Composition Study of Polyphyllin in Paris polyphylla by Ultrasound-Assisted Deep Eutectic Solvent Extraction Combined with UHPLC-MS/MS
Abstract
1. Introduction
2. Results and Discussions
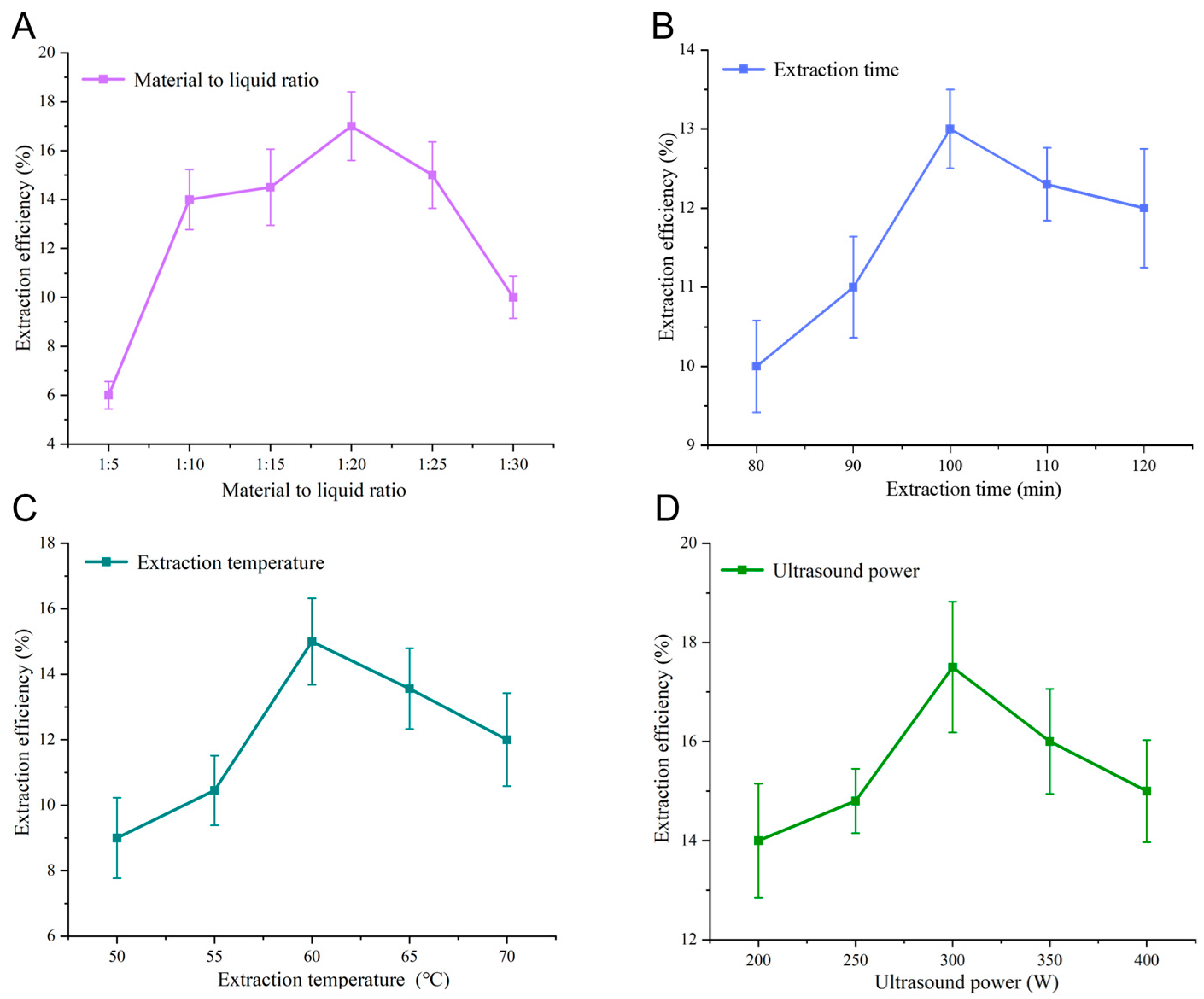
2.1. Optimization of Extraction Process
2.2. Optimization of Chromatography and Mass Spectrometry Parameters
2.3. Investigation of Methodological Verification Indicators
2.4. Analysis of Actual Samples
3. Materials and Methodology
3.1. Materials and Instruments
3.2. Basic Information of PPI and PPII
3.3. Ultrasonic-Assisted Preparation of Prepared Deep Eutectic Solvent Systems
3.4. Extraction Methods for Paris polyphylla Medicinal Material
3.5. Optimization of Extraction Process Using Orthogonal Experimental Design
3.6. Chromatographic Parameter Conditions
3.7. Mass Spectrometry Parameter Conditions
3.8. Preparation of Standard Solutions
4. Conclusions
Supplementary Materials
Author Contributions
Funding
Institutional Review Board Statement
Informed Consent Statement
Data Availability Statement
Acknowledgments
Conflicts of Interest
References
- Zhang, Y.; Fan, Y.C.; Zhang, Y.C.; Li, Q.; Su, Y.Y.; Xu, C.S.; Yu, H.L.; Wang, C.; Zhang, J.; Liao, Z.X. Antitumor activity and mechanistic study of steroidal saponins from the rhizomes of Paris polyphylla var. yunnanensis. Phytochemistry 2025, 235, 114455. [Google Scholar] [CrossRef]
- Zhou, J.; Liao, B.; Miao, J.; Chen, X. Paris spp. (Liliaceae): A review of its botany, ethnopharmacology, phytochemistry, pharmacological activities, and practical applications. Front. Pharmacol. 2025, 16, 1570818. [Google Scholar] [CrossRef]
- Ye, X.; Yang, T.; Pu, X.; Hu, H.; Chen, J.; Tan, C.; Tan, X.; Li, S.; Liu, Y. The genus Paris: A fascinating resource for medicinal and botanical studies. Hortic. Res. 2025, 12, uhae327. [Google Scholar] [CrossRef]
- Sha, A.; Li, Y. Preparation, structural characterization, bioactivities, and potential clinical applications of the polysaccharides from Paris polyphylla: A review. Front. Pharmacol. 2025, 16, 1539237. [Google Scholar] [CrossRef]
- Ma, Y.; Liu, D.; Cheng, H.; Bussmann, R.W.; He, H.; Guo, Z.; Liu, B. Ethnobotanical study of medicinal plants used by Miao people in Jijiezi, Yunnan, China. Ethnobot. Res. Appl. 2019, 18, 1–14. [Google Scholar] [CrossRef]
- Rawat, J.M.; Pandey, S.; Rawat, B.; Rai, N.; Preeti, P.; Thakur, A.; Butola, J.S.; Bachheti, R.K.; Wang, C. Traditional uses, active ingredients, and biological activities of Paris polyphylla Smith: A comprehensive review of an important Himalayan medicinal plant. J. Chem. 2023, 2023, 7947224. [Google Scholar] [CrossRef]
- Liu, J.; Mu, Y.; Qi, K.; Li, J.; Hu, Y. Regulation of anti-tumour effects of Paris polyphylla saponins via ROS: Molecular mechanisms and therapeutic potentials. Front. Pharmacol. 2025, 16, 1611911. [Google Scholar] [CrossRef]
- Lin, H.; Chen, B.; Wang, H.; Pan, F. Anti-neurodegenerative potential of polyphyllin: Mechanisms involving inflammation and oxidative stress modulation. Pharmacol. Discov. 2025, 5, 10. [Google Scholar] [CrossRef]
- Li, X.; Guo, J.; Xu, Y.; Li, S.; Li, N.; Liu, Q. Effects of heat reflux extraction on the content, antioxidant, and immune activity of polyphenols and flavonoids from hempseed threshing residues. PLoS ONE 2025, 20, e0322134. [Google Scholar] [CrossRef]
- Wang, H.; Deng, L.; Huang, G. Ultrasound-assisted extraction and value of active substances in Muxu. Ultrason. Sonochem. 2025, 113, 107220. [Google Scholar] [CrossRef]
- Tian, X.; Liu, J.; Jiang, L.; Kong, W.; Fu, Y.; Qin, L.; Cui, Q. Efficient extraction and optimization procedures of polyphyllins from Paris polyphylla var. chinensis by deep eutectic solvent coupled with ultrasonic-assisted extraction. Microchem. J. 2024, 196, 109692. [Google Scholar] [CrossRef]
- Vo, T.P.; Ho, T.A.T.; Truong, K.V.; Ha, N.M.H.; Nguyen, D.Q. Combining novel extraction techniques with natural deep eutectic solvent to acquire phenolic and terpenoid compounds from Paris polyphylla roots. J. Agric. Food Res. 2024, 18, 101544. [Google Scholar] [CrossRef]
- Xiao, X.; Yuan, Z.; Li, G. Separation and purification of steroidal saponins from Paris polyphylla by microwave-assisted extraction coupled with countercurrent chromatography using evaporative light scattering detection. J. Sep. Sci. 2014, 37, 635–641. [Google Scholar] [CrossRef]
- Wu, Z.; Zhang, J.; Xu, F.; Wang, Y.; Zhang, J. Rapid and simple determination of polyphyllin I, II, VI, and VII in different harvest times of cultivated Paris polyphylla Smith var. yunnanensis (Franch.) Hand.-Mazz by UPLC-MS/MS and FT-IR. J. Nat. Med. 2017, 71, 139–147. [Google Scholar] [CrossRef]
- Shi, Y.X.; Xu, L.; Wang, X.; Zhang, K.K.; Zhang, C.Y.; Liu, H.Y.; Ding, P.P.; Shi, W.; Liu, Z.Y. Paris polyphylla ethanol extract and polyphyllin I ameliorate adenomyosis by inhibiting epithelial-mesenchymal transition. Phytomedicine 2024, 127, 155461. [Google Scholar] [CrossRef]
- Thakur, U.; Shashni, S.; Thakur, N.; Rana, S.K.; Singh, A. A review on Paris polyphylla Smith: A vulnerable medicinal plant species of a global significance. J. Appl. Res. Med. Aromat. Plants 2023, 33, 100447. [Google Scholar] [CrossRef]
- Han, M.; Wang, Y. Mining the potential quality marker and predicting the total flavonoid content of Paris polyphylla var. yunnanensis based on information fusion. Microchem. J. 2025, 212, 113415. [Google Scholar] [CrossRef]
- Pei, Y.; Zuo, Z.; Zhang, Q.; Wang, Y. Data fusion of Fourier transform mid-infrared (MIR) and near-infrared (NIR) spectroscopies to identify geographical origin of wild Paris polyphylla var. yunnanensis. Molecules 2019, 24, 2559. [Google Scholar] [CrossRef]
- Zhong, C.; Li, L.; Wang, Y. Comparative analysis of flavonoids in Paris polyphylla var. yunnanensis under different climatic zones using FT-NIR spectroscopy, UPLC-ESI-MS/MS, and chemometrics. J. Appl. Res. Med. Aromat. Plants 2025, 49, 100676. [Google Scholar] [CrossRef]
- Yang, Y.; Zhang, J.; Jin, H.; Zhang, J.; Wang, Y. Quantitative analysis in combination with fingerprint technology and chemometric analysis applied for evaluating six species of wild Paris using UHPLC-UV-MS. J. Anal. Methods Chem. 2016, 2016, 3182796. [Google Scholar] [CrossRef] [PubMed]
- Li, Y.; Wen, R.; Yang, W.; Xu, H.; Xie, Q.; Wang, L.; Sun, H.; Zhang, H.; Xia, C. Multimodal integrated strategy for the discovery and identification of antiplatelet aggregation Q-markers in Paris polyphylla var. yunnanensis. Biomed. Chromatogr. 2024, 38, e5824. [Google Scholar] [CrossRef] [PubMed]
- Delgado-Mellado, N.; Larriba, M.; Navarro, P.; Rigual, V.; Ayuso, M.; García, J.; Rodríguez, F. Thermal stability of choline chloride deep eutectic solvents by TGA/FTIR-ATR analysis. J. Mol. Liq. 2018, 260, 37–43. [Google Scholar]







| No. | Abbreviation | Solvent 1 (ChCl) | Solvent 2 (HBD) | Molar Ratio 1 |
|---|---|---|---|---|
| 1 | DES-a | Choline Chloride | Ethanol | 1.0:1.8 |
| 2 | DES-b | Choline Chloride | Butanediol | |
| 3 | DES-c | Choline Chloride | Ethylene Glycol | |
| 4 | DES-d | Choline Chloride | Methanol |
| No. | A 1 | B 2 | C 3 | D 4 | Extraction Efficiency (%) 5 |
|---|---|---|---|---|---|
| 1 | 1 | 1 | 1 | 1 | 9.16 ± 0.32 |
| 2 | 1 | 2 | 2 | 2 | 6.15 ± 0.28 |
| 3 | 1 | 3 | 3 | 3 | 7.02 ± 0.26 |
| 4 | 2 | 1 | 2 | 3 | 8.85 ± 0.34 |
| 5 | 2 | 2 | 3 | 1 | 10.12 ± 0.42 |
| 6 | 2 | 3 | 1 | 2 | 11.26 ± 0.40 |
| 7 | 3 | 1 | 3 | 2 | 9.76 ± 0.32 |
| 8 | 3 | 2 | 1 | 3 | 7.85 ± 0.32 |
| 9 | 3 | 3 | 2 | 1 | 10.53 ± 0.47 |
| K1 | 28.45 | 29.16 | 29.98 | 27.11 | |
| K2 | 28.16 | 31.45 | 28.64 | 31.66 | |
| K3 | 30.15 | 29.78 | 30.36 | 31.47 | |
| R | 1.25 | 1.06 | 0.62 | 3.15 |
| Source of Variation | Sum of Squares | F Value | Significance (p-Value) |
|---|---|---|---|
| Material-to-liquid ratio (g mL−1) | 1.5783 | 0.9435 | <0.05 |
| Extraction time (min) | 1.3112 | 0.8624 | <0.05 |
| Extraction temperature (°C) | 0.4645 | 0.2645 | |
| Ultrasound power (W) | 3.0764 | 1.2305 | <0.01 |
| Traditional Chinese Medicine | Extraction Efficiency (%) | Deviation of Efficiency (%) |
|---|---|---|
| Paris polyphylla Smith | 14.33 | 2.87 |
| Typhonium giganteum | 2.04 | 0.32 |
| Iphigenia indica | 6.98 | 1.02 |
| Chinese Paris Rhizome | 7.47 | 1.76 |
| Yunnan Paris Rhizome | 14.63 | 3.22 |
| Large-leaved Paris Rhizome | 4.92 | 0.89 |
| Root of Paris polyphylla | 16.51 | 4.04 |
| Analyte | Linear Range (ng mL−1) | R2 | Regression Equation | LOD (ng mL−1) | LOQ (ng mL−1) |
|---|---|---|---|---|---|
| polyphyllin I | 0.5~4000.0 | 0.99952 | Y = 2478.5592 + 391.6256x | 0.4391 | 0.4832 |
| polyphyllin II | 0.2~3000.0 | 0.99763 | Y = −1445.2323 + 285.7164x | 0.1874 | 0.2143 |
| Sample | Polyphyllin I | Polyphyllin II | ||||||||
|---|---|---|---|---|---|---|---|---|---|---|
| Content (mg·g−1) | Avg. Recovery (%) | Precision (RSD, %) | Accuracy (%) | Content (mg·g−1) | Avg. Recovery (%) | Precision (RSD, %) | Accuracy (%) | |||
| Intra-Day | Inter-Day | Intra-Day | Inter-Day | |||||||
| S1 | 7.983 | 93.28 | 1.27 | 1.33 | 97.26 | 8.921 | 97.16 | 1.09 | 1.22 | 91.99 |
| S2 | 3.282 | 98.12 | 0.47 | 0.33 | 97.36 | 4.201 | 92.17 | 0.78 | 0.66 | 93.28 |
| S3 | 7.391 | 90.18 | 1.42 | 1.22 | 97.27 | 9.721 | 83.10 | 2.07 | 1.87 | 94.27 |
| S4 | 14.298 | 88.29 | 3.91 | 3.78 | 91.03 | 11.298 | 90.17 | 1.09 | 1.21 | 92.38 |
| S5 | 9.276 | 95.28 | 2.10 | 2.07 | 94.67 | 5.292 | 96.18 | 0.99 | 1.03 | 98.71 |
| S6 | 21.452 | 99.18 | 5.01 | 4.78 | 95.27 | 17.975 | 94.78 | 4.78 | 4.97 | 91.28 |
| S7 | 17.294 | 97.91 | 4.57 | 4.23 | 96.35 | 16.392 | 99.10 | 3.89 | 3.76 | 98.13 |
| Level | A | B | C | D |
|---|---|---|---|---|
| Material-to-Liquid Ratio (g mL−1) | Extraction Time (min) | Extraction Temperature (°C) | Ultrasound Power (W) | |
| 1 | 1:16 | 96 | 60 | 300 |
| 2 | 1:18 | 98 | 62 | 310 |
| 3 | 1:20 | 100 | 64 | 320 |
| Analyte | Polyphyllin I | Polyphyllin II |
|---|---|---|
| Chromatographic column | Waters Acquity UHPLC BEH C18 column (Milford, MA, USA) | Waters Acquity UHPLC BEH C18 column (Milford, MA, USA) |
| Mobile phase | A: 0.1% Formic acid in H2O B: Formic acid in acetonitrile | A: 0.1% Formic acid in H2O B: Formic acid in acetonitrile |
| Flow rate (mL min−1) | 0.20 | 0.20 |
| Elution gradient | 0.0–1.0 min, 20%B; 2.0–3.0 min, 20–50%B; 3.0–5.0 min, 50–95%B; 5.0–28.0 min, 95%B; 28.0–29.0 min, 95–40%B; 29.0–29.5 min, 40–5%B 29.5–30.0 min, 5–5%B | 0.0–1.0 min, 10%B; 1.0–1.5 min, 10–40%B; 1.5–2.0 min, 40–80%B; 2.0–3.0 min, 80–90%B; 3.0–29.0 min, 90%B; 29.0–29.5 min, 90–5%B 29.5–30.0 min, 5%B |
| Injection volume (μL) | 5 | 5 |
| Column temperature (°C) | 38 | 38 |
| Detection Wavelength (nm) | 203 | 203 |
| Retention Time (min) | 13.45 | 17.88 |
| Analyte | Polyphyllin I | Polyphyllin II |
|---|---|---|
| Ionization Mode | Positive (ESI+) | Positive (ESI+) |
| Precursor ion (m/z) | [M+H]+, m/z, 855.4763, C44H70O16 | [M+H]+, m/z, 1015.5433, C51H82O20 |
| Product ions | [C27H42O2]+, m/z, 398.3211; [C6H12O4+H]+, m/z, 149.0722; [C5H10O5]+, m/z, 150.0523; [C6H12O5+H]+, m/z, 165.0763; | [M-C6H10O4]+, m/z, 868.4822; [C6H11O5+H]+, m/z, 164.0623; [C18H32O14+H]+, m/z, 473.1822; [C27H42O2]+, m/z, 398.3217; |
| Collision energy (eV) | 6 | 10 |
| Instrument | Waters ACQUITY UPLC system coupled with a quadrupole time-of-flight mass spectrometer (Waters Corporation, Milford, MA, USA) | Waters ACQUITY UPLC system coupled with a quadrupole time-of-flight mass spectrometer (Waters Corporation, Milford, MA, USA) |
Disclaimer/Publisher’s Note: The statements, opinions and data contained in all publications are solely those of the individual author(s) and contributor(s) and not of MDPI and/or the editor(s). MDPI and/or the editor(s) disclaim responsibility for any injury to people or property resulting from any ideas, methods, instructions or products referred to in the content. |
© 2026 by the authors. Licensee MDPI, Basel, Switzerland. This article is an open access article distributed under the terms and conditions of the Creative Commons Attribution (CC BY) license.
Share and Cite
Guo, J.; Liu, J.; Li, M.; Tan, Z.; Lu, H.; Zhou, Y. Composition Study of Polyphyllin in Paris polyphylla by Ultrasound-Assisted Deep Eutectic Solvent Extraction Combined with UHPLC-MS/MS. Molecules 2026, 31, 473. https://doi.org/10.3390/molecules31030473
Guo J, Liu J, Li M, Tan Z, Lu H, Zhou Y. Composition Study of Polyphyllin in Paris polyphylla by Ultrasound-Assisted Deep Eutectic Solvent Extraction Combined with UHPLC-MS/MS. Molecules. 2026; 31(3):473. https://doi.org/10.3390/molecules31030473
Chicago/Turabian StyleGuo, Jinyu, Jiajia Liu, Minlong Li, Zhenlin Tan, Huayin Lu, and Yuting Zhou. 2026. "Composition Study of Polyphyllin in Paris polyphylla by Ultrasound-Assisted Deep Eutectic Solvent Extraction Combined with UHPLC-MS/MS" Molecules 31, no. 3: 473. https://doi.org/10.3390/molecules31030473
APA StyleGuo, J., Liu, J., Li, M., Tan, Z., Lu, H., & Zhou, Y. (2026). Composition Study of Polyphyllin in Paris polyphylla by Ultrasound-Assisted Deep Eutectic Solvent Extraction Combined with UHPLC-MS/MS. Molecules, 31(3), 473. https://doi.org/10.3390/molecules31030473

