Functionalized Fullerene Nanomaterials: Evaluating Heteroatom Identity for Enhanced Charge-Transfer and Reactivity
Abstract
1. Introduction
2. Results and Discussion
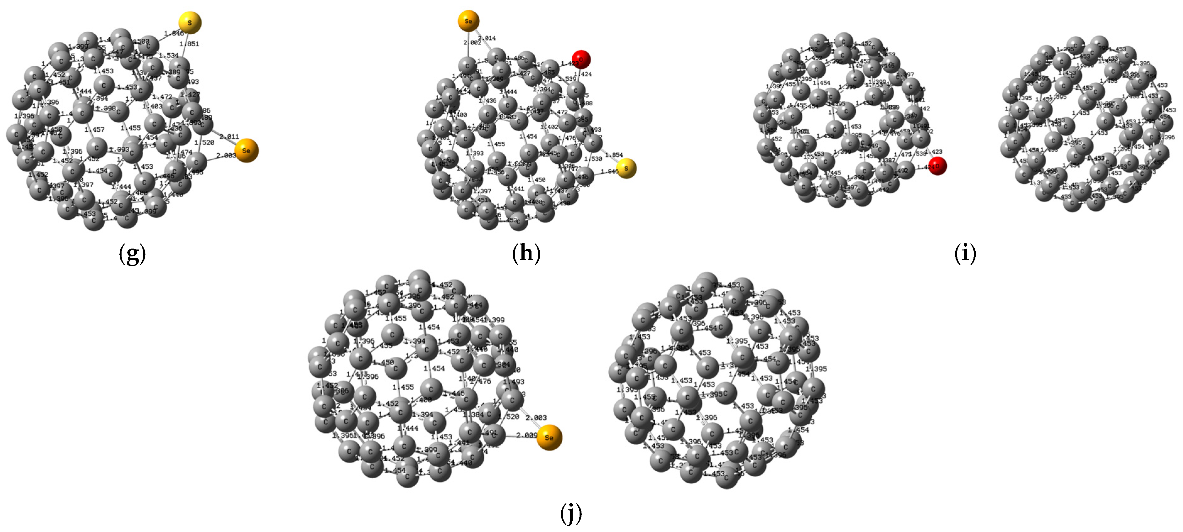
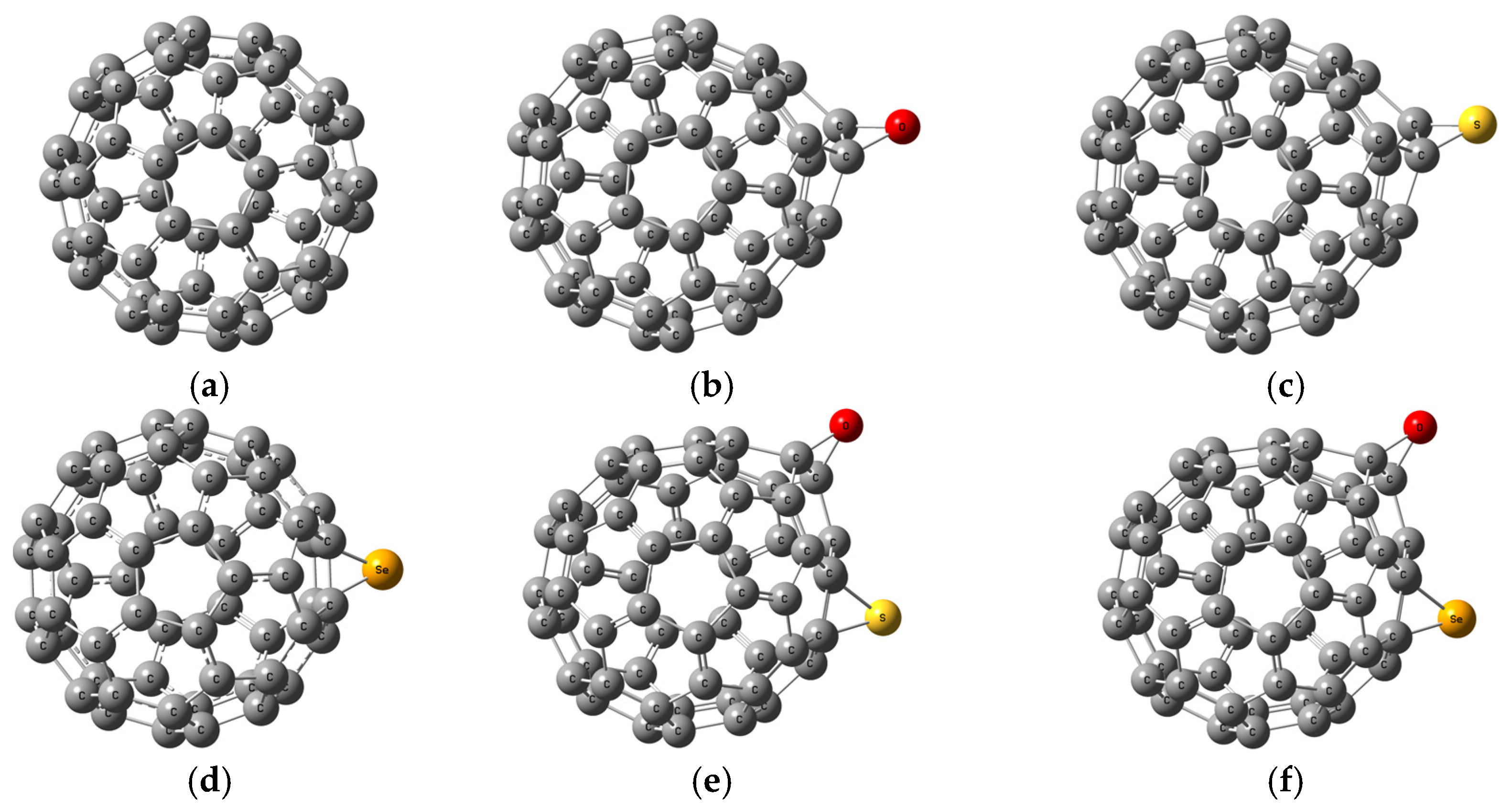
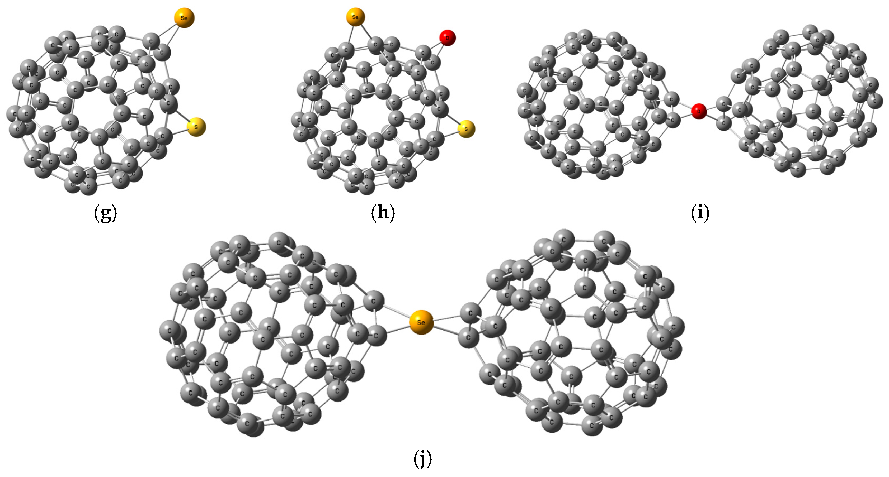
2.1. Optimized Structures
2.2. Calculated Electronic Parameters
2.2.1. Total Dipole Moment and HOMO–LUMO Energy Gap
2.2.2. Frontier Molecular Orbitals (FMOs)
2.2.3. Total Density of States (TDOS)
2.2.4. Global Reactivity Descriptors
2.3. Molecular Electrostatic Potential (MESP)
2.4. Topological and Non-Covalent Interaction Analysis
2.4.1. Quantum Theory of Atoms in Molecules (QTAIM)
2.4.2. Non-Covalent Interaction (NCI) and Reduced Density Gradient (RDG)
2.5. Binding Energies
2.6. Benchmark Comparison of Basis Sets for Chalcogen-Functionalized Aromatics
3. Materials and Methods
3.1. Calculation Details
3.2. Building Model Molecules
4. Conclusions
Supplementary Materials
Author Contributions
Funding
Institutional Review Board Statement
Informed Consent Statement
Data Availability Statement
Acknowledgments
Conflicts of Interest
Abbreviations
| DFT | Density functional theory |
| B3LYP | Becke’s three-parameter exchange functional together with Lee–Yang–Parr correlation functional |
| TDM | Total dipole moment |
| ΔE | Energy gap |
| HOMO | Highest occupied molecular orbital |
| LUMO | Lowest unoccupied molecular orbital |
| MESP | Molecular electrostatic potential |
| FMO | Frontier molecular orbital |
| TDOS | Total density of states |
| PDOS | Partial density of states |
| OPDOS | Overlap partial density of states |
| QTAIM | Quantum theory of atoms in molecules |
| BCP | Bond critical point |
| ρ(r) | Electronic density |
| H(r) | Energy density |
| NCI | Non-covalent interaction |
| RDG | Reduced density gradient |
| I | Ionization potential |
| A | Electronic affinity |
| μ | Electronic chemical potential |
| η | Chemical hardness |
| S | Absolute softness |
| ω | Electrophilicity index |
| vdW | van der Waals |
| C60 | Buckminsterfullerene |
References
- Chang, X.; Xu, Y.; Von Delius, M. Recent Advances in Supramolecular Fullerene Chemistry. Chem. Soc. Rev. 2024, 53, 47–83. [Google Scholar] [CrossRef]
- Xu, J.; Wang, L. Carbon Nanomaterials. In Nano-Inspired Biosensors for Protein Assay with Clinical Applications; Elsevier: Amsterdam, The Netherlands, 2019; pp. 3–38. [Google Scholar] [CrossRef]
- Bhakta, P.; Barthunia, B. Fullerene and Its Applications: A Review. J. Indian Acad. Oral Med. Radiol. 2020, 32, 159. [Google Scholar] [CrossRef]
- Grebowski, J.; Konopko, A.; Krokosz, A.; DiLabio, G.A.; Litwinienko, G. Antioxidant Activity of Highly Hydroxylated Fullerene C60 and Its Interactions with the Analogue of α-Tocopherol. Free Radic. Biol. Med. 2020, 160, 734–744. [Google Scholar] [CrossRef]
- Aschberger, K.; Johnston, H.J.; Stone, V.; Aitken, R.J.; Tran, C.L.; Hankin, S.M.; Peters, S.A.K.; Christensen, F.M. Review of Fullerene Toxicity and Exposure—Appraisal of a Human Health Risk Assessment, Based on Open Literature. Regul. Toxicol. Pharmacol. 2010, 58, 455–473. [Google Scholar] [CrossRef]
- Harris, P.J.F. Fullerene Polymers: A Brief Review. C 2020, 6, 71. [Google Scholar] [CrossRef]
- Sherigara, B.S.; Kutner, W.; D’Souza, F. Electrocatalytic Properties and Sensor Applications of Fullerenes and Carbon Nanotubes. Electroanalysis 2003, 15, 753–772. [Google Scholar] [CrossRef]
- Abdullaev, S.; Abomughaid, M.M.; Jasim, D.J.; Al-Rubaye, A.H.; Jeddoa, Z.M.A.; Majdi, H.; Jabir, M.S.; Hejazi, A.; Albayati, T.M. Synthesis and Characterization of Fullerene Modified with Copper Nanoparticles Catalyzed CH Bond Activation as a Sustainable and Green Catalyst for Electro Synthesis of Benzothiazole Derivatives. J. Mol. Struct. 2024, 1302, 137413. [Google Scholar] [CrossRef]
- Mumyatov, A.V.; Troshin, P.A. A Review on Fullerene Derivatives with Reduced Electron Affinity as Acceptor Materials for Organic Solar Cells. Energies 2023, 16, 1924. [Google Scholar] [CrossRef]
- Paukov, M.; Kramberger, C.; Begichev, I.; Kharlamova, M.; Burdanova, M. Functionalized Fullerenes and Their Applications in Electrochemistry, Solar Cells, and Nanoelectronics. Materials 2023, 16, 1276. [Google Scholar] [CrossRef] [PubMed]
- Rananaware, P.; Brahmkhatri, V.P. Fullerene Derivatives for Drug Delivery Applications. In Advanced Porous Biomaterials for Drug Delivery Applications; CRC Press: Boca Raton, FL, USA, 2022; pp. 373–393. [Google Scholar] [CrossRef]
- Mousavi, S.Z.; Nafisi, S.; Maibach, H.I. Fullerene Nanoparticle in Dermatological and Cosmetic Applications. Nanomed. Nanotechnol. Biol. Med. 2017, 13, 1071–1087. [Google Scholar] [CrossRef] [PubMed]
- Agrawal, P.S.; Belkhode, P.N.; Brijpuriya, D.S.; Gouda, S.P.; Rokhum, S.L. Stimulation in Fullerene for Adsorbing Pollutant Gases: A Review. Chem. Phys. Impact 2023, 6, 100156. [Google Scholar] [CrossRef]
- Mostafavi, E.; Zare, H. Carbon-Based Nanomaterials in Gene Therapy. OpenNano 2022, 7, 100062. [Google Scholar] [CrossRef]
- Fernandes, N.B.; Shenoy, R.U.K.; Kajampady, M.K.; DCruz, C.E.M.; Shirodkar, R.K.; Kumar, L.; Verma, R. Fullerenes for the Treatment of Cancer: An Emerging Tool. Environ. Sci. Pollut. Res. 2022, 29, 58607–58627. [Google Scholar] [CrossRef] [PubMed]
- Amin, K.S.; Yassin, M.M.; Abdallah, Y.M.; Alsayyad, Y.M.; Elhaes, H.; Ibrahim, M.A. Application of PLA/GO/ZnO and PLA/GO/Cu2O as Sensor. Sci. Rep. 2024, 14, 22022. [Google Scholar] [CrossRef] [PubMed]
- Amin, K.S.; Yassin, M.M.; Abdallah, Y.M.; Alsayyad, Y.M.; Mabied, A.F.; Elhaes, H.; Ibrahim, M.A. Design and Implementation of PLA/GO/Metal Oxide Composites for CO2 Sensing Application. Sci. Rep. 2025, 15, 5733. [Google Scholar] [CrossRef] [PubMed]
- El-Srougy, A.G.; Amin, K.S.; Mahmoud, M.M.; Ghanem, M.S.; Elhaes, H.; Ibrahim, M.A. Application of Cs/GO/TiO2 as Gas Sensor. Sci. Rep. 2025, 15, 31182. [Google Scholar]
- Abd-ElSalam, R.; Khaled, N.A.; Ibrahim, M.A. Modeling the Functionalized Genistein-Hyoscyamine Derivatives. Sci. Rep. 2025, 15, 16662. [Google Scholar] [CrossRef]
- Bayoumy, A.M.; Ibrahim, M.A.; Osman, A.; El-moneim, A.A.; Hessein, A. Functionalized Co-Doped Microporous Carbon Spheres for Eco-Friendly, High-Performance and Flexible Supercapacitors. J. Power Sources 2025, 645, 237233. [Google Scholar] [CrossRef]
- Pei, S.; Li, J.; Bai, Z.; Wang, C.; Lv, X. Atomic Insights of Structural, Electronic Properties of B, N, P, S, Si-Doped Fullerenes and Lithium Ion Migration with DFT-D Method. J. Mol. Model. 2024, 30, 422. [Google Scholar] [CrossRef]
- Yang, S.; Zhao, C.; Qu, R.; Cheng, Y.; Liu, H.; Huang, X. Probing the Activity of Transition Metal M and Heteroatom N4 Co-Doped in Vacancy Fullerene (M–N4 –C64, M = Fe, Co, and Ni) towards the Oxygen Reduction Reaction by Density Functional Theory. RSC Adv. 2021, 11, 3174–3182. [Google Scholar] [CrossRef]
- Xu, Z.; Wang, Y.; Li, Y.; Wang, Y.; Peng, B.; Davey, K.; Sun, L.; Li, G.; Zhang, S.; Guo, Z. C60 and Derivatives Boost Electrocatalysis and Photocatalysis: Electron Buffers to Heterojunctions. Adv. Energy Mater. 2023, 13, 2302438. [Google Scholar] [CrossRef]
- Picone, A.; Giannotti, D.; Riva, M.; Calloni, A.; Bussetti, G.; Berti, G.; Duò, L.; Ciccacci, F.; Finazzi, M.; Brambilla, A. Controlling the Electronic and Structural Coupling of C60 Nano Films on Fe(001) through Oxygen Adsorption at the Interface. ACS Appl. Mater. Interfaces 2016, 8, 26418–26424. [Google Scholar] [CrossRef]
- Sherin, D.R.; Manojkumar, T.K. Significance of Five Membered Heterocycles in Fine Tuning of HOMO-LUMO Gap of Simple Donor-Acceptor System as Organic Solar Cell Material: A DFT Approach. Mater. Today Proc. 2020, 33, 1229–1233. [Google Scholar] [CrossRef]
- Zhang, J.; Luo, S.; Zhao, H.; Xu, X.; Zou, X.; Shang, A.; Liang, J.; Bai, F.; Chen, Y.; Wong, K.S.; et al. Precise Control of Selenium Functionalization in Non-Fullerene Acceptors Enabling High-Efficiency Organic Solar Cells. Angew. Chem. 2022, 134, e202206930. [Google Scholar] [CrossRef]
- Muz, İ.; Göktaş, F.; Kurban, M. A Density Functional Theory Study on Favipiravir Drug Interaction with BN-Doped C60 Heterofullerene. Phys. E Low-Dimens. Syst. Nanostructures 2022, 135, 114950. [Google Scholar] [CrossRef]
- Maleki, A.; Esmaielzadeh, S.; Fakhraee, S. Performance of C60 Fullerene, Pristine, and Si/Al-Doped B12N12 Fullerenes as Potential Sensor for Dacarbazine Drug. Theor. Chem. Acc. 2024, 143, 39. [Google Scholar] [CrossRef]
- Akor, F.O.; Edo, G.D.; Nelson, F.A.; Johnson, A.U.; Iyam, S.O.; Abubakar, M.N.; Gulack, A.O.; Ubah, C.B.; Ekpong, B.O.; Benjamin, I. Surface Modification of Graphene and Fullerene with Sulfur (S), Selenium (Se), and Oxygen (O): DFT Simulation for Enhanced Zidovudine Delivery in HIV Treatment. BMC Chem. 2024, 18, 156. [Google Scholar] [CrossRef] [PubMed]
- Chen, Y.; Chang, Y.; Ma, R.; Liu, H.; Yi, J.; Zhang, J.; Liu, T.; Qi, Z.; Yu, K.; Lu, X.; et al. Side-Chain Engineering with Chalcogen-Containing Heterocycles on Non-Fullerene Acceptors for Efficient Organic Solar Cells. Chem. Eng. J. 2022, 441, 135998. [Google Scholar] [CrossRef]
- Li, Y.; Gong, Y.; Che, Y.; Xu, X.; Yu, L.; Peng, Q. Propeller-Like All-Fused Perylene Diimide Based Electron Acceptors with Chalcogen Linkage for Efficient Polymer Solar Cells. Front. Chem. 2020, 8, 350. [Google Scholar] [CrossRef]
- Hidayat, E.F.; Amelia, S.R.; Fitriani, N.D.; Wardhani, I.P.; Pradila, R.; Wafi, A.I.; Chadiza, N.M.; Sudiarti, T.; Kusumawati, Y.; Muttaqien, F.; et al. Revealing the Role of X12Y12 Nanocages (X = B, In; Y = N, Sb) in NH3 Gas Adsorption: Toward Gas Sensor Application. ACS Omega 2025, 10, 3361–3374. [Google Scholar] [CrossRef]
- Gao, Z.; Zhao, M.; Yan, G.; Huang, H.; Yang, W.; Ding, X.; Wu, C.; Gates, L.D. Identifying the Active Sites of Carbonaceous Surface for the Adsorption of Gaseous Arsenic Trioxide: A Theoretical Study. Chem. Eng. J. 2020, 402, 125800. [Google Scholar] [CrossRef]
- Mekky, A.-B.H. Molecular Properties of Nanoscale Fullerene Based Systems as a Corrosion Inhibitors. Nano Sci. Nano Technol. 2014, 8, 482–488. [Google Scholar]
- Politzer, P.; Truhlar, D.G. Chemical Applications of Atomic and Molecular Electrostatic Potentials; Springer: Boston, MA, USA, 1981. [Google Scholar] [CrossRef]
- Sakr, M.A.S.; Sherbiny, F.F.; El-Etrawy, A.-A.S. Hydrazone-Based Materials; DFT, TD-DFT, NBO Analysis, Fukui Function, MESP Analysis, and Solar Cell Applications. J. Fluoresc. 2022, 32, 1857–1871. [Google Scholar] [CrossRef]
- Bader, R.F.W. A Quantum Theory of Molecular Structure and Its Applications. Chem. Rev. 1991, 91, 893–928. [Google Scholar] [CrossRef]
- Bader, R.F.W. A Bond Path: A Universal Indicator of Bonded Interactions. J. Phys. Chem. A 1998, 102, 7314–7323. [Google Scholar] [CrossRef]
- Bader, R. Atoms in Moleculars: A Quantum Theory; Oxford University Press: Oxford, UK, 1990. [Google Scholar]
- Contreras-García, J.; Johnson, E.R.; Keinan, S.; Chaudret, R.; Piquemal, J.-P.; Beratan, D.N.; Yang, W. NCIPLOT: A Program for Plotting Noncovalent Interaction Regions. J. Chem. Theory Comput. 2011, 7, 625–632. [Google Scholar] [CrossRef] [PubMed]
- Ponnuchamy, V.; Sandak, A.; Sandak, J. Multiscale Modelling Investigation of Wood Modification with Acetic Anhydride. Phys. Chem. Chem. Phys. 2020, 22, 28448–28458. [Google Scholar] [CrossRef] [PubMed]
- Lemos Silva, R.A.; Barbosa, M.R.; Martins, C.R.; Scalabrini Machado, D.F.; Ribeiro, L.; De Oliveira, H.C.B.; Da Silva Filho, D.A. (Ro)Vibrational Spectroscopic Constants, Lifetime and QTAIM Evaluation of Fullerene Dimers Stability. Molecules 2023, 28, 5023. [Google Scholar] [CrossRef]
- Smolenski, S.; Wen, M.; Li, Q.; Downey, E.; Alfrey, A.; Liu, W.; Kondusamy, A.L.; Bostwick, A.; Jozwiak, C.; Rotenberg, E.; et al. Large Exciton Binding Energy in a Bulk van der Waals Magnet from Quasi-1D Electronic Localization. Nat. Commun. 2025, 16, 1134. [Google Scholar] [CrossRef]
- Cukrowski, I.; de Lange, J.H.; Adeyinka, A.S.; Mangondo, P. Evaluating Common QTAIM and NCI Interpretations of the Electron Density Concentration through IQA Interaction Energies and 1D Cross-Sections of the Electron and Deformation Density Distributions. Comput. Theor. Chem. 2015, 1053, 60–76. [Google Scholar] [CrossRef]
- Frisch, M.J.; Trucks, G.W.; Schlegel, H.B.; Scuseri, G.E.; Robb, M.A.; Cheeseman, J.R.; Scalmani, G.; Barone, V.; Mennucci, P.B.G.A.; Nakatsuji, H.; et al. Gaussian 09, Revision C.01; Gaussian, Inc.: Wallingford, CT, USA, 2010. [Google Scholar]
- Becke, A.D. Density-Functional Thermochemistry. I. The Effect of the Exchange-Only Gradient Correction. J. Chem. Phys. 1992, 96, 2155–2160. [Google Scholar] [CrossRef]
- Petersson, G.A.; Al-Laham, M.A. A Complete Basis Set Model Chemistry. II. Open-Shell Systems and the Total Energies of the First-Row Atoms. J. Chem. Phys. 1991, 94, 6081–6090. [Google Scholar] [CrossRef]
- Lee, C.; Yang, W.; Parr, R.G. Development of the Colle-Salvetti Correlation-Energy Formula into a Functional of the Electron Density. Phys. Rev. B 1988, 37, 785–789. [Google Scholar] [CrossRef] [PubMed]
- Candian, A.; Gomes Rachid, M.; MacIsaac, H.; Staroverov, V.N.; Peeters, E.; Cami, J. Searching for Stable Fullerenes in Space with Computational Chemistry. Mon. Not. R. Astron. Soc. 2019, 485, 1137–1146. [Google Scholar] [CrossRef]
- Darvish Ganji, M.; Tavassoli Larijani, H.; Alamol-Hoda, R.; Mehdizadeh, M. First-Principles and Molecular Dynamics Simulation Studies of Functionalization of Au32 Golden Fullerene with Amino Acids. Sci. Rep. 2018, 8, 11400. [Google Scholar] [CrossRef]
- El Meligy, H.; Amin, K.S.; Elhaes, H.; Ibrahim, M.A. Modeling Graphene Oxide Decorated with FeO, SO and NO. Sci. Rep. 2025, 15, 32538. [Google Scholar] [CrossRef] [PubMed]
- Parr, R.G.; Yang, W. Density-Functional Theory of Atoms and Molecules; Oxford University Press: New York, NY, USA, 1989. [Google Scholar]
- Lu, T.; Chen, F. Multiwfn: A Multifunctional Wavefunction Analyzer. J. Comput. Chem. 2012, 33, 580–592. [Google Scholar] [CrossRef]
- Humphrey, W.; Dalke, A.; Schulten, K. VMD: Visual Molecular Dynamics. J. Mol. Graph. 1996, 14, 33–38. [Google Scholar] [CrossRef]













| Structures | C–X Bond Length (Å) | C–X–C Angle (°) |
|---|---|---|
| C60–O | 1.422 | 65.484 |
| C60–S | 1.846 | 49.177 |
| C60–Se | 2.001 | 44.701 |
| C60–O–S | 1.423, 2.014 | 65.452, 48.831 |
| C60–O–Se | 1.423, 2.014 | 65.543, 44.369 |
| C60–S–Se | 1.846, 2.011 | 49.014, 44.516 |
| C60–O–S–Se | 1.424, 1.854, 2.014 | 65.443, 48.852, 44.390 |
| C60–O–C60 | 1.423, 3.501 | 65.412, 22.348 |
| C60–Se–C60 | 2.009, 3.363 | 44.546, 23.637 |
| Structures | TDM (Debye) | ΔE (eV) |
|---|---|---|
| C60 | 0.000 | 2.762 |
| C60–O | 1.283 | 2.619 |
| C60–S | 0.869 | 2.567 |
| C60–Se | 0.676 | 2.532 |
| C60–O–S | 2.006 | 2.604 |
| C60–O–Se | 1.850 | 2.575 |
| C60–S–Se | 1.516 | 2.570 |
| C60–O–S–Se | 2.156 | 2.735 |
| C60–O–C60 | 1.468 | 2.594 |
| C60–Se–C60 | 0.271 | 2.516 |
| Structure | I (eV) | A (eV) | μ (eV) | η (eV) | S (eV)−1 | ω (eV) |
|---|---|---|---|---|---|---|
| C60 | 5.986 | 3.225 | −4.606 | 1.381 | 0.724 | 7.679 |
| C60–O | 5.945 | 3.326 | −4.636 | 1.310 | 0.764 | 8.203 |
| C60–S | 5.877 | 3.310 | −4.594 | 1.284 | 0.779 | 8.220 |
| C60–Se | 5.840 | 3.308 | −4.574 | 1.266 | 0.790 | 8.262 |
| C60–O–S | 5.974 | 3.370 | −4.672 | 1.302 | 0.768 | 8.380 |
| C60–O–Se | 5.944 | 3.369 | −4.656 | 1.288 | 0.777 | 8.418 |
| C60–S–Se | 5.923 | 3.354 | −4.639 | 1.285 | 0.778 | 8.374 |
| C60–O–S–Se | 5.988 | 3.253 | −4.621 | 1.367 | 0.731 | 7.807 |
| C60–O–C60 | 5.929 | 3.336 | −4.633 | 1.297 | 0.771 | 8.274 |
| C60–Se–C60 | 5.804 | 3.288 | −4.546 | 1.258 | 0.795 | 8.213 |
| Structures | Ebind |
|---|---|
| C60–O | −6.110 |
| C60–S | −3.616 |
| C60–Se | −3.361 |
| C60–O–S | −9.618 |
| C60–O–Se | −9.373 |
| C60–S–Se | −6.887 |
| C60–O–S–Se | −12.868 |
| C60–O–C60 | −6.146 |
| C60–Se–C60 | −3.526 |
Disclaimer/Publisher’s Note: The statements, opinions and data contained in all publications are solely those of the individual author(s) and contributor(s) and not of MDPI and/or the editor(s). MDPI and/or the editor(s) disclaim responsibility for any injury to people or property resulting from any ideas, methods, instructions or products referred to in the content. |
© 2026 by the authors. Licensee MDPI, Basel, Switzerland. This article is an open access article distributed under the terms and conditions of the Creative Commons Attribution (CC BY) license.
Share and Cite
Alhuthali, A.M.S.; Amin, K.S.; Elhaes, H.; Ibrahim, M.A. Functionalized Fullerene Nanomaterials: Evaluating Heteroatom Identity for Enhanced Charge-Transfer and Reactivity. Molecules 2026, 31, 1076. https://doi.org/10.3390/molecules31071076
Alhuthali AMS, Amin KS, Elhaes H, Ibrahim MA. Functionalized Fullerene Nanomaterials: Evaluating Heteroatom Identity for Enhanced Charge-Transfer and Reactivity. Molecules. 2026; 31(7):1076. https://doi.org/10.3390/molecules31071076
Chicago/Turabian StyleAlhuthali, Abdullah M. S., Khaled S. Amin, Hanan Elhaes, and Medhat A. Ibrahim. 2026. "Functionalized Fullerene Nanomaterials: Evaluating Heteroatom Identity for Enhanced Charge-Transfer and Reactivity" Molecules 31, no. 7: 1076. https://doi.org/10.3390/molecules31071076
APA StyleAlhuthali, A. M. S., Amin, K. S., Elhaes, H., & Ibrahim, M. A. (2026). Functionalized Fullerene Nanomaterials: Evaluating Heteroatom Identity for Enhanced Charge-Transfer and Reactivity. Molecules, 31(7), 1076. https://doi.org/10.3390/molecules31071076

