Phytohemical Profiling, Bioactivity and Toxicity Evaluation of Elsholtzia cypriani, a Potential Multifunctional Natural Feed Additive
Abstract
1. Introduction
2. Results and Discussion
2.1. Isolation and Structure Elucidation of Compounds
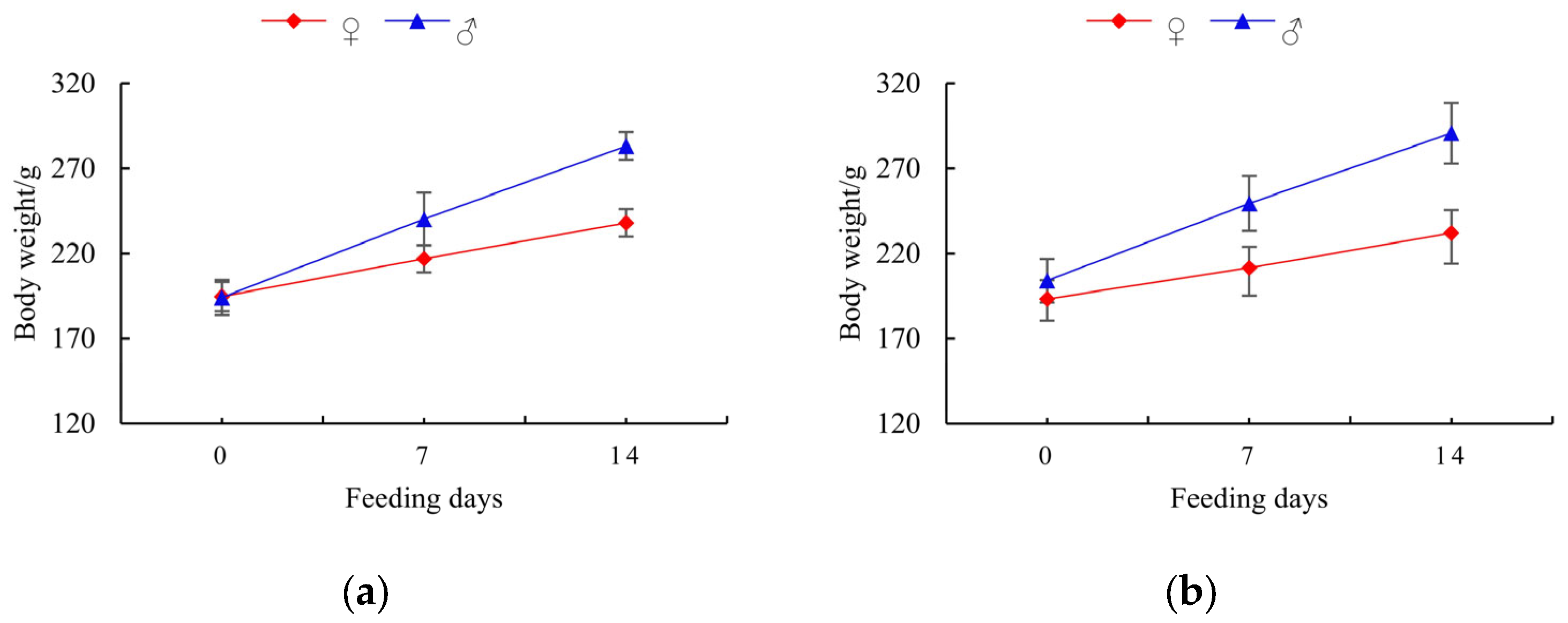
2.2. Acute Toxicity Test Results
2.3. Inhibitory Effect on Nitric Oxide (NO) Production
2.4. Antioxidant Assay
2.5. Antibacterial Activity
3. Materials and Methods
3.1. Instrument and Materials
3.1.1. Plant Materials
3.1.2. Animals
3.1.3. Chemicals, Instruments, and Procedures
3.2. Chemical Composition Research
3.3. Spectroscopic Data
3.4. Acute Toxicity Test
3.5. Cell Culture and NO Assay
3.6. Evaluation of Antioxidant Activities In Vitro
3.7. Antibacterial Activity Assay
3.8. Statistical Analysis
4. Conclusions
Supplementary Materials
Author Contributions
Funding
Institutional Review Board Statement
Informed Consent Statement
Data Availability Statement
Conflicts of Interest
References
- Wang, Y.; Lu, J.; Mao, L.; Li, J.; Yuan, Z.; Bond, P.L.; Guo, J. Antiepileptic drug carbamazepine promotes horizontal transfer of plasmid-borne multi-antibiotic resistance genes within and across bacterial genera. Isme J. 2019, 13, 509–522. [Google Scholar] [CrossRef] [PubMed]
- Van Boeckel, T.P.; Brower, C.; Gilbert, M.; Grenfell, B.T.; Levin, S.A.; Robinson, T.P.; Teillant, A.; Laxminarayan, R. Global trends in antimicrobial use in food animals. Proc. Natl. Acad. Sci. USA 2015, 112, 5649–5654. [Google Scholar] [CrossRef] [PubMed]
- Newman, D.J.; Cragg, G.M. Natural Products as Sources of New Drugs over the Nearly Four Decades from 01/1981 to 09/2019. J. Nat. Prod. 2020, 83, 770–803. [Google Scholar] [CrossRef]
- Brown, E.D.; Wright, G.D. Antibacterial drug discovery in the resistance era. Nature 2016, 529, 336–343. [Google Scholar] [CrossRef] [PubMed]
- Dorantes-Iturbide, G.; Orzuna-Orzuna, J.F.; Lara-Bueno, A.; Mendoza-Martínez, G.D.; Miranda-Romero, L.A.; Lee-Rangel, H.A. Essential Oils as a Dietary Additive for Small Ruminants: A Meta-Analysis on Performance, Rumen Parameters, Serum Metabolites, and Product Quality. Vet. Sci. 2022, 9, 475. [Google Scholar] [CrossRef]
- Wiles, D.; Pearson, J.S.; Beddoe, T. Harnessing Plant-Derived Terpenoids for Novel Approaches in Combating Bacterial and Parasite Infections in Veterinary and Agricultural Settings. Curr. Microbiol. 2025, 82, 134. [Google Scholar] [CrossRef]
- Atanasov, A.G.; Zotchev, S.B.; Dirsch, V.M.; Orhan, I.E.; Banach, M.; Rollinger, J.M.; Barreca, D.; Weckwerth, W.; Bauer, R.; Bayer, E.A.; et al. Natural products in drug discovery: Advances and opportunities. Nat. Rev. Drug Discov. 2021, 20, 200–216. [Google Scholar] [CrossRef]
- Thappa, R.K.; Agarwal, S.G.; Kapahl, B.K.; Srivastava, T.N. Chemosystematics of the Himalayan Elsholtzia. J. Essent. Oil Res. 1999, 11, 97–103. [Google Scholar] [CrossRef]
- Melkani, A.B.; Dev, V.; Beauchamp, P.S.; Negi, A.; Mehta, S.P.S.; Melkani, K.B. Constituents of the essential oil of a new chemotype of Elsholtzia strobilifera Benth. Biochem. Syst. Ecol. 2005, 33, 419–425. [Google Scholar] [CrossRef]
- Chen, S.; Chen, J.; Xu, Y.; Wang, X.; Li, J. Elsholtzia: A genus with antibacterial, antiviral, and anti-inflammatory advantages. J. Ethnopharmacol. 2022, 297, 115549. [Google Scholar] [CrossRef]
- Zhu, Y.P. Chinese Matrria Medica (Zhonghua Bencao); Shanghai Press of Science and Technology: Shanghai, China, 1998; Volume 7. [Google Scholar]
- Xu, Y.; Liang, C.; Cheng, J.; Li, Y.; Pu, C. Mining the geraniol dehydrogenase gene in a citral chemotype of Elsholtzia cypriani via high-throughput transcriptome sequencing. Mod. Food Sci. Technol. 2024, 40, 57–66. [Google Scholar] [CrossRef]
- Jia, M.; Li, X. Chinese Ethnic Medicine Compendium; China Medical Science Press: Beijing, China, 2005. [Google Scholar]
- Zhou, H.-W.; Tian, X.-Y.; Ma, Y.-P.; Liang, A.-Z.; Zhuang, X.-D.; Du, Z.-Z. Dietary supplementation with herbal powder of Elsholtzia cypriani improves immune function in Muscovy ducks by activating endogenous antioxidant system and modulating gut microbiota. Poult. Sci. 2025, 104, 106080. [Google Scholar] [CrossRef] [PubMed]
- Zheng, S.-Z.; Song, Z.-J.; Hu, H.-B.; Huang, B.-D.; Shen, X.-W. The chemical constituents of the essential oil of Elsholtzia cypriani. J. Northwest Norm. Univ. (Nat. Sci.) 2004, 40, 52–54. [Google Scholar] [CrossRef]
- Xiang, P.; Lou, G.-Q.; Wang, S.-Y.; Chen, Q. Analysis of volatile oils in Elsholtzia ciliata and Elsholtzia cypriani and evaluation of their biological activities. Chin. Tradit. Pat. Med. 2017, 39, 1880–1884. [Google Scholar]
- Li, Y.; Gou, J.; Li, Q.; Li, Y.; Qin, M.; Pu, C.; Zhang, A. Isolation and identification of pathogens causing root rot in Campanumoea lancifolia and inhibitory effects of essential oils from four aromatic medicinal plants on the pathogenic fungi. Acta Microbiol. Sin. 2025, 65, 303–322. [Google Scholar] [CrossRef]
- Gao, J.; Wang, J.; Chen, Q. Determination of Total Flavonoids Contents in Elsholtzia ciliata and cypriani Produced in Guizhou by UV. China Pharm. 2015, 95, 805–807. [Google Scholar] [CrossRef]
- Jian, G.; Li, Z.; Qing, C. Study on the Antioxidant Activity of ethanol extract of Elsholtzia cypriani. J. Mt. Agric. Biol. 2014, 33, 48–50+54. [Google Scholar] [CrossRef]
- Xiang, P.; Chen, Q. Antioxidant activities of flavonoids from miao drug Elsholtzia cypriani (pam p.) C.Y.Wu et S.Chow. Asia-Pac. Tradit. Med. 2016, 12, 7–9. Available online: https://link.cnki.net/urlid/42.1727.r.20160906.1100.008 (accessed on 9 June 2016).
- Liu, J.-H.; Steigel, A.; Reininger, E.; Bauer, R. Two New Prenylated 3-Benzoxepin Derivatives as Cyclooxygenase Inhibitors from Perilla frutescens var. acuta. J. Nat. Prod. 2000, 63, 403–405. [Google Scholar] [CrossRef]
- Kobayashi, H.; Komatsu, J. Studies on the constituents of Cistanchis Herba. I. Yakugaku Zasshi 1983, 103, 508–511. [Google Scholar] [CrossRef]
- Zhang, H.-X.; Zhou, H.-W.; Liu, S.-Q.; Zheng, Z.-F.; Du, Z.-Z. New Sweet-Tasting Gypenosides from “Jiaogulan” (Gynostemma pentaphyllum) and Their Interactions with the Homology Model of Sweet Taste Receptors. J. Agric. Food Chem. 2024, 72, 18619–18629. [Google Scholar] [CrossRef] [PubMed]
- Sandoval, A.; Arias-Barrau, E.; Bermejo, F.; Canedo, L.; Naharro, G.; Olivera, E.R.; Luengo, J.M. Production of 3-hydroxy-n-phenylalkanoic acids by a genetically engineered strain of Pseudomonas putida. Appl. Microbiol. Biotechnol. 2005, 67, 97–105. [Google Scholar] [CrossRef] [PubMed]
- Knapp, H.; Straubinger, M.; Fornari, S.; Oka, N.; Watanabe, N.; Winterhalter, P. (S)-3,7-dimethyl-5-octene-1,7-diol and related oxygenated monoterpenoids from petals of Rosa damascena Mill. J. Agric. Food Chem. 1998, 46, 1966–1970. [Google Scholar] [CrossRef]
- Pang, N.; Gu, S.-S.; Wang, J.; Cui, H.-S.; Wang, F.-Q.; Liu, X.; Zhao, X.-Y.; Wu, F.-A. A novel chemoenzymatic synthesis of propyl caffeate using lipase-catalyzed transesterification in ionic liquid. Bioresour. Technol. 2013, 139, 337–342. [Google Scholar] [CrossRef]
- Cai, X.-F.; Chin, Y.-W.; Oh, S.-R.; Kwon, O.-K.; Ahn, K.-S.; Lee, H.-K. Anti-inflammatory constituents from Solanum nigrum. Bull. Korean Chem. Soc. 2010, 31, 199–201. [Google Scholar] [CrossRef][Green Version]
- Shao, T.-M.; Song, X.-P.; Han, C.-R.; Chen, G.-Y.; Chen, W.-H.; Dai, C.-Y.; Song, X.-M. Study on Chemical Constituents of Artemisia lactiflora. Nat. Prod. Res. Dev. 2013, 25, 624–627. [Google Scholar] [CrossRef]
- Ishimaru, K.; Sudo, H.; Satake, M.; Shimomura, K. Phenyl glucosides from a hairy root culture of Swertia japonica. Phytochemistry 1990, 29, 3823. [Google Scholar] [CrossRef]
- Inoshiri, S.; Sasaki, M.; Kohda, H.; Otsuka, H.; Yamasaki, K. Aromatic glycosides from Berchemia racemosa. Phytochemistry 1987, 26, 2811. [Google Scholar] [CrossRef]
- Chung, A.K.; Kwon, H.C.; Choi, S.Z.; Min, Y.D.; Lee, S.O.; Lee, W.B.; Yang, M.C.; Lee, K.H.; Nam, J.H.; Kwak, J.H.; et al. Norisoprenoids from Cirsium rhinoceros. Korean J. Pharmacogn. 2002, 33, 81–84. [Google Scholar]
- Li, M.; Xia, Z.-M.; Li, B.; Tian, Y.; Zhang, G.-J.; Xu, C.; Dong, J.-X. Chemical constituents from Ginkgo biloba L. male flowers and their biological activities. Med. Chem. Res. 2019, 28, 1557–1566. [Google Scholar] [CrossRef]
- Meselhy, M.R. Constituents from moghat, the roots of Glossostemon bruguieri (Desf.). Molecules 2003, 8, 614–621. [Google Scholar] [CrossRef]
- Merfort, I.; Wendisch, D. Flavonoid glycosides from Arnica montana and Arnica chamissonis. Planta Med. 1987, 53, 434. [Google Scholar] [CrossRef] [PubMed]
- Wang, L.Q.; Zhao, Y.X.; Zhou, L.; Zhou, J. Lignans from Gnetum montanum Markgr. f. megalocarpua. Chem. Nat. Compd. 2009, 45, 424–426. [Google Scholar] [CrossRef]
- Cowan, S.; Stewart, M.; Abbiw, D.K.; Latif, Z.; Sarker, S.D.; Nash, R.J. Lignans from Strophanthus gratus. Fitoterapia 2001, 72, 80–82. [Google Scholar] [CrossRef]
- Xiong, L.; Zhu, C.; Li, Y.; Tian, Y.; Lin, S.; Yuan, S.; Hu, J.; Hou, Q.; Chen, N.; Yang, Y.; et al. Lignans and neolignans from Sinocalamus affinis and their absolute configurations. J. Nat. Prod. 2011, 74, 1188–1200. [Google Scholar] [CrossRef]
- Li, Y.-C.; Kuo, Y.-H. Four new compounds, ficusal, ficusesquilignan A, B, and ficusolide diacetate from the heartwood of Ficus microcarpa. Chem. Pharm. Bull. 2000, 48, 1862–1865. [Google Scholar] [CrossRef]
- Fujita, T.; Terato, K.; Nakayama, M. Two jasmonoid glucosides and a phenylvaleric acid glucoside from Perilla frutescens. Biosci. Biotechnol. Biochem. 2014, 60, 732–735. [Google Scholar] [CrossRef]
- Xu, Y.; Wang, Q.; Bao, W.; Pa, B. Antihyperlipidemic effect, identification and isolation of the lipophilic components from Artemisia integrifolia. Molecules 2019, 24, 725. [Google Scholar] [CrossRef]
- Park, S.Y.; Seetharaman, R.; Ko, M.J.; Kim, D.Y.; Kim, T.H.; Yoon, M.K.; Kwak, J.H.; Lee, S.J.; Bae, Y.S.; Choi, Y.W. Ethyl linoleate from garlic attenuates lipopolysaccharide-induced pro-inflammatory cytokine production by inducing heme oxygenase-1 in RAW264.7 cells. Int. Immunopharmacol. 2014, 19, 253–261. [Google Scholar] [CrossRef]
- Arai, Y.; Nakagawa, T.; Hitosugi, M.; Shiojima, K.; Ageta, H.; Basher, O.; Abdel, H. Chemical constituents of aquatic fern Azolla nilotica. Phytochemistry 1998, 48, 471–474. [Google Scholar] [CrossRef]
- Wang, Y.R.; Yu, Y.; Li, S.M.; Liu, W.; Li, W.; Morris-Natschke, S.L.; Goto, M.; Lee, K.H.; Huang, X.F. Salvisertin A, a new hexacyclic triterpenoid, and other bioactive terpenes from Salvia deserta root. Chem. Biodivers. 2018, 15, e1800019. [Google Scholar] [CrossRef] [PubMed]
- Domondon, D.L.; He, W.; De Kimpe, N.; Höfte, M.; Poppe, J. β-Adenosine, a bioactive compound in grass chaff stimulating mushroom production. Phytochemistry 2004, 65, 181–187. [Google Scholar] [CrossRef] [PubMed]
- Obianwuna, U.E.; Chang, X.; Oleforuh-Okoleh, V.U.; Onu, P.N.; Zhang, H.; Qiu, K.; Wu, S. Phytobiotics in poultry: Revolutionizing broiler chicken nutrition with plant-derived gut health enhancers. J. Anim. Sci. Biotechnol. 2024, 15, 169. [Google Scholar] [CrossRef]
- Yang, C.; Chowdhury, M.A.K.; Huo, Y.; Gong, J. Phytogenic Compounds as Alternatives to In-Feed Antibiotics: Potentials and Challenges in Application. Pathogens 2015, 4, 137–156. [Google Scholar] [CrossRef] [PubMed]
- Kolios, G.; Valatas, V.; Ward, S.G. Nitric oxide in inflammatory bowel disease: A universal messenger in an unsolved puzzle. Immunology 2004, 113, 427–437. [Google Scholar] [CrossRef]
- Bhattacharyya, A.; Chattopadhyay, R.; Mitra, S.; Crowe, S.E. Oxidative stress: An essential factor in the pathogenesis of gastrointestinal mucosal diseases. Physiol. Rev. 2014, 94, 329–354. [Google Scholar] [CrossRef]
- Chandimali, N.; Bak, S.G.; Park, E.H.; Lim, H.-J.; Won, Y.-S.; Kim, E.-K.; Park, S.-I.; Lee, S.J. Free radicals and their impact on health and antioxidant defenses: A review. Cell Death Discov. 2025, 11, 19. [Google Scholar] [CrossRef]
- Windisch, W.; Schedle, K.; Plitzner, C.; Kroismayr, A. Use of phytogenic products as feed additives for swine and poultry. J. Anim. Sci. 2008, 86, E140–E148. [Google Scholar] [CrossRef]
- Guevara, I.; Iwanejko, J.; Dembinska-Kiec, A.; Pankiewicz, J.; Wanat, A.; Anna, P.; Golabek, I.; Bartus, S.; Malczewska-Malec, M.; Szczudlik, A. Determination of nitrite/nitrate in human biological material by the simple Griess reaction. Clin. Chim. Acta 1998, 274, 177–188. [Google Scholar] [CrossRef]
- Yang, Y.; Zhou, H.; Du, Z. Effect of drying methods on aroma, taste and antioxidant activity of Dendrobium officinale flower tea: A sensomic and metabolomic study. Food Res. Int. 2024, 187, 114455. [Google Scholar] [CrossRef]
- Zhao, L.; Ji, Z.; Li, K.; Wang, B.; Zeng, Y.; Tian, S. HPLC-DAD analysis of Hyssopus Cuspidatus Boriss extract and mensuration of its antioxygenation property. BMC Complement. Med. 2020, 20, 228. [Google Scholar] [CrossRef]
- Zhang, H.-X.; Lunga, P.-K.; Li, Z.-J.; Dai, Q.; Du, Z.-Z. Flavonoids and stilbenoids from Derris eriocarpa. Fitoterapia 2014, 95, 147–153. [Google Scholar] [CrossRef]




| NO. | δH | δC | HMBC |
|---|---|---|---|
| 2 | 4.55 (t, 9.3, 8.7) | 89.4 (d) | 3.14, 3.06 |
| 3 | 3.14 (dd, 15.8, 8.7) | 31.4 (t) | 4.55, 6.57 |
| 3.06 (dd, 15.8, 9.3) | |||
| 3a | 127.1 (s) | 4.55, 3.14, 3.06, 6.57 | |
| 4 | 6.57 (s) | 106.4 (d) | 3.14, 3.06, 3.73 |
| 5 | 149.3 (s) | 3.14, 3.06, 3.73, 5.51, 6.57 | |
| 5a | 114.3 (s) | 3.96, 5.79, 6.57 | |
| 6 | 5.51 (dd, 9.0, 3.2) | 74.3 (d) | 3.96, 6.57 |
| 7 | 3.96 (dd, 11.8, 9.0) | 62.4 (t) | 5.51 |
| 3.45 (dd, 11.8, 3.2) | |||
| 9 | 6.44 (d, 5.8) | 142.9 (d) | 5.51, 5.79 |
| 10 | 5.79 (d, 5.8) | 98.5 (d) | 6.44 |
| 10a | 112.8 (s) | 3.14, 3.06, 6.44, 5.51 | |
| 10b | 147.4 (s) | 3.14, 3.06, 4.55, 5.79, 6.57 | |
| 11 | 71.8 (s) | 3.14, 3.06 | |
| 12 | 1.31 (s) | 26.2 (q) | 1.18, 4.55 |
| 13 | 1.18 (s) | 24.1 (q) | 1.31, 4.55 |
| 5-OMe | 3.73 (s) | 56.0 (q) |
| NO. | δH | δC | HMBC |
|---|---|---|---|
| 1 | 4.35 (dd, 11.9, 6.4) | 66.3 (t) | 4.28, |
| 4.22 (dd, 11.9, 7.7) | |||
| 2 | 5.41 (m) | 122.7 (CH) | 4.22, 4.35, 1.78 |
| 3 | 141.6 (s) | 4.22, 4.35, 2.17, 2.18, 1.78 | |
| 4 | 2.18 (m) | 32.7 (t) | 1.78, 2.17, 5.41 |
| 5 | 2.17 (m) | 27.2 (t) | 2.18, 5.42 |
| 6 | 5.42 (m) | 125.9 (d) | 1.66, 2.18, 3.92 |
| 7 | 136.4 (s) | 1.66, 2.17, 3.92 | |
| 8 | 3.92 (s) | 68.8 (t) | 1.66, 5.42 |
| 9 | 1.66 (s) | 13.8 (q) | 3.92, 5.42 |
| 10 | 1.78 (s) | 23.6 (q) | 2.18, 5.41 |
| 1′ | 4.28 (d, 7.8 Hz) | 102.9 (d) | 3.18, 3.34, 4.22, 4.35 |
| 2′ | 3.18 (dd, 9.0, 7.8) | 75.1 (d) | 3.34, 4.28 |
| 3′ | 3.34 (m) | 78.1 (d) | 3.18, 4.28 |
| 4′ | 3.28 (m) | 71.4 (d) | 3.25, 3.34, 3.68, 3.87 |
| 5′ | 3.24 (ddd, 9.5, 5.6, 2.3) | 78.0 (d) | 3.25, 3.68 |
| 6′ | 3.87 (dd, 11.9, 2.3) | 62.8 (t) | 3.25, 3.28 |
| 3.68 (dd, 11.9, 5.6) |
| Sample | Inhibition Rate of NO Production (%) | Cell Viability (%) | IC50 (μM) |
|---|---|---|---|
| L-NMMA 1 | 58.11 ± 1.01 | 98.36 ± 3.12 | 36.77 ± 0.76 |
| PPE | 19.65 ± 0.94 | 93.83 ± 1.59 | |
| 95EWE | 30.30 ± 0.72 | 97.67 ± 1.54 | |
| 50EWE | 38.06 ± 0.64 | 95.80 ± 0.80 | |
| 1 | 8.11 ± 0.61 | 97.72 ± 0.98 | |
| 2 | 16.28 ± 1.37 | 105.15 ± 6.30 | |
| 3 | −3.14 ± 1.54 | 113.82 ± 5.70 | |
| 4 | 1.14 ± 0.30 | 105.31 ± 3.54 | |
| 5 | −2.16 ± 2.41 | 122.15 ± 1.52 | |
| 6 | −0.55 ± 0.11 | 105.31 ± 2.74 | |
| 10 | 77.81 ± 0.70 | 102.16 ± 0.33 | 4.13 ± 0.21 |
| 11 | 64.74 ± 1.33 | 106.44 ± 2.13 | 30.52 ± 1.40 |
| 12 | 44.03 ± 3.10 | 106.46 ± 3.91 | |
| 13 | −1.18 ± 1.20 | 114.62 ± 5.26 | |
| 15 | 78.18 ± 3.03 | 104.94 ± 2.55 | 14.62 ± 0.50 |
| 17 | 85.41 ± 2.92 | 102.29 ± 2.19 | 15.75 ± 1.22 |
| 18 | 20.52 ± 3.99 | 105.65 ± 5.32 | |
| 19 | 15.84 ± 0.48 | 98.19 ± 1.99 | |
| 24 | −0.75 ± 0.48 | 114.18 ± 8.77 | |
| 25 | 89.17 ± 1.23 | 109.19 ± 1.29 | 24.03 ± 0.18 |
| 27 | 23.00 ± 0.61 | 98.39 ± 3.07 | |
| 26 | 72.19 ± 3.16 | 120.09 ± 4.12 | 17.88 ± 0.48 |
| 30 | 12.19 ± 3.27 | 119.88 ± 3.71 |
| Sample | DPPH Radicals Scavenging Rate (%) | IC50 of DPPH Scavenging Assay (μM) | ABTS Radicals Scavenging Rate (%) | IC50 of ABTS Scavenging Assay (μM) | OH Radicals Scavenging Rate (%) |
|---|---|---|---|---|---|
| Trolox 1 | 89.49 ± 0.19 | 22.54 ± 2.67 | 99.47 ± 0.24 | 25.53 ± 4.29 | 70.53 ± 1.09 |
| PPE | 5.13 ± 1.00 | 5.39 ± 1.35 | 51.29 ± 8.51 | ||
| 95EWE | 56.3 ± 2.31 | 56.91 ± 4.77 | 35.09 ± 8.04 | ||
| 50EWE | 50.45 ± 1.58 | 43.67 ± 4.20 | 39.15 ± 3.95 | ||
| 1 | −0.37 ± 1.84 | 9.24 ± 1.64 | 14.80 ± 4.10 | ||
| 2 | 24.99 ± 0.99 | 12.21 ± 1.10 | 25.09 ± 2.66 | ||
| 3 | 16.19 ± 1.34 | 0.66 ± 0.87 | 26.72 ± 2.65 | ||
| 4 | 18.00 ± 1.82 | 0.74 ± 1.63 | 16.41 ± 2.59 | ||
| 5 | 17.41 ± 0.52 | 3.46 ± 1.07 | 11.06 ± 0.37 | ||
| 6 | 85.43 ± 0.06 | 22.92 ± 2.60 | 92.96 ± 0.12 | 21.19 ± 2.87 | 33.89 ± 2.88 |
| 10 | 58.92 ± 1.56 | 111.9 ± 13.97 | 78.37 ± 2.29 | 51.58 ± 2.89 | 7.00 ± 2.62 |
| 11 | 16.73 ± 2.60 | 2.94 ± 1.74 | 17.82 ± 3.40 | ||
| 12 | 34.69 ± 1.25 | 85.54 ± 1.64 | 37.74 ± 3.26 | 19.58 ± 1.18 | |
| 13 | 19.70 ± 4.33 | 3.19 ± 0.59 | 19.74 ± 1.91 | ||
| 15 | 88.16 ± 0.52 | 28.91 ± 3.42 | 92.16 ± 1.37 | 37.62 ± 5.00 | −45.04 ± 5.31 |
| 17 | 87.02 ± 0.16 | 26.63 ± 2.54 | 91.03 ± 1.91 | 31.39 ± 3.19 | 17.40 ± 2.12 |
| 18 | 84.64 ± 0.64 | 41.54 ± 1.60 | 98.10 ± 0.64 | 19.02 ± 1.65 | 4.35 ± 3.51 |
| 19 | 13.52 ± 1.82 | 5.43 ± 1.74 | 19.99 ± 4.74 | ||
| 24 | 18.34 ± 1.79 | 2.46 ± 0.59 | 11.42 ± 3.67 | ||
| 25 | 15.82 ± 1.31 | 4.57 ± 1.31 | 8.19 ± 0.18 | ||
| 27 | 19.76 ± 1.73 | 3.82 ± 1.39 | 36.34 ± 1.83 | ||
| 26 | 20.02 ± 1.57 | 7.63 ± 4.06 | 0.29 ± 0.34 | ||
| 30 | 89.49 ± 0.19 | 22.54 ± 2.67 | 99.47 ± 0.24 | 25.53 ± 4.29 |
| Sample | Inhibitory Rates (%) | Sample | Inhibitory Rates (%) |
|---|---|---|---|
| Gentamicin 1 | 100.00 ± 0.13 | 13 | 42.11 ± 2.34 |
| 95EWE | −34.503 ± 0.366 | 15 | 81.19 ± 4.30 |
| 50EWE | 27.527 ± 1.354 | 17 | 68.00 ± 0.87 |
| 1 | 31.92 ± 9.81 | 18 | 75.05 ± 7.90 |
| 2 | 42.78 ± 3.01 | 19 | 24.63 ± 10.85 |
| 3 | 74.55 ± 8.14 | 24 | 78.31 ± 6.59 |
| 10 | 46.94 ± 2.54 | 25 | 76.21 ± 11.32 |
| 11 | 13.72 ± 0.67 | 27 | 67.76 ± 2.31 |
| 12 | 65.66 ± 2.30 | 26 | 79.78 ± 8.31 |
Disclaimer/Publisher’s Note: The statements, opinions and data contained in all publications are solely those of the individual author(s) and contributor(s) and not of MDPI and/or the editor(s). MDPI and/or the editor(s) disclaim responsibility for any injury to people or property resulting from any ideas, methods, instructions or products referred to in the content. |
© 2026 by the authors. Licensee MDPI, Basel, Switzerland. This article is an open access article distributed under the terms and conditions of the Creative Commons Attribution (CC BY) license.
Share and Cite
Zhang, H.; Tian, X.; Zhou, H.; Chen, Z.; Li, M.; Ma, Y.; Du, Z. Phytohemical Profiling, Bioactivity and Toxicity Evaluation of Elsholtzia cypriani, a Potential Multifunctional Natural Feed Additive. Molecules 2026, 31, 662. https://doi.org/10.3390/molecules31040662
Zhang H, Tian X, Zhou H, Chen Z, Li M, Ma Y, Du Z. Phytohemical Profiling, Bioactivity and Toxicity Evaluation of Elsholtzia cypriani, a Potential Multifunctional Natural Feed Additive. Molecules. 2026; 31(4):662. https://doi.org/10.3390/molecules31040662
Chicago/Turabian StyleZhang, Hongxia, Xinye Tian, Huiwei Zhou, Ziyi Chen, Mingxiang Li, Yongpeng Ma, and Zhizhi Du. 2026. "Phytohemical Profiling, Bioactivity and Toxicity Evaluation of Elsholtzia cypriani, a Potential Multifunctional Natural Feed Additive" Molecules 31, no. 4: 662. https://doi.org/10.3390/molecules31040662
APA StyleZhang, H., Tian, X., Zhou, H., Chen, Z., Li, M., Ma, Y., & Du, Z. (2026). Phytohemical Profiling, Bioactivity and Toxicity Evaluation of Elsholtzia cypriani, a Potential Multifunctional Natural Feed Additive. Molecules, 31(4), 662. https://doi.org/10.3390/molecules31040662

