Tides of Promise: Sponge-Derived Marine Natural Products in Southeast Asia
Abstract
1. Introduction
2. Overview of Marine Natural Products Research in Southeast Asia
3. Overview of Coastal Marine Sponge Biodiversity in Southeast Asia
4. Chemistry and Biological Activities of Selected Bioactive Marine Sponge-Derived Molecules from Southeast Asia
4.1. Order Axinellida
- Stylissa sp./Stylissa carteri
4.2. Order Clionaida
- Spheciospongia sp.
4.3. Order Dendroceratida
- Acanthodendrilla sp.
- Spongionella sp.
4.4. Order Dictyoceratida
- Dactylospongia metachromia
- Dysidea sp.
- Hyrtios reticulatus
- Petrosaspongia sp.
- Spongia sp.
- Spongia ceylonensis
4.5. Order Haplosclerida
- Acanthostrongylophora sp.
- Callyspongia sp.
- Callyspongia aerizusa
- Petrosia sp.
- Petrosia alfiani
- Xestospongia sp.
- Xestospongia testudinaria
- Xestospongia vansoesti
- Xestospongia sp.—Renieramycin Alkaloids
4.6. Order Poecilosclerida
- Diacarnus megaspinorhabdosa
- Iotrochota cf. iota
- Lissodendoryx fibrosa
- Mycale sp.
4.7. Order Tetractinellida
- Daedalopelta sp.
- Homophymia sp.
- Jaspis splendens
- Melophlus sarassinorum
- Pachastrissa nux
- Rhabdastrella globostellata
- Scleritoderma nodosum
- Siliquariaspongia mirabilis
- Theonella swinhoei
4.8. Order Verongiida
- Ianthella basta
4.9. Order Homosclerophorida
- Corticium niger
- Corticium simplex
- Oscarella stillans
- Plakortis cfr. simplex/P. lita
5. Challenges and Opportunities
5.1. Biodiversity, Endemism and Access to Novel Compounds
5.2. Linking Natural Products Discovery to Marine Conservation
5.3. Underdeveloped Marine Microbial Natural Products Research
5.4. Technology, Infrastructure and Collaborative Networks
5.5. Building ASEAN Talent Pipelines in Marine Natural Products Research
Author Contributions
Funding
Data Availability Statement
Acknowledgments
Conflicts of Interest
References
- Von Rintelen, K.; Arida, E.; Häuser, C. A Review of Biodiversity-Related Issues and Challenges in Megadiverse Indonesia and Other Southeast Asian Countries. Res. Ideas Outcomes 2017, 3, e20860. [Google Scholar] [CrossRef]
- Leal, M.C.; Anaya-Rojas, J.M.; Munro, M.H.G.; Blunt, J.W.; Melian, C.J.; Calado, R.; Lürig, M.D. Fifty Years of Capacity Building in the Search for New Marine Natural Products. Proc. Natl. Acad. Sci. USA 2020, 117, 24165–24172. [Google Scholar] [CrossRef] [PubMed]
- Todd, P.A.; Ong, X.; Chou, L.M. Impacts of Pollution on Marine Life in Southeast Asia. Biodivers. Conserv. 2010, 19, 1063–1082. [Google Scholar] [CrossRef]
- Culhane, F.; Austen, M.C.; Ashley, M.; Javier, J.; Kuit, S.H.; Hung, N.P.; Tran, H.D.; Praptiwi, R.A.; Sainal, S.; Justine, E.; et al. Assessing Impact Risk to Tropical Marine Ecosystems from Human Activities with a Southeast Asian Example. J. Appl. Ecol. 2024, 61, 2897–2911. [Google Scholar] [CrossRef]
- Kay, S.; Avillanosa, A.L.; Cheung, V.V.; Dao, H.N.; Gonzales, B.J.; Palla, H.P.; Praptiwi, R.A.; Queirós, A.M.; Sailley, S.F.; Sumeldan, J.D.C.; et al. Projected Effects of Climate Change on Marine Ecosystems in Southeast Asian Seas. Front. Mar. Sci. 2023, 10, 1082170. [Google Scholar] [CrossRef]
- Ebarvia, M.C.M. Economic Assessment of Oceans for Sustainable Blue Economy Development. J. Ocean Coast. Econ. 2016, 2, 7. [Google Scholar] [CrossRef]
- Blunt, J.W.; Copp, B.R.; Munro, M.H.; Northcote, P.T.; Prinsep, M.R. Marine Natural Products. Nat. Prod. Rep. 2005, 22, 15–61. [Google Scholar] [CrossRef] [PubMed]
- Blunt, J.W.; Copp, B.R.; Munro, M.H.; Northcote, P.T.; Prinsep, M.R. Marine Natural Products. Nat. Prod. Rep. 2006, 23, 26–78. [Google Scholar] [CrossRef]
- Blunt, J.W.; Copp, B.R.; Hu, W.-P.; Munro, M.H.; Northcote, P.T.; Prinsep, M.R. Marine Natural Products. Nat. Prod. Rep. 2007, 24, 31–86. [Google Scholar] [CrossRef] [PubMed]
- Blunt, J.W.; Copp, B.R.; Hu, W.-P.; Munro, M.H.; Northcote, P.T.; Prinsep, M.R. Marine Natural Products. Nat. Prod. Rep. 2008, 25, 35–94. [Google Scholar] [CrossRef]
- Blunt, J.W.; Copp, B.R.; Hu, W.-P.; Munro, M.H.; Northcote, P.T.; Prinsep, M.R. Marine Natural Products. Nat. Prod. Rep. 2009, 26, 170–244. [Google Scholar] [CrossRef]
- Blunt, J.W.; Copp, B.R.; Munro, M.H.; Northcote, P.T.; Prinsep, M.R. Marine Natural Products. Nat. Prod. Rep. 2010, 27, 165–237. [Google Scholar] [CrossRef]
- Blunt, J.W.; Copp, B.R.; Munro, M.H.; Northcote, P.T.; Prinsep, M.R. Marine Natural Products. Nat. Prod. Rep. 2011, 28, 196–268. [Google Scholar] [CrossRef]
- Blunt, J.W.; Copp, B.R.; Keyzers, R.A.; Munro, M.H.; Prinsep, M.R. Marine Natural Products. Nat. Prod. Rep. 2012, 29, 144–222. [Google Scholar] [CrossRef]
- Blunt, J.W.; Copp, B.R.; Keyzers, R.A.; Munro, M.H.; Prinsep, M.R. Marine Natural Products. Nat. Prod. Rep. 2013, 30, 237–323. [Google Scholar] [CrossRef]
- Blunt, J.W.; Copp, B.R.; Keyzers, R.A.; Munro, M.H.; Prinsep, M.R. Marine Natural Products. Nat. Prod. Rep. 2014, 31, 160–258. [Google Scholar] [CrossRef]
- Blunt, J.W.; Copp, B.R.; Keyzers, R.A.; Munro, M.H.; Prinsep, M.R. Marine Natural Products. Nat. Prod. Rep. 2015, 32, 116–211. [Google Scholar] [CrossRef] [PubMed]
- Blunt, J.W.; Copp, B.R.; Keyzers, R.A.; Munro, M.H.; Prinsep, M.R. Marine Natural Products. Nat. Prod. Rep. 2016, 33, 382–431. [Google Scholar] [CrossRef] [PubMed]
- Blunt, J.W.; Copp, B.R.; Keyzers, R.A.; Munro, M.H.; Prinsep, M.R. Marine Natural Products. Nat. Prod. Rep. 2017, 34, 235–294. [Google Scholar] [CrossRef]
- Blunt, J.W.; Carroll, A.R.; Copp, B.R.; Davis, R.A.; Keyzers, R.A.; Prinsep, M.R. Marine Natural Products. Nat. Prod. Rep. 2018, 35, 8–53. [Google Scholar] [CrossRef] [PubMed]
- Carroll, A.R.; Copp, B.R.; Davis, R.A.; Keyzers, R.A.; Prinsep, M.R. Marine Natural Products. Nat. Prod. Rep. 2019, 36, 122–173. [Google Scholar] [CrossRef]
- Carroll, A.R.; Copp, B.R.; Davis, R.A.; Keyzers, R.A.; Prinsep, M.R. Marine Natural Products. Nat. Prod. Rep. 2020, 37, 175–223. [Google Scholar] [CrossRef] [PubMed]
- Carroll, A.R.; Copp, B.R.; Davis, R.A.; Keyzers, R.A.; Prinsep, M.R. Marine Natural Products. Nat. Prod. Rep. 2021, 38, 362–413. [Google Scholar] [CrossRef] [PubMed]
- Carroll, A.R.; Copp, B.R.; Davis, R.A.; Keyzers, R.A.; Prinsep, M.R. Marine Natural Products. Nat. Prod. Rep. 2022, 39, 1122–1171. [Google Scholar] [CrossRef] [PubMed]
- Carroll, A.R.; Copp, B.R.; Davis, R.A.; Keyzers, R.A.; Prinsep, M.R. Marine Natural Products. Nat. Prod. Rep. 2023, 40, 275–325. [Google Scholar] [CrossRef] [PubMed]
- Carroll, A.R.; Copp, B.R.; Grkovic, T.; Keyzers, R.A.; Prinsep, M.R. Marine Natural Products. Nat. Prod. Rep. 2024, 41, 162–207. [Google Scholar] [CrossRef]
- Hooper, J.N.A.; Kennedy, J.A.; van Soest, R.W.M. Annotated Checklist of Sponges (Porifera) of the South China Sea Region. Raffles Bull. Zool. 2000, 8, 125–207. [Google Scholar]
- Lim, S.-C.; Putchakarn, S.; Thai, M.-Q.; Wang, D.; Huang, Y.M. Inventory of Sponge Fauna from the Singapore Strait to Taiwan Strait Along the Western Coastline of the South China Sea. Raffles Bull. Zool. 2016, 34, 104–129. [Google Scholar]
- Putra, S.A.; Ambo-Rappe, R.; Jompa, J.; de Voogd, N.J.D. Two Centuries of Sponges (Phylum Porifera) Taxonomic Studies in Indonesia (1820–2021): Checklist and Bibliography. Zootaxa 2023, 5298, 1–74. [Google Scholar] [CrossRef]
- de Weerdt, W.; van Soest, R. Haliclona (Halichoclona) vanderlandi spec. nov. (Porifera: Demospongiae: Haplosclerida) from Indonesia. Zool. Verh. 2001, 334, 189–194. [Google Scholar]
- de Voogd, N.; van Soest, R. Indonesian Sponges of the Genus Petrosia Vosmaer (Demospongiae: Haplosclerida). Zool. Meded. 2002, 76, 193–209. [Google Scholar]
- de Voogd, N. Amphimedon denhartogi spec. nov. (Porifera: Haplosclerida) from Deep Reef Habitats in Indonesia. Zool. Verh. 2003, 345, 418. [Google Scholar]
- de Voogd, N. Callyspongia (Euplacella) biru spec. nov. (Porifera: Demospongiae: Haplosclerida) from Indonesia. Zool. Meded. 2004, 78, 477–483. [Google Scholar]
- Calcinai, B.; Cerrano, C.; Totti, C.; Romagnoli, T.; Bavestrello, G. Symbiosis of Mycale (Mycale) vansoesti sp. nov. (Porifera, Demospongiae) with a Coralline Alga from North Sulawesi (Indonesia). Invertebr. Biol. 2006, 125, 195–204. [Google Scholar] [CrossRef]
- de Voogd, N.; Parra-Velandia, F.; van Soest, R. A New Agelas (Demospongiae: Agelasida: Agelasidae) from the Thousands Islands, West-Java, Indonesia. Zool. Meded. 2008, 82, 235–243. [Google Scholar]
- Becking, L.; Lim, S.-C. A New Suberites (Demospongiae: Hadromerida: Suberitidae) from the Tropical Indo-West Pacific. Zool. Meded. 2009, 83, 853–862. [Google Scholar]
- Calcinai, B.; Bastari, A.; Bavestrello, G.; Bertolino, M.; Horcajadas, S.B.; Pansini, M.; Makapedua, D.M.; Cerrano, C. Demosponge Diversity from North Sulawesi, with the Description of Six New Species. Zookeys 2017, 680, 105–150. [Google Scholar] [CrossRef]
- Abdillah, S.; Nurhayati, A.P.D.; Nurhatika, S.; Setiawan, E.; Heffen, W.L. Cytotoxic and Antioxidant Activities of Marine Sponge Diversity at Pecaron Bay Pasir Putih Situbondo East Java, Indonesia. J. Pharm. Res. 2013, 6, 685–689. [Google Scholar] [CrossRef]
- Trianto, A.; Radjasa, O.K.; Sabdono, A.; Muchlissin, S.; Afriyanto, R.; Sulistiowati, S.; Radjasa, S.; Crews, P.; McCauley, E. Exploration Culturable Bacterial Symbionts of Sponges from Ternate Islands, Indonesia. Biodiversitas 2019, 20, 776–782. [Google Scholar] [CrossRef]
- Julianti, E.; Singgih, M.; Ikram, M.R.; Naufal, A.; Putra, M.Y.; Hadi, T.A. Antimicrobial Activity of Fungi Isolated from the Marine Sponges Collected from Sekotong Beach Lombok, Indonesia. IOP Conf. Ser. Earth Environ. Sci. 2019, 339, 012058. [Google Scholar] [CrossRef]
- Sahidin, I.; Sabandar, C.W.; Wahyuni; Hamsidi, R.; Mardikasari, S.A.; Zubaydah, W.O.S.; Sadarun, B.; Musnina, W.O.S.; Darmawan, A.; Sundowo, A. Investigation of Compounds and Biological Activity of Selected Indonesian Marine Sponges. Nat. Prod. J. 2020, 10, 312–321. [Google Scholar]
- Yegdaneh, A.; Putchakarn, S.; Yuenyongsawad, S.; Ghannadi, A.; Plubrukarn, A. 3-Oxoabolene and 1-Oxocurcuphenol, Aromatic Bisabolanes from the Sponge Myrmekioderma sp. Nat. Prod. Commun. 2013, 8, 1934578X1300801002. [Google Scholar] [CrossRef]
- Arai, M.; Yamano, Y.; Fujita, M.; Setiawan, A.; Kobayashi, M. Stylissamide X, a New Proline-Rich Cyclic Octapeptide as an Inhibitor of Cell Migration, from an Indonesian Marine Sponge of Stylissa sp. Bioorg. Med. Chem. Lett. 2012, 22, 1818–1821. [Google Scholar] [CrossRef]
- Afifi, A.H.; El-Desoky, A.H.; Kato, H.; Mangindaan, R.E.P.; de Voogd, N.J.; Ammar, N.M.; Hifnawy, M.S.; Tsukamoto, S. Carteritins A and B, Cyclic Heptapeptides from the Marine Sponge Stylissa carteri. Tetrahedron Lett. 2016, 57, 1285–1288. [Google Scholar] [CrossRef]
- Whitson, E.L.; Bugni, T.S.; Chockalingam, P.S.; Concepcion, G.P.; Harper, M.K.; He, M.; Hooper, J.N.A.; Mangalindan, G.C.; Ritacco, F.; Ireland, C.M. Spheciosterol Sulfates, PKCζ Inhibitors from a Philippine Sponge Spheciospongia sp. J. Nat. Prod. 2008, 71, 1213–1217. [Google Scholar] [CrossRef] [PubMed]
- West, L.M.; Faulkner, D.J. Acanthosulfate, a Sulfated Hydroxyhydroquinone Sesterterpenoid from the Sponge Acanthodendrilla sp. J. Nat. Prod. 2008, 71, 269–271. [Google Scholar] [CrossRef] [PubMed]
- Williams, D.E.; Telliez, J.-B.; Liu, J.; Tahir, A.; van Soest, R.; Andersen, R.J. Meroterpenoid MAPKAP (MK2) Inhibitors Isolated from the Indonesian Marine Sponge Acanthodendrilla sp. J. Nat. Prod. 2004, 67, 2127–2129. [Google Scholar] [CrossRef]
- Rateb, M.E.; Houssen, W.E.; Schumacher, M.; Harrison, W.T.A.; Diederich, M.; Ebel, R.; Jaspars, M. Bioactive Diterpene Derivatives from the Marine Sponge Spongionella sp. J. Nat. Prod. 2009, 72, 1471–1476. [Google Scholar] [CrossRef] [PubMed]
- McCulloch, M.W.B.; Bugni, T.S.; Concepcion, G.P.; Coombs, G.S.; Harper, M.K.; Kaur, S.; Mangalindan, G.C.; Mutizwa, M.M.; Veltri, C.A.; Virshup, D.M.; et al. Carteriosulfonic Acids A−C, GSK-3β Inhibitors from a Carteriospongia sp. J. Nat. Prod. 2009, 72, 1651–1656. [Google Scholar] [CrossRef]
- Williams, D.E.; Hollander, I.; Feldberg, L.; Frommer, E.; Mallon, R.; Tahir, A.; van Soest, R.; Andersen, R.J. Scalarane-Based Sesterterpenoid RCE-Protease Inhibitors Isolated from the Indonesian Marine Sponge Carteriospongia foliascens. J. Nat. Prod. 2009, 72, 1106–1109. [Google Scholar] [CrossRef]
- Daletos, G.; de Voogd, N.J.; Müller, W.E.G.; Wray, V.; Lin, W.; Feger, D.; Kubbutat, M.; Aly, A.H.; Proksch, P. Cytotoxic and Protein Kinase Inhibiting Nakijiquinones and Nakijiquinols from the Sponge Dactylospongia metachromia. J. Nat. Prod. 2014, 77, 218–226. [Google Scholar] [CrossRef]
- Sadar, M.D.; Williams, D.E.; Mawji, N.R.; Patrick, B.O.; Wikanta, T.; Chasanah, E.; Irianto, H.E.; van Soest, R.V.; Andersen, R.J. Sintokamides A to E, Chlorinated Peptides from the Sponge Dysidea sp. that Inhibit Transactivation of the N-Terminus of the Androgen Receptor in Prostate Cancer Cells. Org. Lett. 2008, 10, 4947–4950. [Google Scholar] [CrossRef]
- Shin, A.-Y.; Son, A.; Choi, C.; Lee, J. Isolation of Scalarane-Type Sesterterpenoids from the Marine Sponge Dysidea sp. and Stereochemical Reassignment of 12-epi-Phyllactone D/E. Mar. Drugs 2021, 19, 627. [Google Scholar] [CrossRef]
- Abdjul, D.B.; Yamazaki, H.; Takahashi, O.; Kirikoshi, R.; Mangindaan, R.E.P.; Namikoshi, M. Two New Protein Tyrosine Phosphatase 1B Inhibitors, Hyattellactones A and B, from the Indonesian Marine Sponge Hyattella sp. Bioorg. Med. Chem. Lett. 2015, 25, 904–907. [Google Scholar] [CrossRef] [PubMed]
- Yamanokuchi, R.; Imada, K.; Miyazaki, M.; Kato, H.; Watanabe, T.; Fujimuro, M.; Saeki, Y.; Yoshinaga, S.; Terasawa, H.; Iwasaki, N.; et al. Hyrtioreticulins A–E, Indole Alkaloids Inhibiting the Ubiquitin-Activating Enzyme, from the Marine Sponge Hyrtios reticulatus. Bioorg. Med. Chem. 2012, 20, 4437–4442. [Google Scholar] [CrossRef] [PubMed]
- Imada, K.; Sakai, E.; Kato, H.; Kawabata, T.; Yoshinaga, S.; Nehira, T.; Terasawa, H.; Tsukamoto, S. Reticulatins A and B and Hyrtioreticulin F from the Marine Sponge Hyrtios reticulatus. Tetrahedron 2013, 69, 7051–7055. [Google Scholar] [CrossRef]
- Abdjul, D.B.; Yamazaki, H.; Kanno, S.I.; Wewengkang, D.S.; Rotinsulu, H.; Sumilat, D.A.; Ukai, K.; Kapojos, M.M.; Namikoshi, M. Furanoterpenes, New Types of Protein Tyrosine Phosphatase 1B Inhibitors, from Two Indonesian Marine Sponges, Ircinia and Spongia spp. Bioorg. Med. Chem. Lett. 2017, 27, 1159–1161. [Google Scholar] [CrossRef]
- Kotoku, N.; Ishida, R.; Matsumoto, H.; Arai, M.; Toda, K.; Setiawan, A.; Muraoka, O.; Kobayashi, M. Biakamides A–D, Unique Polyketides from a Marine Sponge, Act as Selective Growth Inhibitors of Tumor Cells Adapted to Nutrient Starvation. J. Org. Chem. 2017, 82, 1705–1718. [Google Scholar] [CrossRef]
- Lee, S.M.; Kim, N.-H.; Lee, S.; Kim, Y.N.; Heo, J.D.; Jeong, E.J.; Rho, J.-R. Deacetylphylloketal, a New Phylloketal Derivative from a Marine Sponge, Genus Phyllospongia, with Potent Anti-Inflammatory Activity in In Vitro Co-Culture Model of Intestine. Mar. Drugs 2019, 17, 634. [Google Scholar] [CrossRef]
- Afifi, A.H.; Kagiyama, I.; El-Desoky, A.H.; Kato, H.; Mangindaan, R.E.P.; de Voogd, N.J.; Ammar, N.M.; Hifnawy, M.S.; Tsukamoto, S. Sulawesins A–C, Furanosesterterpene Tetronic Acids That Inhibit USP7, from a Psammocinia sp. Marine Sponge. J. Nat. Prod. 2017, 80, 2045–2050. [Google Scholar] [CrossRef]
- Shin, A.-Y.; Lee, H.-S.; Lee, J. Isolation of Scalimides A–L: β-Alanine-Bearing Scalarane Analogs from the Marine Sponge Spongia sp. Mar. Drugs 2022, 20, 726. [Google Scholar] [CrossRef]
- Nguyen, H.M.; Ito, T.; Win, N.N.; Kodama, T.; Hung, V.Q.; Nguyen, H.T.; Morita, H. New Antibacterial Sesquiterpene Aminoquinones from a Vietnamese Marine Sponge of Spongia sp. Phytochem. Lett. 2016, 17, 288–292. [Google Scholar] [CrossRef]
- Nguyen, H.M.; Ito, T.; Kurimoto, S.; Ogawa, M.; Win, N.N.; Hung, V.Q.; Nguyen, H.T.; Kubota, T.; Kobayashi, J.; Morita, H. New Merosesquiterpenes from a Vietnamese Marine Sponge of Spongia sp. and their Biological Activities. Bioorg. Med. Chem. Lett. 2017, 27, 3043–3047. [Google Scholar] [CrossRef] [PubMed]
- Ito, T.; Nguyen, H.M.; Win, N.N.; Vo, H.Q.; Nguyen, H.T.; Morita, H. Three New Sesquiterpene Aminoquinones from a Vietnamese Spongia sp. and Their Biological Activities. J. Nat. Med. 2018, 72, 298–303. [Google Scholar] [CrossRef]
- El-Desoky, A.H.; Kato, H.; Angkouw, E.D.; Mangindaan, R.E.P.; de Voogd, N.J.; Tsukamoto, S. Ceylonamides A–F, Nitrogenous Spongian Diterpenes That Inhibit RANKL-Induced Osteoclastogenesis, from the Marine Sponge Spongia ceylonensis. J. Nat. Prod. 2016, 79, 1922–1928. [Google Scholar] [CrossRef] [PubMed]
- El-Desoky, A.H.; Kato, H.; Kagiyama, I.; Hitora, Y.; Losung, F.; Mangindaan, R.E.P.; de Voogd, N.J.; Tsukamoto, S. Ceylonins A–F, Spongian Diterpene Derivatives That Inhibit RANKL-Induced Formation of Multinuclear Osteoclasts, from the Marine Sponge Spongia ceylonensis. J. Nat. Prod. 2017, 80, 90–95. [Google Scholar] [CrossRef] [PubMed]
- El-Desoky, A.H.; Kato, H.; Tsukamoto, S. Ceylonins G–I: Spongian Diterpenes from the Marine Sponge Spongia ceylonensis. J. Nat. Med. 2017, 71, 765–769. [Google Scholar] [CrossRef]
- Kim, C.-K.; Riswanto, R.; Won, T.H.; Kim, H.; Elya, B.; Sim, C.J.; Oh, D.-C.; Oh, K.-B.; Shin, J. Manzamine Alkaloids from an Acanthostrongylophora sp. Sponge. J. Nat. Prod. 2017, 80, 1575–1583. [Google Scholar] [CrossRef]
- Rao, K.V.; Kasanah, N.; Wahyuono, S.; Tekwani, B.L.; Schinazi, R.F.; Hamann, M.T. Three New Manzamine Alkaloids from a Common Indonesian Sponge and Their Activity Against Infectious and Tropical Parasitic Diseases. J. Nat. Prod. 2004, 67, 1314–1318. [Google Scholar] [CrossRef]
- Peng, J.; Hu, J.-F.; Kazi, A.B.; Li, Z.; Avery, M.; Peraud, O.; Hill, R.T.; Franzblau, S.G.; Zhang, F.; Schinazi, R.F.; et al. Manadomanzamines A and B: A Novel Alkaloid Ring System with Potent Activity against Mycobacteria and HIV-1. J. Am. Chem. Soc. 2003, 125, 13382–13386. [Google Scholar] [CrossRef]
- Yousaf, M.; El Sayed, K.A.; Rao, K.V.; Lim, C.W.; Hu, J.-F.; Kelly, M.; Franzblau, S.G.; Zhang, F.; Peraud, O.; Hill, R.T.; et al. 12,34-Oxamanzamines, Novel Biocatalytic and Natural Products from Manzamine Producing Indo-Pacific Sponges. Tetrahedron 2002, 58, 7397–7402. [Google Scholar] [CrossRef]
- Esposito, G.; Bourguet-Kondracki, M.-L.; Mai, L.H.; Longeon, A.; Teta, R.; Meijer, L.; Van Soest, R.; Mangoni, A.; Costantino, V. Chloromethylhalicyclamine B, a Marine-Derived Protein Kinase CK1δ/ε Inhibitor. J. Nat. Prod. 2016, 79, 2953–2960. [Google Scholar] [CrossRef]
- Kato, H.; El-Desoky, A.H.; Takeishi, Y.; Nehira, T.; Angkouw, E.D.; Mangindaan, R.E.P.; de Voogd, N.J.; Tsukamoto, S. Tetradehydrohalicyclamine B, a New Proteasome Inhibitor from the Marine Sponge Acanthostrongylophora ingens. Bioorg. Med. Chem. Lett. 2019, 29, 8–10. [Google Scholar] [CrossRef]
- Ibrahim, S.R.M.; Mohamed, G.A. Ingenine E, A New Cytotoxic β-Carboline Alkaloid from the Indonesian Sponge Acanthostrongylophora ingens. J. Asian Nat. Prod. Res. 2017, 19, 504–509. [Google Scholar] [CrossRef]
- Ibrahim, S.; Mohamed, G.; Al Haidari, R.; El-Kholy, A.; Zayed, M. Ingenine F: A New Cytotoxic Tetrahydro Carboline Alkaloid from the Indonesian Marine Sponge Acanthostrongylophora ingens. Pharmacogn. Mag. 2018, 14, 231–234. [Google Scholar] [CrossRef] [PubMed]
- Furusato, A.; Kato, H.; Nehira, T.; Eguchi, K.; Kawabata, T.; Fujiwara, Y.; Losung, F.; Mangindaan, R.E.P.; de Voogd, N.J.; Takeya, M.; et al. Acanthomanzamines A–E with New Manzamine Frameworks from the Marine Sponge Acanthostrongylophora ingens. Org. Lett. 2014, 16, 3888–3891. [Google Scholar] [CrossRef] [PubMed]
- El-Desoky, A.H.; Kato, H.; Eguchi, K.; Kawabata, T.; Fujiwara, Y.; Losung, F.; Mangindaan, R.E.P.; de Voogd, N.J.; Takeya, M.; Yokosawa, H.; et al. Acantholactam and Pre-neo-kauluamine, Manzamine-Related Alkaloids from the Indonesian Marine Sponge Acanthostrongylophora ingens. J. Nat. Prod. 2014, 77, 1536–1540. [Google Scholar] [CrossRef]
- Kapojos, M.M.; Abdjul, D.B.; Yamazaki, H.; Ohshiro, T.; Rotinsulu, H.; Wewengkang, D.S.; Sumilat, D.A.; Tomoda, H.; Namikoshi, M.; Uchida, R. Callyspongiamides A and B, Sterol O-Acyltransferase Inhibitors, from the Indonesian Marine Sponge Callyspongia sp. Bioorg. Med. Chem. Lett. 2018, 28, 1911–1914. [Google Scholar] [CrossRef]
- Pham, C.-D.; Hartmann, R.; Böhler, P.; Stork, B.; Wesselborg, S.; Lin, W.; Lai, D.; Proksch, P. Callyspongiolide, a Cytotoxic Macrolide from the Marine Sponge Callyspongia sp. Org. Lett. 2014, 16, 266–269. [Google Scholar] [CrossRef]
- Ibrahim, S.R.M.; Min, C.C.; Teuscher, F.; Ebel, R.; Kakoschke, C.; Lin, W.; Wray, V.; Edrada-Ebel, R.; Proksch, P. Callyaerins A–F and H, New Cytotoxic Cyclic Peptides from the Indonesian Marine Sponge Callyspongia aerizusa. Bioorg. Med. Chem. Lett. 2010, 18, 4947–4956. [Google Scholar] [CrossRef]
- Ibrahim, S.R.; Edrada-Ebel, R.; Mohamed, G.A.; Youssef, D.T.; Wray, V.; Proksch, P. Callyaerin G, a New Cytotoxic Cyclic Peptide from the Marine Sponge Callyspongia aerizusa. Arkivoc 2008, 12, 164–171. [Google Scholar] [CrossRef]
- Chianese, G.; Fattorusso, E.; Taglialatela-Scafati, O.; Bavestrello, G.; Calcinai, B.; Dien, H.A.; Ligresti, A.; Di Marzo, V. Desulfohaplosamate, a New Phosphate-Containing Steroid from Dasychalina sp., is a Selective Cannabinoid CB2 Receptor Ligand. Steroids 2011, 76, 998–1002. [Google Scholar] [CrossRef]
- Trianto, A.; Hermawan, I.; de Voogd, N.J.; Tanaka, J. Halioxepine, a New Meroditerpene from an Indonesian Sponge Haliclona sp. Chem. Pharm. Bull. 2011, 59, 1311–1313. [Google Scholar] [CrossRef]
- Tarazona, G.; Benedit, G.; Fernández, R.; Pérez, M.; Rodríguez, J.; Jiménez, C.; Cuevas, C. Can Stereoclusters Separated by Two Methylene Groups Be Related by DFT Studies? The Case of the Cytotoxic Meroditerpenes Halioxepines. J. Nat. Prod. 2018, 81, 343–348. [Google Scholar] [CrossRef]
- Maarisit, W.; Abdjul, D.B.; Yamazaki, H.; Kato, H.; Rotinsulu, H.; Wewengkang, D.S.; Sumilat, D.A.; Kapojos, M.M.; Ukai, K.; Namikoshi, M. Anti-Mycobacterial Alkaloids, Cyclic 3-Alkyl Pyridinium Dimers, from the Indonesian Marine Sponge Haliclona sp. Bioorg. Med. Chem. Lett. 2017, 27, 3503–3506. [Google Scholar] [CrossRef] [PubMed]
- Williams, D.E.; Steinø, A.; de Voogd, N.J.; Mauk, A.G.; Andersen, R.J. Halicloic Acids A and B Isolated from the Marine Sponge Haliclona sp. Collected in the Philippines Inhibit Indoleamine 2,3-Dioxygenase. J. Nat. Prod. 2012, 75, 1451–1458. [Google Scholar] [CrossRef]
- Aoki, S.; Cao, L.; Matsui, K.; Rachmat, R.; Akiyama, S.-I.; Kobayashi, M. Kendarimide A, a Novel Peptide Reversing P-Glycoprotein-Mediated Multidrug Resistance in Tumor Cells, from a Marine Sponge of Haliclona sp. Tetrahedron 2004, 60, 7053–7059. [Google Scholar] [CrossRef]
- Hitora, Y.; Maeda, R.; Honda, K.; Sadahiro, Y.; Ise, Y.; Angkouw, E.D.; Mangindaan, R.E.P.; Tsukamoto, S. Neopetrosidines A–D, Pyridine Alkaloids Isolated from the Marine Sponge Neopetrosia chaliniformis and their Cell Cycle Elongation Activity. Bioorg. Med. Chem. 2021, 50, 116461. [Google Scholar] [CrossRef] [PubMed]
- Kato, H.; Nehira, T.; Matsuo, K.; Kawabata, T.; Kobashigawa, Y.; Morioka, H.; Losung, F.; Mangindaan, R.E.P.; de Voogd, N.J.; Yokosawa, H.; et al. Niphateolide A: Isolation from the Marine Sponge Niphates olemda and Determination of its Absolute Configuration by an ECD Analysis. Tetrahedron 2015, 71, 6956–6960. [Google Scholar] [CrossRef]
- Lorig-Roach, N.; Hamkins-Indik, F.; Johnson, T.A.; Tenney, K.; Valeriote, F.A.; Crews, P. The Potential of Achiral Sponge-Derived and Synthetic Bromoindoles as Selective Cytotoxins Against PANC-1 Tumor Cells. Tetrahedron 2018, 74, 217–223. [Google Scholar] [CrossRef]
- Martínez-Fructuoso, L.; Arends, S.J.R.; Freire, V.F.; Evans, J.R.; DeVries, S.; Peyser, B.D.; Akee, R.K.; Thornburg, C.C.; Kumar, R.; Ensel, S.; et al. Screen for New Antimicrobial Natural Products from the NCI Program for Natural Product Discovery Prefractionated Extract Library. ACS Infect. Dis. 2023, 9, 1245–1256. [Google Scholar] [CrossRef] [PubMed]
- Blyth, N.; Chen, Y.; Rouvier, F.; Brunel, J.M.; Cadelis, M.M.; Copp, B.R. Bioinspired Syntheses of the Marine Pyridoacridine Alkaloids 2-Bromo and 3-Bromodeoxyamphimedine and Structure Correction of 2-Bromoamphimedine. J. Nat. Prod. 2025, 88, 1901–1906. [Google Scholar] [CrossRef]
- Tanokashira, N.; Kukita, S.; Kato, H.; Nehira, T.; Angkouw, E.D.; Mangindaan, R.E.P.; de Voogd, N.J.; Tsukamoto, S. Petroquinones: Trimeric and Dimeric Xestoquinone Derivatives Isolated from the Marine Sponge Petrosia alfiani. Tetrahedron 2016, 72, 5530–5540. [Google Scholar] [CrossRef]
- Du, L.; Mahdi, F.; Datta, S.; Jekabsons, M.B.; Zhou, Y.-D.; Nagle, D.G. Structures and Mechanisms of Antitumor Agents: Xestoquinones Uncouple Cellular Respiration and Disrupt HIF Signaling in Human Breast Tumor Cells. J. Nat. Prod. 2012, 75, 1553–1559. [Google Scholar] [CrossRef]
- Noda, A.; Sakai, E.; Kato, H.; Losung, F.; Mangindaan, R.E.P.; de Voogd, N.J.; Yokosawa, H.; Tsukamoto, S. Strongylophorines, Meroditerpenoids from the Marine Sponge Petrosia corticata, Function as Proteasome Inhibitors. Bioorg. Med. Chem. Lett. 2015, 25, 2650–2653. [Google Scholar] [CrossRef] [PubMed]
- Murtihapsari, M.; Salam, S.; Kurnia, D.; Darwati, D.; Kadarusman, K.; Abdullah, F.F.; Herlina, T.; Husna, M.H.; Awang, K.; Shiono, Y.; et al. A New Antiplasmodial Sterol from Indonesian Marine Sponge, Xestospongia sp. Nat. Prod. Res. 2021, 35, 937–944. [Google Scholar] [CrossRef] [PubMed]
- Suwanborirux, K.; Amnuoypol, S.; Plubrukarn, A.; Pummangura, S.; Kubo, A.; Tanaka, C.; Saito, N. Chemistry of Renieramycins. Part 3. Isolation and Structure of Stabilized Renieramycin Type Derivatives Possessing Antitumor Activity from Thai Sponge Xestospongia Species, Pretreated with Potassium Cyanide. J. Nat. Prod. 2003, 66, 1441–1446. [Google Scholar] [CrossRef]
- Amnuoypol, S.; Suwanborirux, K.; Pummangura, S.; Kubo, A.; Tanaka, C.; Saito, N. Chemistry of Renieramycins. Part 5. Structure Elucidation of Renieramycin-Type Derivatives O, Q, R, and S from Thai Marine Sponge Xestospongia Species Pretreated with Potassium Cyanide. J. Nat. Prod. 2004, 67, 1023–1028. [Google Scholar] [CrossRef]
- Daikuhara, N.; Tada, Y.; Yamaki, S.; Charupant, K.; Amnuoypol, S.; Suwanborirux, K.; Saito, N. Chemistry of Renieramycins. Part 7: Renieramycins T and U, Novel Renieramycin–Ecteinascidin Hybrid Marine Natural Products from Thai Sponge Xestospongia sp. Tetrahedron Lett. 2009, 50, 4276–4278. [Google Scholar] [CrossRef]
- Saito, N.; Hiramatsu, A.; Hirade, H.; Kubota, M.; Toyoshima, R.; Fujino, A.; Sirimangkalakitti, N.; Suwanborirux, K.; Concepcion, G. Chemistry of Renieramycins. 16. Structure of 7-Desmethylrenieramycin O (= 14α-Hydroxyrenieramycin S) from Blue Sponge, Xestospongia sp. Heterocycles 2017, 95, 748–752. [Google Scholar] [CrossRef]
- Arai, M.; Kamiya, K.; Shin, D.; Matsumoto, H.; Hisa, T.; Setiawan, A.; Kotoku, N.; Kobayashi, M. N-Methylniphatyne A, a New 3-Alkylpyridine Alkaloid as an Inhibitor of the Cancer Cells Adapted to Nutrient Starvation, from an Indonesian Marine Sponge of Xestospongia sp. Chem. Pharm. Bull. 2016, 64, 766–771. [Google Scholar] [CrossRef]
- Yamakuma, M.; Kato, H.; Matsuo, K.; El-Desoky, A.H.; Kawabata, T.; Losung, F.; Mangindaan, R.E.P.; de Voogd, N.J.; Yokosawa, H.; Tsukamoto, S. 1-Hydroxyethylhalenaquinone: A New Proteasome Inhibitor from the Marine Sponge Xestospongia sp. Heterocycles 2014, 89, 2605–2610. [Google Scholar]
- Cao, S.; Foster, C.; Brisson, M.; Lazo, J.S.; Kingston, D.G.I. Halenaquinone and Xestoquinone Derivatives, Inhibitors of Cdc25B Phosphatase from a Xestospongia sp. Bioorg. Med. Chem. 2005, 13, 999–1003. [Google Scholar] [CrossRef]
- Dung, D.T.; Hang, D.T.T.; Yen, P.H.; Quang, T.H.; Nhiem, N.X.; Tai, B.H.; Minh, C.V.; Kim, Y.-C.; Kim, D.C.; Oh, H.; et al. Macrocyclic bis-Quinolizidine Alkaloids from Xestospongia muta. Nat. Prod. Res. 2019, 33, 400–406. [Google Scholar] [CrossRef]
- Vu Luu, P.; Minh Nguyen, H.; Minh Phan, P.; Duy Vo, A.; Ton-Nu, H.L. Testusterol, a New Sterol of the Sponge Species Xestospongia testudinaria from Phu Quoc Island, Vietnam. Nat. Prod. Res. 2025, 39, 4382–4390. [Google Scholar] [CrossRef] [PubMed]
- Millán-Aguiñaga, N.; Soria-Mercado, I.E.; Williams, P. Xestosaprol D and E from the Indonesian Marine Sponge Xestospongia sp. Tetrahedron Lett. 2010, 51, 751–753. [Google Scholar] [CrossRef]
- Dai, J.; Sorribas, A.; Yoshida, W.Y.; Kelly, M.; Williams, P.G. Xestosaprols from the Indonesian Marine Sponge Xestospongia sp. J. Nat. Prod. 2010, 73, 1188–1191. [Google Scholar] [CrossRef]
- Davis, R.A.; Mangalindan, G.C.; Bojo, Z.P.; Antemano, R.R.; Rodriguez, N.O.; Concepcion, G.P.; Samson, S.C.; de Guzman, D.; Cruz, L.J.; Tasdemir, D.; et al. Microcionamides A and B, Bioactive Peptides from the Philippine Sponge Clathria (Thalysias) abietina. J. Org. Chem. 2004, 69, 4170–4176. [Google Scholar] [CrossRef]
- Mokhlesi, A.; Stuhldreier, F.; Wex, K.W.; Berscheid, A.; Hartmann, R.; Rehberg, N.; Sureechatchaiyan, P.; Chaidir, C.; Kassack, M.U.; Kalscheuer, R.; et al. Cyclic Cystine-Bridged Peptides from the Marine Sponge Clathria basilana Induce Apoptosis in Tumor Cells and Depolarize the Bacterial Cytoplasmic Membrane. J. Nat. Prod. 2017, 80, 2941–2952. [Google Scholar] [CrossRef] [PubMed]
- Kasmiati, K.; Yoshioka, Y.; Okamoto, T.; Ojika, M. New Crambescidin-Type Alkaloids from the Indonesian Marine Sponge Clathria bulbotoxa. Mar. Drugs 2018, 16, 84. [Google Scholar] [CrossRef] [PubMed]
- Tran, T.D.; Cartner, L.K.; Bokesch, H.R.; Henrich, C.J.; Wang, X.W.; Mahidol, C.; Ruchirawat, S.; Kittakoop, P.; O’Keefe, B.R.; Gustafson, K.R. NMR Characterization of Rearranged Staurosporine Aglycone Analogues from the Marine Sponge Damiria sp. Magn. Reson. Chem. 2021, 59, 534–539. [Google Scholar] [CrossRef]
- Yang, F.; Zou, Y.; Wang, R.-P.; Hamann, M.T.; Zhang, H.-J.; Jiao, W.-H.; Han, B.-N.; Song, S.-J.; Lin, H.-W. Relative and Absolute Stereochemistry of Diacarperoxides: Antimalarial Norditerpene Endoperoxides from Marine Sponge Diacarnus megaspinorhabdosa. Mar. Drugs 2014, 12, 4399–4416. [Google Scholar] [CrossRef]
- Leng, X.; He, H.; Lazaro, J.E.H.; Chen, X.; Ouyang, H.; Li, T.; Yan, X.; He, S. Cyclic peroxides and analogs: Antibacterial, antimalarial, and cytotoxic marine products from Xisha sponge Diacarnus sp. Phytochemistry 2024, 223, 114097. [Google Scholar] [CrossRef]
- McCauley, E.P.; Lam, H.; Lorig-Roach, N.; Luu, J.; Lloyd, C.; Tenney, K.; Pietraszkiewicz, H.; Diaz, C.; Valeriote, F.A.; Auerbuch, V.; et al. Investigation of the Physical and Bioactive Properties of Bromo- and Iodo-Containing Sponge-Derived Compounds Possessing an Oxyphenylethanamine Core. J. Nat. Prod. 2017, 80, 3255–3266. [Google Scholar] [CrossRef]
- Ushiyama, S.; Umaoka, H.; Kato, H.; Suwa, Y.; Morioka, H.; Rotinsulu, H.; Losung, F.; Mangindaan, R.E.P.; de Voogd, N.J.; Yokosawa, H.; et al. Manadosterols A and B, Sulfonated Sterol Dimers Inhibiting the Ubc13–Uev1A Interaction, Isolated from the Marine Sponge Lissodendryx fibrosa. J. Nat. Prod. 2012, 75, 1495–1499. [Google Scholar] [CrossRef]
- Whitson, E.L.; Bugni, T.S.; Chockalingam, P.S.; Concepcion, G.P.; Feng, X.; Jin, G.; Harper, M.K.; Mangalinda, G.C.; McDonald, L.A.; Ireland, C.M. Fibrosterol Sulfates from the Philippine Sponge Lissodendoryx (Acanthodoryx) fibrosa: Sterol Dimers that Inhibit PKCζ. J. Org. Chem. 2009, 74, 5902–5908. [Google Scholar] [CrossRef]
- Phuwapraisirisan, P.; Matsunaga, S.; Fusetani, N.; Chaitanawisuti, N.; Kritsanapuntu, S.; Menasveta, P. Mycaperoxide H, a New Cytotoxic Norsesterterpene Peroxide from a Thai Marine Sponge Mycale sp. J. Nat. Prod. 2003, 66, 289–291. [Google Scholar] [CrossRef]
- Raslan, A.E.; Radwan, M.M.; Ahmed, S.A.; Nafady, A.M.; Zaki, M.A.; Wanas, A.S.; Abou-Karam, M.; Shier, T.W.; Hassanean, H.A.; ElSohly, M.A. Monanchoramides A–D, Ceramides from the Marine Sponge Monanchora clathrata with Cytotoxic Activity. Phytochem. Lett. 2018, 23, 83–89. [Google Scholar] [CrossRef]
- Arai, M.; Han, C.; Yamano, Y.; Setiawan, A.; Kobayashi, M. Aaptamines, Marine Spongean Alkaloids, as Anti-Dormant Mycobacterial Substances. J. Nat. Prod. 2014, 68, 372–376. [Google Scholar] [CrossRef] [PubMed]
- Hamada, T.; Matsumoto, Y.; Phan, C.-S.; Kamada, T.; Onitsuka, S.; Okamura, H.; Iwagawa, T.; Arima, N.; Tani, F.; Vairappan, C.S. Aaptamine-Related Alkaloid from the Marine Sponge Aaptos aaptos. Nat. Prod. Commun. 2019, 14, 1934578X19863935. [Google Scholar] [CrossRef]
- Pham, C.-D.; Hartmann, R.; Müller, W.E.G.; de Voogd, N.; Lai, D.; Proksch, P. Aaptamine Derivatives from the Indonesian Sponge Aaptos suberitoides. J. Nat. Prod. 2013, 76, 103–106. [Google Scholar] [CrossRef]
- Satitpatipan, V.; Suwanborirux, K. New Nitrogenous Germacranes from a Thai Marine Sponge Axinyssa n. sp. J. Nat. Prod. 2004, 67, 503–505. [Google Scholar] [CrossRef] [PubMed]
- Tabakmakher, K.M.; Makarieva, T.N.; Denisenko, V.A.; Popov, R.S.; Dmitrenok, P.S.; Dyshlovoy, S.A.; Grebnev, B.B.; Bokemeyer, C.; von Amsberg, G.; Cuong, N.X. New Trisulfated Steroids from the Vietnamese Marine Sponge Halichondria vansoesti and Their PSA Expression and Glucose Uptake Inhibitory Activities. Mar. Drugs 2019, 17, 445. [Google Scholar] [CrossRef]
- Wonganuchitmeta, S.-N.; Yuenyongsawad, S.; Keawpradub, N.; Plubrukarn, A. Antitubercular Sesterterpenes from the Thai Sponge Brachiaster sp. J. Nat. Prod. 2004, 67, 1767–1770. [Google Scholar] [CrossRef]
- Mokhlesi, A.; Hartmann, R.; Kurtán, T.; Weber, H.; Lin, W.; Chaidir, C.; Müller, W.E.G.; Daletos, G.; Proksch, P. New 2-Methoxy Acetylenic Acids and Pyrazole Alkaloids from the Marine Sponge Cinachyrella sp. Mar. Drugs 2017, 15, 356. [Google Scholar]
- Urda, C.; Fernández, R.; Rodríguez, J.; Pérez, M.; Jiménez, C.; Cuevas, C. Daedophamide, a Cytotoxic Cyclodepsipeptide from a Daedalopelta sp. Sponge Collected in Indonesia. J. Nat. Prod. 2017, 80, 3054–3059. [Google Scholar] [CrossRef]
- Tarazona, G.; Fernández, R.; Pérez, M.; Millán, R.E.; Jiménez, C.; Rodríguez, J.; Cuevas, C. Enigmazole C: A Cytotoxic Macrocyclic Lactone and Its Ring-Opened Derivatives from a New Species of Homophymia Sponge. J. Nat. Prod. 2022, 85, 1059–1066. [Google Scholar] [CrossRef]
- Ebada, S.S.; Wray, V.; de Voogd, N.J.; Deng, Z.; Lin, W.; Proksch, P. Two New Jaspamide Derivatives from the Marine Sponge Jaspis splendens. Mar. Drugs 2009, 7, 434–444. [Google Scholar] [CrossRef]
- Ebada, S.S.; Müller, W.E.G.; Lin, W.; Proksch, P. New Acyclic Cytotoxic Jasplakinolide Derivative from the Marine Sponge Jaspis splendens. Mar. Drugs 2019, 17, 100. [Google Scholar] [CrossRef]
- Tarazona, G.; Santamaría, G.; Cruz, P.G.; Fernández, R.; Pérez, M.; Martínez-Leal, J.F.; Rodríguez, J.; Jiménez, C.; Cuevas, C. Cytotoxic Anomoian B and Aplyzanzine B, New Bromotyrosine Alkaloids from Indonesian Sponges. ACS Omega 2017, 2, 3494–3501. [Google Scholar] [CrossRef] [PubMed]
- Wang, C.-Y.; Wang, B.-G.; Wiryowidagdo, S.; Wray, V.; van Soest, R.; Steube, K.G.; Guan, H.-S.; Proksch, P.; Ebel, R. Melophlins C−O, Thirteen Novel Tetramic Acids from the Marine Sponge Melophlus sarassinorum. J. Nat. Prod. 2003, 66, 51–56. [Google Scholar] [CrossRef]
- Petchprayoon, C.; Asato, Y.; Higa, T.; Garcia-Fernandez, L.; Pedpradab, S.; Marriott, G.; Suwanborirux, K.; Tanaka, J. Four New Kabiramides from the Thai Sponge, Pachastrissa nux. Heterocycles 2007, 69, 447–456. [Google Scholar] [CrossRef]
- Sirirak, T.; Kittiwisut, S.; Janma, C.; Yuenyongsawad, S.; Suwanborirux, K.; Plubrukarn, A. Kabiramides J and K, Trisoxazole Macrolides from the Sponge Pachastrissa nux. J. Nat. Prod. 2011, 74, 1288–1292. [Google Scholar] [CrossRef]
- Sirirak, T.; Brecker, L.; Plubrukarn, A. Kabiramide L, a New Antiplasmodial Trisoxazole Macrolide from the Sponge Pachastrissa nux. Nat. Prod. Res. 2013, 27, 1213–1219. [Google Scholar] [CrossRef]
- Fouad, M.; Edrada, R.A.; Ebel, R.; Wray, V.; Müller, W.E.G.; Lin, W.H.; Proksch, P. Cytotoxic Isomalabaricane Triterpenes from the Marine Sponge Rhabdastrella globostellata. J. Nat. Prod. 2006, 69, 211–218. [Google Scholar] [CrossRef] [PubMed]
- Aoki, S.; Sanagawa, M.; Watanabe, Y.; Setiawan, A.; Arai, M.; Kobayashi, M. Novel Isomarabarican Triterpenes, Exhibiting Selective Anti-Proliferative Activity Against Vascular Endothelial Cells, from Marine Sponge Rhabdastrella globostellata. Bioorg. Med. Chem. 2007, 15, 4818–4828. [Google Scholar] [CrossRef] [PubMed]
- Schmidt, E.W.; Raventos-Suarez, C.; Bifano, M.; Menendez, A.T.; Fairchild, C.R.; Faulkner, D.J. Scleritodermin A, a Cytotoxic Cyclic Peptide from the Lithistid Sponge Scleritoderma nodosum. J. Nat. Prod. 2004, 67, 475–478. [Google Scholar] [CrossRef] [PubMed]
- Plaza, A.; Bifulco, G.; Keffer, J.L.; Lloyd, J.R.; Baker, H.L.; Bewley, C.A. Celebesides A−C and Theopapuamides B−D, Depsipeptides from an Indonesian Sponge that Inhibit HIV-1 Entry. J. Org. Chem. 2009, 74, 504–512. [Google Scholar] [CrossRef]
- Sinisi, A.; Calcinai, B.; Cerrano, C.; Dien, H.A.; Zampella, A.; D’Amore, C.; Renga, B.; Fiorucci, S.; Taglialatela-Scafati, O. New tridecapeptides of the Theonellapeptolide Family from the Indonesian Sponge Theonella swinhoei. Beilstein J. Org. Chem. 2013, 9, 1643–1651. [Google Scholar] [CrossRef]
- Sinisi, A.; Calcinai, B.; Cerrano, C.; Dien, H.A.; Zampella, A.; D’Amore, C.; Renga, B.; Fiorucci, S.; Taglialatela-Scafati, O. Isoswinholide B and Swinholide K, Potently Cytotoxic Dimeric Macrolides from Theonella swinhoei. Bioorg. Med. Chem. 2013, 21, 5332–5338. [Google Scholar] [CrossRef]
- Niemann, H.; Lin, W.; Müller, W.E.G.; Kubbutat, M.; Lai, D.; Proksch, P. Trimeric Hemibastadin Congener from the Marine Sponge Ianthella basta. J. Nat. Prod. 2013, 76, 121–125. [Google Scholar] [CrossRef] [PubMed]
- Ridley, C.P.; Faulkner, D.J. New Cytotoxic Steroidal Alkaloids from the Philippine Sponge Corticium niger. J. Nat. Prod. 2003, 66, 1536–1539. [Google Scholar] [CrossRef]
- Sunassee, S.N.; Ransom, T.; Henrich, C.J.; Beutler, J.A.; Covell, D.G.; McMahon, J.B.; Gustafson, K.R. Steroidal Alkaloids from the Marine Sponge Corticium niger That Inhibit Growth of Human Colon Carcinoma Cells. J. Nat. Prod. 2014, 77, 2475–2480. [Google Scholar] [CrossRef]
- Aoki, S.; Watanabe, Y.; Sanagawa, M.; Setiawan, A.; Kotoku, N.; Kobayashi, M. Cortistatins A, B, C, and D, Anti-Angiogenic Steroidal Alkaloids, from the Marine Sponge Corticium simplex. J. Am. Chem. Soc. 2006, 128, 3148–3149. [Google Scholar] [CrossRef] [PubMed]
- Watanabe, Y.; Aoki, S.; Tanabe, D.; Setiawan, A.; Kobayashi, M. Cortistatins E, F, G, and H, Four Novel Steroidal Alkaloids from Marine Sponge Corticium simplex. Tetrahedron 2007, 63, 4074–4079. [Google Scholar] [CrossRef]
- Aoki, S.; Watanabe, Y.; Tanabe, D.; Setiawan, A.; Arai, M.; Kobayashi, M. Cortistatins J, K, L, Novel abeo-9(10-19)-Androstane-Type Steroidal Alkaloids with Isoquinoline Unit, from Marine Sponge Corticium simplex. Tetrahedron Lett. 2007, 48, 4485–4488. [Google Scholar] [CrossRef]
- Kwon, I.-S.; Kwak, J.H.; Pyo, S.; Lee, H.-W.; Kim, A.; Schmitz, F.J. Oscarellin, an Anthranilic Acid Derivative from a Philippine Sponge, Oscarella stillans, as an Inhibitor of Inflammatory Cytokines in Macrophages. J. Nat. Prod. 2017, 80, 149–155. [Google Scholar] [CrossRef]
- Fattorusso, C.; Persico, M.; Calcinai, B.; Cerrano, C.; Parapini, S.; Taramelli, D.; Novellino, E.; Romano, A.; Scala, F.; Fattorusso, E.; et al. Manadoperoxides A−D from the Indonesian Sponge Plakortis cfr. simplex. Further Insights on the Structure−Activity Relationships of Simple 1,2-Dioxane Antimalarials. J. Nat. Prod. 2010, 73, 1138–1145. [Google Scholar] [CrossRef]
- Chianese, G.; Fattorusso, E.; Scala, F.; Teta, R.; Calcinai, B.; Bavestrello, G.; Dien, H.A.; Kaiser, M.; Tasdemir, D.; Taglialatela-Scafati, O. Manadoperoxides, a New Class of Potent Antitrypanosomal Agents of Marine Origin. Org. Biomol. Chem. 2012, 10, 7197–7207. [Google Scholar] [CrossRef] [PubMed]
- Chianese, G.; Scala, F.; Calcinai, B.; Cerrano, C.; Dien, H.A.; Kaiser, M.; Tasdemir, D.; Taglialatela-Scafati, O. Natural and Semisynthetic Analogues of Manadoperoxide B Reveal New Structural Requirements for Trypanocidal Activity. Mar. Drugs 2013, 11, 3297–3308. [Google Scholar] [CrossRef]
- Costantino, V.; Della Sala, G.; Saurav, K.; Teta, R.; Bar-Shalom, R.; Mangoni, A.; Steindler, L. Plakofuranolactone as a Quorum Quenching Agent from the Indonesian Sponge Plakortis cf. lita. Mar. Drugs 2017, 15, 59. [Google Scholar] [CrossRef]
- Chianese, G.; Sepe, V.; Limongelli, V.; Renga, B.; D’Amore, C.; Zampella, A.; Taglialatela-Scafati, O.; Fiorucci, S. Incisterols, Highly Degraded Marine Sterols, Are a New Chemotype of PXR Agonists. Steroids 2014, 83, 80–85. [Google Scholar] [CrossRef]
- Pettit, G.R.; Nogawa, T.; Knight, J.C.; Doubek, D.L.; Hooper, J.N.A. Antineoplastic Agents. 535. Isolation and Structure of Plakorstatins 1 and 2 from the Indo-Pacific Sponge Plakortis nigra. J. Nat. Prod. 2004, 67, 1611–1613. [Google Scholar] [CrossRef]
- Huang, T.; Zou, Y.; Wu, M.-C.; Zhao, Q.-J.; Hu, H.-G. Total Synthesis of Proline-Rich Cyclic Octapeptide Stylissamide X. Chem. Nat. Compd. 2015, 51, 523–526. [Google Scholar] [CrossRef]
- Li, Y.; Chang, Q.; Wu, M.; Zhao, X. Total Synthesis of Five Proline-Enriched Cyclic Heptapeptides from the Marine Sponge Stylissa carteri. Tetrahedron Lett. 2018, 59, 1828–1831. [Google Scholar] [CrossRef]
- Rosales, J.; Cabrera, G.; Justicia, J. Exploring Short and Efficient Synthetic Routes Using Titanocene(III)-Catalyzed Reactions: Total Synthesis of Natural Meroterpenes with Trisubstituted Unsaturations. Molecules 2022, 27, 2400. [Google Scholar] [CrossRef]
- Selka, A.; Abidli, A.; Schiavo, L.; Jeanmart, L.; Hanquet, G.; Lubell, W.D. Recent Advances in Sustainable Total Synthesis and Chiral Pool Strategies with Emphasis on (−)-Sclareol in Natural Products Synthesis. Eur. J. Org. Chem. 2025, 28, e202400983. [Google Scholar] [CrossRef]
- Leirós, M.; Sánchez, J.A.; Alonso, E.; Rateb, M.E.; Houssen, W.E.; Ebel, R.; Jaspars, M.; Alfonso, A.; Botana, L.M. Spongionella Secondary Metabolites Protect Mitochondrial Function in Cortical Neurons against Oxidative Stress. Mar. Drugs 2014, 12, 700–718. [Google Scholar] [CrossRef] [PubMed]
- Sánchez, J.A.; Alfonso, A.; Leirós, M.; Alonso, E.; Rateb, M.E.; Jaspars, M.; Houssen, W.E.; Ebel, R.; Botana, L.M. Spongionella Secondary Metabolites Regulate Store Operated Calcium Entry Modulating Mitochondrial Functioning in SH-SY5Y Neuroblastoma Cells. Cell. Physiol. Biochem. 2015, 37, 779–792. [Google Scholar] [CrossRef] [PubMed]
- Leirós, M.; Alonso, E.; Rateb, M.E.; Houssen, W.E.; Ebel, R.; Jaspars, M.; Alfonso, A.; Botana, L.M. Gracilins: Spongionella-Derived Promising Compounds for Alzheimer Disease. Neuropharmacology 2015, 93, 285–293. [Google Scholar] [CrossRef] [PubMed]
- Gegunde, S.; Alfonso, A.; Alonso, E.; Alvariño, R.; Botana, L.M. Gracilin-Derivatives as Lead Compounds for Anti-inflammatory Effects. Cell. Mol. Neurobiol. 2020, 40, 603–615. [Google Scholar] [CrossRef]
- Shigemori, H.; Madono, T.; Sasaki, T.; Mikami, Y.; Kobayashi, J. Nakijiquinones A and B, New Antifungal Sesquiterpenoid Quinones with an Amino Acid Residue from an Okinawan Marine Sponge. Tetrahedron 1994, 50, 8347–8354. [Google Scholar] [CrossRef]
- Kobayashi, J.; Madono, T.; Shigemori, H. Nakijiquinones C and D, New Sesquiterpenoid Quinones with a Hydroxy Amino Acid Residue from a Marine Sponge Inhibiting c-erbB-2 Kinase. Tetrahedron 1995, 51, 10867–10874. [Google Scholar] [CrossRef]
- van Stuijvenberg, J.; Proksch, P.; Fritz, G. Targeting the DNA Damage Response (DDR) by Natural Compounds. Bioorg. Med. Chem. 2020, 28, 115279. [Google Scholar] [CrossRef] [PubMed]
- Gu, Z.; Zakarian, A. Concise Total Synthesis of Sintokamides A, B, and E by a Unified, Protecting-Group-Free Strategy. Angew. Chem. Int. Ed. 2010, 49, 9702. [Google Scholar] [CrossRef]
- Jin, Y.; Liu, Y.; Wang, Z.; Kwong, S.; Xu, Z.; Ye, T. Total synthesis of sintokamide C. Org. Lett. 2010, 12, 1100–1103. [Google Scholar] [CrossRef]
- Banuelos, C.A.; Tavakoli, I.; Tien, A.H.; Caley, D.P.; Mawji, N.R.; Li, Z.; Wang, J.; Yang, Y.C.; Imamura, Y.; Yan, L.; et al. Sintokamide A Is a Novel Antagonist of Androgen Receptor That Uniquely Binds Activation Function-1 in Its Amino-terminal Domain. J. Biol. Chem. 2016, 291, 22231–22243. [Google Scholar] [CrossRef]
- Yan, L.; Banuelos, C.A.; Mawji, N.R.; Patrick, B.O.; Sadar, M.D.; Andersen, R.J. Structure–Activity Relationships for the Marine Natural Product Sintokamides: Androgen Receptor N-Terminus Antagonists of Interest for Treatment of Metastatic Castration-Resistant Prostate Cancer. J. Nat. Prod. 2021, 84, 797–813. [Google Scholar] [CrossRef] [PubMed]
- Abe, T.; Yamada, K. Concise Syntheses of Hyrtioreticulins C and D via a C-4 Pictet–Spengler Reaction: Revised Signs of Specific Rotations. J. Nat. Prod. 2017, 80, 241–245. [Google Scholar] [CrossRef] [PubMed]
- Chen, B.-R.; Gao, C.-L.; Liu, J.; Guo, Y.-W.; Jiang, J.-L.; Pang, T.; Li, X.-W. Diversity-Oriented Synthesis of Marine Sponge Derived Hyrtioreticulins and Their Anti-Inflammatory Activities. Chin. J. Nat. Med. 2022, 20, 74–80. [Google Scholar] [CrossRef]
- Ishida, R.; Matsumoto, H.; Ichii, S.; Kobayashi, M.; Arai, M.; Kotoku, N. Structure–Activity Relationship of Biakamide, Selective Growth Inhibitors under Nutrient-Starved Condition from Marine Sponge. Chem. Pharm. Bull. 2019, 67, 210–223. [Google Scholar] [CrossRef] [PubMed]
- Jomori, T.; Setiawan, A.; Sasaoka, M.; Arai, M. Cytotoxicity of New Diterpene Alkaloids, Ceylonamides G-I, Isolated from Indonesian Marine Sponge of Spongia sp. Nat. Prod. Commun. 2019, 14, 1934578X19857294. [Google Scholar] [CrossRef]
- Piwko, A.T.; Miller, B.G.; Smith, J.M. Revisiting the Manzamine Biosynthetic Hypothesis. Nat. Prod. Rep. 2023, 40, 964–971. [Google Scholar] [CrossRef]
- Waters, A.L.; Peraud, O.; Kasanah, N.; Sims, J.W.; Kothalawala, N.; Anderson, M.A.; Abbas, S.H.; Rao, K.V.; Jupally, V.R.; Kelly, M.; et al. An Analysis of the Sponge Acanthostrongylophora igens’ Microbiome Yields an Actinomycete that Produces the Natural Product Manzamine A. Front. Mar. Sci. 2014, 1, 54. [Google Scholar] [CrossRef]
- Rao, K.V.; Donia, M.S.; Peng, J.; Garcia-Palomero, E.; Alonso, D.; Martinez, A.; Medina, M.; Franzblau, S.G.; Tekwani, B.L.; Khan, S.I.; et al. Manzamine B and E and Ircinal A Related Alkaloids from an Indonesian Acanthostrongylophora Sponge and Their Activity against Infectious, Tropical Parasitic, and Alzheimer’s Diseases. J. Nat. Prod. 2006, 69, 1034–1040. [Google Scholar] [CrossRef]
- Rao, K.V.; Santarsiero, B.D.; Mesecar, A.D.; Schinazi, R.F.; Tekwani, B.L.; Hamann, M.T. New Manzamine Alkaloids with Activity against Infectious and Tropical Parasitic Diseases from an Indonesian Sponge. J. Nat. Prod. 2003, 66, 823–828. [Google Scholar] [CrossRef]
- El Sayed, K.A.; Kelly, M.; Kara, U.A.K.; Ang, K.K.H.; Katsuyama, I.; Dunbar, D.C.; Khan, A.A.; Hamann, M.T. New Manzamine Alkaloids with Potent Activity Against Infectious Diseases. J. Am. Chem. Soc. 2001, 123, 1804–1808. [Google Scholar] [CrossRef]
- Ohtani, I.I.; Ichiba, T.; Isobe, M.; Kelly-Borges, M.; Scheuer, P.J. Kauluamine, an Unprecedented Manzamine Dimer from an Indonesian Marine Sponge, Prianos sp. J. Am. Chem. Soc. 1995, 117, 10743–10744. [Google Scholar] [CrossRef]
- Desqueyroux-Faúndez, R.; Valentine, C. Family Petrosiidae van Soest, 1980. In Systema Porifera: A Guide to the Classification of Sponges; Hooper, J.N.A., van Soest, R.W.M., Willenz, P., Eds.; Springer: Boston, MA, USA, 2002; pp. 906–917. [Google Scholar]
- Dewi, A.S.; Hadi, T.A.; Fajarningsih, N.D.; Blanchfield, J.T.; Bernhardt, P.V.; Garson, M.J. Acanthocyclamine A from the Indonesian Marine Sponge Acanthostrongylophora ingens. Aust. J. Chem. 2014, 67, 1205–1210. [Google Scholar] [CrossRef]
- Esposito, G.; Mai, L.H.; Longeon, A.; Mangoni, A.; Durieu, E.; Meijer, L.; van Soest, R.; Costantino, V.; Bourguet-Kondracki, M.-L. A Collection of Bioactive Nitrogen-Containing Molecules from the Marine Sponge Acanthostrongylophora ingens. Mar. Drugs 2019, 17, 472. [Google Scholar] [CrossRef]
- Ibrahim, S.R.M.; Mohamed, G.A.; Zayed, M.F.; Sayed, H.M. Ingenines A and B, Two New Alkaloids from the Indonesian Sponge Acanthostrongylophora ingens. Drug Res. 2015, 65, 361–365. [Google Scholar] [CrossRef][Green Version]
- Ibrahim, S.R.M.; Mohamed, G.A. Ingenines C and D, New Cytotoxic Pyrimidine-β-Carboline Alkaloids from the Indonesian Sponge Acanthostrongylophora ingens. Phytochem. Lett. 2016, 18, 168–171. [Google Scholar] [CrossRef]
- Hadisaputri, Y.E.; Nurhaniefah, A.A.; Sukmara, S.; Zuhrotun, A.; Hendriani, R.; Sopyan, I. Callyspongia spp.: Secondary Metabolites, Pharmacological Activities, and Mechanisms. Metabolites 2023, 13, 217. [Google Scholar] [CrossRef] [PubMed]
- Bhattacharjee, P.; Rutland, N.; Iyer, M.R. Targeting Sterol O-Acyltransferase/Acyl-CoA:Cholesterol Acyltransferase (ACAT): A Perspective on Small-Molecule Inhibitors and Their Therapeutic Potential. J. Med. Chem. 2022, 65, 16062–16098. [Google Scholar] [CrossRef]
- Zhou, J.; Gao, B.; Xu, Z.; Ye, T. Total Synthesis and Stereochemical Assignment of Callyspongiolide. J. Am. Chem. Soc. 2016, 138, 6948–6951. [Google Scholar] [CrossRef] [PubMed]
- Ko, K.-Y.; Wilson, Z.E.; Brimble, M.A. The Synthesis and Bioactivity of the Marine Macrolide Callyspongiolide. Chem. Eur. J. 2021, 27, 2589–2611. [Google Scholar] [CrossRef]
- Lee, S.; Jeong, Y.; Roe, J.S.; Huh, H.; Paik, S.H.; Song, J. Mitochondrial Dysfunction Induced by Callyspongiolide Promotes Autophagy-Dependent Cell Death. BMB Rep. 2021, 54, 227–232. [Google Scholar] [CrossRef]
- Ha, J.; Park, S.B. Callyspongiolide Kills Cells by Inducing Mitochondrial Dysfunction via Cellular Iron Depletion. Commun. Biol. 2021, 4, 1123. [Google Scholar] [CrossRef]
- Fogarty, S.; Ouyang, Y.; Li, L.; Chen, Y.-C.; Rane, H.; Manoni, F.; Parra, K.J.; Rutter, J.; Harran, P.G. Callyspongiolide is a Potent Inhibitor of the Vacuolar ATPase. J. Nat. Prod. 2020, 83, 3381–3386. [Google Scholar] [CrossRef]
- Daletos, G.; Kalscheuer, R.; Koliwer-Brandl, H.; Hartmann, R.; de Voogd, N.J.; Wray, V.; Lin, W.; Proksch, P. Callyaerins from the Marine Sponge Callyspongia aerizusa: Cyclic Peptides with Antitubercular Activity. J. Nat. Prod. 2015, 78, 1910–1925. [Google Scholar] [CrossRef]
- Podlesainski, D.; Adeniyi, E.T.; Gröner, Y.; Schulz, F.; Krisilia, V.; Rehberg, N.; Richter, T.; Sehr, D.; Xie, H.; Simons, V.E.; et al. The Anti-Tubercular Callyaerins Target the Mycobacterium tuberculosis-Specific Non-Essential Membrane Protein Rv2113. Cell Chem. Biol. 2024, 31, 1755–1771.e1773. [Google Scholar] [CrossRef]
- Zhang, S.; De Leon Rodriguez, L.M.; Leung, I.K.H.; Cook, G.M.; Harris, P.W.R.; Brimble, M.A. Total Synthesis and Conformational Study of Callyaerin A: Anti-Tubercular Cyclic Peptide Bearing a Rare Rigidifying (Z)-2,3- Diaminoacrylamide Moiety. Angew. Chem. Int. Ed. 2018, 57, 3631–3635. [Google Scholar] [CrossRef] [PubMed]
- Molinski, T.F. Marine Pyridoacridine Alkaloids: Structure, Synthesis, and Biological Chemistry. Chem. Rev. 1993, 93, 1825–1838. [Google Scholar] [CrossRef]
- Centko, R.M.; Steinø, A.; Rosell, F.I.; Patrick, B.O.; de Voogd, N.; Mauk, A.G.; Andersen, R.J. Indoleamine 2,3-Dioxygenase Inhibitors Isolated from the Sponge Xestospongia vansoesti: Structure Elucidation, Analogue Synthesis, and Biological Activity. Org. Lett. 2014, 16, 6480–6483. [Google Scholar] [CrossRef]
- Shi, Y.; Ji, Y.; Xin, K.; Gao, S. Total Synthesis of (−)-Xestosaprol N and O. Org. Lett. 2018, 20, 732–735. [Google Scholar] [CrossRef] [PubMed]
- Frincke, J.M.; Faulkner, D.J. Antimicrobial Metabolites of the Sponge Reniera sp. J. Am. Chem. Soc. 1982, 104, 265–269. [Google Scholar] [CrossRef]
- Fang, Y.; Li, H.; Ji, B.; Cheng, K.; Wu, B.; Li, Z.; Zheng, C.; Hua, H.; Li, D. Renieramycin-Type Alkaloids from Marine-Derived Organisms: Synthetic Chemistry, Biological Activity and Structural Modification. Eur. J. Med. Chem. 2021, 210, 113092. [Google Scholar] [CrossRef]
- Scott, J.D.; Williams, R.M. Chemistry and Biology of the Tetrahydroisoquinoline Antitumor Antibiotics. Chem. Rev. 2002, 102, 1669–1730. [Google Scholar] [CrossRef]
- Schofield, M.M.; Jain, S.; Porat, D.; Dick, G.J.; Sherman, D.H. Identification and Analysis of the Bacterial Endosymbiont Specialized for Production of the Chemotherapeutic Natural Product ET-743. Environ. Microbiol. 2015, 17, 3964–3975. [Google Scholar] [CrossRef]
- Tianero, M.D.; Balaich, J.N.; Donia, M.S. Localized Production of Defence Chemicals by Intracellular Symbionts of Haliclona Sponges. Nat. Microbiol. 2019, 4, 1149–1159. [Google Scholar] [CrossRef]
- Tan, L.T.; Putchakarn, S. Discovery and Development of Potential Therapeutic Agents from Sponge-Derived Marine Natural Products in Thailand. In Marine Natural Products Research in South-East Asia: Current Status and Perspectives; Tan, L.T., Hanif, N., Eds.; Springer: Cham, Switzerland, 2025; pp. 413–484. [Google Scholar]
- Ortigosa-Palomo, A.; Quiñonero, F.; Ortiz, R.; Sarabia, F.; Prados, J.; Melguizo, C. Natural Products Derived from Marine Sponges with Antitumor Potential against Lung Cancer: A Systematic Review. Mar. Drugs 2024, 22, 101. [Google Scholar] [CrossRef] [PubMed]
- Saito, N.; Yoshino, M.; Charupant, K.; Suwanborirux, K. Chemistry of Renieramycins. Part 10. Structure of Renieramycin V, a Novel Renieramycin Marine Natural Product Having a Sterol Ether at C-14 Position. Heterocycles 2012, 84, 309–314. [Google Scholar] [CrossRef]
- Tatsukawa, M.; Punzalan, L.L.C.; Magpantay, H.D.; Villasenor, I.M.; Concepcion, G.P.; Suwanborirux, K.; Yokoya, M.; Saito, N. Chemistry of Renieramycins. Part 13: Isolation and Structure of Stabilized Renieramycin Type Derivatives, Renieramycins W–Y, from Philippine Blue Sponge Xestospongia sp., Pretreated with Potassium Cyanide. Tetrahedron 2012, 68, 7422–7428. [Google Scholar] [CrossRef]
- Charupant, K.; Suwanborirux, K.; Daikuhara, N.; Yokoya, M.; Ushijima-Sugano, R.; Kawai, T.; Owa, T.; Saito, N. Microarray-Based Transcriptional Profiling of Renieramycin M and Jorunnamycin C, Isolated from Thai Marine Organisms. Mar. Drugs 2009, 7, 483–494. [Google Scholar] [CrossRef]
- Tabunoki, H.; Saito, N.; Suwanborirux, K.; Charupant, K.; Satoh, J.-I. Molecular Network Profiling of U373MG Human Glioblastoma Cells Following Induction of Apoptosis by Novel Marine-Derived Anti-Cancer 1,2,3,4-Tetrahydroisoquinoline Alkaloids. Cancer Cell Int. 2012, 12, 14. [Google Scholar] [CrossRef]
- Halim, H.; Chunhacha, P.; Suwanborirux, K.; Chanvorachote, P. Anticancer and Antimetastatic Activities of Renieramycin M, a Marine Tetrahydroisoquinoline Alkaloid, in Human Non-small Cell Lung Cancer Cells. Anticancer Res. 2011, 31, 193. [Google Scholar]
- Sirimangkalakitti, N.; Chamni, S.; Suwanborirux, K.; Chanvorachote, P. Renieramycin M Sensitizes Anoikis-resistant H460 Lung Cancer Cells to Anoikis. Anticancer Res. 2016, 36, 1665–1671. [Google Scholar]
- Sirimangkalakitti, N.; Chamni, S.; Suwanborirux, K.; Chanvorachote, P. Renieramycin M Attenuates Cancer Stem Cell-like Phenotypes in H460 Lung Cancer Cells. Anticancer Res. 2017, 37, 615–621. [Google Scholar] [CrossRef]
- Cheun-Arom, T.; Chanvorachote, P.; Sirimangkalakitti, N.; Chuanasa, T.; Saito, N.; Abe, I.; Suwanborirux, K. Replacement of a Quinone by a 5-O-Acetylhydroquinone Abolishes the Accidental Necrosis Inducing Effect while Preserving the Apoptosis-Inducing Effect of Renieramycin M on Lung Cancer Cells. J. Nat. Prod. 2013, 76, 1468–1474. [Google Scholar] [CrossRef] [PubMed]
- Chamni, S.; Sirimangkalakitti, N.; Chanvorachote, P.; Saito, N.; Suwanborirux, K. Chemistry of Renieramycins. 17. A New Generation of Renieramycins: Hydroquinone 5-O-Monoester Analogues of Renieramycin M as Potential Cytotoxic Agents against Non-Small-Cell Lung Cancer Cells. J. Nat. Prod. 2017, 80, 1541–1547. [Google Scholar] [CrossRef] [PubMed]
- Pinkhien, T.; Maiuthed, A.; Chamni, S.; Suwanborirux, K.; Saito, N.; Chanvorachote, P. Bishydroquinone Renieramycin M Induces Apoptosis of Human Lung Cancer Cells Through a Mitochondria-dependent Pathway. Anticancer Res. 2016, 36, 6327–6333. [Google Scholar] [CrossRef] [PubMed]
- Charupant, K.; Daikuhara, N.; Saito, E.; Amnuoypol, S.; Suwanborirux, K.; Owa, T.; Saito, N. Chemistry of Renieramycins. Part 8: Synthesis and Cytotoxicity Evaluation of Renieramycin M–Jorunnamycin A Analogues. Bioorg. Med. Chem. 2009, 17, 4548–4558. [Google Scholar] [CrossRef]
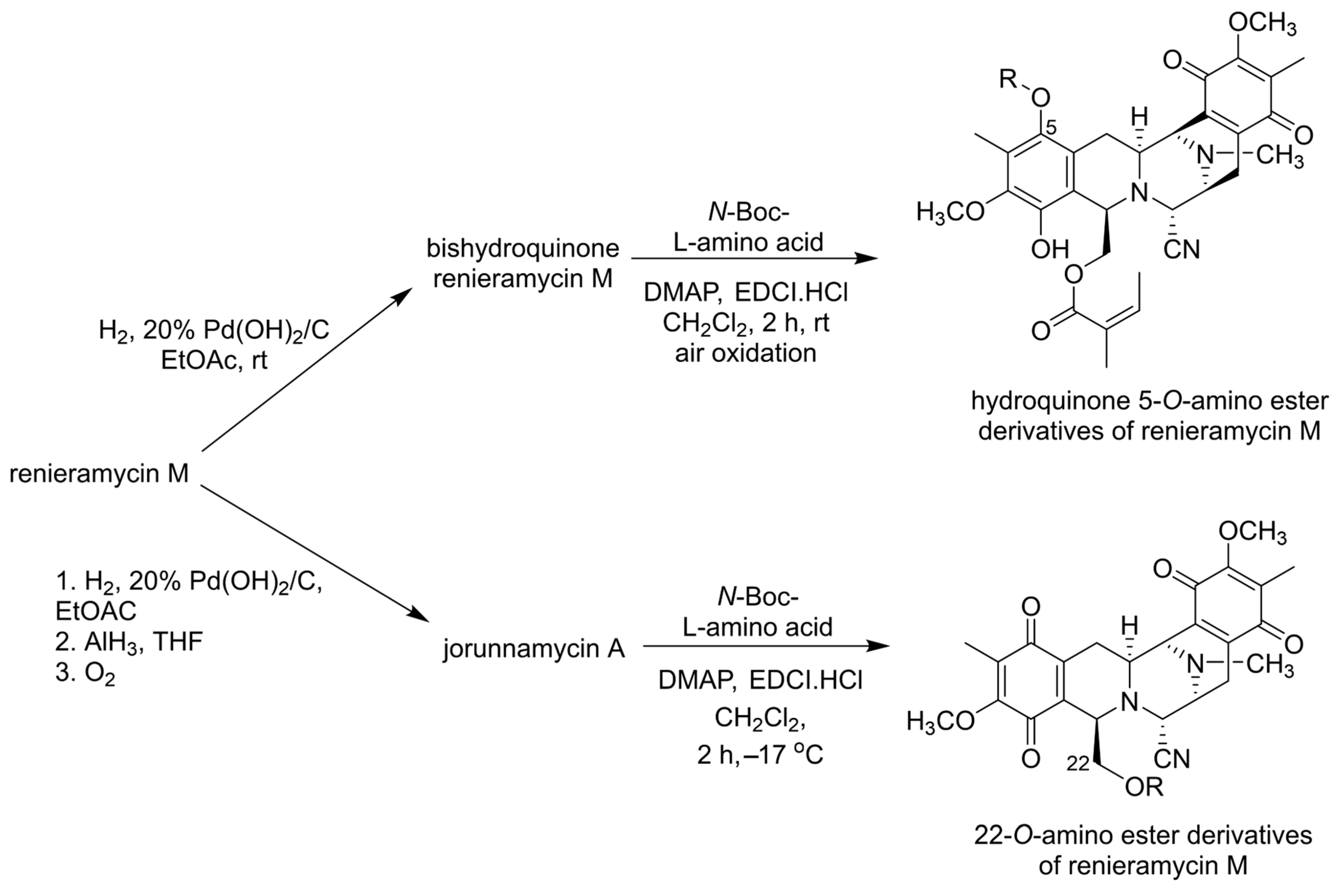
- Chamni, S.; Sirimangkalakitti, N.; Chanvorachote, P.; Suwanborirux, K.; Saito, N. Chemistry of Renieramycins. Part 19: Semi-Syntheses of 22-O-Amino Ester and Hydroquinone 5-O-Amino Ester Derivatives of Renieramycin M and Their Cytotoxicity against Non-Small-Cell Lung Cancer Cell Lines. Mar. Drugs 2020, 18, 418. [Google Scholar] [CrossRef] [PubMed]
- Oo, Y.; Nealiga, J.Q.L.; Suwanborirux, K.; Chamni, S.; Ecoy, G.A.U.; Pongrakhananon, V.; Chanvorachote, P.; Chaotham, C. 22-O-(N-Boc-L-glycine) Ester of Renieramycin M Inhibits Migratory Activity and Suppresses Epithelial-Mesenchymal Transition in Human Lung Cancer Cells. J. Nat. Med. 2021, 75, 949–966. [Google Scholar] [CrossRef]
- Maiuthed, A.; Pinkhien, T.; Chamni, S.; Suwanborirux, K.; Saito, N.; Petpiroon, N.; Chanvorachote, P. Apoptosis-inducing Effect of Hydroquinone 5-O-Cinnamoyl Ester Analog of Renieramycin M on Non-small Cell Lung Cancer Cells. Anticancer Res. 2017, 37, 6259–6267. [Google Scholar]
- Hongwiangchan, N.; Sriratanasak, N.; Wichadakul, D.; Aksorn, N.; Chamni, S.; Chanvorachote, P. Hydroquinone 5-O-Cinnamoyl Ester of Renieramycin M Suppresses Lung Cancer Stem Cells by Targeting Akt and Destabilizes c-Myc. Pharmaceuticals 2021, 14, 1112. [Google Scholar] [CrossRef]
- Petsri, K.; Chamni, S.; Suwanborirux, K.; Saito, N.; Chanvorachote, P. Renieramycin T Induces Lung Cancer Cell Apoptosis by Targeting Mcl-1 Degradation: A New Insight in the Mechanism of Action. Mar. Drugs 2019, 17, 301. [Google Scholar] [CrossRef]
- Yu, B.; Liang, J.; Li, X.; Liu, L.; Yao, J.; Chen, X.; Chen, R. Renieramycin T Inhibits Melanoma B16F10 Cell Metastasis and Invasion via Regulating Nrf2 and STAT3 Signaling Pathways. Molecules 2022, 27, 5337. [Google Scholar] [CrossRef] [PubMed]
- Buaban, K.; Innets, B.; Petsri, K.; Sinsook, S.; Chanvorachote, P.; Chansriniyom, C.; Suwanborirux, K.; Yokoya, M.; Saito, N.; Chamni, S. Semisynthesis of 5-O-Ester Derivatives of Renieramycin T and their Cytotoxicity Against Non-Small-Cell Lung Cancer Cell Lines. Sci. Rep. 2023, 13, 21485. [Google Scholar] [CrossRef]
- Suksamai, D.; Racha, S.; Sriratanasak, N.; Chaotham, C.; Aphicho, K.; Lin, A.C.K.; Chansriniyom, C.; Suwanborirux, K.; Chamni, S.; Chanvorachote, P. 5-O-(N-Boc-L-Alanine)-Renieramycin T Induces Cancer Stem Cell Apoptosis via Targeting Akt Signaling. Mar. Drugs 2022, 20, 235. [Google Scholar] [CrossRef]
- Sinsook, S.; Buaban, K.; Iksen, I.; Petsri, K.; Innets, B.; Chansriniyom, C.; Suwanborirux, K.; Yokoya, M.; Saito, N.; Pongrakhananon, V.; et al. Light-Mediated Transformation of Renieramycins and Semisynthesis of 4′-Pyridinecarbonyl-Substituted Renieramycin-Type Derivatives as Potential Cytotoxic Agents against Non-Small-Cell Lung Cancer Cells. Mar. Drugs 2023, 21, 400. [Google Scholar] [CrossRef]
- Chantarawong, W.; Chamni, S.; Suwanborirux, K.; Saito, N.; Chanvorachote, P. 5-O-Acetyl-Renieramycin T from Blue Sponge Xestospongia sp. Induces Lung Cancer Stem Cell Apoptosis. Mar. Drugs 2019, 17, 109. [Google Scholar] [CrossRef]
- Petsri, K.; Yokoya, M.; Tungsukruthai, S.; Rungrotmongkol, T.; Nutho, B.; Vinayanuwattikun, C.; Saito, N.; Matsubara, T.; Sato, R.; Chanvorachote, P. Structure–Activity Relationships and Molecular Docking Analysis of Mcl-1 Targeting Renieramycin T Analogues in Patient-derived Lung Cancer Cells. Cancers 2020, 12, 875. [Google Scholar] [CrossRef]
- Petsri, K.; Yokoya, M.; Racha, S.; Thongsom, S.; Thepthanee, C.; Innets, B.; Ei, Z.Z.; Hotta, D.; Zou, H.; Chanvorachote, P. Novel Synthetic Derivative of Renieramycin T Right-Half Analog Induces Apoptosis and Inhibits Cancer Stem Cells via Targeting the Akt Signal in Lung Cancer Cells. Int. J. Mol. Sci. 2023, 24, 5345. [Google Scholar] [CrossRef]
- Anggraeni, I.G.; Ei, Z.Z.; Hotta, D.; Yokoya, M.; Chanvorachote, P. Renieramycin T Derivative DH_22 Induces p53-dependent Apoptosis in Lung Cancer Cells. In Vivo 2023, 37, 1960–1966. [Google Scholar] [CrossRef] [PubMed]
- Ei, Z.Z.; Racha, S.; Yokoya, M.; Hotta, D.; Zou, H. Chanvorachote P Simplified Synthesis of Renieramycin T Derivatives to Target Cancer Stem Cells via β-Catenin Proteasomal Degradation in Human Lung Cancer. Mar. Drugs 2023, 21, 627. [Google Scholar] [CrossRef]
- Phookphan, P.; Racha, S.; Yokoya, M.; Ei, Z.Z.; Hotta, D.; Zou, H.; Chanvorachote, P. A New Renieramycin T Right-Half Analog as a Small Molecule Degrader of STAT3. Mar. Drugs 2024, 22, 370. [Google Scholar] [CrossRef] [PubMed]
- Darumas, U.; Chavanich, S.; Suwanborirux, K. Distribution Patterns of the Renieramycin-Producing Sponge, Xestospongia sp., and its Association with Other Reef Organisms in the Gulf of Thailand. Zool. Stud. 2007, 46, 695–702. [Google Scholar]
- Darumas, U.; Salem, G.E.M.; Suwanborirux, K.; Viyakarn, V.; Chavanich, S. Varia-tion of Carbon–Nitrogen Contents and Allelopathic Disruption of Renieramycin M–Producing Sponge Xestospongia sp. in the Gulf of Thailand. Front. Mar. Sci. 2022, 9, 735702. [Google Scholar] [CrossRef]
- Kieattisak, Y.; Udomsak, D.; Wattana, W.P.; Patchara, P. Cultivation of a Blue Marine Sponge, Xestospongia sp. (c.f. Neopretrosia sp.) in Hatchery as an Ornamental Species. Agric. Res. Technol. 2017, 12, 555838. [Google Scholar]
- Pedpradab, P.; Yokseng, K.; Darumas, U. The Cultivation of a Blue Thai Marine Sponge, Xestospongia sp., Under Natural Conditions to Produce Anticancer Compound Renieramycin M. Wichcha J. 2020, 39, 1–15. [Google Scholar]
- Santiago, V.S.; Manzano, G.G.; Yu, C.C.; Aliño, P.M.; Salvador-Reyes, L.A. Mari-culture Potential of Renieramycin-Producing Philippine Blue Sponge Xestospongia sp. (Porifera: Haplosclerida). Aquaculture 2019, 502, 356–364. [Google Scholar] [CrossRef]
- Yokseng, K.; Darumas, U.; Pedpradab, P. Culture of a Blue Marine Sponge, Xestospongia sp., in Semi-Circulate Close System Stressed with Calcium and Magnesium Concentration. J. Aquac. Mar. Biol. 2022, 10, 230–235. [Google Scholar]
- Yokseng, K.; Darumas, U.; Khawchamnan, R.; Pedpradab, P. Effect of Phytoplankton Feed on Growth and Renieramycin M Producing of a Blue Marine Sponge (Xestospongia sp.). Aquac. Stud. 2023, 23, AQUAST1199. [Google Scholar] [CrossRef]
- Inocentes, C.R.V.; Salvador-Reyes, L.A.; Villaraza, A.J.L. Total Synthesis and Bioactivity Evaluation of Hydrophobic Microcionamide-Inspired Peptides. Chem. Biodivers. 2023, 20, e202200832. [Google Scholar] [CrossRef]
- Ibrahim, S.R.M.; Ebel, R.; Wray, V.; Müller, W.E.G.; Edrada-Ebel, R.; Proksch, P. Diacarperoxides, Norterpene Cyclic Peroxides from the Sponge Diacarnus megaspinorhabdosa. J. Nat. Prod. 2008, 71, 1358–1364. [Google Scholar] [CrossRef]
- Ibrahim, S.R.M. Diacarperoxide S, New Norterpene Cyclic Peroxide from the Sponge Diacarnus megaspinorhabdosa. Nat. Prod. Commun. 2012, 7, 1934578X1200700105. [Google Scholar] [CrossRef]
- Shashi, S.; Hussain, M.A.; Khan, F.A. Total Synthesis of Enisorine D and its Analogues. Synthesis 2019, 51, 4601–4610. [Google Scholar] [CrossRef]
- Tanaka, J.; Higa, T.; Suwanborirux, K.; Kokpol, U.; Bernardinelli, G.; Jefford, C.W. Bioactive Norsesterterpene 1,2-dioxanes from a Thai Sponge, Mycale sp. J. Org. Chem. 1993, 58, 2999–3002. [Google Scholar] [CrossRef]
- Oku, N.; Takada, K.; Fuller, R.W.; Wilson, J.A.; Peach, M.L.; Pannell, L.K.; McMahon, J.B.; Gustafson, K.R. Isolation, Structural Elucidation, and Absolute Stereochemistry of Enigmazole A, a Cytotoxic Phosphomacrolide from the Papua New Guinea Marine Sponge Cinachyrella enigmatica. J. Am. Chem. Soc. 2010, 132, 10278–10285. [Google Scholar] [CrossRef] [PubMed]
- Takada, K.; Oku, N.; Peach, M.L.; Ransom, T.T.; Henrich, C.J.; Gustafson, K.R. Enigmazole Phosphomacrolides from the Marine Sponge Cinachyrella enigmatica. J. Org. Chem. 2023, 88, 10996–11002. [Google Scholar] [CrossRef]
- Aoki, S.; Higuchi, K.; Ye, Y.; Satari, R.; Kobayashi, M. Melophlins A and B, Novel Tetramic Acids Reversing the Phenotype of ras-Transformed Cells, from the Marine Sponge Melophlus sarassinorum. Tetrahedron 2000, 56, 1833–1836. [Google Scholar] [CrossRef]
- Knoth, T.; Warburg, K.; Katzka, C.; Rai, A.; Wolf, A.; Brockmeyer, A.; Janning, P.; Reubold, T.F.; Eschenburg, S.; Manstein, D.J. The Ras Pathway Modulator Melophlin A Targets Dynamins. Angew. Chem. Int. Ed. 2009, 48, 7240–7245. [Google Scholar] [CrossRef]
- Arai, M.; Yamano, Y.; Kamiya, K.; Setiawan, A.; Kobayashi, M. Anti-Dormant Mycobacterial Activity and Target Molecule of Melophlins, Tetramic Acid Derivatives Isolated from a Marine Sponge of Melophlus sp. J. Nat. Med. 2016, 70, 467–475. [Google Scholar] [CrossRef]
- Biersack, B.; Diestel, R.; Jagusch, C.; Sasse, F.; Schobert, R. Metal Complexes of Natural Melophlins and their Cytotoxic and Antibiotic Activities. J. Inorg. Biochem. 2009, 103, 72–76. [Google Scholar] [CrossRef]
- Matsunaga, S.; Fusetani, N.; Hashimoto, K.; Koseki, K.; Noma, M. Bioactive Marine Metabolites. Part 13. Kabiramide C, a Novel Antifungal Macrolide from Nudibranch Eggmasses. J. Am. Chem. Soc. 1986, 108, 847–849. [Google Scholar] [CrossRef]
- Matsunaga, S.; Fusetani, N.; Hashimoto, K.; Koseki, K.; Noma, M.; Noguchi, H.; Sankawa, U. Bioactive Marine Metabolites. 25. Further Kabiramides and Halichondramides, Cytotoxic Macrolides Embracing Trisoxazole, from the Hexabranchus egg masses. J. Org. Chem. 1989, 54, 1360–1363. [Google Scholar] [CrossRef]
- Sirirak, T.; Intaraksa, N.; Kaewsuwan, S.; Yuenyongsawad, S.; Suwanborirux, K.; Plubrukarn, A. Intracolonial Allocation of Trisoxazole Macrolides in the Sponge Pachastrissa nux. Chem. Biodivers. 2011, 8, 2238–2246. [Google Scholar] [CrossRef] [PubMed]
- Butsuri, A.; Chanthathamrongsiri, N.; Sirirak, T.; Waiyaput, W.; Srimongkol, A.; Dittaroj, K.; Jiso, A.; Jittorntam, P.; Plubrukarn, A. Tracing Trisoxazole Macrolide Deposition in the Tissues of the Penares nux Sponge with Matrix-Assisted Laser Desorption Ionization Imaging Mass Spectrometry. Chem. Biodivers. 2025, 22, e202403215. [Google Scholar] [CrossRef]
- Olatunji, O.; Brecker, L.; Plubrukarn, A. Metabolomics Approach Towards the Chemical Distribution in the Sponge Penares cf. nux. Songklanakarin J. Sci. Technol. 2020, 43, 696–702. [Google Scholar]
- Kotoku, N.; Tamada, N.; Hayashi, A.; Kobayashi, M. Synthesis of BC-Ring Model of Globostellatic Acid X Methyl Ester, an Anti-Angiogenic Substance from Marine Sponge. Bioorg. Med. Chem. Lett. 2008, 18, 3532–3535. [Google Scholar] [CrossRef]
- Liu, S.; Cui, Y.-M.; Nan, F.-J. Total Synthesis of the Originally Proposed and Revised Structures of Scleritodermin A. Org. Lett. 2008, 10, 3765–3768. [Google Scholar] [CrossRef]
- Wei, Y.; Chen, Y.T.; Shi, L.; Gao, L.X.; Liu, S.; Cui, Y.M.; Zhang, W.; Shen, Q.; Li, J.; Nan, F.J. Discovery and Structural Modification of Novel Inhibitors of PTP1B Inspired by the ACT Fragment of Scleritodermin A. MedChemComm 2011, 2, 1104–1109. [Google Scholar] [CrossRef]
- Chen, Y.T.; Tang, C.L.; Ma, W.P.; Gao, L.X.; Wei, Y.; Zhang, W.; Li, J.; Li, J.; Nan, F.J. Design, Synthesis, and Biological Evaluation of Novel 2-Ethyl-5-Phenylthiazole-4-Carboxamide Derivatives as Protein Tyrosine Phosphatase 1B Inhibitors with Improved Cellular Efficacy. Eur. J. Med. Chem. 2013, 69, 399–412. [Google Scholar] [CrossRef] [PubMed]
- Wakimoto, T. Biosynthesis of Bioactive Natural Products Derived from Theonellidae Family Marine Sponges. Chem. Pharm. Bull. 2023, 71, 1–8. [Google Scholar] [CrossRef]
- Humisto, A.; Jokela, J.; Liu, L.; Wahlsten, M.; Wang, H.; Permi, P.; Machado, J.P.; Antunes, A.; Fewer, D.P.; Sivonen, K. The Swinholide Biosynthesis Gene Cluster from a Terrestrial Cyanobacterium, Nostoc sp. Strain UHCC 0450. Appl. Environ. Microbiol. 2018, 84, e02321-17. [Google Scholar] [CrossRef]
- Tammam, M.A.; Aouidate, A.; Mahmoud, M.M.; El-Din, M.I.G.; El-Demerdash, A. Cortistatin and Plakinamine Steroidal Alkaloids from the Marine Sponges of the Genus Corticium: Insights into their Chemistry, Pharmacology, Pharmacokinetics and Structure Activity Relationships (SARs). RSC Adv. 2025, 15, 9092–9107. [Google Scholar] [CrossRef]
- Indu, S.; Kaliappan, K.P. Synthetic Approaches Towards Cortistatins: Evolution and Progress Through its Ages. Org. Biomol. Chem. 2020, 18, 3965–3995. [Google Scholar] [CrossRef] [PubMed]
- Hossain, M.R.; Tareq, M.M.I.; Biswas, P.; Tauhida, S.J.; Bibi, S.; Zilani, M.N.H.; Albadrani, G.M.; Al-Ghadi, M.Q.; Abdel-Daim, M.M.; Hasan, M.N. Identification of Molecular Targets and Small Drug Candidates for Huntington’s Disease via Bioinformatics and a Network-Based Screening Approach. J. Cell. Mol. Med. 2024, 28, e18588. [Google Scholar] [CrossRef]
- Mousseau, G.; Valente, S.T. Didehydro-Cortistatin A: A New Player in HIV-Therapy? Expert Rev. Anti-Infect. Ther. 2016, 14, 145–148. [Google Scholar] [CrossRef] [PubMed]
- Li, C.; Mori, L.; Valente, S.T. The Block-and-Lock Strategy for Human Immunodeficiency Virus Cure: Lessons Learned from Didehydro–Cortistatin A. J. Infect. Dis. 2021, 223, S46–S53. [Google Scholar] [CrossRef] [PubMed]
- Hardin Narayan, A.R.; Simmons, E.M.; Sarpong, R. Synthetic Strategies Directed Towards the Cortistatin Family of Natural Products. Eur. J. Org. Chem. 2010, 2010, 3553–3567. [Google Scholar] [CrossRef]
- Shi, J.; Manolikakes, G.; Yeh, C.H.; Guerrero, C.A.; Shenvi, R.A.; Shigehisa, H.; Baran, P.S. Scalable Synthesis of Cortistatin A and Related Structures. J. Am. Chem. Soc. 2011, 133, 8014–8027. [Google Scholar] [CrossRef]
- Mousseau, G.; Clementz, M.A.; Bakeman, W.N.; Nagarsheth, N.; Cameron, M.; Shi, J.; Baran, P.; Fromentin, R.; Chomont, N.; Valente, S.T. An Analog of the Natural Steroidal Alkaloid Cortistatin A Potently Suppresses Tat-Dependent HIV Transcription. Cell Host Microbe 2012, 12, 97–108. [Google Scholar] [CrossRef] [PubMed]
- Mori, L.P.; Corley, M.J.; McAuley, A.T.; Pang, A.; Venables, T.; Ndhlovu, L.C.; Pipkin, M.E.; Valente, S.T. Transcriptional and Methylation Outcomes of Didehydro-cortistatin A Use in HIV-1–Infected CD4+ T Cells. Life Sci. Alliance 2024, 7, e202402653. [Google Scholar] [CrossRef]
- Flyer, A.N.; Si, C.; Myers, A.G. Synthesis of Cortistatins A, J, K and L. Nat. Chem. 2010, 2, 886. [Google Scholar] [CrossRef]
- Aoki, S.; Watanabe, Y.; Tanabe, D.; Arai, M.; Suna, H.; Miyamoto, K.; Tsujibo, H.; Tsujikawa, K.; Yamamoto, H.; Kobayashi, M. Structure–activity relationship and biological property of cortistatins, anti-angiogenic spongean steroidal alkaloids. Bioorg. Med. Chem. 2007, 15, 6758–6762. [Google Scholar] [CrossRef]
- Fujimoto, Y.; Mizuno, K.; Nakamura, Y.; Arai, M.; Kotoku, N. Synthesis and Evaluation of Antitumor and Anti-Angiogenesis Activity of Pyrone- or Pyridone-Embedded Analogs of Cortistatin A. Mar. Drugs 2025, 23, 179. [Google Scholar] [CrossRef]
- Czako, B.; Kürti, L.; Mammoto, A.; Ingber, D.E.; Corey, E.J. Discovery of Potent and Practical Antiangiogenic Agents Inspired by Cortistatin A. J. Am. Chem. Soc. 2009, 131, 9014–9019. [Google Scholar] [CrossRef]
- Kotoku, N.; Sumii, Y.; Hayashi, T.; Tamura, S.; Kawachi, T.; Shiomura, S.; Arai, M.; Kobayashi, M. Creation of Readily Accessible and Orally Active Analogue of Cortistatin A. ACS Med. Chem. Lett. 2012, 3, 673–677. [Google Scholar] [CrossRef] [PubMed]
- Jeon, Y.; Hee, N.Y.; Ho, K.T.; Schmitz, F.J.; Hwan, K.J. Anti-diabetic Activity of Oscarellin Isolated from Oscarella stillans in Zebrafish, a Model of Type 2 Diabetes. Planta Med. Int. Open 2017, 4, S1–S202. [Google Scholar]
- Dembitsky, V.M.; Ermolenko, E.; Savidov, N.; Gloriozova, T.A.; Poroikov, V.V. Antiprotozoal and Antitumor Activity of Natural Polycyclic Endoperoxides: Origin, Structures and Biological Activity. Molecules 2021, 26, 686. [Google Scholar] [CrossRef] [PubMed]
- Esposito, R.; Federico, S.; Bertolino, M.; Zupo, V.; Costantini, M. Marine Demospongiae: A Challenging Treasure of Bioactive Compounds. Mar. Drugs 2022, 20, 244. [Google Scholar] [CrossRef]
- Rønsted, N.; Iwanycki, N.; Maldonado, C.; Hassemer, G.; Martinez-Swatson, K.; Saslis-Lagoudakis, H. The Future of Drug Discovery: Are Collections Needed? Sci. Danica. Ser. B Biol. 2017, 6, 253–266. [Google Scholar]
- Netjes, J.; Afoullouss, S.; Rocca, J.; Quattrini, A.; Keel, W.; Baker, B.J. Old Samples, New Tricks: Modern Natural Product Methodologies for Century-Old Museum Collections. In Proceedings of the XVII International Symposium on Marine Natural Products & XIII European Conference on Marine Natural Products, Granada, Spain, 3–8 September 2023. [Google Scholar]
- Sun, W.; Wu, W.; Liu, X.; Zaleta-Pinet, D.A.; Clark, B.R. Bioactive Compounds Isolated from Marine-Derived Microbes in China: 2009–2018. Mar. Drugs 2019, 17, 339. [Google Scholar] [CrossRef]
- Tan, L.T.; Widyantoro, C.; Hanif, N. Status of Drug Discovery-Based Marine Biotechnology in Southeast Asia. In Marine Natural Products Research in South-East Asia: Current Status and Perspectives; Tan, L.T., Hanif, N., Eds.; Springer: Cham, Switzerland, 2025; pp. 1–62. [Google Scholar]
- Ragozzino, C.; Casella, V.; Coppola, A.; Scarpato, S.; Buonocore, C.; Consiglio, A.; Palma Esposito, F.; Galasso, C.; Tedesco, P.; Della Sala, G.; et al. Last Decade Insights in Exploiting Marine Microorganisms as Sources of New Bioactive Natural Products. Mar. Drugs 2025, 23, 116. [Google Scholar] [CrossRef]
- Khan, S.; Wang, T.; Arifeen, M.Z.U.; Huang, S. Exploring the Bioactive Potential of Deep-Sea Microorganisms: A Review of Recent Discoveries. Bioorg. Chem. 2025, 161, 108521. [Google Scholar] [CrossRef]

































| Order/Species | Compound: Biological Activity * | Location | Ref. |
|---|---|---|---|
| Class Demospongiae | |||
| Order Axinellida | |||
| Myrmekioderma sp. | 3-oxoabolene & 1-oxocurcuphenol:
| Phi-Phi, Thailand | [42] |
| Stylissa sp. | stylissamide X (1):
| Biak, Indonesia | [43] |
| Stylissa carteri | carteritin A (2):
| Bangka Island, N. Sulawesi, Indonesia | [44] |
| Order Clionaida | |||
| Spheciospongia sp. | spheciosterol sulfates A (4)–C (6):
| Cagayan de Oro, Philippines | [45] |
| Order Dendroceratida | |||
| Acanthodendrilla sp. | acanthosulfate:
| Boracay Island, Philippines | [46] |
(+)-makassaric acid (10) & (+)-subersic acid (11):
| Palau Badi, Makassar, Sulawesi, Indonesia | [47] | |
| Spongionella sp. | gracilin L (14):
| West Angaur, Philippines | [48] |
| Order Dictyoceratida | |||
| Carteriospongia sp. | carteriosulfonic acids A–C:
| San Miguel Island, Philippines | [49] |
| Carteriospongia foliascens | scalarane-type sesterterpenoids:
| Palau Barang Lompo, Makassar, Sulawesi, Indonesia | [50] |
| Dactylospongia metachromia | 5-epi-nakijiquinones N (15), Q (16) & S (17)–U (19):
| Ambon, Indonesia | [51] |
5-epi-nakijiquinones N (15) & 5-epi-nakijinol C (20):
| |||
| Dysidea sp. | sintokamide A (21):
| Palau Sinok, Karimunjawa, Indonesia | [52] |
new scalarane-type sesterterpenoid:
| Bohol Province, Philippines | [53] | |
| Hyattella sp. | hyattellactone A:
| Lembeh Strait, Indonesia | [54] |
| Hyrtios reticulatus | hyrtioreticulins A (27) & B (28):
| N. Sulawesi, Indonesia | [55,56] |
| Ircinia sp. | (7E,12E,20Z,18S)-variabilin & (12E,20Z,18S)-8-hydroxyvariabilin:
| N. Sulawesi, Indonesia, | [57] |
| Petrosaspongia sp. | biakamides A (34)–D (37):
| Biak, Indonesia | [58] |
| Phyllospongia sp. | deacetylphylloketal:
| Cebu, Philippines | [59] |
| Psammocinia sp. | sulawesins A & B:
| N. Sulawesi, Indonesia | [60] |
| Spongia sp. | scalimide J (48):
| Bohol Province, Philippines | [61] |
langcoquinones A (51) & B (52):
| Thua Thien-Hue City, Vietnam | [62,63,64] | |
langcoquinones D (54)–F (56):
| Son Cha, Lang Co, Tha Thien-Hue City, Vietnam | ||
langconols A (57), C (59) & langcoquinone C (53):
| Son Cha, Thua Thien-Hue City, Vietnam | ||
| Spongia sp./S. ceylonensis | ceylonamide A (60):
| Tiwoho, N. Sulawesi, Indonesia | [65] |
ceylonamide G (66):
| Biak, Indonesia | ||
ceylonins A (69)–F (74):
| Tiwoho, N. Sulawesi, Indonesia | [66,67] | |
| Order Haplosclerida | |||
| Acanthostrongylophora sp. | kepulauamine A (93), manzamine B N-oxide (94), 3,4-dihydromanzamine B N-oxide (95), 11-hydroxymanzamine J (96) & 31-hydroxymanzamine A (97):
| Kepulauan Seribu Marine National Park, Indonesia | [68] |
6-hydroxymanzamine E (82):
| Manado, Indonesia | [69] | |
manadomanzamines A (78) & B (79):
| [70] | ||
ent-12,34-oxamanzamine F:
| Black Reef Point, Manado Bay, Indonesia | [71] | |
| A. ingens | chloromethylhalicyclamine B (98):
| Langkai Island, S. Sulawesi, Indonesia | [72] |
tetradehydrohalicyclamine B (99):
| Bajotalawaan, N. Sulawesi, Indonesia | [73] | |
ingenine E (100):
| Sulawesi, Indonesia | [74,75] | |
ingenine F (101):
| |||
acanthomanzamines A (88)–E (92):
| Mantehage, N. Sulawesi | [76] | |
pre-neo-kauluamine (87):
| Bajotalawaan, N. Sulawesi | [77] | |
| Callyspongia sp. | callyspongiamides A (102) & B (103):
| Manado, N. Sulawesi, Indonesia | [78] |
callyspongiolide (104):
| Ambon, Indonesia | [79] | |
| C. aerizusa | callyaerin A (108):
| Ambon, Indonesia | [80,81] |
| Dasychalina sp. | desulfohaplosamate:
| Bunaken Marine Park, Manado, Indonesia | [82] |
| Haliclona sp./Haliclona (Reniera) sp. | halioxepines A–C:
| Baubau, Buton Island, S.-E. Sulawesi; Tunumanu; Mapia anchorage, Indonesia | [83,84] |
haliclocyclamines A–C:
| Manado, N. Sulawesi, Indonesia | [85] | |
halicloic acids A & B:
| Culasian Point, Leyte, Philippines | [86] | |
kendarimide A:
| Sulawesi, Indonesia | [87] | |
| Neopetrosia chaliniformis | neopetrosidines A–D:
| Mantehage Island, Bunaken National Park, Indonesia | [88] |
| Niphates olemda | niphateolide A:
| Mantehage, Indonesia | [89] |
| Oceanapia sp. | 6-bromo-8-ketoconicamin A:
| Sulawesi, Indonesia | [90] |
| Petrosia sp. | 2-bromodeoxyamphimedine (113) & 3-bromodeoxyamphimedine (114):
| Malaysia | [91,92] |
| P. alfiani | petroquinones A (115)–C (117), E (118)–H (121) & 122:
| Ti Toi, N. Sulawesi, Indonesia | [93] |
14-hydroxymethylxestoquinone, 15-hydroxymethylxestoquinone & 14,15-dihydroxymethylxestoquinone:
| Malaysia | [94] | |
| P. corticata | 26-O-methylstrongylophorine-16 & 26-O-ethylstrongylophorine-16:
| N. Sulawesi, Indonesia | [95] |
| Xestospongia sp. | kaimanol (123)
| Kaimana, West Papua, Indonesia | [96] |
renieramycins M (146) & N (147):
| Sichang Island, Thailand | [97] | |
renieramycins O (147) & Q (149)–S (151):
| [98] | ||
renieramycin T (152):
| [99] | ||
7-desmethylrenieramycin O/14α-hydroxyrenieramycin S (158):
| Puerto Galeria, Oriental Mondorou, Mindoro Island, Philippines & Sichang Island, Thailand | [100] | |
N-methylniphatyne A:
| Java, Indonesia | [101] | |
1-hydroxyethylhalenaquinone (124):
| Likpan, N. Sulawesi, Indonesia | [102] | |
3-ketoadociaquinone B (125):
| Manado, Indonesia | [103] | |
| X. muta | meso-araguspongine C:
| Vinh Moc, Quang Tri, Vietnam | [104] |
| X. testudinaria | testusterol (127):
| Phu Quoc Island, Vietnam | [105] |
| X. vansoesti | xestosaprols H (132), J (134)–L (136):
| Sangalaki, Indonesia Palawan Island, Philippines | [106,107] |
| Order Poecilosclerida | |||
| Clathria (Thalysias) abietina/C. basilana | microcionamides A (174) & B (175):
| Tigtabon Island, S. Mindanao, Philippines Ambon, Indonesia | [108,109] |
| C. bulbotoxa | crambescidins 345, 361 & 373:
| Samalona Island, S. Sulawesi Sea, Indonesia | [110] |
| Damiria sp. | damirine A:
| Phuket Island, Thailand | [111] |
| Diacarnus megaspinorhabdosa | diacarperoxides D (188) & F (190):
| Pulau Baranglompo, Indonesia | [112] |
diacarperoxide S (192):
| [113] | ||
| Iotrochota sp. | enisorines A (196)–E (200):
| Togian Island, Indonesia | [114] |
| Lissodendoryx fibrosa/L. (Acanthodoryx) fibrosa | manadosterols A (201) & B (202):
| N. Sulawesi, Indonesia | [115] |
fibrosterol sulfates A (7) & B (8):
| Coron Island, Philippines | [116] | |
| Mycale sp. | mycaperoxide H (205):
| Sichang Island, Thailand | [117] |
| Monanchora clathrata | monanchoramide A:
| Philippine | [118] |
| Order Suberitida | |||
| Aaptos sp. | 2-methoxy-3-oxoaaptamine:
| Kupang, Indonesia | [119] |
| A. aaptos | methylenedioxyaaptamine:
| Sepanggar Island, Sabah, Malaysia | [120] |
| A. suberitoides | aaptamine derivative:
| Ambon, Indonesia | [121] |
| Axinyssa n. sp. | (1Z,4Z)-7αH-11-aminogermacra-1(10),4-diene:
| Andaman Sea, Trang Province, Thailand | [122] |
| Halichondria vansoesti | topsentiasterol sulfate H & bromotopsentiasterol sulfate D:
| Vietnam | [123] |
| Order Tetractinellida | |||
| Brachiaster sp. | 12-deacetoxyscalarin 19-acetate:
| Koh-Tao, Surat-Thani Province, Thailand | [124] |
| Cinachyrella sp. | cinachylenic acids B–D:
| Ambon, Indonesia | [125] |
| Daedalopelta sp. | daedophamide (206):
| Alor Island, Indonesia | [126] |
| Homophymia sp. | enigmazole D (208):
| Gorontalo, Indonesia | [127] |
| Jaspis splendens | (+)-jasplakinolide Z6 (212) & (+)-jasplakinolide Z5 (213):
| Samama Island, E. Kalimantan, Indonesia | [128,129] |
| Jaspis sp.-Bubaris sp. (O. Bubarida) | aplyzanzine B:
| Pulau Saujung, Indonesia | [130] |
| Melophlus sarassinorum | melophlin C (216):
| Barang Lompo Island, Makassar, Indonesia | [131] |
| Pachastrissa nux | kabiramides F (229), G (230) & I (232):
| Chumphon Island, Surat-Thani Province, Thailand | [132] |
kabiramides J (237) & K (238):
| Sichang Island in the Gulf of Thailand | [133,134] | |
| Rhabdastrella globostellata | globostelletin (240) & globostellatic acids F (241)–M (248):
| Kapoposang Island, Sulawesi, Indonesia | [135,136] |
| Scleritoderma nodosum | scleritodermin A (259):
| Olango Island, Cebu, Philippines | [137] |
| Siliquariaspongia mirabilis | celebeside A (264):
| Sulawesi, Indonesia | [138] |
| Theonella swinhoei | sulfinyltheonellapeptolide (270) & theonellapeptolide If (271):
| Bunaken Marine Park, Manado, Indonesia | [139] |
isoswinholide B (272) & swinholide K (273):
| [140] | ||
| Order Verongiida | |||
| Hexadella cf. indica | anomoian B:
| Para Island, Indonesia | [130] |
| Ianthella basta | sesquibastadin 1 (274):
| Ambon, Indonesia | [141] |
| Class Homoscleromorpha | |||
| Order Homosclerophorida | |||
| Corticium niger | plakinamine K (277) & dihydroplakinamine K (278):
| Calumpan Peninsula, Philippines | [142,143] |
| C. simplex | cortistatin A (281):
| Flores Island, Indonesia | [144,145,146] |
| Oscarella stillans | oscarellin (296):
| Honda Bay, Philippines | [147] |
| Plakortis cfr. simplex/P. lita | manadoperoxides A (297)–D (300):
| [148,149,150] | |
12-isomanadoperoxide B & manadoperoxidic acid B:
| Bunaken Island, Manado, Indonesia | ||
manadoperoxides F (302)–I (305) & K (307):
| |||
| Plakortis cfr. lita | plakofuranolactone:
| Bunaken Island, Manado, Indonesia | [151] |
incisterols A5 & A6:
| Bunaken Marine Park, Manado, Indonesia | [152] | |
| Plakortis nigra | plakorstatins 1 & 2:
| Celebes Sea, northwest of Tanjung Batuanguf, Sulawesi, Indonesia | [153] |
Disclaimer/Publisher’s Note: The statements, opinions and data contained in all publications are solely those of the individual author(s) and contributor(s) and not of MDPI and/or the editor(s). MDPI and/or the editor(s) disclaim responsibility for any injury to people or property resulting from any ideas, methods, instructions or products referred to in the content. |
© 2026 by the authors. Licensee MDPI, Basel, Switzerland. This article is an open access article distributed under the terms and conditions of the Creative Commons Attribution (CC BY) license.
Share and Cite
Tan, L.T.; Widyantoro, C.; Hanif, N. Tides of Promise: Sponge-Derived Marine Natural Products in Southeast Asia. Molecules 2026, 31, 914. https://doi.org/10.3390/molecules31050914
Tan LT, Widyantoro C, Hanif N. Tides of Promise: Sponge-Derived Marine Natural Products in Southeast Asia. Molecules. 2026; 31(5):914. https://doi.org/10.3390/molecules31050914
Chicago/Turabian StyleTan, Lik Tong, Clarissa Widyantoro, and Novriyandi Hanif. 2026. "Tides of Promise: Sponge-Derived Marine Natural Products in Southeast Asia" Molecules 31, no. 5: 914. https://doi.org/10.3390/molecules31050914
APA StyleTan, L. T., Widyantoro, C., & Hanif, N. (2026). Tides of Promise: Sponge-Derived Marine Natural Products in Southeast Asia. Molecules, 31(5), 914. https://doi.org/10.3390/molecules31050914

