Paracetamol Removal from Aqueous Media Through Fenton Reaction Using ZSM-5 Zeolite Produced from Fly Ash
Abstract
1. Introduction
2. Results
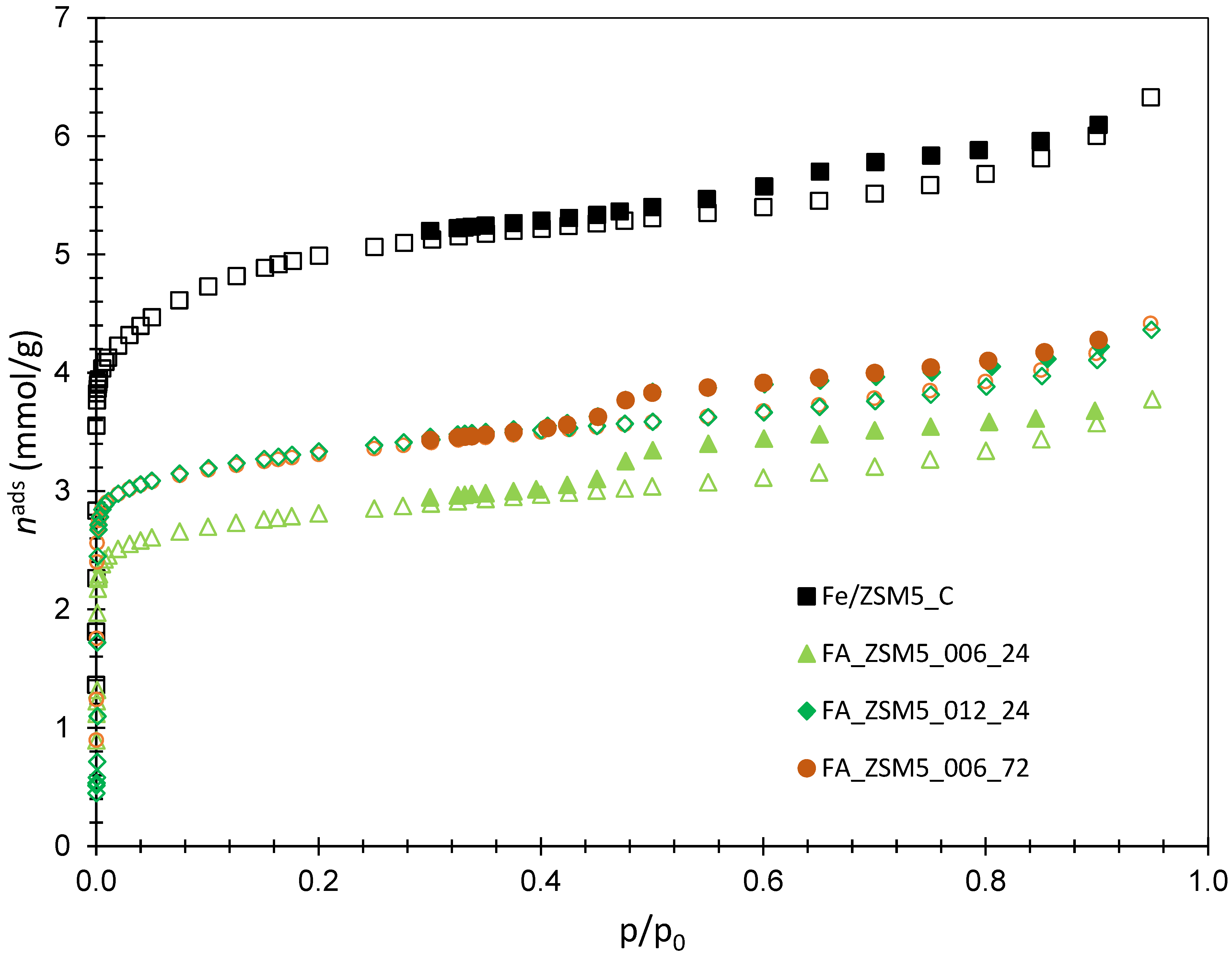
2.1. Materials Characterization
2.2. Catalytic Tests and Kinetic Studies
2.3. pH Effect on PA Degradation
2.4. Regeneration Studies
3. Materials and Methods
3.1. Catalysts Preparation
3.2. Physicochemical Characterization
3.3. Catalytic Tests
4. Conclusions
Author Contributions
Funding
Institutional Review Board Statement
Informed Consent Statement
Data Availability Statement
Conflicts of Interest
References
- Ferreira, I.A.; Carreira, T.G.; Diório, A.; Bergamasco, R.; Vieira, M.F. Occurrence and Removal of Pharmaceuticals from Water Using Modified Zeolites: A Review. Desalin. Water Treat. 2023, 302, 171–183. [Google Scholar] [CrossRef]
- Całus-Makowska, K.; Dziubińska, J.; Grosser, A.; Grobelak, A. Application of the Fenton and Photo-Fenton Processes in Pharmaceutical Removal: New Perspectives in Environmental Protection. Desalin. Water Treat. 2025, 321, 100949. [Google Scholar] [CrossRef]
- Pacheco-Álvarez, M.; Picos Benítez, R.; Rodríguez-Narváez, O.M.; Brillas, E.; Peralta-Hernández, J.M. A Critical Review on Paracetamol Removal from Different Aqueous Matrices by Fenton and Fenton-Based Processes, and Their Combined Methods. Chemosphere 2022, 303, 134883. [Google Scholar] [CrossRef] [PubMed]
- Nogueira, A.F.; Pinto, G.; Correia, B.; Nunes, B. Embryonic Development, Locomotor Behavior, Biochemical, and Epigenetic Effects of the Pharmaceutical Drugs Paracetamol and Ciprofloxacin in Larvae and Embryos of Danio Rerio When Exposed to Environmental Realistic Levels of Both Drugs. Environ. Toxicol. 2019, 34, 1177–1190. [Google Scholar] [CrossRef] [PubMed]
- Zhang, L.; Yin, X.; Li, S.F.Y. Bio-Electrochemical Degradation of Paracetamol in a Microbial Fuel Cell-Fenton System. Chem. Eng. J. 2015, 276, 185–192. [Google Scholar] [CrossRef]
- Villota, N.; Lomas, J.M.; Camarero, L.M. Study of the Paracetamol Degradation Pathway That Generates Color and Turbidity in Oxidized Wastewaters by Photo-Fenton Technology. J. Photochem. Photobiol. Chem. 2016, 329, 113–119. [Google Scholar] [CrossRef]
- Velichkova, F.; Delmas, H.; Julcour, C.; Koumanova, B. Heterogeneous Fenton and Photo-fenton Oxidation for Paracetamol Removal Using Iron Containing ZSM-5 Zeolite as Catalyst. AIChE J. 2017, 63, 669–679. [Google Scholar] [CrossRef]
- Mai, N.L.; Ambauen, N.; Hallé, C.; Meyn, T.; Trinh, T.T. Initial Degradation Mechanism of Salicylic Acid via Electrochemical Process. Chem. Phys. 2021, 543, 111071. [Google Scholar] [CrossRef]
- Klavarioti, M.; Mantzavinos, D.; Kassinos, D. Removal of Residual Pharmaceuticals from Aqueous Systems by Advanced Oxidation Processes. Environ. Int. 2009, 35, 402–417. [Google Scholar] [CrossRef]
- Li, N.; He, X.; Ye, J.; Dai, H.; Peng, W.; Cheng, Z.; Yan, B.; Chen, G.; Wang, S. H2O2 Activation and Contaminants Removal in Heterogeneous Fenton-like Systems. J. Hazard. Mater. 2023, 458, 131926. [Google Scholar] [CrossRef]
- Ganiyu, S.O.; Zhou, M.; Martínez-Huitle, C.A. Heterogeneous Electro-Fenton and Photoelectro-Fenton Processes: A Critical Review of Fundamental Principles and Application for Water/Wastewater Treatment. Appl. Catal. B Environ. 2018, 235, 103–129. [Google Scholar] [CrossRef]
- Domergue, L.; Georgi, A.; Schierz, A.; Cimetière, N.; Giraudet, S.; Hauchard, D. Regeneration of the Adsorption Properties of Hydrophobic Zeolites for the Treatment of Diclofenac by Fenton-like Process: Influence of Fenton Catalyst Location. Sep. Purif. Technol. 2025, 379, 134557. [Google Scholar] [CrossRef]
- Azusano, I.P.I.; Caparanga, A.R.; Chen, B.H. Degradation of Ketoprofen Using Iron-Supported ZSM-5 Catalyst via Heterogeneous Fenton Oxidation. IOP Conf. Ser. Earth Environ. Sci. 2020, 612, 012048. [Google Scholar] [CrossRef]
- Carvalho, A.P.; Costa, J.; Martins, A.; Fonseca, A.M.; Neves, I.C.; Nunes, N. Zeolite Modification for Optimizing Fenton Reaction in Methylene Blue Dye Degradation. Colorants 2025, 4, 10. [Google Scholar] [CrossRef]
- Adityosulindro, S.; Julcour, C.; Barthe, L. Heterogeneous Fenton Oxidation Using Fe-ZSM5 Catalyst for Removal of Ibuprofen in Wastewater. J. Environ. Chem. Eng. 2018, 6, 5920–5928. [Google Scholar] [CrossRef]
- Yao, Z.T.; Ji, X.S.; Sarker, P.K.; Tang, J.H.; Ge, L.Q.; Xia, M.S.; Xi, Y.Q. A Comprehensive Review on the Applications of Coal Fly Ash. Earth-Sci. Rev. 2015, 141, 105–121. [Google Scholar] [CrossRef]
- Gollakota, A.R.K.; Volli, V.; Shu, C.M. Progressive Utilisation Prospects of Coal Fly Ash: A Review. Sci. Total Environ. 2019, 672, 951–989. [Google Scholar] [CrossRef] [PubMed]
- Vassilev, S.V.; Vassileva, C.G. Methods for Characterization of Composition of Fly Ashes from Coal-Fired Power Stations: A Critical Overview. Energy Fuels 2005, 19, 1084–1098. [Google Scholar] [CrossRef]
- Anand Rao, K.; Serajuddin, M.; RamaDevi, G.; Thakurta, S.G.; Sreenivas, T. On the Characterization and Leaching of Rare Earths from a Coal Fly Ash of Indian Origin. Sep. Sci. Technol. 2020, 56, 541–557. [Google Scholar] [CrossRef]
- Taggart, R.K.; Rivera, N.A.; Levard, C.; Ambrosi, J.-P.; Borschneck, D.; Hower, J.C.; Hsu-Kim, H. Differences in Bulk and Microscale Yttrium Speciation in Coal Combustion Fly Ash. Environ. Sci. Process. Impacts 2018, 20, 1390–1403. [Google Scholar] [CrossRef]
- Feng, W.; Wan, Z.; Daniels, J.; Li, Z.; Xiao, G.; Yu, J.; Xu, D.; Guo, H.; Zhang, D.; May, E.F.; et al. Synthesis of High Quality Zeolites from Coal Fly Ash: Mobility of Hazardous Elements and Environmental Applications. J. Clean. Prod. 2018, 202, 390–400. [Google Scholar] [CrossRef]
- Zhang, W.; Zhang, T.; Lv, Y.; Jing, T.; Gao, X.; Gu, Z.; Li, S.; Ao, H.; Fang, D. Recent Progress on the Synthesis and Applications of Zeolites from Industrial Solid Wastes. Catalysts 2024, 14, 734. [Google Scholar] [CrossRef]
- Ndlovu, N.Z.N.; Ameh, A.E.; Petrik, L.F.; Ojumu, T.V. Synthesis and Characterisation of Pure Phase ZSM-5 and Sodalite Zeolites from Coal Fly Ash. Mater. Today Commun. 2023, 34, 105436. [Google Scholar] [CrossRef]
- Lee, Y.-R.; Soe, J.T.; Zhang, S.; Ahn, J.-W.; Park, M.B.; Ahn, W.-S. Synthesis of Nanoporous Materials via Recycling Coal Fly Ash and Other Solid Wastes: A Mini Review. Chem. Eng. J. 2017, 317, 821–843. [Google Scholar] [CrossRef]
- Jha, B.; Singh, D.N. Applications of Fly Ash Zeolites: Case Studies. In Fly Ash Zeolites; Advanced Structured Materials; Springer: Singapore, 2016; Volume 78, pp. 191–202. ISBN 978-981-10-1402-4. [Google Scholar]
- Mlonka-Mędrala, A. Recent Findings on Fly Ash-Derived Zeolite Synthesis and Utilization According to Circular Economy Concept. Energies 2023, 16, 6593. [Google Scholar] [CrossRef]
- Da Silva, L.T.V.; De Freitas, A.D.L.; De Gois Martins, T.; De Morais França, A.M.; Loiola, A.R.; Do Nascimento, R.F. Comparative Study on the Performance of Two Synthetic Zeolite 4A on the Removal of Heavy Metals from Aqueous Solution—Effect of Coal Fly Ash as Al and Si Source. Desalin. Water Treat. 2023, 310, 157–166. [Google Scholar] [CrossRef]
- Gui, L.; Zhang, Z.; Sun, K.; Shi, X.; Liang, S.; Duan, H.; Yang, Z.; Yuan, S.; Guo, L.; Xu, J.; et al. Recycling of Fly Ash to Synthesize Zeolites for Efficient Removal of Dioxins. J. Environ. Chem. Eng. 2024, 12, 112970. [Google Scholar] [CrossRef]
- Liu, Y.; Zhao, Z.-W.; Zhang, C.; Jiao, W.-Z.; Liu, Y.-Z. Synthesis of Zeolite X from Fly Ash in an Impinging Stream Reactor and Its Mechanisms. Chem. Eng. Sci. 2024, 294, 120123. [Google Scholar] [CrossRef]
- Vichaphund, S.; Aht-Ong, D.; Sricharoenchaikul, V.; Atong, D. Characteristic of Fly Ash Derived-Zeolite and Its Catalytic Performance for Fast Pyrolysis of Jatropha Waste. Environ. Technol. 2014, 35, 2254–2261. [Google Scholar] [CrossRef]
- Andola, S.C.; Singh, K.; Bhati, K.; Singh, G.; Malik, R. Valorization of Coal Fly Ash into Zeolite Y Catalyst for Enhanced Glucose to 5-Hydroxymethylfurfural Conversion. ACS Sustain. Resour. Manag. 2025, 2, 2416–2429. [Google Scholar] [CrossRef]
- Zhao, Y.; Gu, S.; Li, L.; Wang, M. From Waste to Catalyst: Growth Mechanisms of ZSM-5 Zeolite from Coal Fly Ash & Rice Husk Ash and Its Performance as Catalyst for Tetracycline Degradation in Fenton-like Oxidation. Environ. Pollut. 2024, 345, 123509. [Google Scholar] [CrossRef]
- Rosa, T.; Martins, A.; Santos, M.; Trindade, T.; Nunes, N. Coal Fly Ash Waste, a Low-Cost Adsorbent for the Removal of Mordant Orange Dye from Aqueous Media. J. Braz. Chem. Soc. 2021, 32, 2245–2256. [Google Scholar] [CrossRef]
- Mi, X.; Hou, Z.; Li, X. Controllable Synthesis of Nanoscaled ZSM-5 Aggregates with Multivariate Channel under the Synergistic Effect of Silicate-1 and TPABr Using Dual-Silica Source. Microporous Mesoporous Mater. 2021, 323, 111224. [Google Scholar] [CrossRef]
- ASTM D5758-01; Standard Test Method for Determination of Relative Crystallinity of Zeolite ZSM-5 by X-Ray Diffraction 2021. ASTM International: West Conshohocken, PA, USA, 2021.
- Khivantsev, K.; Jaegers, N.R.; Kovarik, L.; Derewinski, M.A.; Kwak, J.-H.; Szanyi, J. On the Nature of Extra-Framework Aluminum Species and Improved Catalytic Properties in Steamed Zeolites. Molecules 2022, 27, 2352. [Google Scholar] [CrossRef]
- Thommes, M.; Kaneko, K.; Neimark, A.V.; Olivier, J.P.; Rodriguez-reinoso, F.; Rouquerol, J.; Sing, K.S.W. Physisorption of Gases, with Special Reference to the Evaluation of Surface Area and Pore Size Distribution (IUPAC Technical Report). Pure Appl. Chem. 2015, 87, 1051–1069. [Google Scholar] [CrossRef]
- Gregg, S.J.; Sing, K.S.W. Adsorption, Surface Area and Porosity, 2nd ed.; Academic Press: London, UK, 1982; ISBN 0-12-300956-1. [Google Scholar]
- Kowalik, P.; Mikulski, J.; Borodziuk, A.; Duda, M.; Kamińska, I.; Zajdel, K.; Rybusinski, J.; Szczytko, J.; Wojciechowski, T.; Sobczak, K.; et al. Yttrium-Doped Iron Oxide Nanoparticles for Magnetic Hyperthermia Applications. J. Phys. Chem. C 2020, 124, 6871–6883. [Google Scholar] [CrossRef] [PubMed]
- Martins, A.; Silva, J.M.M.; Ribeiro, M.F.F. Influence of Rare Earth Elements on the Acid and Metal Sites of Pt/HBEA Catalyst for Short Chain n-Alkane Hydroisomerization. Appl. Catal. Gen. 2013, 466, 293–299. [Google Scholar] [CrossRef]
- Munoz, M.; De Pedro, Z.M.; Casas, J.A.; Rodriguez, J.J. Preparation of Magnetite-Based Catalysts and Their Application in Heterogeneous Fenton Oxidation—A Review. Appl. Catal. B Environ. 2015, 176–177, 249–265. [Google Scholar] [CrossRef]
- Phan, T.T.N.; Nikoloski, A.N.; Bahri, P.A.; Li, D. Adsorption and Photo-Fenton Catalytic Degradation of Organic Dyes over Crystalline LaFeO3-Doped Porous Silica. RSC Adv. 2018, 8, 36181–36190. [Google Scholar] [CrossRef] [PubMed]
- Chen, Y.; Cheng, Y.; Guan, X.; Liu, Y.; Nie, J.; Li, C. A Rapid Fenton Treatment of Bio-Treated Dyeing and Finishing Wastewater at Second-Scale Intervals: Kinetics by Stopped-Flow Technique and Application in a Full-Scale Plant. Sci. Rep. 2019, 9, 9689. [Google Scholar] [CrossRef]
- Raheb, I.; Manlla, M.S. Kinetic and Thermodynamic Studies of the Degradation of Methylene Blue by Photo-Fenton Reaction. Heliyon 2021, 7, e07427. [Google Scholar] [CrossRef]
- Van, H.T.; Nguyen, L.H.; Hoang, T.K.; Nguyen, T.T.; Tran, T.N.H.; Nguyen, T.B.H.; Vu, X.H.; Pham, M.T.; Tran, T.P.; Pham, T.T.; et al. Heterogeneous Fenton Oxidation of Paracetamol in Aqueous Solution Using Iron Slag as a Catalyst: Degradation Mechanisms and Kinetics. Environ. Technol. Innov. 2020, 18, 100670. [Google Scholar] [CrossRef]
- Galhetas, M.; Mestre, A.S.; Pinto, M.L.; Gulyurtlu, I.; Lopes, H.; Carvalho, A.P. Carbon-Based Materials Prepared from Pine Gasification Residues for Acetaminophen Adsorption. Chem. Eng. J. 2014, 240, 344–351. [Google Scholar] [CrossRef]
- Nematollahi, D.; Shayani-Jam, H.; Alimoradi, M.; Niroomand, S. Electrochemical Oxidation of Acetaminophen in Aqueous Solutions: Kinetic Evaluation of Hydrolysis, Hydroxylation and Dimerization Processes. Electrochim. Acta 2009, 54, 7407–7415. [Google Scholar] [CrossRef]
- Baerlocher, C.; Meier, W.M.; Olson, D.H. Atlas of Zeolite Framework Types, 5th ed.; Elsevier: Amsterdam, The Netherlands, 2001; ISBN 0-444-50701-9. [Google Scholar]
- Vogt, E.T.C.; Weckhuysen, B.M. Fluid Catalytic Cracking: Recent Developments on the Grand Old Lady of Zeolite Catalysis. Chem. Soc. Rev. 2015, 44, 7342–7370. [Google Scholar] [CrossRef] [PubMed]
- Batool, S.R.; Sushkevich, V.L.; Van Bokhoven, J.A. Correlating Lewis Acid Activity to Extra-Framework Aluminum Species in Zeolite Y Introduced by Ion-Exchange. J. Catal. 2022, 408, 24–35. [Google Scholar] [CrossRef]
- Wang, Y.; Ye, Q.; Xu, X.; Dhmees, A.S.; Cui, X. Effect of Yttrium on Ce/Ni-Metakaolin Catalysts for CO2 Methanation. Molecules 2023, 28, 7079. [Google Scholar] [CrossRef]
- Zhang, N.; Tsang, E.P.; Chen, J.; Fang, Z.; Zhao, D. Critical Role of Oxygen Vacancies in Heterogeneous Fenton Oxidation over Ceria-Based Catalysts. J. Colloid Interface Sci. 2020, 558, 163–172. [Google Scholar] [CrossRef]
- Li, H.; Shang, J.; Yang, Z.; Shen, W.; Ai, Z.; Zhang, L. Oxygen Vacancy Associated Surface Fenton Chemistry: Surface Structure Dependent Hydroxyl Radicals Generation and Substrate Dependent Reactivity. Environ. Sci. Technol. 2017, 51, 5685–5694. [Google Scholar] [CrossRef]
- Zhu, X.; Li, H.; Shang, X.; He, T. Fe-Cu Binary Oxide Loaded Zeolite as Heterogeneous Fenton Catalyst for Degradation of Carbamazepine at near-Neutral pH. Environ. Sci. Pollut. Res. 2022, 29, 73181–73190. [Google Scholar] [CrossRef]
- Hassan, H.; Hameed, B.H. Fe-Natural Zeolite as Highly Active Heterogeneous Catalyst in Decolorization of Reactive Blue 4. Int. J. Environ. Sci. Dev. 2020, 11, 133–137. [Google Scholar] [CrossRef]
- Liu, Y.; Hu, P.; Wang, H. Computationally Revisiting pH- and Ligand-Dependence of Fenton Reaction Selectivity and Activity in Aqueous Solution. Phys. Chem. Chem. Phys. 2025, 27, 12929–12937. [Google Scholar] [CrossRef]
- Cai, H.; Li, X.; Ma, D.; Feng, Q.; Wang, D.; Liu, Z.; Wei, X.; Chen, K.; Lin, H.; Qin, S.; et al. Stable Fe3O4 Submicrospheres with SiO2 Coating for Heterogeneous Fenton-like Reaction at Alkaline Condition. Sci. Total Environ. 2021, 764, 144200. [Google Scholar] [CrossRef] [PubMed]
- Litter, M.I.; Slodowicz, M. An Overview on Heterogeneous Fenton and photoFenton Reactions Using Zerovalent Iron Materials. J. Adv. Oxid. Technol. 2017, 20, 20160164. [Google Scholar] [CrossRef]
- Queirós, S.; Morais, V.; Rodrigues, C.S.D.; Maldonado-Hódar, F.J.; Madeira, L.M. Heterogeneous Fenton’s Oxidation Using Fe/ZSM-5 as Catalyst in a Continuous Stirred Tank Reactor. Sep. Purif. Technol. 2015, 141, 235–245. [Google Scholar] [CrossRef]








| Element (at%) | FA | FA_ZSM5_006_72 | Fe_ZSM5_C |
|---|---|---|---|
| O | 40.72 | 45.49 | 47.66 |
| C | 31.72 | 16.80 | 18.66 |
| Si | 12.82 | 28.61 | 31.60 |
| Al | 9.05 | 4.61 | 1.41 |
| Na | 0.63 | 1.27 | - |
| Fe | 0.43 | 0.68 | 0.68 |
| Y | 2.81 | 1.73 | - |
| Sample | CXRD 1 (%) | Vsuper (cm3 g−1) | Vultra (cm3 g−1) | Vmicro 2 (cm3 g−1) | Vmeso 3 (cm3 g−1) | Aext (m2 g−1) |
|---|---|---|---|---|---|---|
| ZSM-5_C | 100 | 0.05 | 0.10 | 0.15 | 0.07 | 35 |
| FA_ZSM5_006_24 | 78 | 0.01 | 0.07 | 0.08 | 0.05 | 34 |
| FA_ZSM5_012_24 | 79 | 0.02 | 0.08 | 0.10 | 0.05 | 35 |
| FA_ZSM5_006_72 | 78 | 0.02 | 0.08 | 0.09 | 0.06 | 35 |
| Sample | (c.g.s.) × 105 |
|---|---|
| Fe/ZSM5_C | 1.4 |
| FA_ZSM5_006_24 | 5.1 |
| FA_ZSM5_012_24 | 9.2 |
| FA_ZSM5_006_72 | 2.9 |
| Sample | Pseudo-First-Order Kinetic Model | |||
| kp1 (min−1) × 10−3 | R2 | sFit | F | |
| Fe/ZSM5_C | 1.4 ± 0.2 | 0.962 | 0.395 | 76.4 |
| FA_ZSM5_006_24 | 5.3 ± 0.6 | 0.979 | 0.970 | 137.0 |
| FA_ZSM5_012_24 | 9.2 ± 0.4 | 0.996 | 0.530 | 787.6 |
| FA_ZSM5_006_72 | 4.9 ± 0.7 | 0.962 | 1.179 | 75.4 |
| Sample | Pseudo-Second-Order Kinetic Model | |||
| kp2 (ppm−1 min−1) × 10−4 | R2 | sFit | F | |
| Fe/ZSM5_C | 0.9 ± 0.1 | 0.949 | 0.459 | 55.7 |
| FA_ZSM5_006_24 | 3.6 ± 0.8 | 0.944 | 1.562 | 51.0 |
| FA_ZSM5_012_24 | 7.2 ± 0.9 | 0.984 | 1.077 | 188.3 |
| FA_ZSM5_006_72 | 3.3 ± 0.8 | 0.918 | 1.728 | 33.5 |
Disclaimer/Publisher’s Note: The statements, opinions and data contained in all publications are solely those of the individual author(s) and contributor(s) and not of MDPI and/or the editor(s). MDPI and/or the editor(s) disclaim responsibility for any injury to people or property resulting from any ideas, methods, instructions or products referred to in the content. |
© 2026 by the authors. Licensee MDPI, Basel, Switzerland. This article is an open access article distributed under the terms and conditions of the Creative Commons Attribution (CC BY) license.
Share and Cite
Horta, N.; Martins, S.; Silva, H.F.; Nunes, N.; Mestre, A.S.; Carvalho, A.P.; Martins, A. Paracetamol Removal from Aqueous Media Through Fenton Reaction Using ZSM-5 Zeolite Produced from Fly Ash. Molecules 2026, 31, 1104. https://doi.org/10.3390/molecules31071104
Horta N, Martins S, Silva HF, Nunes N, Mestre AS, Carvalho AP, Martins A. Paracetamol Removal from Aqueous Media Through Fenton Reaction Using ZSM-5 Zeolite Produced from Fly Ash. Molecules. 2026; 31(7):1104. https://doi.org/10.3390/molecules31071104
Chicago/Turabian StyleHorta, Nuno, Sofia Martins, Hugo F. Silva, Nelson Nunes, Ana S. Mestre, Ana P. Carvalho, and Angela Martins. 2026. "Paracetamol Removal from Aqueous Media Through Fenton Reaction Using ZSM-5 Zeolite Produced from Fly Ash" Molecules 31, no. 7: 1104. https://doi.org/10.3390/molecules31071104
APA StyleHorta, N., Martins, S., Silva, H. F., Nunes, N., Mestre, A. S., Carvalho, A. P., & Martins, A. (2026). Paracetamol Removal from Aqueous Media Through Fenton Reaction Using ZSM-5 Zeolite Produced from Fly Ash. Molecules, 31(7), 1104. https://doi.org/10.3390/molecules31071104

