Biphenyl as a Privileged Structure in Medicinal Chemistry: Advances in Anti-Infective Drug Discovery
Abstract
1. Introduction
Conformational Analysis and Thermodynamic Profiling of the Biphenyl Scaffold in Drug Design
2. Biological Activities
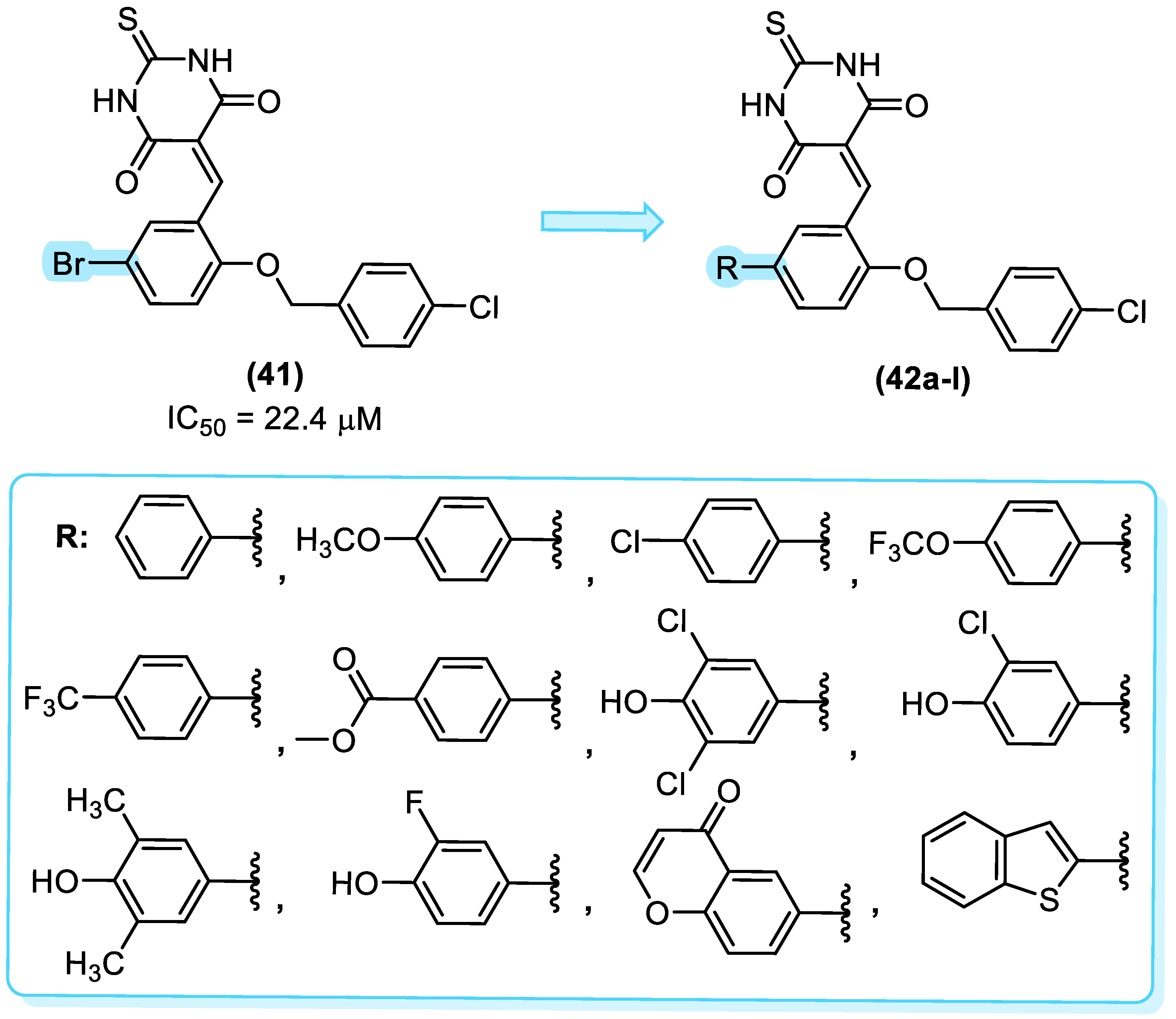
2.1. Antifungal Activity
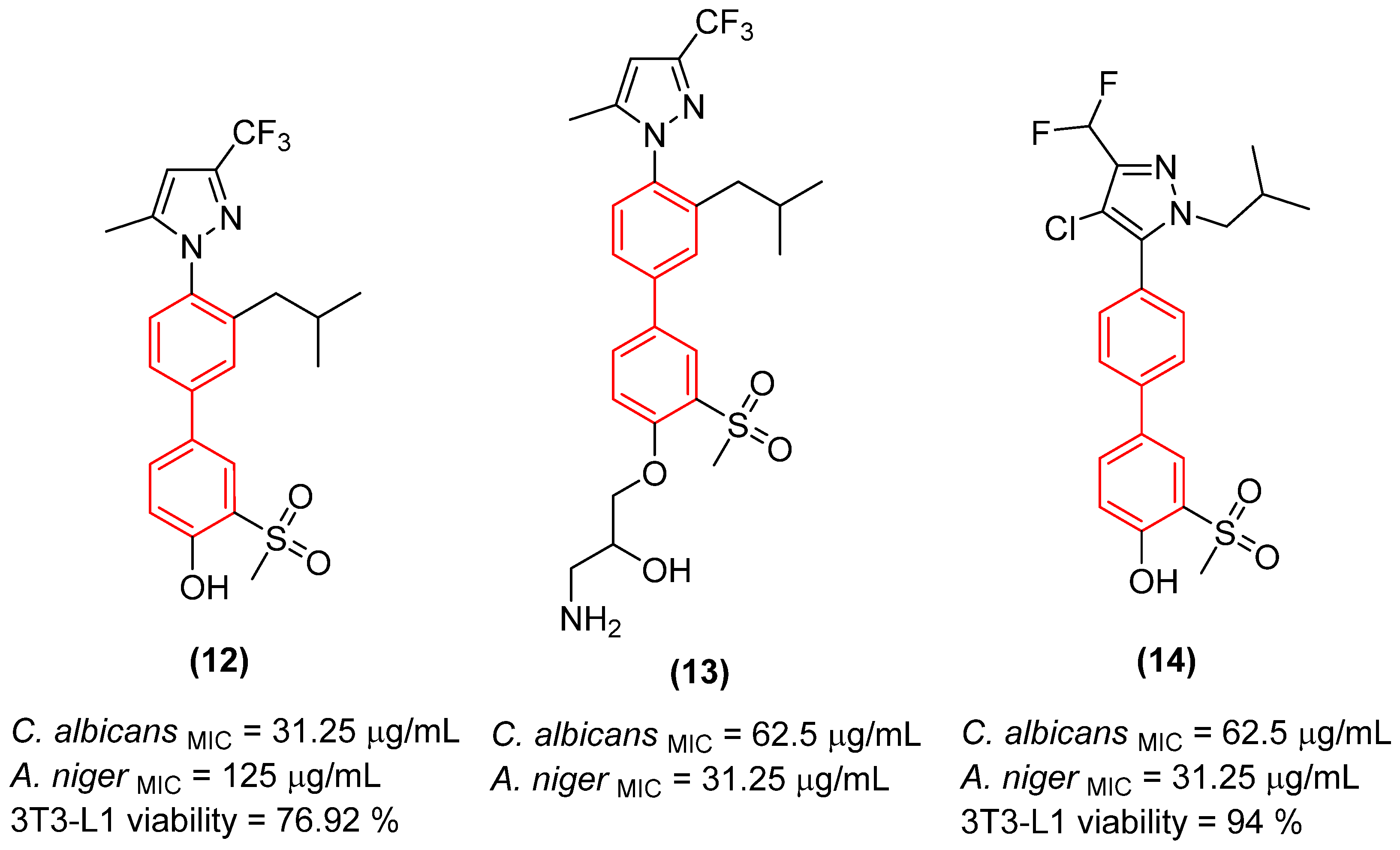
Cross-Sectional SAR and Recent In Vivo Advances in Antifungal Biphenyls
2.2. Antiviral Activity
2.2.1. Reverse Transcriptase Enzyme Inhibitors
2.2.2. HIV Protease Enzyme Inhibitors
2.2.3. Coronavirus Disease 2019 (COVID-19)
2.2.4. Host-Targeting Hepatitis B Virus (HBV) Agents: p38 MAPK Inhibition
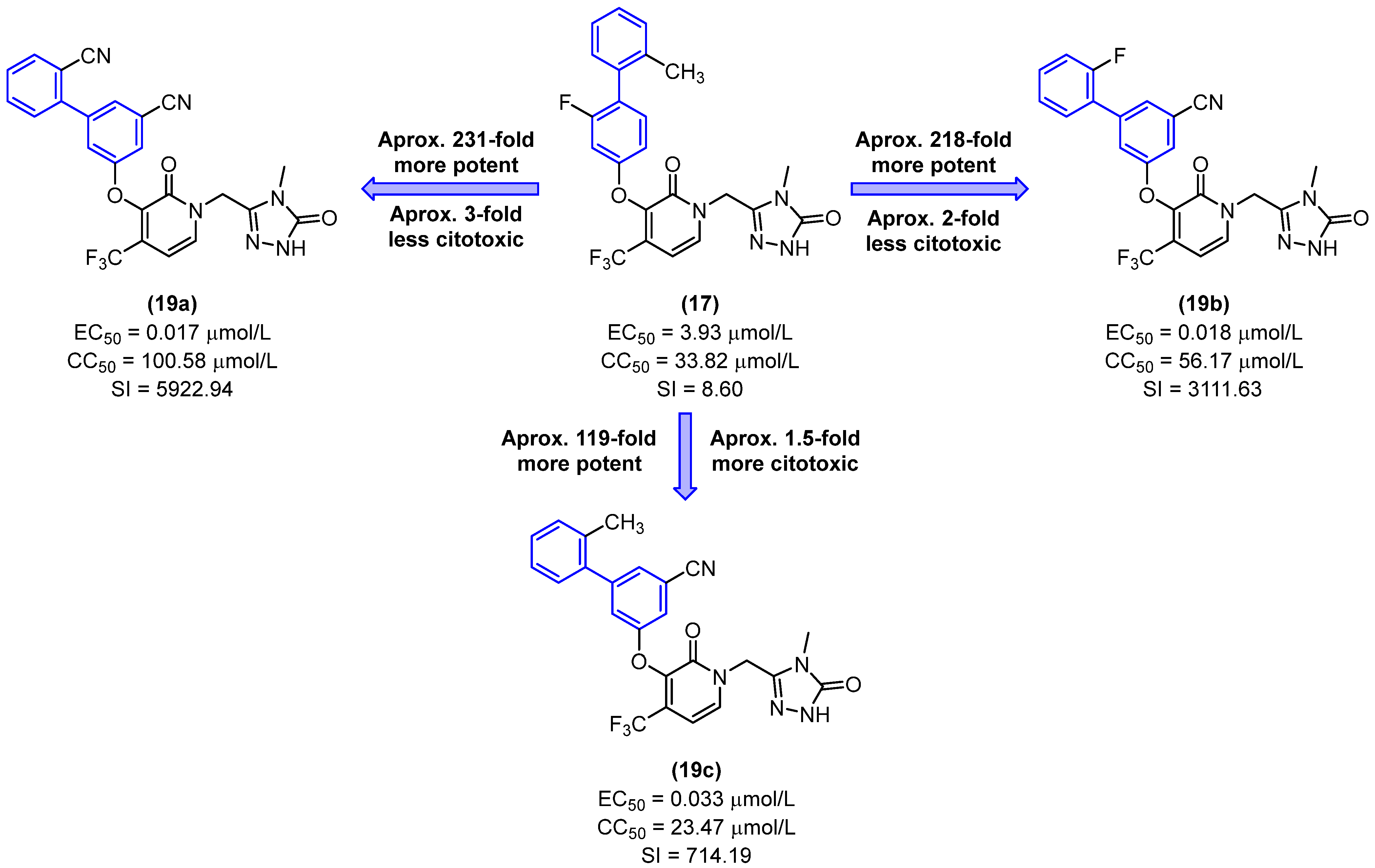
2.2.5. Cross-Sectional SAR, Conformational Locking, and In Vivo Efficacy in Antiviral Agents
2.3. Antibacterial Activity
2.3.1. Cross-Sectional SAR: Topological Control, Membrane Disruption, and Cell Division
2.3.2. Targeted Enzyme Inhibition, Dual-Targeting, and Advanced In Vivo Antibacterial Efficacy
2.4. Antiparasitic Activity
Cross-Sectional SAR and In Vivo Antiparasitic Activity
2.5. Clinical Translation of the Biphenyl Scaffold: FDA-Approved Anti-Infective Drugs
3. Conclusions
Author Contributions
Funding
Institutional Review Board Statement
Informed Consent Statement
Data Availability Statement
Conflicts of Interest
References
- Evans, B.E.; Rittle, K.E.; Bock, M.G.; DiPardo, R.M.; Freidinger, R.M.; Whitter, W.L.; Lundell, G.F.; Veber, D.F.; Anderson, P.S.; Chang, R.S.; et al. Methods for drug discovery: Development of potent, selective, orally efeective cholecytokinin antagonist. J. Med. Chem. 1988, 31, 2235–2246. [Google Scholar] [CrossRef] [PubMed]
- Zhao, H.; Dietrich, J. Privileged scaffolds in lead generation. Expert Opin. Drug Discov. 2015, 10, 781–790. [Google Scholar] [CrossRef] [PubMed]
- Hajduk, P.J.; Bures, M.; Praestgaard, J.; Fesik, S.W. Privileged molecules for protein binding identified from NMR-Based screening. J. Med. Chem. 2000, 43, 3443–3447. [Google Scholar] [CrossRef] [PubMed]
- Jain, Z.J.; Gide, P.S.; Kankate, R.S. Biphenyls and their derivatives as synthetically and pharmacologically importante aromatic structural moieties. Arab. J. Chem. 2017, 10, S2051–S2066. [Google Scholar] [CrossRef]
- Horton, D.A.; Bourne, G.T.; Smythe, M.L. The combinatorial synthesis of bicyclic privileged structures ou privileged substructures. Chem. Rev. 2003, 103, 893–930. [Google Scholar] [CrossRef]
- Constantino, L.; Barlocco, D. Privileged Structures as Leads in Medicinal Chemistry. Curr. Med. Chem. 2006, 13, 65–85. [Google Scholar] [CrossRef]
- Deng, J.; Zhang, T.; Li, B.; Xu, M.; Wang, Y. Design, synthesis and biological evaluation of biphenyl-benzamides as potent FtsZ inhibtors. Eur. J. Med. Chem. 2022, 239, 114553. [Google Scholar] [CrossRef]
- Bemis, G.W.; Murcko, M.A. The Properties of known drugs. 1. Molecular frameworks. J. Med. Chem. 1996, 39, 2887–2893. [Google Scholar] [CrossRef]
- Sancho-García, J.C.; Cornil, J. Anchoring the Torsional Potential of Biphenyl at the ab Initio Level: The Role of Basis Set versus Correlation Effects. J. Chem. Theory Comput. 2005, 1, 581–589. [Google Scholar] [CrossRef]
- Gutiérrez Sanfeliciano, S.M.; Schaus, J.M. Rapid assessment of conformational preferences in biaryl and aryl carbonyl fragments. PLoS ONE 2018, 13, e0193235. [Google Scholar] [CrossRef]
- Rai, B.K.; Sresht, V.; Yang, Q.; Unwalla, R.; Tu, M.; Mathiowetz, A.M.; Bakken, G.A. Comprehensive Assessment of Torsional Strain in Crystal Structures of Small Molecules and Protein–Ligand Complexes using ab Initio Calculations. J. Chem. Inf. Model. 2016, 59, 4195–4208. [Google Scholar] [CrossRef] [PubMed]
- Sang, Y.; Han, S.; Pannecouque, C.; De Clercq, E.; Zhuang, C.; Chen, F. Conformational restriction design of thiophene-biphenyl-DAPY HIV-1 non-nucleoside reverse transcriptase inhibitors. Eur. J. Med. Chem. 2019, 182, 111603. [Google Scholar] [CrossRef] [PubMed]
- Kathiravan, M.K.; Salake, A.B.; Chothe, A.S.; Dudhe, P.B.; Watode, R.P.; Mukta, M.S.; Gadhwe, S. The biology and chemistry of antifungal agents: A review. Bioorg. Med. Chem. 2012, 20, 5678–5698. [Google Scholar] [CrossRef] [PubMed]
- Kim, J.Y. Human fungal pathogens: Why should we learn? J. Microbiol. 2016, 54, 145–148. [Google Scholar] [CrossRef]
- Firacative, C. Invasive fungal disease in humans: Are we aware of the real impact? Memórias Inst. Oswaldo Cruz 2020, 115, e200430. [Google Scholar] [CrossRef]
- Elias, R.; Benhamou, R.I.; Jaber, Q.Z.; Dorot, O.; Zada, S.L.; Oved, K.; Pichinuk, E.; Fridman, M. Antifungal activity, mode of action variability, and subcelular distribution of coumarin-based antifungal azoles. Eur. J. Med. Chem. 2019, 179, 779–790. [Google Scholar] [CrossRef]
- Lebouvier, N.; Pagniez, F.; Min Na, Y.; Shi, D.; Pinson, P.; Marchivie, M.; Guillon, J.; Hakki, T.; Bernhardt, R.; Yee, S.W.; et al. Synthesis, optimization, antifungal activity, selectivity, and CYP51 binding of new 2-Aryl-3-azolyl-1-indolyl-propan-2-ols. Pharmaceuticals 2020, 13, 186. [Google Scholar] [CrossRef]
- Zhao, S.; Zhao, L.; Zhang, X.; Wei, P.; Wu, M.; Su, X.; Sun, B.; Zhao, D.; Cheng, M. Design, synthesis and evaluation of biphenyl imidazole analogues as potente antifungal agentes. Biooganic Med. Chem. Lett. 2019, 29, 2448–2451. [Google Scholar] [CrossRef]
- Guengerich, F.P. Cytochrome and Chemical Toxicology. Chem. Res. Toxicol. 2008, 21, 70–83. [Google Scholar] [CrossRef]
- Słoczyńska, K.; Gunia-Krzyżak, A.; Koczurkiewicz, P.; Wójcik-Pszczoła, K.; Żelaszczyk, D.; Popiół, J.; Pękala, E. Metabolic stability and its role in the discovery of new Chemical entities. Acta Pharmac. 2019, 69, 345–361. [Google Scholar] [CrossRef]
- Danielson, M.L.; Desai, P.V.; Mohutsky, M.A.; Wrighton, S.A.; Lill, M.A. Potentially increasing the metabólica stability of drug candidadtes via computational site of metabolism predicition by CYP2C9: The utility of incorporating protein flexibility via an ensemble of structures. Eur. J. Med. Chem. 2011, 46, 3953–3963. [Google Scholar] [CrossRef] [PubMed]
- Zhao, L.; Yin, W.; Sun, Y.; Sun, N.; Tian, L.; Zheng, Y.; Zhang, C.; Zhao, S.; Su, X.; Zhao, D.; et al. Improving the metabolic stability of antifungal compounds based on a scaffold hopping strategy: Design, synthesis, and structure-activity relationship studies of dihydrooxazole derivatives. Eur. J. Med. Chem. 2021, 224, 113715. [Google Scholar] [CrossRef] [PubMed]
- Chandrika, N.T.; Dennis, E.K.; Shrestha, S.K.; Ngo, H.X.; Green, K.D.; Kwiatkowski, S.; Deaciuc, A.G.; Dwoskin, L.P.; Watt, D.S.; Garneau-Tsodikova, S. N,N′-diaryl-bishydrazones in a biphenyl platform: Broad spectrum antifungal agents. Eur. J. Med. Chem. 2019, 164, 273–281. [Google Scholar] [CrossRef] [PubMed]
- Demchenko, S.; Elliott, A.; Fedchenkova, Y.; Suvorova, Z.; Demchenko, A. Synthesis, antibacterial and antifungal activity of new 3-biphenyl-3H-Imidazo[1,2-a]azepin-1-ium bromides. Eur. J. Med. Chem. 2020, 201, 112477. [Google Scholar] [CrossRef]
- Liu, J.-C.; Yang, J.; Lei, S.-X.; Wang, M.-F.; Ma, Y.-N.; Yang, R. Natural phytoalexins inspired the discovery of new biphenyls as potent antifungal agents for treatment of invasive fungal infections. Eur. J. Med. Chem. 2023, 261, 115842. [Google Scholar] [CrossRef]
- Tague, A.J.; Putsathit, P.; Riley, T.V.; Keller, P.A.; Pyne, S.G. Positional Isomers of Biphenyl Antimicrobial Peptidomimetic Amphiphiles. ACS Med. Chem. Lett. 2021, 12, 413–419. [Google Scholar] [CrossRef]
- Walunj, Y.; Nandurkar, Y.; Shinde, A.; Jagadale, S.; Shaikh, A.L.N.; Modak, M.; Mhaske, P.C. Synthesis, antimicrobial and ergosterol biosynthesis inhibition activity of clubbed 1,1′-biphenyl-pyrazole derivatives. New J. Chem. 2023, 47, 3810–3824. [Google Scholar] [CrossRef]
- Sun, N.B.; Min, L.J.; Sun, X.P.; Zhai, Z.W.; Bajsa-Hirschel, J.; Wei, Z.C.; Hua, X.W.; Cantrell, C.L.; Xu, H.; Duke, S.O.; et al. Novel Pyrazole Acyl(thio)urea Derivatives Containing a Biphenyl Scaffold as Potential Succinate Dehydrogenase Inhibitors: Design, Synthesis, Fungicidal Activity, and SAR. J. Agric. Food Chem. 2024, 72, 2512–2525. [Google Scholar] [CrossRef]
- Ke, S.; Gao, Z.; Zhang, Z.; Liu, F.; Wen, S.; Wang, Y.; Huang, D. Discovery of Novel Carboxamide Derivatives Containing Biphenyl Pharmacophore as Potential Fungicidal Agents Used for Resistance Management. J. Agric. Food Chem. 2023, 71, 14505–14516. [Google Scholar] [CrossRef]
- Li, Y.; Song, C.; Yang, R.; Zheng, Y.; Zhou, J.; Yang, J.; Qin, J.; Guo, L. Antifungal Mechanism of Biphenyl Phytoalexin Derivative Sorbauphylin A against Botrytis cinerea in Grapes. J. Agric. Food Chem. 2025, 74, 3501–3513. [Google Scholar] [CrossRef]
- Choi, J.W.; Lee, K.T.; Kim, S.; Lee, Y.R.; Kim, H.J.; Seo, K.J.; Lee, M.H.; Yeon, S.K.; Jang, B.K.; Park, S.J.; et al. Optimization and Evaluation of Novel Antifungal Agents for the Treatment of Fungal Infection. Pharmaceuticals 2021, 14, 1312. [Google Scholar] [CrossRef] [PubMed]
- Jochmans, D. Novel HIV-1 reverse transcriptase inhibitor. Virus Res. 2008, 134, 171–185. [Google Scholar] [CrossRef] [PubMed]
- Fauci, A.S.; Lane, H.C. Four Decades of HIV/AIDS—Much Accomplished, Much to Do. N. Engl. J. Med. 2020, 1, 383. [Google Scholar] [CrossRef] [PubMed]
- Zhao, L.M.; Pannecouque, C.; De Clercq, E.; Wang, S.; Chen, F.E. Structure-directed expasion of biphenyl-pyridone derivatives as potente non-nucleoside reverse transcriptase inhibtors with signifocantly improved potency and safety. Chin. Chem. Lett. 2023, 34, 108261. [Google Scholar] [CrossRef]
- Yang, Y.; Pannecouque, C.; De Clereq, E.; Zhuang, C.; Chen, F. Privileged scaffold inspired design of novel oxime-biphenyl-DAPYs in treatment of HIV-1. Bioorg. Chem. 2020, 99, 103825. [Google Scholar] [CrossRef]
- Chen, X.-M.; Xu, Q.; Pannecouque, C.; De Clercq, E.; Tramontano, E.; Tran, P.-T.; Wang, S.; Chen, F.-E. Halogenation-Driven Discovery of Halomethylene-Biphenyl-Diarylpyrimidines as Potent HIV-1 Non-Nucleoside Reverse Transcriptase Inhibitors with Improved Safety and PK Profiles. J. Med. Chem. 2025, 68, 15358–15371. [Google Scholar] [CrossRef]
- Ghosh, A.K.; Yu, X.; Osswald, H.L.; Agniswamy, J.; Wang, Y.F.; Amano, M.; Weber, I.T.; Mitsuya, H. Structure-based design of potente HIV-1 protease inhibtors with modiefied P1-biphenyl ligands: Synthesis, biological evaluation, and enzyme-inhibitor x-ray structural studies. J. Med. Chem. 2015, 58, 5334–5343. [Google Scholar] [CrossRef]
- Hu, Q.; Xiong, Y.; Zhu, G.H.; Zhang, Y.N.; Zhang, Y.W.; Huang, P.; Ge, G.B. The SARS-CoV-2 main protease (Mpro): Structure, function and emerging therapies for COVID-19. MedComm 2022, 3, e151. [Google Scholar] [CrossRef]
- Duan, Y.; Wang, H.; Yuan, Z.; Yang, H. Structural biology of SARS-CoV-2 Mpro and drug Discovery. Curr. Opin. Struct. Biol. 2023, 82, 102667. [Google Scholar] [CrossRef]
- Jacobs, J.; Grum-Tokars, V.; Zhou, Y.; Turlington, M.; Saldanha, S.A.; Chase, P.; Eggler, A.; Dawson, E.S.; Baez-Santos, Y.M.; Tomar, S.; et al. Discovery, synthesis, and structure-based optimization of a series of N-(tert-butyl)-2-(N-arylamido)-2-(pyridin-3-yl) acetamides (ML188) as potent noncovalent small molecule inhibitors of the severe acute respiratory syndrome coronavirus (SARS-CoV) 3CL protease. J. Med. Chem. 2013, 56, 534−546. [Google Scholar] [CrossRef]
- Kitamura, N.; Sacco, M.D.; Ma, C.; Hu, Y.; Townsend, J.A.; Meng, X.; Zhang, F.; Zhang, X.; Ba, M.; Szeto, T.; et al. Expedites Approach toward the rational design of noncovalent SARS-CoV-2 main protease inhibitors. J. Med. Chem. 2022, 65, 2848–2865. [Google Scholar] [CrossRef] [PubMed]
- Shang, L.L.; Hu, T.L.; Xiong, S.; Xu, S.; Cheng, L.P. Design and synthesis of dual-activity biphenyl inhibitors against SARS-CoV-2 and bladder cancer. Eur. J. Med. Chem. 2026, 306, 118581. [Google Scholar] [CrossRef] [PubMed]
- Kim, S.-Y.; Kim, H.; Kim, S.-W.; Lee, N.-R.; Yi, C.-M.; Heo, J.; Kim, B.-J.; Kim, N.-J.; Inn, K.-S. An Effective Antiviral Approach Targeting Hepatitis B Virus with NJK14047, a Novel and Selective Biphenyl Amide p38 Mitogen-Activated Protein Kinase Inhibitor. Antimicrob. Agents Chemother. 2017, 61, 10–1128. [Google Scholar] [CrossRef] [PubMed]
- Friedman, N.D.; Temikin, E.; Carmeli, Y. The negative impact of antibiotic resistance. Clin. Microbiol. Infect. 2016, 22, 416–422. [Google Scholar] [CrossRef]
- Hutching, M.I.; Truman, A.W.; Wilkinson, B. Antibiotics: Past, presente and future. Curr. Opin. Microbiol. 2019, 51, 72–80. [Google Scholar] [CrossRef]
- World Health Organization. Available online: https://www.who.int/news-room/fact-sheets/detail/antimicrobial-resistance (accessed on 6 January 2026).
- Wang, X.; Fu, H.Y.; He, W.; Xiang, Y.T.; Yang, Z.C.; Kuang, Y.; Yang, S.X. Synthesis and antibacterial activity evaluation of biphenyl and dibenzofuran derivatives as potential antimicrobial agente Against antibiotic-resistant bacteria. Curr. Isssus Mol. Biol. 2022, 44, 4087–4099. [Google Scholar] [CrossRef]
- World Health Organization. Available online: https://www.who.int/news-room/fact-sheets/detail/tuberculosis (accessed on 6 January 2026).
- Centers for Disease Control and Prevention. Available online: https://www.cdc.gov/tb/about/drug-resistant.html?CDC_AAref_Val=https://www.cdc.gov/tb/topic/drtb (accessed on 6 January 2026).
- Fox, G.J.; Schaaf, H.S.; Mandalakas, A.; Chiappini, E.; Zumla, A.; Marais, B.J. Preventing the spread of multidrug-resitant tuberculosis and protecting contacto f infectious cases. Clin. Mircobiology Infect. 2017, 23, 147–153. [Google Scholar] [CrossRef]
- Stelitano, G.; Sammartino, J.C.; Chiarelli, L.R. Multitargeting compaunds: A promising strategy to overcome multi-drug resistant tuberculosis. Molecules 2020, 25, 1239. [Google Scholar] [CrossRef]
- Silva, A.P.G.; Tabernero, L. New strategies in Fighting TB: Targeting Mycobacterium tuberculosis-secreted phosphatases MptpA & MptpB. Future Med. Chem. 2010, 2, 1325–1337. [Google Scholar] [CrossRef]
- Vickers, C.F.; Silva, A.P.G.; Chakraborty, A.; Fernandez, P.; Kurepina, N.; Saville, C.; Naranjo, Y.; Pons, M.; Schnettger, L.S.; Gutierrez, M.G.; et al. Structure-based design of MptpB inhibtors that redyce multidrug-resistant Mycobacterium tuberculosis survival and infection burden in vivo. J. Medicnal Chem. 2018, 61, 8337–8352. [Google Scholar] [CrossRef]
- Cheng, S.; Wang, Q.; Chen, X.; Chen, J.; Wang, B.; Chen, D.; Shen, D.; Tian, J.; Ye, F.; Lu, Y.; et al. Discovery of biphenyls bearing thiobarbiturate fragmente by structure-based strategy as Mycobacterium tuberculosis protein tyrosine phosphatase B inhibtors. Bioorg. Med. Chem. 2022, 73, 117006. [Google Scholar] [CrossRef]
- Ma, S.; Ma, S. The development of FtsZ inhibitors as potential antibacteral agentes. ChemMedChem 2012, 7, 1161–1172. [Google Scholar] [CrossRef] [PubMed]
- Hurley, K.A.; Santos, T.M.A.; Nepomuceno, G.M.; Huynh, V.; Shaw, J.T.; Weibel, D.B. Targeting the bacterial Division protein FtsZ. J. Med. Chem. 2016, 59, 6975–6998. [Google Scholar] [CrossRef] [PubMed]
- Tripathy, S.; Sahu, S.K. FtsZ inhibitors as a new general of antibacterial agentes. Bioorg. Chem. 2019, 91, 103169. [Google Scholar] [CrossRef] [PubMed]
- Li, S.; Wang, M.; Chen, S.; Ampomah-Wireko, M.; Gao, C.; Xia, Z.; Nininahazwe, L.; Qin, S.; Zhang, E. Development of biaromatic core-linked antimicrobial peptide mimics: Substituent position significantly affects antibacterial activity and hemolytic toxicity. Eur. J. Med. Chem. 2023, 247, 115029. [Google Scholar] [CrossRef]
- Jia, Q.; Zhu, Z.; Ji, R.; Yang, F.; Wang, Y.; He, D.; Si, Z.; Xing, S.; Zhang, J.; Zhou, Y. Fluorine- and Trifluoromethyl-Substituted Biphenyl Derivatives: Promising Antimicrobial Agents Targeting Escherichia coli FabH. Chem. Biodivers. 2025, 22, e202500497. [Google Scholar] [CrossRef]
- Zhang, S.; Zhang, A.; Yu, S.; Liu, Y.; Sun, B. Construction and Activity Evaluation of Biphenyl Hydroxamic Acid Dual-Target Antibacterial Inhibitor and Nanocarrier. ACS Infect. Dis. 2026, 12, 827–840. [Google Scholar] [CrossRef]
- World Health Organization. Available online: https://www.who.int/health-topics/neglected-tropical-diseases#tab=tab_1 (accessed on 6 January 2026).
- Hotez, P.J.; Aksoy, S.; Brindley, P.J.; Kamhawi, S. World neglected diseases day. PLoS Neglected Trop. Dis. 2020, 14, e0007999. [Google Scholar] [CrossRef]
- Ferreira, L.L.G.; De Moraes, J.; Andricopulo, A.D. Approaches to advance drug Discovery for neglected tropical diseases. Drug Discov. Today 2022, 27, 2278–2287. [Google Scholar] [CrossRef]
- Centers for Disease Control and Prevention. Available online: https://www.cdc.gov/chagas/?CDC_AAref_Val=https://www.cdc.gov/parasites/chagas/gen_info/detailed.html#intro (accessed on 6 January 2026).
- World Health Organization. Available online: https://www.who.int/news-room/fact-sheets/detail/chagas-disease-(american-trypanosomiasis) (accessed on 6 January 2026).
- Papadopolou, M.V.; Bloomer, W.D.; Lepesheva, G.I.; Rosenzweig, H.S.; Kaise, M.; Venegas, B.A.; Wilkinson, S.R.; Chatelain, E.; Loset, J.R. Novel 3-nitrotriazole-based amides and carbinols as bifunctional antichagasic agentes. J. Med. Chem. 2015, 58, 1307–1319. [Google Scholar] [CrossRef]
- Garcia, E.; Ochoa, R.; Vásquez, I.; Conesa-Milián, L.; Carda, M.; Yepes, A.; Vélez, I.D.; Robledo, S.M.; Cardona, G.W. Furanchalcone-biphenyl hybrids: Synthesis, in sílico studies, antitrypanossomal and cytotoxic activities. Med. Chem. Res. 2019, 28, 608–622. [Google Scholar] [CrossRef]
- World Health Organization. Available online: https://www.who.int/news-room/fact-sheets/detail/leishmaniasis (accessed on 6 January 2026).
- Roatt, B.M.; Cardoso, J.M.O.; De Britro, R.C.F.; Coura-Vital, W.; Aguiar-Soares, R.D.O.; Reis, A.B. Recent advances and new strategies on leishmaniasis treatment. Appl. Microbiol. Biotechnol. 2020, 104, 8965–8977. [Google Scholar] [CrossRef] [PubMed]
- Maatallah, I.A.; Akarid, K.; Lemrani, M. Tissue tropism: Is it an intrinsic characteristic of Leishmania species? Acta Trop. 2022, 232, 106512. [Google Scholar] [CrossRef] [PubMed]
- Schirmann, J.G.; Bortoleti, B.T.S.; Gonçalves, M.D.; Tomiotto-Pellissier, F.; Camargo, P.G.; Miranda-Sapla, M.M.; Lima, C.H.S.; Bispo, M.L.F.; Costa, I.N.; Conchon-Costa, I.; et al. In-vitro biological evaluation of 3,3′,5,5′-tetramethoxy-biphenyl-4,4′-diol and molecular docking studies on trypanothione reductase and Gp63 from Leishmania amazonensis demonstrated anti-leishmania potential. Sci. Rep. 2023, 13, 6928. [Google Scholar] [CrossRef]
- World Health Organization. Available online: https://www.who.int/news-room/fact-sheets/detail/malaria (accessed on 6 January 2026).
- Kumar, H.M.S.; Herrmann, L.; Tsogoeva, S.B. Structural hybridization as facile approach to new drug candidates. Bioorg. Med. Chem. Lett. 2020, 30, 127514. [Google Scholar] [CrossRef]
- Singh, P.; Humar, V. Special Issue “hybrid drugs: Design and applications. Pharmaceuticals 2023, 16, 1358. [Google Scholar] [CrossRef]
- Coa, C.J.; Yepes, A.; Carda, M.; Conesa-Milian, L.; Upegui, Y.; Robledo, S.M.; Cardona, G.W. Synthesis, in sílico studies, antiprotozoal and cytotoxic activities of quinoline-biphenyl hybrids. Chem. Sel. 2020, 5, 2918–2924. [Google Scholar] [CrossRef]
- Hoarau, M.; Sermmai, P.; Varatthan, T.; Thiabma, R.; Jantra, T.; Rattanajak, R.; Vitsupakorn, D.; Vanichtanankul, J.; Saepua, S.; Yuthavong, Y.; et al. Discovery of rigid biphenyl Plasmodium falciparum DHFR inhibitors using a fragment linking strategy. RSC Med. Chem. 2023, 14, 1755–1766. [Google Scholar] [CrossRef]
- Ismail, M.A.; Batista-Parra, A.; Miao, Y.; Wilson, W.D.; Wenzler, T.; Brun, R.; Boykin, D.W. Dicationic near-linear biphenyl benzimidazole derivatives as DNA-targeted antiprotozoal agents. Bioorg. Med. Chem. 2005, 13, 6718–6726. [Google Scholar] [CrossRef]
- Gao, M.; Nettles, R.E.; Belema, M.; Snyder, L.B.; Nguyen, V.N.; Fridell, R.A.; Serrano-Wu, M.H.; Langley, D.R.; Sun, J.H.; O’Boyle, D.R.; et al. Chemical genetics strategy identifies an HCV NS5A inhibitor with a picomolar EC50. Nature 2010, 465, 96–100. [Google Scholar] [CrossRef]
- Belema, M.; Meanwell, N.A. Discovery of daclatasvir, a pan-genotypic hepatitis C virus NS5A replication complex inhibitor with potent clinical effect. J. Med. Chem. 2014, 57, 5057–5071. [Google Scholar] [CrossRef]
- Zhanel, G.G.; Schweizer, F.; Karlowsky, J.A. Oritavancin: Mechanism of action, in vitro and in vivo antimicrobial activities, clinical efficacy, and safety of a novel lipoglycopeptide. Expert Rev. Anti-Infect. Ther. 2012, 10, 471–490. [Google Scholar] [CrossRef]
- Allen, N.E.; Nicas, T.I. Mechanism of action of oritavancin and related glycopeptide antibiotics. FEMS Microbiol. Rev. 2003, 26, 511–532. [Google Scholar] [CrossRef]
- Berg, D.; Regel, E.; Harenberg, H.E.; Plempel, M. Bifonazole and clotrimazole. Their mode of action and the possible reason for the fungicidal behaviour of bifonazole. Arzneimittelforschung 1984, 34, 139–146. [Google Scholar]
- Lass-Flörl, C. The emerging face of azole resistance in Aspergillus. J. Antimicrob. Chemother. 2011, 66, i19–i28. [Google Scholar] [CrossRef]







































| Compd. | R1 | R2 | R3 | C. alb. (I) | C. alb. (II) | C. trop. | C. neo. | A. fum. |
|---|---|---|---|---|---|---|---|---|
| 1i | 3,5-F | H | –CH(CH3)2 | 0.5 | 2 | 0.5 | >16 | >16 |
| 1j | 3,5-F | H | –CH2CH(CH3)2 | 0.5 | 2 | 2 | >16 | >16 |
| 1m | 2-F | H | –CH(CH3)2 | 0.5 | 0.03125 | 0.03125 | 8 | 2 |
| 1n | 2-F | H | –CH2CH(CH3)2 | 0.25 | 0.03125 | 0.03125 | >16 | 4 |
| 1o | 3-F | H | –CH(CH3)2 | 0.25 | 0.03125 | 0.03125 | >16 | 4 |
| 1p | 3-F | H | –CH2CH(CH3)2 | 0.25 | 0.03125 | 0.03125 | >16 | 8 |
| 1s | 3-F | 2-F | –CH(CH3)2 | 0.5 | 0.125 | 0.25 | >16 | >16 |
| 1t | 3-F | 2-F | –CH2CH(CH3)2 | 0.5 | 0.125 | 0.25 | >16 | >16 |
| 1u | 2-F | 2-F | CH(CH3)2 | 0.0625 | 0.03125 | 0.03125 | 8 | >16 |
| 1v | 2-F | 2-F | –CH2CH(CH3)2 | 0.25 | 0.0625 | 0.0625 | >16 | >16 |
| FCZ | - | - | - | 0.5 | 1 | 1 | 4 | >16 |
| ITZ | - | - | - | 0.0625 | 0.25 | 0.5 | 1 | 4 |
| Compd. | R1 | R2 | R3 | C. albicans strain 100 | C. albicans strain 300 |
|---|---|---|---|---|---|
| 1m | 2-F | H | –CH(CH3)2 | 8 | 2 |
| 1o | 3-F | H | –CH(CH3)2 | 16 | 4 |
| 1u | 2-F | 2-F | CH(CH3)2 | 16 | 2 |
| 1v | 2-F | 2-F | –CH2CH(CH3)2 | 8 | 4 |
| Fluconazol | - | - | - | >64 | >64 |
| Lead Chemotype Modification | Susceptible Fungal Species | Primary Mechanism | Key Structural, SAR & Toxicological Attributes |
|---|---|---|---|
![]() Biphenyl-Imidazole Derivatives | Candida spp., Cryptococcus spp. | CYP51 Inhibition | Ortho-fluorination on the biphenyl core induces an optimal dihedral twist, significantly enhancing binding affinity to the mutant CYP51 pocket and overcoming fluconazole resistance. |
![]() Triazole/Dihydrooxazole-Biphenyl Hybrids | Candida spp. | CYP51 Inhibition | Scaffold hopping (imidazole to triazole) combined with electro-reductive groups improves metabolic stability (shielding against Phase I oxidation) while maintaining sub-microgram MICs. |
![]() Phytoalexin-Inspired Biphenyls (Noraucuparin derivatives) | Broad-spectrum | Cell Membrane Disruption | Systematic hydroxyl/halogen substitution on the dual benzene rings increases potency up to 256-fold over the natural parent compound, acting as a highly efficient lipophilic membrane anchor with a favorable mammalian safety profile. |
![]() Positional Isomers of Biphenyl Peptidomimetics | Candida albicans | Membrane Permeabilization | The 2,2′-disubstitution pattern strictly modulates the amphiphilic topology. The 4,4′-substitution pattern is specifically optimal against C. albicans (MIC = 1 µg/mL), demonstrating how the biphenyl core directs the spatial vector of lipophilic/hydrophilic domains. |
![]() Clubbed 1,1′-Biphenyl-Pyrazole Derivatives | Candida spp., Aspergillus spp. | CYP51 Inhibition | 4′-substitutions on the biphenyl ring (e.g., hydroxyl or alkoxy amino-alcohol groups) optimize the coordination of the pyrazole nitrogen with the CYP51 heme iron. Strict structural tuning yields potent antifungal activity while preserving low cytotoxicity in mammalian cells. |
![]() N,N′-Diaryl-bishydrazones | Broad-spectrum (Yeasts and Filamentous Fungi) | Fungistatic | Symmetrical 4,4′- vs. unsymmetrical 3,4′-biphenyl pattern dictates potency depending on alkyl substituents. Alkoxy-aryl modifications completely eliminate hERG channel toxicity and maintain excellent mammalian cell viability. |
![]() 3-Biphenyl-3H-imidazo[1,2-a]azepines | C. albicans, C. neoformans | Target unconfirmed | The biphenyl core must be fused to a 7-membered azepine ring; replacing it with 6-membered rings abolishes activity. Potent antifungal effects are noted, but inherent mammalian cytotoxicity (low CC50 values) necessitates further structural optimization. |
| Structural Modification/Chemotype | Primary Pathogen Target | Key SAR & Conformational Impact | In Vivo Efficacy & Pharmacokinetics |
|---|---|---|---|
![]() Ortho-Fluorinated Imidazole-Biphenyls | Candida albicans/CYP51 | Ortho-fluorination restricts the dihedral angle for optimal CYP51 fit; active against fluconazole-resistant strains. | Favorable cytotoxicity profile (IC50 < 50 µM in mammalian cells); low CYP inhibition. |
![]() Triazole-Biphenyls with Electro-reductive Groups | C. albicans, C. tropicalis | Scaffold hopping (imidazole to triazole) combined with electronic modification of the biphenyl reduces susceptibility to Phase I oxidation. | Exceptional metabolic stability; human liver microsomal half-life increased to >145 min. |
![]() Halogenated Biphenyl Pentanamides | C. albicans, C. neoformans | Terminal meta/para dichlorination enhances lipid bilayer penetration and provides metabolic shielding. | Demonstrated robust in vivo fungicidal efficacy and systemic clearance in murine subcutaneous infection models. |
| EC50 (mmol/L) | IC50 (µmol/L) | |||||||
|---|---|---|---|---|---|---|---|---|
| Compd. | L100I | K103N | Y181C | Y188L | E138K | F227L + V106A | K103N + Y181C | WT RT |
| 19a | 0.021 ± 0.015 | 0.016 ± 0.0071 | 0.047 ± 0.019 | 0.083 ± 0.015 | 0.038 ± 0.014 | 34.30 ± 4.12 | 0.074 ± 0.03 | 0.10 ± 0.017 |
| 19b | 0.016 ± 0.0043 | 0.018 ± 0.0048 | 0.083 ± 0.015 | 0.45 ± 0.059 | 0.031 ± 0.016 | 30.84 ± 5.86 | 0.289 ± 0.15 | 0.045 ± 0.0058 |
| 19c | 0.072 ± 0.0082 | 0.040 ± 0.016 | 0.14 ± 0.060 | 0.99 ± 0.28 | 0.052 ± 0.0096 | >35 | 0.91 ± 0.25 | 0.077 ± 0.012 |
| 17 | 5.30 ± 1.49 | 7.78 ± 1.97 | 5.54 ± 1.45 | 104.24 ± 81.14 | 4.51 ± 0.37 | >35 | 114.62 ± 58.88 | 3.21 ± 0.80 |
| DOR | 0.0066 ± 0.0017 | 0.042 ± 0.0013 | 0.025 ± 0.0023 | 0.50 ± 0.15 | 0.0075 ± 0.0026 | 17.35 ± 6.99 | 0.142 ± 0.0569 | 0.044 ± 0.005 |
| Inhibitor | Ki (nM) | IC50 (µM) |
|---|---|---|
| 23a | 0.82 | >1 |
| 23b | 18 | >1 |
| 23c | 92.8 | >1 |
| 23d | 48.8 | >1 |
| 24a | 0.58 | 0.180 |
| 24b | 1.53 | 0.381 |
| 24c | 0.63 | >1 |
| 25a | 0.014 | 0.005 |
| 25b | 0.65 | 0.056 |
| 25c | 0.014 | 0.005 |
| 25d | 0.025 | 0.024 |
| 25e | 0.012 | 0.003 |
| Darunavir | 0.016 | 0.003 |
| EC50 ± SD (µM) | |||
|---|---|---|---|
| Virus | Aprenavir | Darunavir | 25e |
| HIV-l104pre(wt) | 0.037 ± 0.0003 | 0.0035 ± 0.0004 | 0.0048 ± 0.0002 |
| HIV-IMDR/B | 0.044 ± 0.13 (12) | 0.028 ± 0.006 (8) | 0.036 ± 0.003 (8) |
| HIV-lMDR/C | 0.38 ± 0.11 (10) | 0.028 ± 0.006 (8) | 0.0029 ± 0.0002 (1) |
| HIV-IMDR/G | 0.398 ± 0.009 (11) | 0.023 ± 0.001 (7) | 0.0047 ± 0.0007 (1) |
| Lead Chemotype/Modification | Viral Target | Conformational & SAR Rationale | Preclinical/Clinical Profile |
|---|---|---|---|
![]() Oxime-Biphenyl-DAPYs & Pyridones | HIV-1 RT (WT and Mutants) | Ortho-substitutions widen the dihedral angle to dynamically fill hydrophobic RT sub-pockets; halogens increase electronic affinity. | High Selectivity Index (>24,000). Exceptionally low cytotoxicity in MT-4 cells. |
![]() Halomethylene-Biphenyl-DAPYs | HIV-1 RT (Metabolic Shielding) | Halogenation of the linker restricts torsional flexibility into a “horseshoe” shape and bioisosterically protects against metabolic oxidation. | Significantly improved PK profiles (F = 49.5%) and high in vivo safety (LD50 > 2 g/kg). |
![]() Biphenyl-substituted Darunavir analogs | HIV-1 Protease (MDR strains) | The extended biphenyl framework replaces the benzyl ring to maximize van der Waals contacts in the mutated S1′ subsite. | Sub-nanomolar enzymatic inhibition (Ki = 0.012 nM) across multidrug-resistant HIV-1 variants. |
![]() Dual-Activity Biphenyls | SARS-CoV-2 Mpro (3CLpro) | The inclusion of an additional phenyl ring doubles the biphenyl topology, allowing the extended hydrophobic core to deeply penetrate the S4 pocket while maximizing electrostatic interactions via halogenation. | Potent 3CLpro enzymatic inhibition (IC50 = 0.15 µM), strong cellular antiviral activity, and dual anti-bladder cancer efficacy. |
![]() Biphenyl-based p38 MAPK Inhibitor | Hepatitis B Virus (HBV) | The strict biphenyl wedges selectively into the host kinase allosteric hydrophobic pocket, inhibiting virus-induced host signaling. | High barrier to resistance (host-directed therapy) and minimal cytotoxicity in mammalian models. |
| Lead Chemotype/Modification | Target Mechanism & Primary Pathogen | Key Biphenyl SAR Contribution & Conformational Impact | Preclinical/In Vivo Profile |
|---|---|---|---|
![]() Polyhydroxylated Biphenyl Phytoalexins | Bacterial Membrane Disruption (MRSA, E. faecalis) | Strong electron-withdrawing A-ring (-CF3) combined with B-ring polyhydroxylation provides an optimal push-pull electronic distribution. | High translation potential against entrenched Gram-positive resistance. |
![]() Biphenyl Benzamides | Cell Division—FtsZ Inhibition (B. subtilis, MRSA) | Scaffold hopping from benzene to a strict biphenyl exponentially increases target affinity; functions as a highly selective bactericidal agent. | Exceptional in vitro selectivity; no cytotoxicity in mammalian Vero cells. |
![]() Biaromatic Core-Linked Quaternary Ammoniums | Bacterial Membrane Disruption (MRSA) | The 3,3′-biphenyl linkage acts as a rigid spacer preventing hydrophobic collapse, ensuring selective binding to PG/CL. | High stability in human plasma and exceptionally low hemolytic toxicity. |
![]() Biphenyl-Imidazo[1,2-a]azepines | Lipophilic Pathogen Targeting (MRSA) | A bulky biphenyl substituent at position 3 provides essential hydrophobic contacts; strictly demands a 7-membered azepine ring. | Exhibits minimal hemolysis of human erythrocytes. |
![]() Positional Isomers of Biphenyl Peptidomimetics | Outer Membrane Penetration (P. aeruginosa, E. coli) | The 3,2′-disubstitution topologically optimizes facial amphiphilicity to overcome Gram-negative outer barriers compared to 2,2′-isomers. | Significant reduction in mammalian cell hemolysis. |
![]() Thiobarbiturate-Biphenyls (e.g., Dichlorophenol derivative) | Virulence Factor—MptpB Inhibition (M. tuberculosis) | Halogenation (Cl, CF3O) on the biphenyl ring enhances target engagement within the P1 pocket of MptpB in the host cytoplasm. | IC50 = 1.18 µM; targets intracellular virulence without inducing Vero cell cytotoxicity. |
![]() F- and CF3-Substituted Biphenyls | Type II Fatty Acid Synthesis—FabH Inhibition (E. coli, S. aureus) | Ortho/meta bis-fluorination restricts dihedral rotation for an exact fit within the FabH active site, enhancing affinity and stability. | IC50 = 4.1 µM against FabH; broad-spectrum activity with minimal in vitro cytotoxicity. |
![]() Biphenyl-Pyrazoles | Lipophilic Pathogen Penetration (P. mirabilis) | Tethering the 1,1′-biphenyl system at the 1- or 5-position of the pyrazole core maximizes lipophilicity for Gram-negative bacilli penetration. | MIC = 15.62 µg/mL against P. mirabilis; significant inhibition of biosynthetic pathways. |
![]() Biphenyl Hydroxamic Acid Hybrids | LpxC/PD-L1 Dual Inhibition (K. pneumoniae, P. aeruginosa) | A strict biphenyl PD-L1 dimerizer is fused with an LpxC-targeting hydroxamic acid, halting LPS synthesis and restoring host immunity. | Elicited a 100% survival rate with zero adverse systemic events in murine in vivo models. |
| Compound | Cytotoxicity LC50 µM (U-937 Cells) | Antitrypanosomal Activity EC50 µM | SI |
|---|---|---|---|
| 62a | 16.34 ± 0.12 | 17.81 ± 0.75 | 0.92 |
| 62b | 15.82 ± 0.15 | 13.59 ± 1.23 | 1.16 |
| 62c | 15.81 ± 0.39 | 15.61 ± 1.71 | 1.01 |
| 62d | 16.04 ± 0.26 | 15.71 ± 1.86 | 1.02 |
| 63a | 18.99 ± 0.98 | 18.15 ± 0.54 | 1.05 |
| 63b | 19.44 ± 1.40 | 16.79 ± 2.28 | 1.16 |
| 63c | 15.65 ± 0.17 | 15.53 ± 1.85 | 1.01 |
| 63d | 15.61 ± 0.32 | 12.59 ± 1.01 | 1.24 |
| 63e | 15.74 ± 0.23 | 10.52 ± 0.23 | 1.50 |
| 63f | 17.77 ± 0.46 | 13.42 ± 0.39 | 1.32 |
| 63h | 17.54 ± 0.22 | 30.41 ± 5.46 | 0.58 |
| BNZ | 687.80 ± 16.14 | 40.3 ± 6.92 | 17.0 |
| Lead Chemotype | Pathogen | Role of the Strict Biphenyl Core (SAR Insight) | Pharmacological Outcome & Pharmacokinetic/Toxicity Limitations |
|---|---|---|---|
![]() ![]() Nitroreductase/CYP51 inhibitors & Furanochalcone hybrids | Trypanosoma cruzi & T. brucei | Replaces simple/difluorobenzenes to vastly improve the spatial fit within deep hydrophobic enzymatic active sites. Promotes macrophage penetration. | Exceeds the efficacy of clinical standards (e.g., benznidazole) against intracellular amastigotes. However, highly lipophilic derivatives exhibited moderate cytotoxicity (low Selectivity Index). |
![]() TMBP (Tetramethoxy-biphenyl-diol) | Leishmania amazonensis | The polyoxygenated, sterically hindered biphenyl scaffold actively localizes to the mitochondria, inducing severe reactive oxygen species (ROS) generation. | Triggers direct protozoal apoptosis. Demonstrates a high Selectivity Index and proves to be non-hemolytic to mammalian erythrocytes. |
![]() Quinoline-biphenyl hybrids | Plasmodium falciparum (WT and Drug-Resistant strains) | The rigid biphenyl acts as a highly lipophilic bridge linking dual pharmacophores, improving binding affinity to multiple targets simultaneously (hybridization strategy). | Produces broad-spectrum antiprotozoal activity. Modest aqueous solubility requires careful formulation or further structural functionalization. |
![]() 2,4-Diaminopyrimidine-biphenyl carboxylates | Plasmodium falciparum (QM Pyrimethamine-Resistant) | Provides severe conformational restriction. The scaffold acts as a precise geometric vector to anchor the drug into the PABA pocket, while stabilizing against CYP450 metabolism. | Sub-nanomolar enzymatic inhibition and excellent metabolic stability. Limitation: The profound rigidity and lipophilicity severely reduce kinetic solubility at physiological pH, causing a massive gap between enzymatic affinity and cellular efficacy. |
![]() Dicationic biphenyl benzimidazole diamidines | Trypanosoma brucei rhodesiense | The linear 4,4′-biphenyl axis acts as a rigid spacer, perfectly aligning terminal dicationic groups to selectively target the minor groove of kinetoplast AT-rich DNA. | Exceptional in vivo translation. Achieved sterile cures in murine models at extremely low doses (0.20 mg/kg). |
Disclaimer/Publisher’s Note: The statements, opinions and data contained in all publications are solely those of the individual author(s) and contributor(s) and not of MDPI and/or the editor(s). MDPI and/or the editor(s) disclaim responsibility for any injury to people or property resulting from any ideas, methods, instructions or products referred to in the content. |
© 2026 by the authors. Licensee MDPI, Basel, Switzerland. This article is an open access article distributed under the terms and conditions of the Creative Commons Attribution (CC BY) license.
Share and Cite
Gandi, M.O.; França, R.R.F.; Castelo-Branco, F.S.; Boechat, N. Biphenyl as a Privileged Structure in Medicinal Chemistry: Advances in Anti-Infective Drug Discovery. Molecules 2026, 31, 1109. https://doi.org/10.3390/molecules31071109
Gandi MO, França RRF, Castelo-Branco FS, Boechat N. Biphenyl as a Privileged Structure in Medicinal Chemistry: Advances in Anti-Infective Drug Discovery. Molecules. 2026; 31(7):1109. https://doi.org/10.3390/molecules31071109
Chicago/Turabian StyleGandi, Marilia Oliva, Rodolfo Rodrigo Florido França, Frederico Silva Castelo-Branco, and Nubia Boechat. 2026. "Biphenyl as a Privileged Structure in Medicinal Chemistry: Advances in Anti-Infective Drug Discovery" Molecules 31, no. 7: 1109. https://doi.org/10.3390/molecules31071109
APA StyleGandi, M. O., França, R. R. F., Castelo-Branco, F. S., & Boechat, N. (2026). Biphenyl as a Privileged Structure in Medicinal Chemistry: Advances in Anti-Infective Drug Discovery. Molecules, 31(7), 1109. https://doi.org/10.3390/molecules31071109































