Valorization of Turnip Greens (Brassica rapa subsp. sylvestris) Wastes: Investigation on the Sustainable Recovery of Bioactive Extracts with Antioxidant and Antibiofilm Properties
Abstract
1. Introduction
2. Results and Discussion
2.1. Preparation and Characterization of the Plant Waste Material
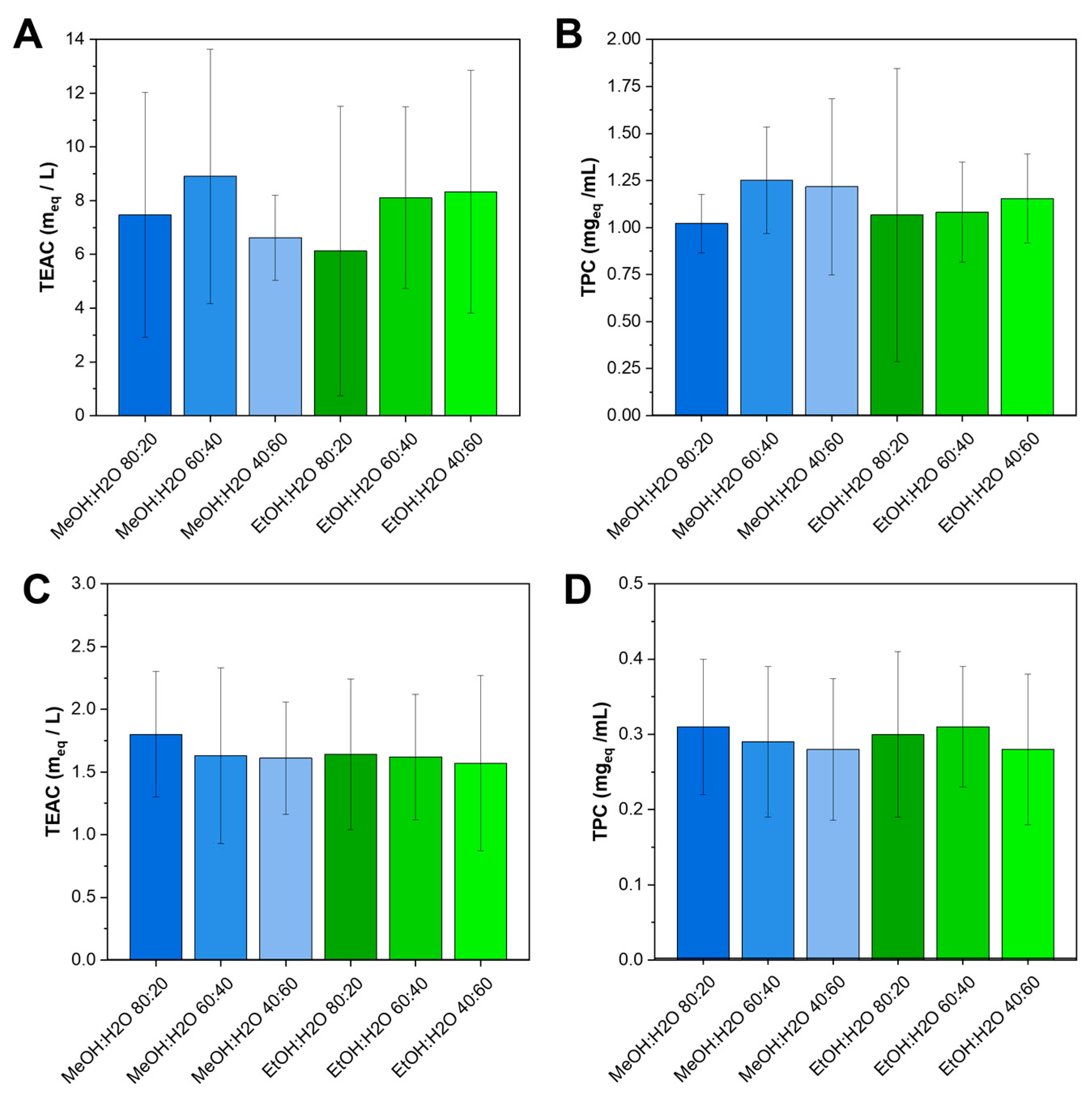
2.2. Parameters Screening by DoE
2.3. Phenolic Acid Profile
2.4. Biofilm-Inhibitory Activity
3. Materials and Methods
3.1. Reagents
3.2. Sample Preparation and Characterization
3.3. Design of Experiment
3.4. Polyphenol Extraction
3.4.1. Ultrasound-Assisted Extraction
3.4.2. Silent Maceration
3.5. Determination of TPC
3.6. Antioxidant Activity
3.7. Phenolic Acids Characterization
3.8. Antibacterial and Antibiofilm Activity
3.8.1. Antibacterial Test
3.8.2. Effect of the Extracts on Biofilm Formation
3.8.3. Effect of the Extracts on Mature Biofilm
3.8.4. Effect of the Extracts on the Metabolic Activity of Sessile Cells
3.9. Statistical Analysis
4. Conclusions
Supplementary Materials
Author Contributions
Funding
Institutional Review Board Statement
Informed Consent Statement
Data Availability Statement
Conflicts of Interest
References
- Keerthana Devi, M.; Manikandan, S.; Oviyapriya, M.; Selvaraj, M.; Assiri, M.A.; Vickram, S.; Subbaiya, R.; Karmegam, N.; Ravindran, B.; Chang, S.W.; et al. Recent advances in biogas production using Agro-Industrial Waste: A comprehensive review outlook of Techno-Economic analysis. Bioresour. Technol. 2022, 363, 127871. [Google Scholar] [CrossRef]
- Yafetto, L.; Odamtten, G.T.; Wiafe-Kwagyan, M. Valorization of agro-industrial wastes into animal feed through microbial fermentation: A review of the global and Ghanaian case. Heliyon 2023, 9, e14814. [Google Scholar] [CrossRef]
- Riddech, N.; Theerakulpisut, P.; Ma, Y.N.; Sarin, P. Bioorganic fertilizers from agricultural waste enhance rice growth under saline soil conditions. Sci. Rep. 2025, 15, 8979. [Google Scholar] [CrossRef] [PubMed]
- Mandal, M.; Roy, A.; Mitra, D.; Sarkar, A. Possibilities and prospects of bioplastics production from agri-waste using bacterial communities: Finding a silver-lining in waste management. Curr. Res. Microb. Sci. 2024, 7, 100274. [Google Scholar] [CrossRef]
- De Bhowmick, G.; Sarmah, A.K.; Sen, R. Lignocellulosic biorefinery as a model for sustainable development of biofuels and value added products. Bioresour. Technol. 2018, 247, 1144–1154. [Google Scholar] [CrossRef]
- Kang, S.; Fu, J.; Zhang, G. From lignocellulosic biomass to levulinic acid: A review on acid-catalyzed hydrolysis. Renew. Sustain. Energy Rev. 2018, 94, 340–362. [Google Scholar] [CrossRef]
- Liu, C.; Mei, Y.; Lei, Q.; Ma, X.; Nan, X.; Zhu, Y.; Liao, J.; Xu, Y.; Luo, Y.; Zhang, H.; et al. Fluorescent carbon dots based on food wastes: Applications in food safety detection. Chem. Eng. J. 2024, 499, 156434. [Google Scholar] [CrossRef]
- Bernini, R.; Campo, M.; Cassiani, C.; Fochetti, A.; Ieri, F.; Lombardi, A.; Urciuoli, S.; Vignolini, P.; Villanova, N.; Vita, C. Polyphenol-Rich Extracts from Agroindustrial Waste and Byproducts: Results and Perspectives According to the Green Chemistry and Circular Economy. J. Agric. Food Chem. 2024, 72, 12871–12895. [Google Scholar] [CrossRef]
- Santulli, C. Chapter 7—Extraction of flavonoids from agrowaste. In Extraction of Natural Products from Agro-Industrial Wastes; Bhawani, S.A., Khan, A., Ahmad, F.B., Eds.; Elsevier: Amsterdam, The Netherlands, 2023; pp. 111–130. [Google Scholar]
- Tiwari, S.; Yawale, P.; Upadhyay, N. Carotenoids: Extraction strategies and potential applications for valorization of under-utilized waste biomass. Food Biosci. 2022, 48, 101812. [Google Scholar] [CrossRef]
- Buljeta, I.; Šubarić, D.; Babić, J.; Pichler, A.; Šimunović, J.; Kopjar, M. Extraction of Dietary Fibers from Plant-Based Industry Waste: A Comprehensive Review. Appl. Sci. 2023, 13, 9309. [Google Scholar] [CrossRef]
- Tunç, M.T.; Odabaş, H.İ. Single-step recovery of pectin and essential oil from lemon waste by ohmic heating assisted extraction/hydrodistillation: A multi-response optimization study. Innov. Food Sci. Emerg. Technol. 2021, 74, 102850. [Google Scholar] [CrossRef]
- Chiocchio, I.; Mandrone, M.; Tomasi, P.; Marincich, L.; Poli, F. Plant Secondary Metabolites: An Opportunity for Circular Economy. Molecules 2021, 26, 495. [Google Scholar] [CrossRef]
- FAOSTAT. Available online: https://www.fao.org/faostat/en/#home (accessed on 16 October 2025).
- Wang, W.; Wang, X.; Ye, H.; Hu, B.; Zhou, L.; Jabbar, S.; Zeng, X.; Shen, W. Optimization of extraction, characterization and antioxidant activity of polysaccharides from Brassica rapa L. Int. J. Biol. Macromol. 2016, 82, 979–988. [Google Scholar] [CrossRef]
- Mago, M.; Gupta, R.; Yadav, A.; Kumar Garg, V. Sustainable treatment and nutrient recovery from leafy waste through vermicomposting. Bioresour. Technol. 2022, 347, 126390. [Google Scholar] [CrossRef] [PubMed]
- Shinali, T.S.; Zhang, Y.; Altaf, M.; Nsabiyeze, A.; Han, Z.; Shi, S.; Shang, N. The Valorization of Wastes and Byproducts from Cruciferous Vegetables: A Review on the Potential Utilization of Cabbage, Cauliflower, and Broccoli Byproducts. Foods 2024, 13, 1163. [Google Scholar] [CrossRef]
- Hossain, M.N.; De Leo, V.; Tamborra, R.; Laselva, O.; Ingrosso, C.; Daniello, V.; Catucci, L.; Losito, I.; Sollitto, F.; Loizzi, D.; et al. Characterization of anti-proliferative and anti-oxidant effects of nano-sized vesicles from Brassica oleracea L. (Broccoli). Sci. Rep. 2022, 12, 14362. [Google Scholar] [CrossRef] [PubMed]
- Gonzales, G.B.; Raes, K.; Coelus, S.; Struijs, K.; Smagghe, G.; Van Camp, J. Ultra(high)-pressure liquid chromatography–electrospray ionization-time-of-flight-ion mobility-high definition mass spectrometry for the rapid identification and structural characterization of flavonoid glycosides from cauliflower waste. J. Chromatogr. A 2014, 1323, 39–48. [Google Scholar] [CrossRef]
- Rahman, M.M.; Abdullah, A.T.M.; Sharif, M.; Jahan, S.; Kabir, M.A.; Motalab, M.; Khan, T.A. Relative evaluation of in-vitro antioxidant potential and phenolic constituents by HPLC-DAD of Brassica vegetables extracted in different solvents. Heliyon 2022, 8, e10838. [Google Scholar] [CrossRef] [PubMed]
- de Oliveira, I.; Santos-Buelga, C.; Aquino, Y.; Barros, L.; Heleno, S.A. New frontiers in the exploration of phenolic compounds and other bioactives as natural preservatives. Food Biosci. 2025, 68, 106571. [Google Scholar] [CrossRef]
- Rodríguez García, S.L.; Raghavan, V. Microwave-Assisted Extraction of Phenolic Compounds from Broccoli (Brassica oleracea) Stems, Leaves, and Florets: Optimization, Characterization, and Comparison with Maceration Extraction. Recent Prog. Nutr. 2022, 2, 011. [Google Scholar] [CrossRef]
- ISTAT. IstatData. Available online: https://esploradati.istat.it/databrowser/#/it/dw/categories/IT1,Z1000AGR,1.0/AGR_CRP/DCSP_COLTIVAZIONI/IT1,101_1015_DF_DCSP_COLTIVAZIONI_1,1.0 (accessed on 20 October 2025).
- Conversa, G.; Bonasia, A.; Lazzizera, C.; Elia, A. Bio-physical, physiological, and nutritional aspects of ready-to-use cima di rapa (Brassica rapa L. subsp. sylvestris L. Janch. var. esculenta Hort.) as affected by conventional and organic growing systems and storage time. Sci. Hortic. 2016, 213, 76–86. [Google Scholar] [CrossRef]
- Carreira-Casais, A.; Otero, P.; Garcia-Perez, P.; Garcia-Oliveira, P.; Pereira, A.G.; Carpena, M.; Soria-Lopez, A.; Simal-Gandara, J.; Prieto, M.A. Benefits and Drawbacks of Ultrasound-Assisted Extraction for the Recovery of Bioactive Compounds from Marine Algae. Int. J. Environ. Res. Public Health 2021, 18, 9153. [Google Scholar] [CrossRef]
- Berndtsson, E.; Andersson, R.; Johansson, E.; Olsson, M.E. Side Streams of Broccoli Leaves: A Climate Smart and Healthy Food Ingredient. Int. J. Environ. Res. Public Health 2020, 17, 2406. [Google Scholar] [CrossRef] [PubMed]
- Ares, A.M.; Nozal, M.J.; Bernal, J. Extraction, chemical characterization and biological activity determination of broccoli health promoting compounds. J. Chromatogr. A 2013, 1313, 78–95. [Google Scholar] [CrossRef] [PubMed]
- Gudiño, I.; Martín, A.; Casquete, R.; Prieto, M.H.; Ayuso, M.C.; Córdoba, M.G. Evaluation of broccoli (Brassica oleracea var. italica) crop by-products as sources of bioactive compounds. Sci. Hortic. 2022, 304, 111284. [Google Scholar] [CrossRef]
- Oniszczuk, A.; Olech, M. Optimization of ultrasound-assisted extraction and LC-ESI–MS/MS analysis of phenolic acids from Brassica oleracea L. var. sabellica. Ind. Crops Prod. 2016, 83, 359–363. [Google Scholar] [CrossRef]
- Drabińska, N.; Jeż, M.; Nogueira, M. Variation in the Accumulation of Phytochemicals and Their Bioactive Properties among the Aerial Parts of Cauliflower. Antioxidants 2021, 10, 1597. [Google Scholar] [CrossRef]
- Bajkacz, S.; Ligor, M.; Baranowska, I.; Buszewski, B. Separation and Determination of Chemopreventive Phytochemicals of Flavonoids from Brassicaceae Plants. Molecules 2021, 26, 4734. [Google Scholar] [CrossRef]
- Alkharusi, H. Categorical Variables in Regression Analysis: A Comparison of Dummy and Effect Coding. Int. J. Educ. 2012, 4, 202. [Google Scholar] [CrossRef]
- Chemat, F.; Rombaut, N.; Sicaire, A.-G.; Meullemiestre, A.; Fabiano-Tixier, A.-S.; Abert-Vian, M. Ultrasound assisted extraction of food and natural products. Mechanisms, techniques, combinations, protocols and applications. A review. Ultrason. Sonochem. 2017, 34, 540–560. [Google Scholar] [CrossRef]
- Virot, M.; Tomao, V.; Le Bourvellec, C.; Renard, C.M.C.G.; Chemat, F. Towards the industrial production of antioxidants from food processing by-products with ultrasound-assisted extraction. Ultrason. Sonochem. 2010, 17, 1066–1074. [Google Scholar] [CrossRef]
- Ma, Y.-Q.; Ye, X.-Q.; Fang, Z.-X.; Chen, J.-C.; Xu, G.-H.; Liu, D.-H. Phenolic Compounds and Antioxidant Activity of Extracts from Ultrasonic Treatment of Satsuma Mandarin (Citrus unshiu Marc.) Peels. J. Agric. Food Chem. 2008, 56, 5682–5690. [Google Scholar] [CrossRef] [PubMed]
- Ross, I.A. The Bioactive Components of Brassicaceae. In Plant-Based Therapeutics, Volume 2: The Brassicaceae Family; Ross, I.A., Ed.; Springer: Cham, Switzerland, 2024; pp. 17–95. [Google Scholar]
- Ma, Y.Q.; Chen, J.C.; Liu, D.H.; Ye, X.Q. Effect of ultrasonic treatment on the total phenolic and antioxidant activity of extracts from citrus peel. J. Food Sci. 2008, 73, T115–T120. [Google Scholar] [CrossRef] [PubMed]
- Faller, A.L.K.; Fialho, E. Polyphenol content and antioxidant capacity in organic and conventional plant foods. J. Food Compos. Anal. 2010, 23, 561–568. [Google Scholar] [CrossRef]
- Francisco, M.; Moreno, D.A.; Cartea, M.E.; Ferreres, F.; García-Viguera, C.; Velasco, P. Simultaneous identification of glucosinolates and phenolic compounds in a representative collection of vegetable Brassica rapa. J. Chromatogr. A 2009, 1216, 6611–6619. [Google Scholar] [CrossRef] [PubMed]
- Ivanochko, M.V.; Fediv, K.V.; Shvadchak, V.V.; Bayliak, M.M.; Lushchak, V.I. Nutritional analysis of aqueous and ethanol broccoli sprout extracts. J. Plant Biochem. Biotechnol. 2025, 34, 749–760. [Google Scholar] [CrossRef]
- Natella, F.; Maldini, M.; Leoni, G.; Scaccini, C. Glucosinolates redox activities: Can they act as antioxidants? Food Chem. 2014, 149, 226–232. [Google Scholar] [CrossRef]
- Aires, A.; Mota, V.R.; Saavedra, M.J.; Rosa, E.A.; Bennett, R.N. The antimicrobial effects of glucosinolates and their respective enzymatic hydrolysis products on bacteria isolated from the human intestinal tract. J. Appl. Microbiol. 2009, 106, 2086–2095. [Google Scholar] [CrossRef]
- Halkier, B.A.; Gershenzon, J. Biology and biochemistry of glucosinolates. Annu. Rev. Plant Biol. 2006, 57, 303–333. [Google Scholar] [CrossRef]
- Van Eylen, D.; Oey, I.; Hendrickx, M.; Van Loey, A. Kinetics of the Stability of Broccoli (Brassica oleracea Cv. Italica) Myrosinase and Isothiocyanates in Broccoli Juice during Pressure/Temperature Treatments. J. Agric. Food Chem. 2007, 55, 2163–2170. [Google Scholar] [CrossRef]
- Syed, R.U.; Moni, S.S.; Break, M.K.; Khojali, W.M.A.; Jafar, M.; Alshammari, M.D.; Abdelsalam, K.; Taymour, S.; Alreshidi, K.S.; Elhassan Taha, M.M.; et al. Broccoli: A Multi-Faceted Vegetable for Health: An In-Depth Review of Its Nutritional Attributes, Antimicrobial Abilities, and Anti-inflammatory Properties. Antibiotics 2023, 12, 1157. [Google Scholar] [CrossRef] [PubMed]
- Salim, S.A.; Mohan, M.S.; Forgia, N.; Busi, S. Medical Importance of ESKAPE Pathogens. In ESKAPE Pathogens: Detection, Mechanisms and Treatment Strategies; Busi, S., Prasad, R., Eds.; Springer Nature: Singapore, 2024; pp. 1–32. [Google Scholar]
- Gudiño, I.; Casquete, R.; Martín, A.; Wu, Y.; Benito, M.J. Comprehensive Analysis of Bioactive Compounds, Functional Properties, and Applications of Broccoli By-Products. Foods 2024, 13, 3918. [Google Scholar] [CrossRef] [PubMed]
- Hu, W.S.; Nam, D.M.; Choi, J.Y.; Kim, J.S.; Koo, O.K. Anti-attachment, anti-biofilm, and antioxidant properties of Brassicaceae extracts on Escherichia coli O157:H7. Food Sci. Biotechnol. 2019, 28, 1881–1890. [Google Scholar] [CrossRef] [PubMed]
- Pérez-Flores, J.G.; García-Curiel, L.; Pérez-Escalante, E.; Contreras-López, E.; Aguilar-Lira, G.Y.; Ángel-Jijón, C.; González-Olivares, L.G.; Baena-Santillán, E.S.; Ocampo-Salinas, I.O.; Guerrero-Solano, J.A.; et al. Plant Antimicrobial Compounds and Their Mechanisms of Action on Spoilage and Pathogenic Bacteria: A Bibliometric Study and Literature Review. Appl. Sci. 2025, 15, 3516. [Google Scholar] [CrossRef]
- Fratianni, F.; d’Acierno, A.; Ombra, M.N.; Amato, G.; De Feo, V.; Ayala-Zavala, J.F.; Coppola, R.; Nazzaro, F. Fatty Acid Composition, Antioxidant, and in vitro Anti-inflammatory Activity of Five Cold-Pressed Prunus Seed Oils, and Their Anti-biofilm Effect Against Pathogenic Bacteria. Front. Nutr. 2021, 8, 775751. [Google Scholar] [CrossRef]
- Azeem, K.; Fatima, S.; Ali, A.; Ubaid, A.; Husain, F.M.; Abid, M. Biochemistry of Bacterial Biofilm: Insights into Antibiotic Resistance Mechanisms and Therapeutic Intervention. Life 2025, 15, 49. [Google Scholar] [CrossRef]
- Fydrych, D.; Jeziurska, J.; Wełna, J.; Kwiecińska-Piróg, J. Potential Use of Selected Natural Compounds with Anti-Biofilm Activity. Int. J. Mol. Sci. 2025, 26, 607. [Google Scholar] [CrossRef]
- Joshi, R.V.; Gunawan, C.; Mann, R. We Are One: Multispecies Metabolism of a Biofilm Consortium and Their Treatment Strategies. Front. Microbiol. 2021, 12, 635432. [Google Scholar] [CrossRef]
- Jo, J.; Price-Whelan, A.; Dietrich, L.E.P. Gradients and consequences of heterogeneity in biofilms. Nat. Rev. Microbiol. 2022, 20, 593–607. [Google Scholar] [CrossRef]
- Leardi, R.; Melzi, C.; Polotti, G. CAT (Chemometric Agile Tool). 2025. Available online: http://gruppochemiometria.it/index.php/software (accessed on 28 November 2025).
- Fratianni, F.; Tucci, M.; Palma, M.D.; Pepe, R.; Nazzaro, F. Polyphenolic composition in different parts of some cultivars of globe artichoke (Cynara cardunculus L. var. scolymus (L.) Fiori). Food Chem. 2007, 104, 1282–1286. [Google Scholar] [CrossRef]
- Hernandez-Espinosa, N.; Laddomada, B.; Payne, T.; Huerta-Espino, J.; Govindan, V.; Ammar, K.; Ibba, M.I.; Pasqualone, A.; Guzman, C. Nutritional quality characterization of a set of durum wheat landraces from Iran and Mexico. LWT 2020, 124, 109198. [Google Scholar] [CrossRef]
- Alzuwaid, N.T.; Fellows, C.M.; Laddomada, B.; Sissons, M. Impact of wheat bran particle size on the technological and phytochemical properties of durum wheat pasta. J. Cereal Sci. 2020, 95, 103033. [Google Scholar] [CrossRef]
- Sarker, S.D.; Nahar, L.; Kumarasamy, Y. Microtitre plate-based antibacterial assay incorporating resazurin as an indicator of cell growth, and its application in the in vitro antibacterial screening of phytochemicals. Methods 2007, 42, 321–324. [Google Scholar] [CrossRef] [PubMed]
- Kairo, S.K.; Bedwell, J.; Tyler, P.C.; Carter, A.; Corbel, M.J. Development of a tetrazolium salt assay for rapid determination of viability of BCG vaccines. Vaccine 1999, 17, 2423–2428. [Google Scholar] [CrossRef] [PubMed]






| Leaves | Stems | ||
|---|---|---|---|
| Diameter (mm) | w/w (%) | Diameter (mm) | w/w (%) |
| >2 | 0.27 ± 0.14 | >2 | 3.1 ± 0.4 |
| 2 > d > 1 | 31 ± 5 | 2 > d > 1 | 28 ± 5 |
| 1 > d > 0.5 | 50 ± 4 | 1 > d > 0.5 | 41 ± 3 |
| 0.5 > d > 0.1 | 15 ± 3 | 0.5 > d > 0.1 | 24 ± 7 |
| Variable Name | Var. ID | Type | Unit | Levels | |
|---|---|---|---|---|---|
| APPROACH a | x1 | Qualitative | – | SM 5′ (implicit) | SM 15′ a |
| UAE 5′ | UAE 15′ | ||||
| %EtOH | x2 | Quantitative | % (v/v) | 40 (−1) | 60 (+1) |
| s/m b | x3 | Quantitative | mL/g | 10 (−1) | 20 (+1) |
| Run | Experimental Plan | Experimental Matrix | Response | |||||||||
|---|---|---|---|---|---|---|---|---|---|---|---|---|
| x1 | x2 | x3 | x1a | x1b | x1c | x2 | x3 | y a | ||||
| Leaves | Stems | |||||||||||
| Approach | %EtOH | s/m b | SM 15′ | UAE 5′ | UAE 15′ | %EtOH | s/m | TEAC d | TPC e | TEAC d | TPC e | |
| 1 r1 | SM 15′ | 40 | 10 | 1 | 0 | 0 | −1 | −1 | 81.5 | 15.8 | 0 c | 0 |
| 2 | UAE 5′ | 60 | 10 | 0 | 1 | 0 | 1 | −1 | 96.5 | 16.0 | 53.2 | 9.4 |
| 3 | UAE 5′ | 40 | 10 | 0 | 1 | 0 | −1 | −1 | 97.0 | 16.0 | 58.4 | 9.1 |
| 4 | UAE 15′ | 40 | 20 | 0 | 0 | 1 | −1 | 1 | 128.1 | 19.2 | 33.8 | 5.5 |
| 5 | SM 5′ | 60 | 20 | 0 | 0 | 0 | 1 | 1 | 119.1 | 17.0 | 32.3 | 5.0 |
| 6 r1 | SM 15′ | 40 | 10 | 1 | 0 | 0 | −1 | −1 | 101.7 | 14.1 | 0 | 0 |
| 7 | SM 15′ | 60 | 20 | 1 | 0 | 0 | 1 | 1 | 129.0 | 15.9 | 17.8 | 5.2 |
| 8 | SM 15′ | 60 | 10 | 1 | 0 | 0 | 1 | −1 | 101.4 | 17.1 | 0 | 0 |
| 9 | SM 15′ | 40 | 20 | 1 | 0 | 0 | −1 | 1 | 131.7 | 18.3 | 25.6 | 5.0 |
| 10 | UAE 15′ | 60 | 20 | 0 | 0 | 1 | 1 | 1 | 108.5 | 16.1 | 21.9 | 4.5 |
| 11 r2 | UAE 15′ | 40 | 10 | 0 | 0 | 1 | −1 | −1 | 86.5 | 14.1 | 37.6 | 7.8 |
| 12 | SM 5′ | 60 | 10 | 0 | 0 | 0 | 1 | −1 | 90.7 | 16.0 | 0 | 0 |
| 13 r3 | UAE 15′ | 60 | 10 | 0 | 0 | 1 | 1 | −1 | 68.5 | 11.4 | 26.6 | 7.6 |
| 14 | SM 5′ | 40 | 10 | 0 | 0 | 0 | −1 | −1 | 94.4 | 16.2 | 0 | 0 |
| 15 | UAE 5′ | 40 | 20 | 0 | 1 | 0 | −1 | 1 | 102.8 | 15.4 | 33.4 | 5.8 |
| 16 | UAE 5′ | 60 | 20 | 0 | 1 | 0 | 1 | 1 | 100.8 | 18.6 | 35.0 | 4.9 |
| 17 r3 | UAE 15′ | 60 | 10 | 0 | 0 | 1 | 1 | −1 | 75.3 | 13.8 | 23.3 | 6.7 |
| 18 r2 | UAE 15′ | 40 | 10 | 0 | 0 | 1 | −1 | −1 | 82.5 | 15.3 | 24.0 | 4.4 |
| 19 | SM 5′ | 40 | 20 | 0 | 0 | 0 | −1 | 1 | 107.2 | 18.0 | 35.6 | 5.5 |
| Response | Equation |
|---|---|
| TEAC-leaves | y = 103 (***) + 9∙SM 15′ − 4∙UAE 5′ − 7∙UAE 15′ − 1∙%EtOH + 13∙s/m (***) − 0∙%EtOH∙s/m |
| TPC-leaves | y = 16.8 (***) − 0∙SM 15′ − 0∙UAE 5′ − 1∙UAE 15′ − 0.3∙%EtOH + 1.0∙s/m (*) − 0.1∙%EtOH∙s/m |
| TEAC-stems | y = 17 (***) − 8∙SM 15′ + 28∙UAE 5′ (*) + 12∙UAE 15′ − 2∙%EtOH + 4∙s/m − 1∙%EtOH∙s/m |
| TPC-stems | y = 3 − 0∙SM 15′ + 5∙UAE 5′ (*) + 4∙UAE 15′ (*) + 0∙%EtOH + 1∙s/m − 0.3∙%EtOH∙s/m |
| Plant Fraction | Approach | s/m (mL/g) | EtOH (% v/v) | Sample Acronym |
|---|---|---|---|---|
| Leaves | SM 5′ | 20 | 40 | L-SM |
| UAE 5′ | 20 | 40 | L-UAE | |
| Stems | UAE 5′ | 10 | 40 | S-40 |
| UAE 5′ | 10 | 60 | S-60 |
| Leaves | Stems | |||
|---|---|---|---|---|
| Phenolic Acid (μg/g) | L-SM | L-UAE | S-40 | S-60 |
| Caffeic acid | 288 ± 27 | 565 ± 58 | ND | ND |
| p-coumaric acid | 239 ± 24 | 218 ± 20 | 6.6 ± 0.5 | ND |
| Ferulic acid | 648 ± 55 | 685 ± 70 | 3.6 ± 0.4 | ND |
| Sinapic acid | 412 ± 40 | 1070 ± 90 | 7.5 ± 0.6 | 2.50 ± 0.14 |
Disclaimer/Publisher’s Note: The statements, opinions and data contained in all publications are solely those of the individual author(s) and contributor(s) and not of MDPI and/or the editor(s). MDPI and/or the editor(s) disclaim responsibility for any injury to people or property resulting from any ideas, methods, instructions or products referred to in the content. |
© 2026 by the authors. Licensee MDPI, Basel, Switzerland. This article is an open access article distributed under the terms and conditions of the Creative Commons Attribution (CC BY) license.
Share and Cite
Maurelli, A.M.; Coniglio, D.; Milano, F.; Mancarella, S.; Laddomada, B.; De Leo, V.; Longobardi, F.; Coppola, F.; Fratianni, F.; Pascale, M.; et al. Valorization of Turnip Greens (Brassica rapa subsp. sylvestris) Wastes: Investigation on the Sustainable Recovery of Bioactive Extracts with Antioxidant and Antibiofilm Properties. Molecules 2026, 31, 388. https://doi.org/10.3390/molecules31020388
Maurelli AM, Coniglio D, Milano F, Mancarella S, Laddomada B, De Leo V, Longobardi F, Coppola F, Fratianni F, Pascale M, et al. Valorization of Turnip Greens (Brassica rapa subsp. sylvestris) Wastes: Investigation on the Sustainable Recovery of Bioactive Extracts with Antioxidant and Antibiofilm Properties. Molecules. 2026; 31(2):388. https://doi.org/10.3390/molecules31020388
Chicago/Turabian StyleMaurelli, Anna Maria, Davide Coniglio, Francesco Milano, Sara Mancarella, Barbara Laddomada, Vincenzo De Leo, Francesco Longobardi, Francesca Coppola, Florinda Fratianni, Michelangelo Pascale, and et al. 2026. "Valorization of Turnip Greens (Brassica rapa subsp. sylvestris) Wastes: Investigation on the Sustainable Recovery of Bioactive Extracts with Antioxidant and Antibiofilm Properties" Molecules 31, no. 2: 388. https://doi.org/10.3390/molecules31020388
APA StyleMaurelli, A. M., Coniglio, D., Milano, F., Mancarella, S., Laddomada, B., De Leo, V., Longobardi, F., Coppola, F., Fratianni, F., Pascale, M., Nazzaro, F., & Catucci, L. (2026). Valorization of Turnip Greens (Brassica rapa subsp. sylvestris) Wastes: Investigation on the Sustainable Recovery of Bioactive Extracts with Antioxidant and Antibiofilm Properties. Molecules, 31(2), 388. https://doi.org/10.3390/molecules31020388

