New Insights into the Thermodynamic Properties and Raman Vibrational Modes of Polyhalite from Density Functional Theory
Abstract
1. Introduction
2. Results and Discussion
2.1. Crystal Structures
2.2. Thermodynamic Properties
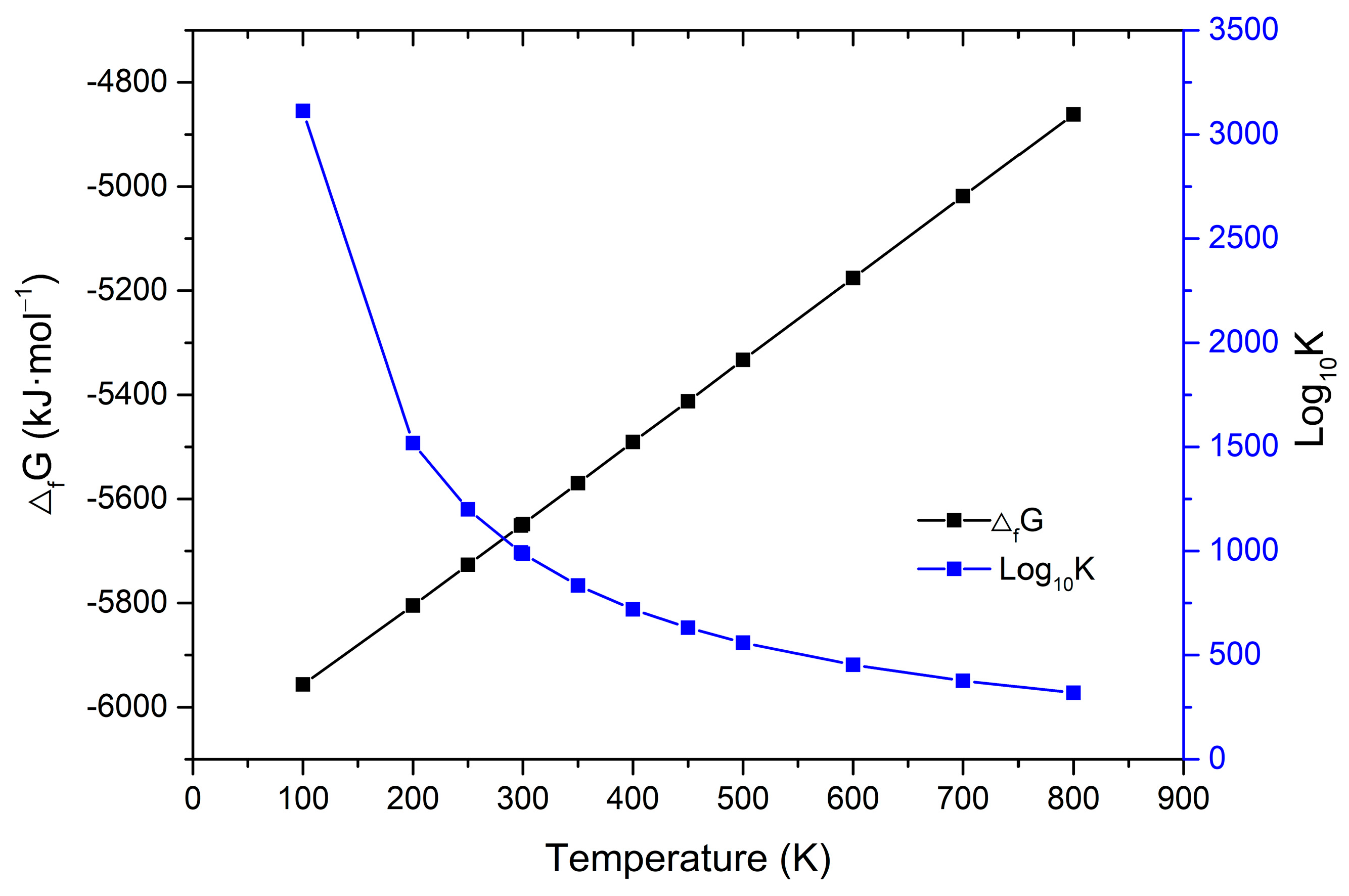
2.3. Enthalpies and Free Energies of Formation
2.4. Raman Spectrum
3. Computational Methods
4. Conclusions
Supplementary Materials
Author Contributions
Funding
Institutional Review Board Statement
Informed Consent Statement
Data Availability Statement
Conflicts of Interest
References
- Warren, J.K. Evaporites through time: Tectonic, climatic and eustatic controls in marine and nonmarine deposits. Earth-Sci. Rev. 2010, 98, 217–268. [Google Scholar] [CrossRef]
- Eugster, H.P. Geochemistry of Evaporitic Lacustrine Deposits. Annu. Rev. Earth Planet. Sci. 1980, 8, 35–63. [Google Scholar] [CrossRef]
- Schorn, A.; Neubauer, F.; Bernroider, M. Polyhalite microfabrics in an Alpine evaporite mélange: Hallstatt, Eastern Alps. J. Struct. Geol. 2013, 46, 57–75. [Google Scholar] [CrossRef] [PubMed]
- Holser, W.T.; Kaplan, I.R. Isotope geochemistry of sedimentary sulfates. Chem. Geol. 1966, 1, 93–135. [Google Scholar] [CrossRef]
- Irion, G.; MÜLler, G. Huntite, Dolomite, Magnesite and Polyhalite of Recent Age from Tuz Gölü, Turkey. Nature 1968, 220, 1309–1310. [Google Scholar] [CrossRef]
- Harvie, C.E.; Weare, J.H.; Hardie, L.A.; Eugster, H.P. Evaporation of Seawater: Calculated Mineral Sequences. Science 1980, 208, 498–500. [Google Scholar] [CrossRef]
- Peryt; Pierre; Gryniv. Origin of polyhalite deposits in the Zechstein (Upper Permian) Zdrada platform (northern Poland). Sedimentology 1998, 45, 565–578. [Google Scholar] [CrossRef]
- Gong, D.-X.; Xiao, B.; Bagas, L.; Li, D.; Zhou, J.-Y.; Zou, H. Origin of the Early to Middle Triassic polyhalite minerals in the Sichuan Basin, SW China: New evidence from calcium and sulphur isotopes and microfabrics. Ore Geol. Rev. 2021, 139, 104439. [Google Scholar] [CrossRef]
- Guo, X.; Xu, H. Enthalpies of formation of polyhalite: A mineral relevant to salt repository. J. Chem. Thermodyn. 2017, 114, 44–47. [Google Scholar] [CrossRef]
- Xu, H.; Guo, X.; Bai, J. Thermal behavior of polyhalite: A high-temperature synchrotron XRD study. Phys. Chem. Miner. 2017, 44, 125–135. [Google Scholar] [CrossRef]
- Brookins, D.G.; Register, J.K.; Krueger, H.W. Potassium-argon dating of polyhalite in southeastern New Mexico. Geochim. Cosmochim. Acta 1980, 44, 635–637. [Google Scholar] [CrossRef]
- Philippe, S.; Haack, U. RbSr study on langbeinite and other salt minerals from a Zechstein diapir in Northern Germany. Chem. Geol. 1995, 123, 199–207. [Google Scholar] [CrossRef]
- Leitner, C.; Neubauer, F.; Genser, J.; Bernroider, M. Dating of polyhalite: A difficult 40Ar/39Ar dating tool of diagenetic to very low-grade metamorphic processes. Int. J. Earth Sci. 2022, 111, 2037–2051. [Google Scholar] [CrossRef]
- Cheng, H.; Li, J.; Hai, Q.; Song, J.; Ma, X. Raman and XRD study of polyhalite ore during calcinations. Vib. Spectrosc. 2019, 102, 63–70. [Google Scholar] [CrossRef]
- Harvie, C.E.; Møller, N.; Weare, J.H. The prediction of mineral solubilities in natural waters: The Na-K-Mg-Ca-H-Cl-SO4-OH-HCO3-CO3-CO2-H2O system to high ionic strengths at 25 °C. Geochim. Cosmochim. Acta 1984, 48, 723–751. [Google Scholar] [CrossRef]
- Weck, P.F.; Kim, E.; Jové-Colón, C.F.; Sassani, D.C. First-principles study of anhydrite, polyhalite and carnallite. Chem. Phys. Lett. 2014, 594, 1–5. [Google Scholar] [CrossRef]
- Ogorodova, L.P.; Vigasina, M.F.; Mel’chakova, L.V.; Bryzgalov, I.A.; Ksenofontov, D.A. Enthalpy of formation of natural polyhalite. Geochem. Int. 2016, 54, 645–649. [Google Scholar] [CrossRef]
- Robie, R.A.; Hemingway, B.S. Thermodynamic Properties of Minerals and Related Substances at 298.15 K and 1 Bar (105 Pascals) Pressure and at Higher Temperatures; U.S. Geological Survey Bulletin 2131; U.S. Government Publishing Office: Reston, VA, USA, 1995. [Google Scholar]
- Schlatti, M.; Sahl, K.; Zemann, A.; Zemann, J. Die Kristallstruktur des Polyhalits, K2Ca2Mg[SO4]4·2H2O. Tschermaks Mineral. Petrogr. Mitteilungen 1970, 14, 75–86. [Google Scholar] [CrossRef]
- Bindi, L. Reinvestigation of polyhalite, K2Ca2Mg(SO4)4·2H2O. Acta Crystallogr. Sect. E 2005, 61, i135–i136. [Google Scholar] [CrossRef]
- Risacher, F.; Fritz, B. Simulation de l’évaporation sur micro-ordinateur. Sci. Géologiques Bull. Mémoires 1984, 37, 239–251. [Google Scholar] [CrossRef]
- Vargas Jentzsch, P.; Bolanz, R.M.; Ciobotă, V.; Kampe, B.; Rösch, P.; Majzlan, J.; Popp, J. Raman spectroscopic study of calcium mixed salts of atmospheric importance. Vib. Spectrosc. 2012, 61, 206–213. [Google Scholar] [CrossRef]
- Fateley, W.G.; Dolish, F.R.; McDevitt, N.T.; Bentley, F.F. Infrared and Raman Selection Rules for Molecular and Lattice Vibrations: The Correlation Method; Wiley-Interscience: Hoboken, NJ, USA, 1972. [Google Scholar]
- Wollmann, G.; Freyer, D.; Voigt, W. Polyhalite and its analogous triple salts. Monatshefte Chem.-Chem. Mon. 2008, 139, 739–745. [Google Scholar] [CrossRef]
- Lane, M.D. Mid-infrared emission spectroscopy of sulfate and sulfate-bearing minerals. Am. Mineral. 2007, 92, 1–18. [Google Scholar] [CrossRef]
- Milman, V.; Refson, K.; Clark, S.J.; Pickard, C.J.; Yates, J.R.; Gao, S.P.; Hasnip, P.J.; Probert, M.I.J.; Perlov, A.; Segall, M.D. Electron and vibrational spectroscopies using DFT, plane waves and pseudopotentials: CASTEP implementation. J. Mol. Struct. THEOCHEM 2010, 954, 22–35. [Google Scholar] [CrossRef]
- Downs, R.T.; Hall-Wallace, M. The American Mineralogist Crystal Structure Database. Am. Mineral. 2003, 88, 247–250. [Google Scholar]
- Dion, M.; Rydberg, H.; Schröder, E.; Langreth, D.C.; Lundqvist, B.I. Van der Waals Density Functional for General Geometries. Phys. Rev. Lett. 2004, 92, 246401. [Google Scholar] [CrossRef] [PubMed]
- Perdew, J.P.; Burke, K.; Ernzerhof, M. Generalized Gradient Approximation Made Simple. Phys. Rev. Lett. 1996, 77, 3865–3868. [Google Scholar] [CrossRef] [PubMed]
- Grimme, S. Semiempirical GGA-type density functional constructed with a long-range dispersion correction. J. Comput. Chem. 2006, 27, 1787–1799. [Google Scholar] [CrossRef]
- Troullier, N.; Martins, J.L. Efficient pseudopotentials for plane-wave calculations. Phys. Rev. B 1991, 43, 1993–2006. [Google Scholar] [CrossRef]
- Fischer, T.H.; Almlof, J. General methods for geometry and wave function optimization. J. Phys. Chem. 1992, 96, 9768–9774. [Google Scholar] [CrossRef]
- Parker, J.S.; Doherty, B.J.S.; Taylor, K.T.; Schultz, K.D.; Blaga, C.I.; DiMauro, L.F. High-Energy Cutoff in the Spectrum of Strong-Field Nonsequential Double Ionization. Phys. Rev. Lett. 2006, 96, 133001. [Google Scholar] [CrossRef]
- Monkhorst, H.J.; Pack, J.D. Special points for Brillouin-zone integrations. Phys. Rev. B 1976, 13, 5188–5192. [Google Scholar] [CrossRef]
- Togo, A.; Oba, F.; Tanaka, I. First-principles calculations of the ferroelastic transition between rutile-type and CaCl2-type SiO2 at high pressures. Phys. Rev. B 2008, 78, 134106. [Google Scholar] [CrossRef]
- Otero-de-la-Roza, A.; Abbasi-Pérez, D.; Luaña, V. Gibbs2: A new version of the quasiharmonic model code. II. Models for solid-state thermodynamics, features and implementation. Comput. Phys. Commun. 2011, 182, 2232–2248. [Google Scholar] [CrossRef]
- Chase, W.; Davies, C.A.; Downey, R.; Frurip, D.J.; Syverund, A.N. JANAF thermochemical tables, third edition. J. Phys. Chem. Ref. Data 1975, 4, 1–176. [Google Scholar] [CrossRef]









| Parameters | a (Å) | b (Å) | c (Å) | α (°) | β (°) | γ (°) | Vol. (Å3) |
|---|---|---|---|---|---|---|---|
| This work | 6.9142 | 6.5569 | 9.1895 | 102.48 | 104.81 | 107.05 | 365.488 |
| Exp [20] | 6.975 | 6.984 | 8.899 | 104.01 | 101.19 | 114.10 | 362.337 |
| Cal.-DFT [16] | 7.09 | 7.10 | 8.96 | 103.9 | 100.6 | 114.6 | 377.14 |
| A1 × 10−2 | A2 (T) | A3 × 10−4 (T−2) | A4 × 10−3 (T−0.5) | A5 × 104 (T2) | R2 |
|---|---|---|---|---|---|
| 4.18392 | 0.66319 | 6.92945 | −2.77001 | −4.02279 | 0.99763 |
| Calculated Raman Shift (cm−1) | Intensity (Å4) | Experimental Raman Shift [22,24] (cm−1) | Assignment |
|---|---|---|---|
| 1196 | 40 | 1181 | ν3 anti-symmetry stretching |
| 1192 | 65 | 1165 | |
| 1169 | 134 | 1130 | |
| 1099 | 13 | 1094 | |
| 1066 | 18 | 1069 | |
| 1024 | 283 | 1014 | ν1 symmetry stretching |
| 972 | 215 | 987 | |
| 627 | 7 | 626 | ν4 anti-symmetry bending |
| 610 | 11 | 620 | |
| 464 | 13 | 464 | ν2 symmetry bending |
| 438 | 12 | 436 |
| Calculated Infrared Shift (cm−1) | Intensity (Å4) | Assignment |
|---|---|---|
| 1196 | 22 | ν3 anti-symmetry stretching |
| 1161 | 48 | |
| 1090 | 40 | |
| 1062 | 45 | |
| 1027 | 18 | ν1 symmetry stretching |
| 972 | 2 | |
| 620 | 4 | ν4 anti-symmetry bending |
| 609 | 2 | |
| 468 | 3 | ν2 symmetry bending |
| 441 | 1 |
Disclaimer/Publisher’s Note: The statements, opinions and data contained in all publications are solely those of the individual author(s) and contributor(s) and not of MDPI and/or the editor(s). MDPI and/or the editor(s) disclaim responsibility for any injury to people or property resulting from any ideas, methods, instructions or products referred to in the content. |
© 2026 by the authors. Licensee MDPI, Basel, Switzerland. This article is an open access article distributed under the terms and conditions of the Creative Commons Attribution (CC BY) license.
Share and Cite
Cheng, H.; Chen, Y.; Zhang, S. New Insights into the Thermodynamic Properties and Raman Vibrational Modes of Polyhalite from Density Functional Theory. Molecules 2026, 31, 1269. https://doi.org/10.3390/molecules31081269
Cheng H, Chen Y, Zhang S. New Insights into the Thermodynamic Properties and Raman Vibrational Modes of Polyhalite from Density Functional Theory. Molecules. 2026; 31(8):1269. https://doi.org/10.3390/molecules31081269
Chicago/Turabian StyleCheng, Huaide, Yugang Chen, and Shichun Zhang. 2026. "New Insights into the Thermodynamic Properties and Raman Vibrational Modes of Polyhalite from Density Functional Theory" Molecules 31, no. 8: 1269. https://doi.org/10.3390/molecules31081269
APA StyleCheng, H., Chen, Y., & Zhang, S. (2026). New Insights into the Thermodynamic Properties and Raman Vibrational Modes of Polyhalite from Density Functional Theory. Molecules, 31(8), 1269. https://doi.org/10.3390/molecules31081269

