Bessera elegans (Asparagaceae): Botany, Phytochemistry, and Cytotoxic and Insecticidal Activities of an Underexplored Mexican Species
Abstract
1. Introduction
2. Botany
2.1. Taxonomical Classification
2.2. Morphological Characteristics and Distribution
3. Phytochemistry
3.1. Phytochemical Overview of the Asparagaceae Family
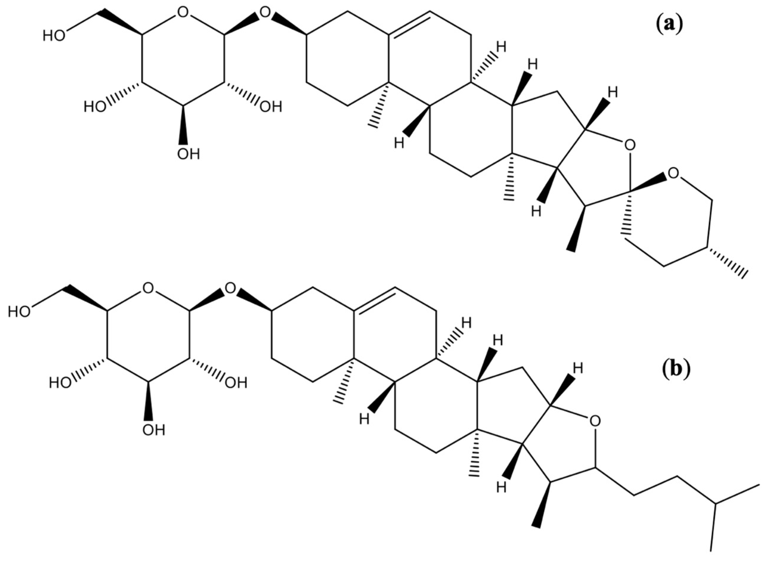
3.2. Compounds Identified in the Bulbs of Bessera elegans
3.3. Phytochemical Composition of Flower Extracts of Bessera elegans
4. Biological Activity of Bessera elegans
4.1. Cytotoxic Activity
4.2. Insecticidal Activity
5. Conclusions
Author Contributions
Funding
Institutional Review Board Statement
Informed Consent Statement
Data Availability Statement
Acknowledgments
Conflicts of Interest
Abbreviations
| CG-MS | Gas Chromatography–Mass Spectrometry |
| HPLC | High-Performance Liquid Chromatography |
| HL-60 | Human promyelocytic leukemia cell line |
| A549 | Human lung adenocarcinoma cell line |
| TIG-3 | Normal human fibroblast cell line |
| ppm | Parts per million |
References
- Rzedowski, J. Diversidad y orígenes de la flora fanerogámica de México. Acta Bot. Mex. 1991, 14, 3–21. [Google Scholar] [CrossRef]
- Comisión Nacional para el Conocimiento y Uso de la Biodiversidad (CONABIO). La Biodiversidad en México: Estadísticas y Cifras; CONABIO: Mexico City, Mexico, 2016. [Google Scholar]
- Villaseñor, J.L. Checklist of the native vascular plants of Mexico. Rev. Mex. Biodivers. 2016, 87, 559–902. [Google Scholar] [CrossRef]
- Kubitzki, K.; Rudall, P.J. Asparagaceae. In Flowering Plants. Monocotyledons: Lilianae (Except Orchidaceae); Kubitzki, K., Ed.; The Families and Genera of Vascular Plants; Springer: Berlin/Heidelberg, Germany, 1998; Volume 3, pp. 125–129. [Google Scholar] [CrossRef]
- Chase, M.W.; Christenhusz, M.J.M.; Fay, M.F.; Byng, J.W.; Judd, W.S.; Soltis, D.E.; Mabberley, D.J.; Sennikov, A.N.; Soltis, P.S.; Stevens, P.F. An update of the Angiosperm Phylogeny Group classification for the orders and families of flowering plants: APG IV. Bot. J. Linn. Soc. 2016, 181, 1–20. [Google Scholar] [CrossRef]
- Lei, F.; Weckerle, C.S.; Heinrich, M. Liriopogons (Genera Ophiopogon and Liriope, Asparagaceae): A Critical Review of the Phytochemical and Pharmacological Research. Front. Pharmacol. 2021, 12, 769929. [Google Scholar] [CrossRef] [PubMed]
- Sparg, S.G.; Light, M.E.; van Staden, J. Biological activities and distribution of plant saponins. J. Ethnopharmacol. 2004, 94, 219–243. [Google Scholar] [CrossRef]
- Ji, Y.; Landis, J.B.; Yang, J.; Wang, S.; Zhou, N.; Luo, Y.; Liu, H. Phylogeny and Evolution of Asparagaceae Subfamily Nolinoideae: New Insights from Plastid Phylogenomics. Ann. Bot. 2023, 131, 301–312. [Google Scholar] [CrossRef]
- Gándara, E.; Ortiz-Brunel, J.P.; Castro-Castro, A.; Ruiz-Sánchez, E. Morphological variation in Bessera (Asparagaceae: Brodiaeoideae) allows for the recognition of two new species. Phytotaxa 2021, 512, 257–271. [Google Scholar] [CrossRef]
- Cruz-Duque, A.A.; Tapia-Campos, E.; Rodríguez-Domínguez, J.M.; Barba-González, R. Research on native ornamental species from Mexico. Acta Hortic. 2019, 1240, 1–12. [Google Scholar] [CrossRef]
- Mimaki, Y.; Sashida, Y. Steroidal saponins from Liliaceae plants and their biological activities. Adv. Exp. Med. Biol. 1996, 404, 101–110. [Google Scholar] [CrossRef]
- Linares, E.; Bye, R. A study of four medicinal plant complexes of Mexico and adjacent United States. J. Ethnopharmacol. 1987, 19, 153–183. [Google Scholar] [CrossRef]
- de Rzedowski, G.C.; Rzedowski, J. Flora Fanerogámica del Valle de México, 2nd ed.; Instituto de Ecología, A.C.; Comisión Nacional para el Conocimiento y Uso de la Biodiversidad: Pátzcuaro, Michoacán, Mexico, 2005. [Google Scholar]
- Matsuo, Y.; Akagi, N.; Hashimoto, C.; Tachikawa, F.; Mimaki, Y. Steroidal glycosides from the bulbs of Bessera elegans and their cytotoxic activities. Phytochemistry 2013, 96, 244–256. [Google Scholar] [CrossRef]
- Matsuo, Y.; Kurihara, R.; Akagi, N.; Mimaki, Y. Two new homoisoflavonoids from the bulbs of Bessera elegans. Nat. Prod. Commun. 2014, 9, 1725–1727. [Google Scholar] [CrossRef]
- Sosa, V.; Loera, I. Influence of Current Climate, Historical Climate Stability and Topography on Species Richness and Endemism in Mesoamerican Geophyte Plants. PeerJ 2017, 5, e3932. [Google Scholar] [CrossRef]
- Plants of the World Online (POWO). Bessera elegans Schult. f. Kew Science, Royal Botanic Gardens, Kew, 2025. Available online: https://powo.science.kew.org/ (accessed on 15 January 2026).
- Nikolov, S.; Gusev, C.V. A chemotaxonomic comparison of the genera Asparagus and Ruscus (Liliaceae). Bocconea 1996, 5, 765–770. [Google Scholar]
- Liu, B.; Li, B.; Zhou, D.; Wen, X.; Wang, Y.; Chen, G.; Li, N. Steroidal saponins with cytotoxic effects from the rhizomes of Asparagus cochinchinensis. Bioorg. Chem. 2021, 115, 105237. [Google Scholar] [CrossRef] [PubMed]
- Dong, S.-Q.; Wang, X.-F.; Li, W.-H.; Wang, L.; Du, H.-X.; Yu, Y. Phytochemical constituents and chemotaxonomic study of Polygonatum prattii Baker. Biochem. Syst. Ecol. 2021, 97, 104278. [Google Scholar] [CrossRef]
- Yang, R.; He, B.; Zhang, S.; Mei, R.; Liu, J.; Yin, T.; Cai, L. Chemical constituents with chemotaxonomic value from Asparagus lycopodineus (Baker) Wang et Tang. Biochem. Syst. Ecol. 2024, 114, 104747. [Google Scholar] [CrossRef]
- Bielawski, K.; Winnicka, K.; Bielawska, A. Inhibition of DNA topoisomerases I and II, and growth inhibition of breast cancer MCF-7 cells by ouabain, digoxin and proscillaridin A. Biol. Pharm. Bull. 2006, 29, 1493–1497. [Google Scholar] [CrossRef]
- Sotelo-Leyva, C.; Flores-Juárez, C.; Bernal-Linares, A.K.; González-Cortazar, M.; Toledo-Hernández, E.; Marquina-Bahena, S.; Álvarez-Fitz, P.; Zamilpa, A. Chemical composition of Bessera elegans (Asparagaceae) flower extracts and their insecticidal effect against Melanaphis sacchari Zehntner (Hemiptera: Aphididae). S. Afr. J. Bot. 2023, 156, 186–191. [Google Scholar] [CrossRef]
- Podolak, I.; Galanty, A.; Sobolewska, D. Saponins as cytotoxic agents: A review. Phytochem. Rev. 2010, 9, 425–474. [Google Scholar] [CrossRef]
- Man, S.; Gao, W.; Zhang, Y.; Huang, L.; Liu, C. Chemical study and medical application of saponins as anticancer agents. Fitoterapia 2010, 81, 703–714. [Google Scholar] [CrossRef] [PubMed]
- Chen, Y.; Miao, Y.; Huang, L.; Li, J.; Sun, H.; Zhao, Y.; Yang, J.; Zhou, W. Steroidal saponins from medicinal plants: Chemical diversity, pharmacological activities, and molecular mechanisms. Molecules 2016, 21, 559. [Google Scholar] [CrossRef]
- Senthil-Nathan, S. Physiological and Biochemical Effects of Neem and Other Meliaceae Plant Secondary Metabolites against Lepidopteran Insects. Front. Physiol. 2013, 4, 359. [Google Scholar] [CrossRef]
- Yang, L.; Wen, K.S.; Ruan, X.; Zhao, Y.X.; Wei, F.; Wang, Q. Response of Plant Secondary Metabolites to Environmental Factors. Molecules 2018, 23, 762. [Google Scholar] [CrossRef]
- Brey, T.P.; Ohayon, H.; Lesourd, M.; Castex, H.; Roucachet, J.; Latgé, J.P. Ultrastructure and chemical composition of the outer layers of the cuticle of the pea aphid Acyrthosiphon pisum (Harris). Comp. Biochem. Physiol. Part A 1985, 82, 401–411. [Google Scholar] [CrossRef]
- Sy Mohamad, S.F.; Mohamad, S.; Abdul Aziz, A. The Susceptibility of Aphids, Aphis gossypii Glover to Lauric Acid Based Natural Pesticide. Procedia Eng. 2013, 53, 20–28. [Google Scholar] [CrossRef]
- Pereira, V.; Figueira, O.; Castilho, P.C. Flavonoids as Insecticides in Crop Protection—A Review of Current Research and Future Prospects. Plants 2024, 13, 776. [Google Scholar] [CrossRef]
- Divekar, P.A.; Mishra, A.; Singh, A.K. Plant Secondary Metabolites for Defense against Herbivores. In Plant Specialized Metabolites: Phytochemistry, Ecology and Biotechnology; Mérillon, J.M., Ramawat, K.G., Eds.; Springer: Cham, Switzerland, 2023; pp. 1–12. [Google Scholar] [CrossRef]


| Kingdom: | Plantae |
| Subkingdom: | Tracheobionta |
| Superdivision: | Spermatophyta |
| Division: | Magnoliophyta |
| Class: | Liliopsida |
| Subclass: | Liliidae |
| Order: | Asparagales |
| Family: | Asparagaceae |
| Subfamily: | Brodiaeoideae. |
| Genus: | Bessera |
| Species: | Bessera elegans Schult. f |
| ID | Type | Formula | Structure | Sugars |
|---|---|---|---|---|
| 1 | Spirostanol | C56H92O28 | 2α-hydroxylated spirostane tetraglycoside with a branched sugar chain | 4 |
| 2 | Spirostanol | C50H82O22 | 2α,3β,14α-trihydroxy spirostane tetraglycoside | 4 |
| 3 | Spirostanol | C58H96O31 | Oxygenated spirostane tetraglycoside; extended sugar chain | 4 |
| 4 | Spirostanol | C54H88O27 | 2α,14α,27-trihydroxy spirostane glycoside with galactose, xylose, and glucose | 4 |
| 5 | Spirostanol | C58H92O30 | 12-oxo spirostane pentaglycoside containing arabinose | 5 |
| 6 | Furostanol | C56H94O30 | 26-O-β-D-glucosyl 2α,22α-dihydroxy furostane pentaglycoside | 5 |
| 7 | Furostanol | C56H94O30 | Furostanol analogue with a similar oligosaccharide pattern | 5 |
| 8 | Furostanol | C56H94O30 | Furostanol oligoglycoside structurally related to compounds 6–7 | 5 |
| 9 | Furostanol | C62H98O32 | Furost-20(22)-en pentaglycoside containing xylose, rhamnose, and arabinose | 5 |
| 10 | Spirostanol | n.d. | Spirostane triglycoside with arabinose, xylose, glucose, rhamnose, and galactose | 5 |
| 11 | Spirostanol | n.d. | 2α-hydroxy spirostane tetraglycoside; galactose–xylose–glucose–galactose sequence | 4 |
| 12 | Furostanol | n.d. | 26-O-β-D-glucosyl 2α,3β,22α-trihydroxy furostane aglycone; monoglucoside | 1 |
| 13 | Furostanol | n.d. | 26-O-β-D-glucosyl 22α-hydroxy furostane tetraglycoside containing galactose, xylose, glucose | 4 |
| 14 | Furostanol | n.d. | 26-O-β-D-glucosyl 2α,22α-dihydroxy furostane tetraglycoside; galactose–xylose–glucose chain | 4 |
| Class | Name | Structural Type |
|---|---|---|
| Homoisoflavonoid | (3R)-5,7-dihydroxy-6-methyl-3-(3′-hydroxy-4′-methoxybenzyl) chroman-4-one | New homoisoflavonoid |
| Homoisoflavonoid | (3R)-5,7,3′-trihydroxy-4′-methoxy-6-methylspiro [2H-1-benzopyran-7′-bicyclo [4.2.0] octa [1,3,5] trien]-4-one | New scillascillin-type homoisoflavonoid |
| Flavonoid | Myricetin | Known flavonoid |
| Flavonoid | Annulatin | Known flavonoid |
| Flavonoid | Cannabiscitrin | Known flavonoid |
| Norlignan | Nyasol | Known norlignan |
| Norlignan | 3′-Methoxynyasol | Known norlignan |
| Extract | Analysis | Number of Compounds | Chemical Classes | Representative Compounds |
|---|---|---|---|---|
| n-Hexane (non-polar) | GC–MS | 26 compounds (99.76% of the extract) | Saturated hydrocarbons, aliphatic alcohols, and steroids | Triacontane (21.01%), 1-heptacosanol (18.82%), nonacosane (12.41%) |
| Acetone (intermediate polarity) | HPLC | 13 major peaks | Polyphenols, flavonoid aglycones, and terpenes | Polyphenols (peaks 1–4), aglycones (peaks 5–9), terpenes (peaks 10–13) |
| Compound/Group | Class | Cell Lines | Cytotoxic Effect |
|---|---|---|---|
| Pseudo-furostanol glycoside | Steroidal glycoside | HL-60, A549, TIG-3 | Induces time-dependent apoptosis in HL-60 and A549 cells; causes cell cycle arrest at the G0/G1 phase in A549 cells |
| Other steroidal glycosides | Steroidal glycosides | HL-60, A549, TIG-3 | Variable, structure-dependent cytotoxic activity; reduced effects in normal cells |
| Compound | Class | Cell Lines | Cytotoxic Effect |
|---|---|---|---|
| (3R)-5,7-dihydroxy-6-methyl-3-(3′-hydroxy-4′-methoxybenzyl) chroman-4-one | Homoisoflavonoid | HL-60 | Detectable cytotoxic activity |
| (3R)-5,7,3′-trihydroxy-4′-methoxy-6-methylspiro [2H-1-benzopyran-7′-bicyclo [4.2.0]octa [1,3,5]trien]-4-one | Homoisoflavonoid | HL-60 | Moderate cytotoxic activity |
| Myricetin | Flavonoid | HL-60 | Limited activity |
| Annulatin | Flavonoid | HL-60 | Limited activity |
| Cannabiscitrin | Glycosylated flavonoid | HL-60 | Weak activity |
| Nyasol | Norlignan | HL-60 | Weak activity |
| 3′-Methoxynyasol | Norlignan | HL-60 | Weak activity |
| Extract | Polarity | Major Component | Route of Exposure | Mortality (72 h, 10,000 ppm) | Suggested Mechanism |
|---|---|---|---|---|---|
| n-hexane | Low | Long-chain hydrocarbons | Contact | 88% | Affinity for the aphid cuticle (external toxicity) |
| Acetone | Intermediate | Polyphenolic compounds | Artificial diet | 69% | Cellular or digestive damage following ingestion (internal toxicity) |
Disclaimer/Publisher’s Note: The statements, opinions and data contained in all publications are solely those of the individual author(s) and contributor(s) and not of MDPI and/or the editor(s). MDPI and/or the editor(s) disclaim responsibility for any injury to people or property resulting from any ideas, methods, instructions or products referred to in the content. |
© 2026 by the authors. Licensee MDPI, Basel, Switzerland. This article is an open access article distributed under the terms and conditions of the Creative Commons Attribution (CC BY) license.
Share and Cite
Tagle-Emigdio, L.J.; Salinas-Sánchez, D.O.; Toledo-Hernández, E.; Mendoza-Catalán, M.A.; Zacapala-Gómez, A.E.; Hernández-Sotelo, D.; Leyva-Bello, A.G.; Delgado-Nuñez, E.J.; Figueroa-Brito, R.; Sotelo-Leyva, C. Bessera elegans (Asparagaceae): Botany, Phytochemistry, and Cytotoxic and Insecticidal Activities of an Underexplored Mexican Species. Molecules 2026, 31, 1030. https://doi.org/10.3390/molecules31061030
Tagle-Emigdio LJ, Salinas-Sánchez DO, Toledo-Hernández E, Mendoza-Catalán MA, Zacapala-Gómez AE, Hernández-Sotelo D, Leyva-Bello AG, Delgado-Nuñez EJ, Figueroa-Brito R, Sotelo-Leyva C. Bessera elegans (Asparagaceae): Botany, Phytochemistry, and Cytotoxic and Insecticidal Activities of an Underexplored Mexican Species. Molecules. 2026; 31(6):1030. https://doi.org/10.3390/molecules31061030
Chicago/Turabian StyleTagle-Emigdio, Luz Janet, David Osvaldo Salinas-Sánchez, Erubiel Toledo-Hernández, Miguel Angel Mendoza-Catalán, Ana Elvira Zacapala-Gómez, Daniel Hernández-Sotelo, Anette Guadalupe Leyva-Bello, Edgar Jesús Delgado-Nuñez, Rodolfo Figueroa-Brito, and César Sotelo-Leyva. 2026. "Bessera elegans (Asparagaceae): Botany, Phytochemistry, and Cytotoxic and Insecticidal Activities of an Underexplored Mexican Species" Molecules 31, no. 6: 1030. https://doi.org/10.3390/molecules31061030
APA StyleTagle-Emigdio, L. J., Salinas-Sánchez, D. O., Toledo-Hernández, E., Mendoza-Catalán, M. A., Zacapala-Gómez, A. E., Hernández-Sotelo, D., Leyva-Bello, A. G., Delgado-Nuñez, E. J., Figueroa-Brito, R., & Sotelo-Leyva, C. (2026). Bessera elegans (Asparagaceae): Botany, Phytochemistry, and Cytotoxic and Insecticidal Activities of an Underexplored Mexican Species. Molecules, 31(6), 1030. https://doi.org/10.3390/molecules31061030

