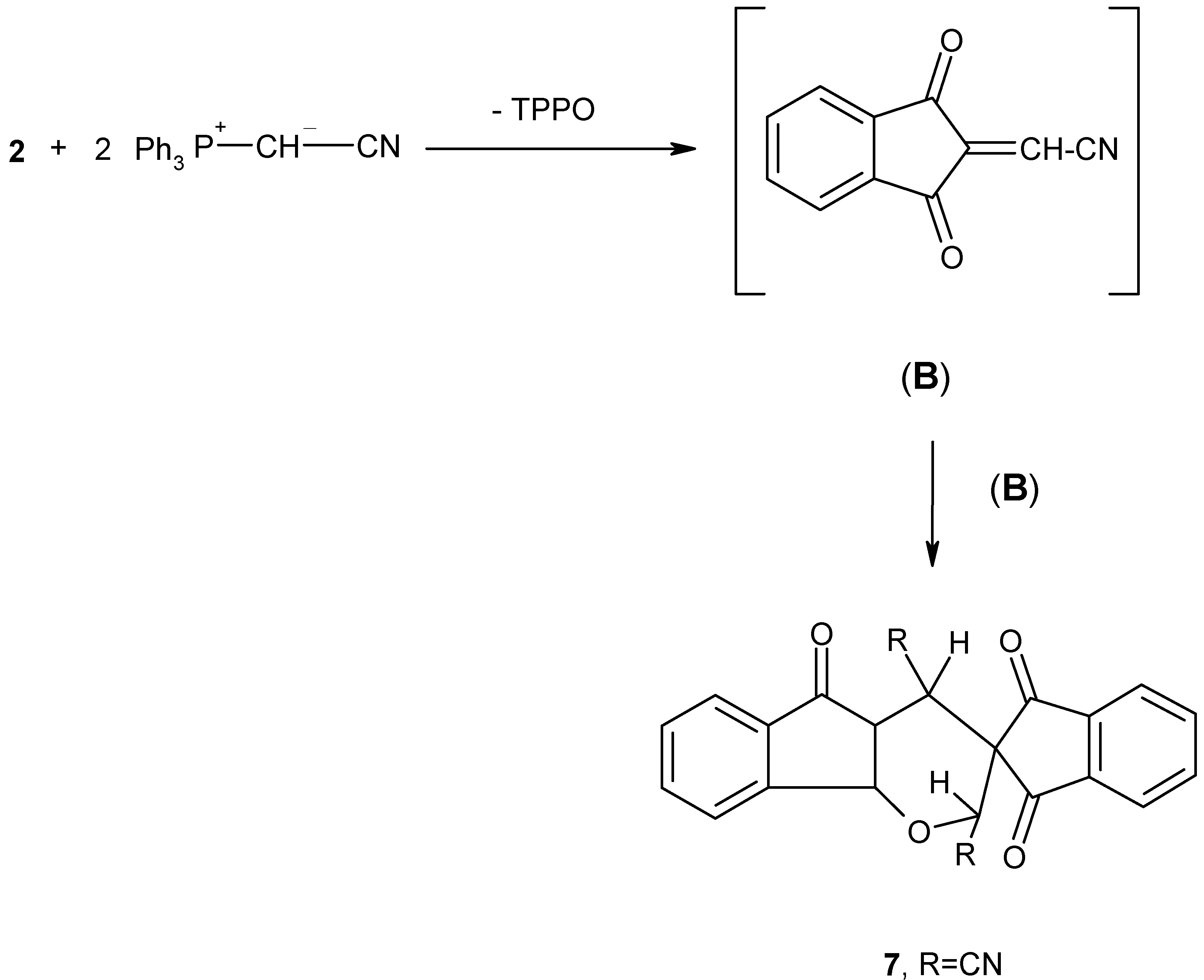
Finally, this study has been extended to include the reaction of 2 with cyanomethylene-triphenylphosphorane (Ph3P+--CHCN) (6) to establish whether it would behave in a similar manner. Thus, 1,2,3-indantrione (2) was treated with two mole equivalents of phosphonium ylide 6 in dry benzene at room temperature for 5 hours.
The reaction mixture was separated by column chromatography on silica gel, whereby, triphenylphosphine oxide, as well as a crystalline product 7 were isolated (Scheme 5). Compound 7 was obtained as colourless crystals (60% yield) and was formulated as 2,4-dihydrospiro(indan-2,3-(2H)indeno{[1,2-b]pyran}-1,3,5(4H)-trione dicyanate.
Scheme 5.
Scheme 5.
Molecules 07 00081 g005
The structure of the new spiro compound 7 was established from its elemental analyses and spectral properties (cf. Experimental). Adduct 7 can be obtained via carbonyl olefination with one molecule of ylide 6 to give the reactive intermediate (B), with expulsion of triphenylphosphine oxide. Dimerization of (B) by a Diels-Alder type reaction [10], afforded the final product (Scheme 5). From the above results, it is evident that 1,2,3-indantrione (2) behaves toward cyanomethylene-triphenylphosphorane 6 in a manner quite similar to that previously reported for the reaction of 1,2,3-indantrione with alkoxycarbonylmethylenetriphenylphosphoranes which produce the spiro compound 7 (R = COOCH3 or COOC2H5) almost exclusively (Scheme 5) [10].

Conclusions

Although 1,2,3-indantrione (2) has been reported [10] to react with resonance-stabilized Wittig reagents to give the spiro adducts 7 (R = COOCH3, COOC2H5), a different behaviour is observed in the reaction of this trione 2 with Wittig-Horner reagents 1 (Scheme 1). From the results of the present investigation, it can be concluded that the reaction of 1,2,3-indantrione (2) with Wittig-Horner reagents 1 leads to different products, depending on the nature of the phosphonate anion used as well as on the stability of the addition products [11]. The finding of the present investigation is of particular interest since it represents a novel synthetic application of Wittig-Horner reagents.

Experimental

General

All melting points are uncorrected. Wittig-Horner reagents 1a-d were prepared by the Michaelis-Arbuzov reaction [12,13]. Cyanomethylenetriphenylphosphorane was prepared by a published procedure [14]. The IR spectra were measured in KBr disks with a Perkin Elmer Infracord Model 157 Grating Spectrophotometer. The 1H-NMR spectra were run on Varian Spectrophotometer at 200 MHz, using TMS as an internal reference. The 31P-NMR spectra were recorded in CDCl3 (vs., 85% H3PO4 as an external standard) with a JNM-PS-100Fa Spectrometer. The mass spectra were run at 70 eV with Kratos MS equipment and/or a Varian MAT 311 A Spectrometer.

Reaction of 1,2,3-indantrione (2) with methyl diethylphosphonoacetate (1a): Preparation of dimethyl 2,3-bis(3-hydroxy-1-oxoinden-2-yl)butane-1,4-dioate (3a).

A solution of 1 mol of sodium ethoxide in absolute ethanol was treated with an equimolar amount of phosphonate 1a (0.21 g, 0.001 mol). After 5 min. 1 mol of trione 2 was added and the resulting mixture was stirred at room temperature for 6 hr. The reaction mixture was poured onto a small amount of water, extracted with ethyl acetate, dried, and the extracts were evaporated under vacuum. The residue was purified on a silica gel column using 40-60°C pet. ether- ethyl acetate (v:v) as eluent to give compound 3a, which was recrystallized from benzene (yield 78%); m.p. 182-183°C; Analysis Calcd. for C24H18O8 (434.408), C, 66.36; H, 4.18; Found, C, 66.45; H, 4.22; Mol. wt (MS) = 434 (M+, 75%); IR (cm-1): 1720, 1675; 1H-NMR (ppm): 3.30 (3H, s, OCH3); 3.50 (3H, s, OCH3), 8.20 (s, 1H, D2O exchangeable, OH) and 8.35 ppm (s, 1H, D2O exchangeable, OH); signals at 4.30 ppm (d, 2H, 3JHH = 16 Hz) and 4.33 ppm (d, 2H, 3JHH = 16 Hz) suggest the trans configuration of adduct 3a [4]; 6.80-8.05 (complex m, 8H, aromatic protons).

Reaction of 1,2,3-indantrione (2) with triethylphosphonoacetate (1b): Preparation of diethyl 2,3-bis-(3-hydroxy-1-oxoinden-2-yl)butane-1,4-dioate (3b).

A solution of 1 mol of sodium ethoxide in absolute ethanol was treated with an equimolar amount of phosphonate 1b (0.22 g, 0.001 mol), After 5 min. 1 mol of trione 2 was added and the resulting mixture was stirred at room temperature for 4 hr. The reaction mixture was poured onto a small amount of water, extracted with ethyl acetate and the filtered extracts were evaporated under vacuum after drying over anhydrous sodium sulfate. The residual material was purified on a silica gel column using 40/60°C pet. ether - ethyl acetate (v:v) as an eluent to give 3b as pale orange crystals (yield 80%); m.p. 159-160°C from benzene; Analysis Calcd. for C26H22O8 (462.462): C,67.53; H, 4.80; Found, C, 67.6; H, 4.83; Mol. wt (MS) = 462. (M+, 65%); IR (cm-1): 3500 (OH), 1740 (C=O, ester), 1680 cm-1 (C=O, indene); 1H-NMR (δ): 0.6 (t, 3H, ethoxy-CH3), 1.25 (t, 3H, ethoxy-CH3), 3.45 (q, 2H, ethoxy-CH2), 3.7 (q, 2H, ethoxy-CH2), 4.5 (2H, t, 2JHH = 16 Hz, CH-CH) and 6.8-8 (m, 8H, Ar), . 8.2 (s, 1H, D2O exchangeable proton, OH), 8.35 (s, 1H, D2O exchangeable proton, OH).

Reaction of tert-butyl diethylphosphonoacetate (1c) with 1,2,3-indantrione (2): Preparation of di-tert-butyl (Z)-2-(3-hydroxy-1-oxoinden-2-yl)but-2-ene-1,4-dioate (4).

The reaction of phosphonate 1c (0.002 mol) with trione 2 (0.001 mol) was carried out in alcoholic sodium ethoxide solution (0.002 mol of Na in 20 mL C2H5OH). The mixture was maintained under stirring at room temperature over night. The reaction mixture was poured onto water and extracted with chloroform. The extracts were evaporated under vacuum after drying. The residue was purified on a silica gel column using 40/60°C pet. ether - ethyl acetate (v:v) as an eluent to give compound 4 (yield 76%); M.p. 98-100°C (from cyclohexane); Analysis, Calcd. for C21H24O6 (372.423): C, 67.73; H, 6.50; Found, C, 67.65; H, 6.55; mol. wt. (MS) = 372. (M+, 70%); IR (cm-1): 1715 (C=O, indene), 1740 (C=O, ester) and 3524 (OH); 1H-NMR: 1.85 ppm (s, 9H, C (CH3)3) and 1.90 ppm (s, 9H, C(CH3)3), 6.95 (s, 1H, methine), 7.35-7.60 (m, 4H, Ar) and 9.40 (s, 1H, D2O exchangeable proton, OH).

Reaction of diethyl(cyanomethyl)phosphonate (1d) with 1,2,3-indantrione (2): Preparation of [1,2-dicyano-2-(3-hydroxy-1-oxo-1H-inden-2-yl)-ethyl]-phosphonic acid diethyl ester (5).

A solution of two moles of sodium ethoxide in absolute ethanol was treated with equimolar amounts of phosphonate 1d and trione 2 and the resulting mixture was stirred at room temperature for 10 hr. The reaction mixture was poured onto a small amount of water, extracted with ethyl acetate and the extract was dryed over anhydrous sodium sulfate then evaporated under reduced pressure. The residual material was applied to a silica gel column chromatography using 40/60°C pet. ether – ethyl acetate (v:v) as an eluent to give 5 as pale yellow crystals in 75% yield; m.p. 176-177°C from benzene; Analysis, calcd. for C17H17N2O5P (360.311): C, 56.67; H, 4.76; N, 7.77; P, 8.60%. Found: C, 54.6; H2, 4.8; N, 7.4; P, 8.27%; mol. wt. (MS) = 360 (M+, 90%). IR (cm-1): 3502 (OH), 1230 (P-O-bonded)[5], 1047 (P-O-C2H5) [5] and 2208 cm-1 (CN). 31P-NMR: δ = 19.95 ppm indicates a phosphonate structure [6,7,8]. 1H-NMR δ (ppm): 1.25 (6H, t) and 3.95 ppm (4H, q) (P-OCH2CH3) [9]; 3.70 ppm (d, 1H, with 3JHP = 12 Hz, JHH = 7.5 Hz) and 3.65 ppm (2JHP = 10 Hz, JHH = 7.5 Hz) for the two methine protons b and a, respectively (Scheme 1); 7.35-7.64 ppm (4H, m, aromatic protons); 9.4 (s, D2O exchangeable, OH).

Reaction of 1,2,3-indantrione (2) with cyanomethylene triphenylphosphorane (6): Preparation of 2,4-dihydrospiro(indan-2,3-(2H)indeno{[1,2-b]pyran}-1,3,5(4H)-trione dicyanate (7).

To a suspension of trione 2 (0.16g, 0.001 mol) in dry benzene (25 mL), was added a solution of the ylide 6 (0.6g, 0.002 mol) in absolute benzene (25 mL). The reaction mixture was stirred at room temperature for 5 h, then evaporated under reduced pressure. The residual substance was dissolved in CH2Cl2 (100 mL) and evaporated till dryness in the presence of silica gel (5 g). The reaction mixture was then added to a column previously loaded with silica gel in petroleum ether. The column was developed with petroleum ether (60/80°C) containing increasing amounts of CHCl3. A fraction eluted with 9:1 v/v petroleum ether/CHCl3 gave a substance that was recrystallized from benzene to give compound 7 as colourless crystals (60% yield); m.p. 168-169°C; Anal. Calcd. for C22H10N2O4 (366.336): C, 72.13, H, 2.75; N, 7.64; Found : C, 72.3; H, 2.8; N, 7.66%; Mol. wt (MS) = 366 (M+, 60%); IR (cm-1): 1745 (C=O, cyclopentanone), 1715 (C=O, 1,3-dicarbonyl), 2226 (CN) and 3100 (CH, aromatic). 1H-NMR (ppm) 4.21 and 4.23 (two s, 2H, dihydropyran ring), 7.47 (dd, 1H, JHH = 8.4 Hz, JHH = 1.1 Hz), 7.68 (m, 1H), 7.43 (m, 1H), 8.21 (dd, 1H, JHH = 8.4 Hz, JHH = 1.1 Hz), 7.8 (m, 4H, Ar). A fraction eluted by petroleum ether/CHCl3 (7:3 v/v) yielded colourless needles, shown to be triphenylphosphine oxide by m.p., mixed m.p., and comparison of the respective IR and MS spectra.

References

  1. Boulos, L.S.; Abd El-Rahman, N.M. Phosphorus, Sulfur, and Silicon 1991, 62, 163.
  2. Boulos, L.S.; Abd El-Rahman, N.M. Phosphorus, Sulfur, and Silicon 1992, 68, 241.
  3. Boulos, L.S.; Arsanious, M.H.N. Phosphorus, Sulfur, and Silicon 1994, 89, 185. [CrossRef]
  4. Silverstein, R.N; Bassler, G.C. Spectroscopic Identification of Organic Compounds, 2nd ed; Wiley: New York, 1967; p. 145. [Google Scholar]
  5. Bellamy, L.J. The Infrared Spectra of Complex Molecules; John Wiley: New York, 1964; p. 311. [Google Scholar]
  6. Ramirez, F.; Madan, O.P.; Heller, S.R. J. Am. Chem. Soc. 1956, 87, 713.
  7. Ramirez, F.; Madan, O.P.; Heller, S.R. Tetrahedron Lett. 1965, 201.
  8. Crutchfield, M.M.; Dungan, C.H.; Letcher, H.J.; Merk, V.; van Wazer, J.R. Topics in Phosphorus Chemistry; Grayson, M., Griffith, E.J., Eds.; Interscience Publishers: New York, 1967; Vol. 5, pp. 227–447. [Google Scholar]
  9. Nishiwaki, T. Tetrahedron 1966, 22, 711.
  10. Soliman, F.M.; Khalil, Kh. M.; Abd-El-Naim, G. Phosphorus, Sulfur 1988, 35, 41.
  11. Boulos, L.S.; Yakout, El-Sayed M.A. Heteroatom Chem. 1997, 8, 253.
  12. Kosalapoff, G.M. Organophosphorus Compounds; Wiley and Sons, Inc.: New York, N.Y., 1950; Chap. 7. [Google Scholar]
  13. Crofts, P.C. Quart. Rev., Chem. Soc. 1958, 12, 341. [CrossRef]
  14. Trippett, S.; Walker, D.M. J. Chem. Soc. 1959, 3874.
  • Sample Availability: Samples are available from the authors.

Share and Cite

MDPI and ACS Style

Abd El-Rahman, N.M.; Boulos, L.S. The Behaviour of 1,2,3-Indantrione Towards Wittig-Horner Reagents. Molecules 2002, 7, 81-88. https://doi.org/10.3390/70100081

AMA Style

Abd El-Rahman NM, Boulos LS. The Behaviour of 1,2,3-Indantrione Towards Wittig-Horner Reagents. Molecules. 2002; 7(1):81-88. https://doi.org/10.3390/70100081

Chicago/Turabian Style

Abd El-Rahman, N. M., and L. S. Boulos. 2002. "The Behaviour of 1,2,3-Indantrione Towards Wittig-Horner Reagents" Molecules 7, no. 1: 81-88. https://doi.org/10.3390/70100081

APA Style

Abd El-Rahman, N. M., & Boulos, L. S. (2002). The Behaviour of 1,2,3-Indantrione Towards Wittig-Horner Reagents. Molecules, 7(1), 81-88. https://doi.org/10.3390/70100081

Article Metrics

Back to TopTop