Black Gold in Medicine: Rediscovering the Pharmacological Potential
Abstract
1. Introduction
2. Petroleum in Medicine: Practical Insights
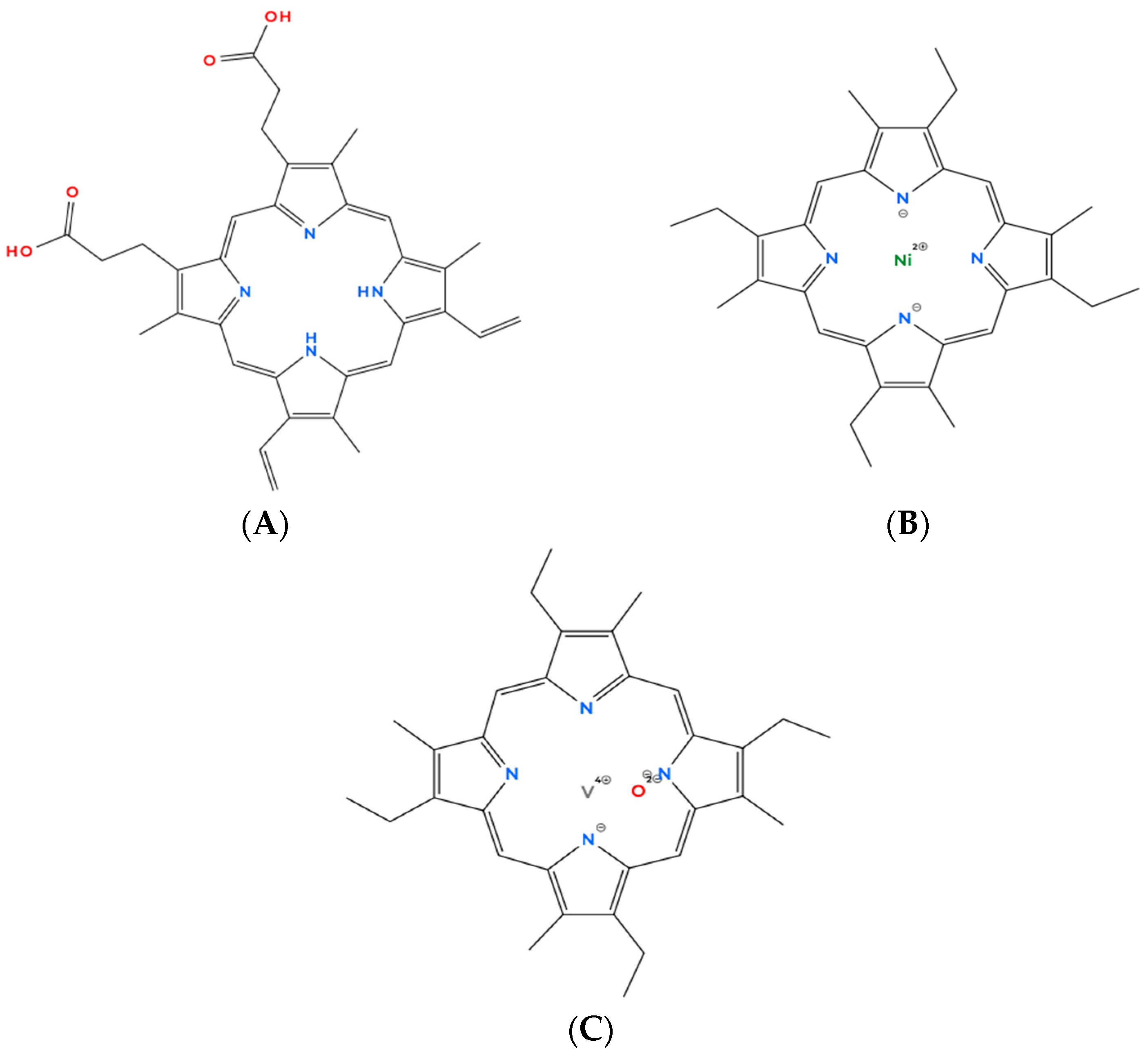
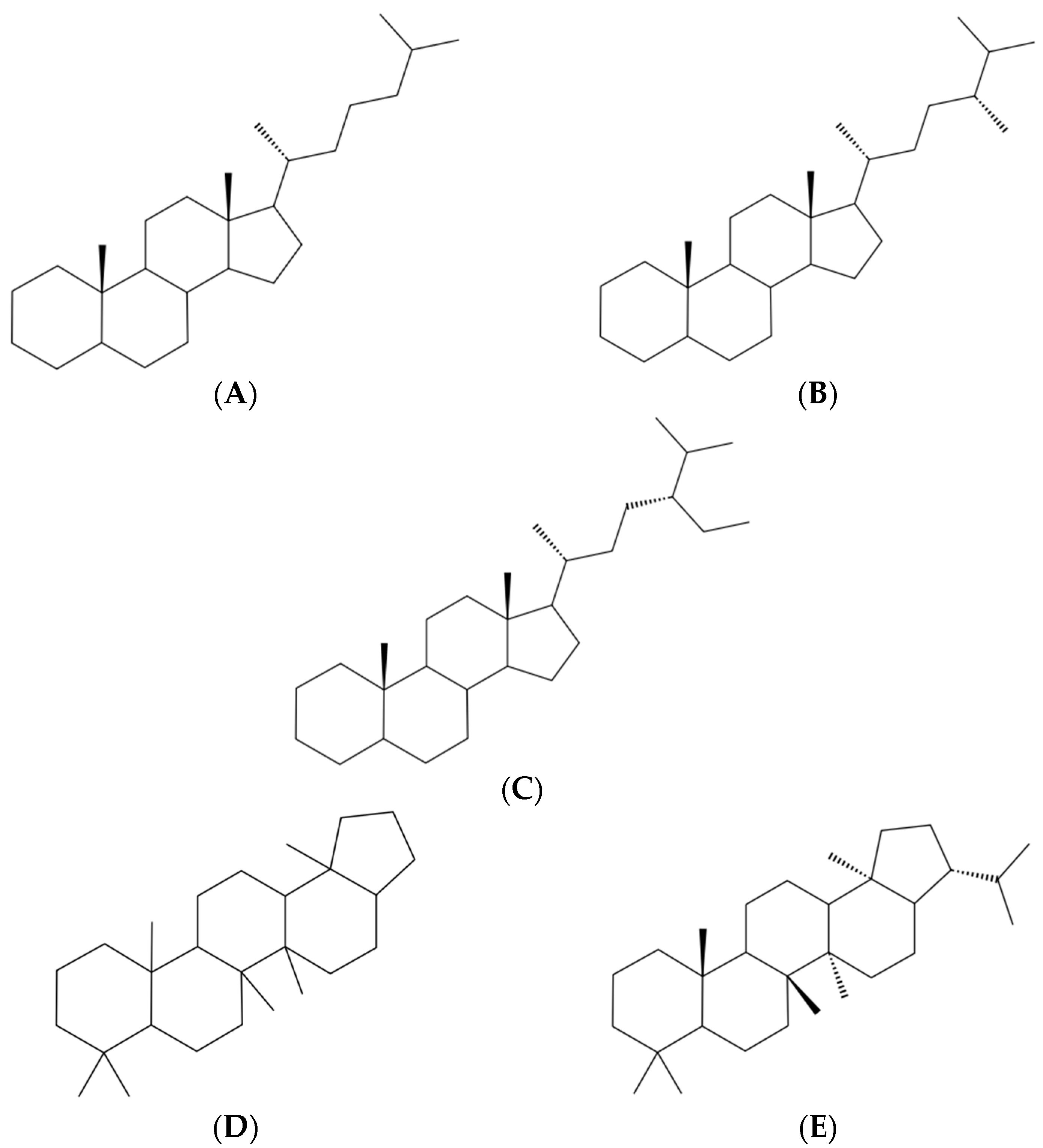
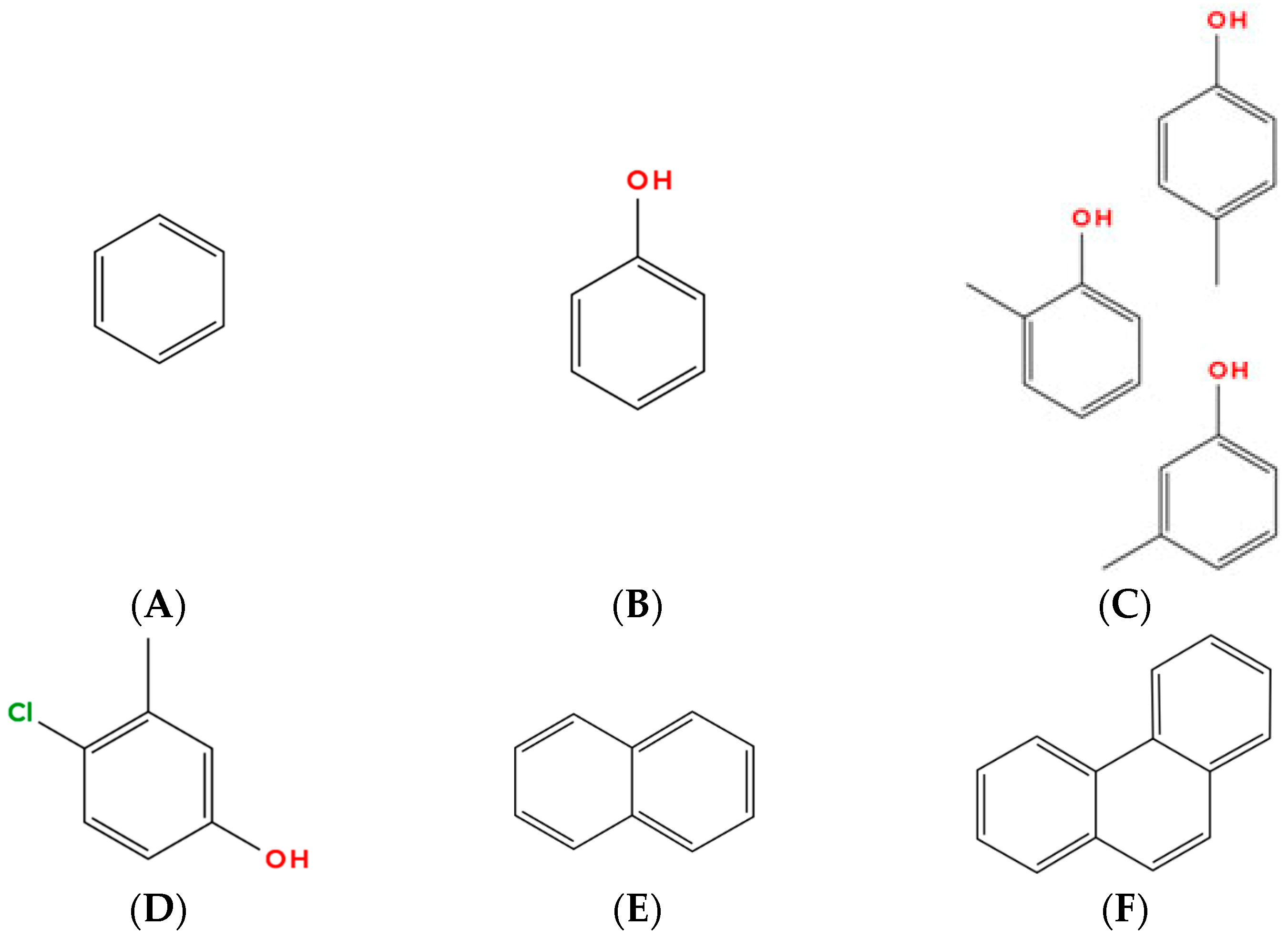
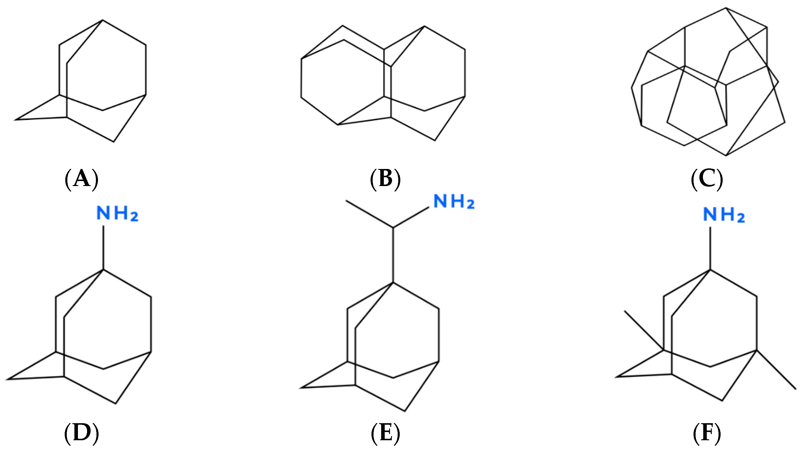
3. Pharma Matrix of Crude Oil: Structural Insights
4. Translational Perspectives of Crude Oil in Drug Discovery
5. Conclusions
Author Contributions
Funding
Institutional Review Board Statement
Informed Consent Statement
Data Availability Statement
Acknowledgments
Conflicts of Interest
Appendix A
Historical Timeline of the Medical Use of Petroleum
- I.
- Mesopotamia and the Ancient Near East (ca. 1st millennium BCE).
- II.
- Classical Antiquity (5th century BCE–5th century CE).
- III.
- Arabic and Persian Medicine (9th–13th centuries).
- IV.
- Medieval and Early Modern Europe (11th–18th centuries).
- V.
- Nineteenth Century to Modern Times.
References
- International Pharmaceutical Federation (FIP). Policy Statement of the International Pharmaceutical Federation on Medicine Shortages; FIP: The Hague, The Netherlands, 2024; Available online: https://www.fip.org/file/4953 (accessed on 11 October 2024).
- Bayer, A.G. Addressing Growing Healthcare Demand. Available online: https://www.bayer.com/en/investors/pharmaceutical-industry-megatrends (accessed on 10 April 2025).
- Buntz, B. Biotech in 2025: Precision Medicine, Smarter Investments, and More Emphasis on RWD in Clinical Trials. Drug Discovery Trends. 2024. Available online: https://www.drugdiscoverytrends.com/biotech-in-2025-precision-medicine-smarter-investments-and-more-emphasis-on-rwd-in-clinical-trials/ (accessed on 20 December 2024).
- Ernst&Young, LLP. Beyond Borders: EY Biotechnology Report 2024. Available online: https://www.ey.com/en_us/life-sciences/biotech-outlook (accessed on 22 August 2024).
- Doak, B.C.; Over, B.; Giordanetto, F.; Kihlberg, J. Oral druggable space beyond the rule of 5: Insights from drugs and clinical candidates. Chem. Biol. 2014, 21, 1115–1142. [Google Scholar] [CrossRef]
- Zhu, W.; Wang, Y.; Niu, Y.; Zhang, L.; Liu, Z. Current trends and challenges in drug-likeness prediction: Are they generalizable and interpretable? Health Data Sci. 2023, 3, 0098. [Google Scholar] [CrossRef] [PubMed]
- Kattuparambil, A.A.; Chaurasia, D.K.; Shekhar, S.; Srinivasan, A.; Mondal, S.; Aduri, R.; Jayaram, B. Exploring chemical space for ‘druglike’ small molecules in the age of AI. Front. Mol. Biosci. 2025, 12, 1553667. [Google Scholar] [CrossRef]
- Brown, D.G.; Boström, J. Analysis of past and present synthetic methodologies on medicinal chemistry: Where have all the new reactions gone? J. Med. Chem. 2016, 59, 4443–4458. [Google Scholar] [CrossRef]
- Waring, M.J.; Arrowsmith, J.; Leach, A.R.; Leeson, P.D.; Mandrell, S.; Owen, R.M.; Pairaudeau, G.; Pennie, W.D.; Pickett, S.D.; Wang, J.; et al. An analysis of the attrition of drug candidates from four major pharmaceutical companies. Nat. Rev. Drug Discov. 2015, 14, 475–486. [Google Scholar] [CrossRef] [PubMed]
- Sun, D.; Gao, W.; Hu, H.; Zhou, S. Why 90% of clinical drug development fails and how to improve it? Acta Pharm. Sin. B 2022, 12, 3049–3062. [Google Scholar] [CrossRef] [PubMed]
- Lovering, F.; Bikker, J.; Humblet, C. Escape from flatland: Increasing saturation as an approach to improving clinical success. J. Med. Chem. 2009, 52, 6752–6756. [Google Scholar] [CrossRef]
- Wei, W.; Cherukupalli, S.; Jing, L.; Liu, X.; Zhan, P. Fsp3: A new parameter for drug-likeness. Drug Discov. Today 2020, 25, 1839–1845. [Google Scholar] [CrossRef] [PubMed]
- Dobson, P.D.; Patel, Y.; Kell, D.B. ‘Metabolite-likeness’ as a criterion in the design and selection of pharmaceutical drug libraries. Drug Discov. Today 2009, 14, 31–40. [Google Scholar] [CrossRef] [PubMed]
- World Health Organization. Global Summit on Traditional Medicine: Advancing Science, Innovation, and Well-Being; WHO: Geneva, Switzerland, 2023. [Google Scholar]
- Hunt, J.M. Petroleum Geochemistry and Geology, 2nd ed.; W.H. Freeman and Co.: New York, NY, USA, 1996; p. 743. [Google Scholar]
- Hsu, C.S.; Walters, C.C.; Isaksen, G.H.; Schaps, M.E.; Peters, K.E. Biomarker analysis in petroleum exploration. In Analytical Advances for Hydrocarbon Research; Hsu, C.S., Ed.; Springer: Boston, MA, USA, 2003; pp. 223–245. [Google Scholar] [CrossRef]
- Hess, J.; Bednarz, D.; Bae, J.; Pierce, J. Petroleum and health care: Evaluating and managing health care’s vulnerability to petroleum supply shifts. Am. J. Public Health 2011, 101, 1568–1579. [Google Scholar] [CrossRef]
- Thompson, R.C. Assyrian Medical Texts; Oxford University Press: London, UK, 1923. [Google Scholar]
- Steinert, U. The Assur Medical Catalogue (AMC). In Band 9 Assyrian and Babylonian Scholarly Text Catalogues: Medicine, Magic and Divination; Steinert, U., Ed.; De Gruyter: Berlin, Germany; Boston, MA, USA, 2018; pp. 203–291. [Google Scholar] [CrossRef]
- Dioscorides, P. De Materia Medica Libri Quinque; Sprengel, K.P.J., Ed.; C. G. C. G. Knobloch: Leipzig, Germany, 1829. [Google Scholar]
- Pliny the Elder. Natural History Vol. 10: Books XXXVI–XXXVII; Eichholz, D.E., Translator; Loeb Classical Library 419; Harvard University Press: Cambridge, MA, USA, 1962. [Google Scholar]
- Galen. De Simplicium Medicamentorum Facultatibus Libri, XI.; Apud Gulielmum Rouillium: Lugduni, France, 1561. [Google Scholar]
- Avicenna (Ibn Sīnā). A Treatise on the Canon of Medicine of Avicenna; Gruner, O.C., Translator; Luzac & Co.: London, UK, 1930; Reprinted in AMS Press: New York, NY, USA, 1973. [Google Scholar]
- Rhazes (Muḥammad ibn Zakariyyāʾ). Liber Continens; Johannes Hamman: Venice, Italy, 1529. [Google Scholar]
- Forbes, R.J. Studies in Early Petroleum History; E.J. Brill: Leiden, The Netherlands, 1958; pp. ix–199. [Google Scholar]
- Savage-Smith, E. Medicine in the Medieval Islamic World; Cambridge University Press: Cambridge, UK, 2013. [Google Scholar]
- McDonald, G. Georgius Agricola and the invention of petroleum. Bibliothèque D’humanisme Et Renaiss. 2011, 73, 351–363. [Google Scholar]
- Craig, J.; Gerali, F.; MacAulay, F.; Sorkhabi, R. The History of the European Oil and Gas Industry (1600s–2000s); Special Publications; Geological Society: London, UK, 2018; Volume 465, pp. 1–24. [Google Scholar] [CrossRef]
- Henry, J.T. The Early and Later History of Petroleum: With Authentic Facts in Regard to Its Development in Western Pennsylvania; the Oil Fields of Europe and America; Gas Wells, Spiritual Wells, Oil-Well Shafts, Petroleum Products; the Parkers’ and Butler County Oil Fields; Also, Life Sketches of Pioneer and Prominent Operators, with the Refining Capacity of the United States; J.B. Rodgers Co.: Philadelphia, PA, USA, 1873. [Google Scholar]
- Polo, M. The Book of Ser Marco Polo, the Venetian: Concerning the Kingdoms and Marvels of the East; Yule, H., Ed.; John Murray: London, UK, 1871. [Google Scholar]
- Rosenbaum. Naftalan. Int. Dent. J. 1899, 20, 27–29. [Google Scholar]
- Pharmaceutische Zeitung (Central-Organ für die Gewerblichen und Wissenschaftlichen Angelegenheiten der Pharmazie); Springer: Berlin, Germany, 1899; Volume 44, Available online: https://leopard.tu-braunschweig.de/receive/dbbs_mods_00036163 (accessed on 23 November 2025).
- Nesterov, I.I. Perechen’ Innovatsionnykh Tekhnologii, v Tom Chisle Proryvnykh Tekhnologii, ne Imeyushchikh Analogov za Rubezhom [A List of Innovative, Including Breakthrough Technologies That Have No Analogues Abroad]; NOTS TIU: Tyumen, Russia, 2015; 85p. (In Russian) [Google Scholar]
- Vtorushina, E.A.; Kulkov, M.G.; Salakhidinova, G.T.; Butyrin, R.I.; Aliyev, A.E.; Nigametzyanov, I.R.; Vtorushin, M.N.; Yakovlev, M.Y.; Kopytov, A.G. Comparative analysis of high-viscosity oils from the Khanty-Mansi Autonomous Okrug and the Naftalan oil field to assess their balneological potential. Pet. Chem. 2023, 63, 640–653. [Google Scholar] [CrossRef]
- Vrzogić, P.; Ostrogović, Z.; Alajbeg, A. Naphthalan—A natural medicinal product. Acta Dermatovenerol. Croat. 2003, 11, 178–184. [Google Scholar]
- Špoljarić Carević, S.; Hrabač, P.; Maričić, G.; Tomić Babić, L.; Ivković, J.; Krnjević Pezić, G.; Bahlen Kramar, M.; Matić, V.; Vržogić, P.; Vasari, L.; et al. The Clinical Characteristics of Psoriatic Arthritis: A Cross-Sectional Study Based on the Psoriatic Arthritis Cohort of Special Hospital for Medical Rehabilitation—Naftalan, Croatia. Reumatizam 2023, 70, 27. [Google Scholar] [CrossRef]
- Musaev, A.V.; Guseinova, S.G. Neurophysiological and neurohumoral mechanisms of naftalan therapy for nervous system diseases. Azerbaycan Kurortol. Fizioter. Və Reabil. Jurnalı 2012, 2, 13–22. [Google Scholar]
- Farajova, A.I. Study of the effects of Naphthalan oil, White Naphthalan oil, and Artra ointment on blood lipoproteins in rats with experimental osteoarthritis. Azerb. J. Physiol. 2024, 39, 11–18. [Google Scholar] [CrossRef]
- Gulieva, S.A.; Gashimov, S.R. Complex treatment of patients with psoriasis at the Naftalan health resort. Vestn. Dermatol. Venerol. 1987, 11, 68–70. [Google Scholar] [PubMed]
- Abramovich, S.G.; Drobyshev, V.A.; Koneva, E.S.; Makhova, A.A. The Efficacy of the Comprehensive Use of Naphthalan and Non-Selective Chromotherapy in the Treatment of Patients with Gonarthrosis. Drug Res. 2020, 70, 170–173. [Google Scholar] [CrossRef]
- Adigozalova, V.A.; Hashimova, U.F.; Polyakova, L.P. Composition and Properties of the Unique Oil from Azerbaijan’s Naftalan Oil field. Russ. J. Gen. Chem. 2019, 89, 631–640. [Google Scholar] [CrossRef]
- Newman, D.J.; Cragg, G.M. Natural products as sources of new drugs over the nearly four decades from 01/1981 to 09/2019. J. Nat. Prod. 2020, 83, 770–803. [Google Scholar] [CrossRef]
- Mamedaliev, Y.G. On the theory of the mechanism of action of Naftalan oil. Proc. Acad. Sci. Azerb. SSR 1946, 5, 560–562. [Google Scholar]
- Martynova, G.S.; Nanajanova, R.G.; Velimetova, N.I.; Zeinalov, S.Q.; Babayeva, N.I.; Muradkhanova, L.R. On some aspects of Naftalan oil properties. Chem. Probl. 2022, 2, 122–132. [Google Scholar] [CrossRef]
- Guliev, I.S.; Martynova, G.S.; Maksakova, O.P.; Nanajanova, R.G.; Velimetova, N.I.; Zeinalov, S.G. A study of geochemical features of medicinal oils. Vestn. North-East. Fed. Univ. Ser. Earth Sci. 2024, 3, 5–17. [Google Scholar] [CrossRef]
- Bauer, M.R.; Di Fruscia, P.; Lucas, S.C.; Michaelides, I.N.; Nelson, J.E.; Storer, R.I.; Whitehurst, B.C. Put a ring on it: Application of small aliphatic rings in medicinal chemistry. RSC Med. Chem. 2021, 12, 448–471. [Google Scholar] [CrossRef] [PubMed]
- Tajabadi, F.M.; Campitelli, M.R.; Quinn, R.J. Scaffold Flatness: Reversing the Trend. Springer Sci. Rev. 2013, 1, 141–151. [Google Scholar] [CrossRef]
- Schwertfeger, H.; Fokin, A.A.; Schreiner, P.R. Diamonds are a chemist’s best friend: Diamondoid chemistry beyond adamantane. Angew. Chem. Int. Ed. 2008, 47, 1022–1036. [Google Scholar] [CrossRef] [PubMed]
- Dane, C.; Cumbers, G.A.; Allen, B.; Montgomery, A.P.; Danon, J.J.; Kassiou, M. Unlocking therapeutic potential: The role of adamantane in drug discovery. Aust. J. Chem. 2024, 77, CH24075. [Google Scholar] [CrossRef]
- Wanka, L.; Iqbal, K.; Schreiner, P.R. The lipophilic bullet hits the targets: Medicinal chemistry of adamantane derivatives. Chem. Rev. 2013, 113, 3516–3604. [Google Scholar] [CrossRef]
- Rascol, O.; Fabbri, M.; Poewe, W. Amantadine in the treatment of Parkinson’s disease and other movement disorders. Lancet Neurol. 2021, 20, 1048–1056. [Google Scholar] [CrossRef]
- Watanabe, K.; Sato, M.; Osada, H. Recent advances in the chemo-biological characterization of decalin natural products and unraveling of the workings of Diels–Alderases. Fungal Biol. Biotechnol. 2022, 9, 9. [Google Scholar] [CrossRef] [PubMed]
- Feng, X.; Sippel, C.; Knaup, F.H.; Bracher, A.; Staibano, S.; Romano, M.F.; Hausch, F. A Novel Decalin-Based Bicyclic Scaffold for FKBP51-Selective Ligands. J. Med. Chem. 2020, 63, 231–240. [Google Scholar] [CrossRef]
- Alexander, R.; Kagi, R.I.; Noble, R.A. Identification of the bicyclic sesquiterpenes drimane and eudesmane in petroleum. J. Chem. Soc. Chem. Commun. 1983, 5, 226–228. [Google Scholar] [CrossRef]
- Jansen, B.J.M.; de Groot, A. Occurrence, biological activity, and synthesis of drimane sesquiterpenoids. Nat. Prod. Rep. 2004, 21, 449–477. [Google Scholar] [CrossRef] [PubMed]
- Mara, P.; Nelson, R.K.; Reddy, C.M.; Teske, A.; Edgcomb, V.P. Sterane and hopane biomarkers capture microbial transformations of complex hydrocarbons in young hydrothermal Guaymas Basin sediments. Commun. Earth Environ. 2022, 3, 250. [Google Scholar] [CrossRef]
- Levental, I.; Levental, K.R.; Heberle, F.A. Lipid rafts: Controversies resolved, mysteries remain. Nat. Rev. Mol. Cell Biol. 2020, 21, 353–374. [Google Scholar] [CrossRef]
- Warda, M.; Tekin, S.; Gamal, M.; Khafaga, N.; Çelebi, F.; Tarantino, G. Lipid rafts: Novel therapeutic targets for metabolic, neurodegenerative, oncological, and cardiovascular diseases. Lipids Health Dis. 2025, 24, 147. [Google Scholar] [CrossRef]
- Mitchison-Field, L.M.; Belin, B.J. Bacterial lipid biophysics and membrane organization. Curr. Opin. Microbiol. 2023, 74, 102315. [Google Scholar] [CrossRef]
- Kolchina, G.Y.; Bakhtina, A.Y.; Movsumzade, M.M.; Loginova, M.E. Calculations and determination of the parameters of Naftalan-oil components and assessment of their state and putative activities. Oil Gas Chem. 2022, 1–2, 30–35. [Google Scholar] [CrossRef]
- Farmani, Z.; Vetere, A.; Poidevin, C.; Auer, A.A.; Schrader, W. Studying Natural Buckyballs and Buckybowls in Fossil Materials. Angew. Chem. Int. Ed. 2020, 132, 15118–15123. [Google Scholar] [CrossRef]
- Huseynov, D.A.; Martynova, G.S.; Zeinalov, S.G. About naphthenic oil and aspects of its healing properties. Azerbaijan Chem. J. 2024, 2, 114–126. [Google Scholar] [CrossRef]
- Ritchie, T.J.; Macdonald, S.J.; Young, R.J.; Pickett, S.D. The impact of aromatic ring count on compound developability: Further insights by examining carboaromatic, heteroaromatic, and aliphatic ring types. Drug Discov. Today 2011, 16, 164–171. [Google Scholar] [CrossRef] [PubMed]
- Taylor, R.D.; MacCoss, M.; Lawson, A.D.G. Rings in drugs. J. Med. Chem. 2014, 57, 5845–5859. [Google Scholar] [CrossRef]
- Menzikov, S.A.; Zaichenko, D.M.; Moskovtsev, A.A.; Morozov, S.G.; Kubatiev, A.A. Phenols and GABAAreceptors: From structure and molecular mechanisms action to neuropsychiatric sequelae. Front. Pharmacol. 2024, 15, 1272534. [Google Scholar] [CrossRef]
- Páez-Martínez, N.; Ambrosio, E.; García-Lecumberri, C.; Rocha, L.; Montoya, G.L.; Cruz, S.L. Toluene and TCE decrease binding to mu-opioid receptors, but not to benzodiazepine and NMDA receptors in mouse brain. Ann. N. Y. Acad. Sci. 2008, 1139, 390–401. [Google Scholar] [CrossRef] [PubMed]
- Pajouhesh, H.; Lenz, G.R. Medicinal chemical properties of successful central nervous system drugs. NeuroRx 2005, 2, 541–553. [Google Scholar] [CrossRef] [PubMed]
- McKenna, A.M.; Chacón-Patiño, M.L.; Salvato Vallverdu, G.; Bouyssiere, B.; Giusti, P.; Afonso, C.; Shi, Q.; Combariza, M.Y. Advances and challenges in the molecular characterization of petroporphyrins. Energy Fuels 2021, 35, 18056–18077. [Google Scholar] [CrossRef]
- Zhang, Y.; Schulz, F.; Rytting, B.M.; Walters, C.C.; Kaiser, K.; Metz, J.N.; Harper, M.R.; Merchant, S.S.; Mennito, A.S.; Qian, K.; et al. Elucidating the Geometric Substitution of Petroporphyrins by Spectroscopic Analysis and Atomic Force Microscopy Molecular Imaging. Energy Fuels 2019, 33, 6088–6097. [Google Scholar] [CrossRef]
- Amos-Tautua, B.M.; Songca, S.P.; Oluwafemi, O.S. Application of Porphyrins in Antibacterial Photodynamic Therapy. Molecules 2019, 24, 2456. [Google Scholar] [CrossRef] [PubMed]
- Chen, J.; Zhu, Y.; Kaskel, S. Porphyrin-based metal–organic frameworks for biomedical applications. Angew. Chem. Int. Ed. 2021, 60, 5010–5035. [Google Scholar] [CrossRef] [PubMed]
- Tazeev, D.; Musin, L.; Mironov, N.; Milordov, D.; Tazeeva, E.; Yakubova, S.; Yakubov, M. Complexes of Transition Metals with Petroleum Porphyrin Ligands: Preparation and Evaluation of Catalytic Ability. Catalysts 2021, 11, 1506. [Google Scholar] [CrossRef]
- Pavlov, R.V.; Mironov, N.A.; Gaynanova, G.A.; Lyubina, A.P.; Voloshina, A.D.; Yakubov, M.R.; Zakharova, L.Y. Preparation and cytotoxic properties of porphysomes based on petroleum porphyrins. Russ. Chem. Bull. 2022, 71, 1992–1997. [Google Scholar] [CrossRef]
- Gayko, G.; Cholcha, W.; Kietzmann, M. Zur antientzündlichen, antibakteriellen und antimykotischen Wirkung von dunklem sulfonierten Schieferöl (Ichthammol) [Anti-inflammatory, antibacterial and antimycotic effects of dark sulfonated shale oil (ichthammol)]. Berl. Munch. Tierarztl. Wochenschr. 2000, 113, 368–373. (In German) [Google Scholar] [PubMed]
- Heuser, E.; Becker, K.; Idelevich, E.A. Bactericidal Activity of Sodium Bituminosulfonate against Staphylococcus aureus. Antibiotics 2022, 11, 896. [Google Scholar] [CrossRef] [PubMed]
- Makhoba, X.H.; Viegas, C., Jr.; Mosa, R.A.; Viegas, F.P.D.; Pooe, O.J. Potential Impact of the Multi-Target Drug Approach in the Treatment of Some Complex Diseases. Drug Des. Dev. Ther. 2020, 14, 3235–3249. [Google Scholar] [CrossRef] [PubMed]
- Ma, X.H.; Shi, Z.; Tan, C.; Jiang, Y.; Go, M.L.; Low, B.C.; Chen, Y.Z. In-silico approaches to multi-target drug discovery: Computer aided multi-target drug design, multi-target virtual screening. Pharm. Res. 2010, 27, 739–749. [Google Scholar] [CrossRef]
- Talevi, A. Multi-target pharmacology: Possibilities and limitations of the “skeleton key approach” from a medicinal chemist perspective. Front. Pharmacol. 2015, 6, 205. [Google Scholar] [CrossRef]
- Marshall, A.G.; Rodgers, R.P. Petroleomics: The next grand challenge for chemical analysis. Acc. Chem. Rem. 2004, 37, 53–59. [Google Scholar] [CrossRef]
- Palacio Lozano, D.C.; Thomas, M.J.; Jones, H.E.; Barrow, M.P. Petroleomics: Tools, Challenges, and Developments. Annu. Rev. Anal. Chem. 2020, 13, 405–430. [Google Scholar] [CrossRef] [PubMed]
- Xu, J.; Hagler, A. Chemoinformatics and Drug Discovery. Molecules 2002, 7, 566–600. [Google Scholar] [CrossRef]
- Chen, Y.; Kirchmair, J. Cheminformatics in Natural Product-based Drug Discovery. Mol. Inform. 2020, 39, e2000171. [Google Scholar] [CrossRef]
- Atanasov, A.G.; Zotchev, S.B.; Dirsch, V.M.; Supuran, C.T. Natural products in drug discovery: Advances and opportunities. Nat. Rev. Drug Discov. 2021, 20, 200–216. [Google Scholar] [CrossRef]
- Conrado, G.G.; da Rosa, R.; Reis, R.D.; Pessa, L.R. Building Natural Product–Based Libraries for Drug Discovery: Challenges and Opportunities from a Brazilian Pharmaceutical Industry Perspective. Rev. Bras. Farmacogn. 2024, 34, 706–721. [Google Scholar] [CrossRef]






Disclaimer/Publisher’s Note: The statements, opinions and data contained in all publications are solely those of the individual author(s) and contributor(s) and not of MDPI and/or the editor(s). MDPI and/or the editor(s) disclaim responsibility for any injury to people or property resulting from any ideas, methods, instructions or products referred to in the content. |
© 2026 by the authors. Licensee MDPI, Basel, Switzerland. This article is an open access article distributed under the terms and conditions of the Creative Commons Attribution (CC BY) license.
Share and Cite
Hashimova, U.; Gaisina, A.; Safikhanova, K. Black Gold in Medicine: Rediscovering the Pharmacological Potential. Molecules 2026, 31, 408. https://doi.org/10.3390/molecules31030408
Hashimova U, Gaisina A, Safikhanova K. Black Gold in Medicine: Rediscovering the Pharmacological Potential. Molecules. 2026; 31(3):408. https://doi.org/10.3390/molecules31030408
Chicago/Turabian StyleHashimova, Ulduz, Aliya Gaisina, and Khatira Safikhanova. 2026. "Black Gold in Medicine: Rediscovering the Pharmacological Potential" Molecules 31, no. 3: 408. https://doi.org/10.3390/molecules31030408
APA StyleHashimova, U., Gaisina, A., & Safikhanova, K. (2026). Black Gold in Medicine: Rediscovering the Pharmacological Potential. Molecules, 31(3), 408. https://doi.org/10.3390/molecules31030408

