New Strategy Based on Click Reaction for Preparation of 3-Acyl-4-hydroxycoumarin-Modified Silica as a Perspective Material for the Separation of Rare Earth Elements
Abstract
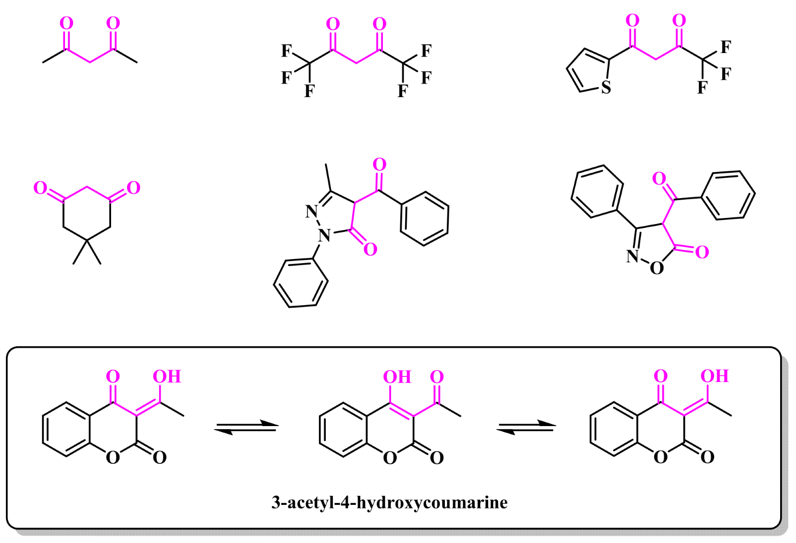
1. Introduction
2. Results and Discussion
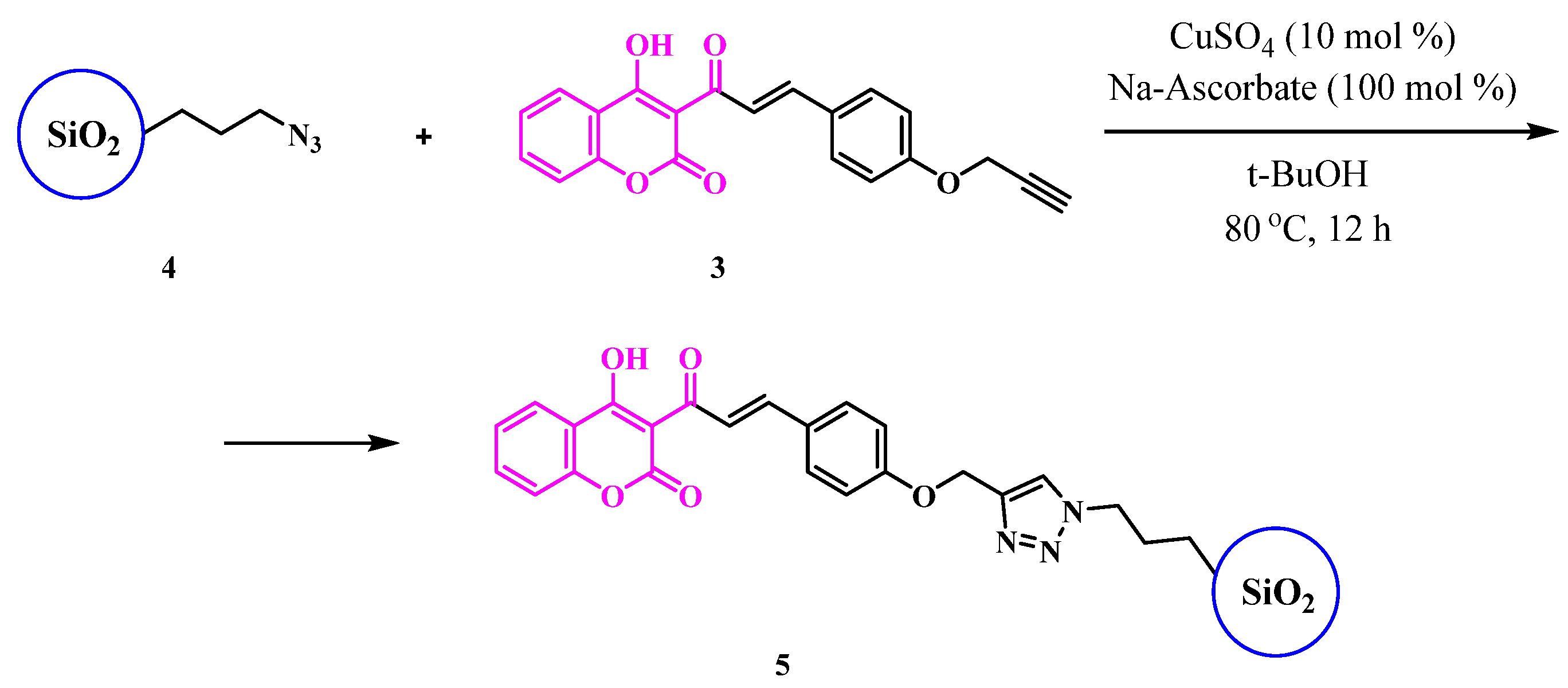
2.1. Synthesis of Material
2.2. Characterization of Material
2.3. Adsorption Properties of Material
2.3.1. Effect of pH
2.3.2. Effect of Contact Time on Metal Adsorption
2.3.3. Adsorption Isotherms
2.3.4. Dynamic Preconsentration
3. Materials and Methods
3.1. Synthesis 3-Acyl-4-hydroxycoumarin-Modified Silica 5
3.2. Adsorption Experiments
4. Conclusions
5. Patents
Supplementary Materials
Author Contributions
Funding
Institutional Review Board Statement
Informed Consent Statement
Data Availability Statement
Acknowledgments
Conflicts of Interest
References
- Zhao, T.-Y.; Li, W.-L.; Kelebek, S.; Choi, Y.; Wu, C.-Q.; Zhang, W.-J.; Wang, C.-Y.; Zhao, Z.-W.; Zhao, F.S. A comprehensive review on rare earth elements: Resources, technologies, applications, and prospects. Rare Met. 2025, 44, 7011–7040. [Google Scholar] [CrossRef]
- Pereao, O.; Bode-Aluko, C.; Fatoba, O.; Laatikainen, K.; Petrik, L. Rare earth elements removal techniques from water/wastewater: A review. Desalin. Water Treat. 2018, 130, 71–86. [Google Scholar] [CrossRef]
- Opare, E.O.; Struhs, E.; Mirkouei, A. A comparative state-of-technology review and future directions for rare earth element separation. Renew. Sustain. Energy Rev. 2021, 143, 110917. [Google Scholar] [CrossRef]
- Soukeur, A.; Szymczyk, A.; Berbar, Y.; Amara, M. Extraction of rare earth elements from waste products of phosphate industry. Sep. Purif. Technol. 2021, 256, 117857. [Google Scholar] [CrossRef]
- Mwewa, B.; Tadie, M.; Ndlovu, S.; Simate, G.S.; Matinde, E. Recovery of rare earth elements from acid mine drainage: A review of the extraction methods. J. Environ. Chem. Eng. 2022, 10, 107704. [Google Scholar] [CrossRef]
- El Ouardi, Y.; Virolainen, S.; Mouele, E.S.M.; Laatikainen, M.; Repo, E.; Laatikainen, K. The recent progress of ion exchange for the separation of rare earths from secondary resources—A review. Hydrometallurgy 2023, 218, 106047. [Google Scholar] [CrossRef]
- Pramanik, S.; Kaur, S.; Popovs, I.; Ivanov, A.S.; Jansone-Popova, S. Emerging Rare Earth Element Separation Technologies. Eur. J. Inorg. Chem. 2024, 27, e202400064. [Google Scholar] [CrossRef]
- Yu, L.; Gao, Y.; Zhang, H.; Tian, Z.; Li, T.; Zhang, H.; Sun, X. Efficient separation of thorium and rare earth elements with bifunctional ionic liquid [DOC4mim][TTA] based extraction. Sep. Purif. Technol. 2026, 384, 136254. [Google Scholar] [CrossRef]
- Zinov’eva, I.V.; Chikineva, T.Y.; Salomatin, A.M.; Zakhodyaeva, Y.A.; Voshkin, A.A. Extraction of Rare Earth Elements from Nitrate Solutions by Hydrophobic Eutectic Solvents Based on Phosphorus-Containing Compounds. Ind. Eng. Chem. Res. 2024, 63, 21587–21602. [Google Scholar] [CrossRef]
- Wilfong, W.C.; Ji, T.; Duan, Y.; Shi, F.; Wang, Q.; Gray, M.M. Critical review of functionalized silica sorbent strategies for selective extraction of rare earth elements from acid mine drainage. J. Hazard. Mater. 2022, 424, 127625. [Google Scholar] [CrossRef]
- Ehrlich, G.V.; Lisichkin, G.V. Sorption in the Chemistry of Rare Earth Elements. Russ. J. Gen. Chem. 2017, 87, 1220–1245. [Google Scholar] [CrossRef]
- Saravanan, P.; Kannan, R.R.; Saravanan, V.; Venkatkumar, S.; Rajasimman, M.; Sagadevan, S.; Baskar, G. Current status and future directions: Separation of rare earth elements by sorption processes. J. Mol. Liq. 2025, 419, 126751. [Google Scholar] [CrossRef]
- Archer, W.R.; Iftekhar, N.; Fiorito, A.; Winn, S.A.; Schulz, M.D. Synthesis of Phosphonated Polymer Resins for the Extraction of Rare-Earth Elements. ACS Appl. Polym. Mater. 2022, 4, 2506–2512. [Google Scholar] [CrossRef]
- Peng, Y.; Zhu, P.; Zou, Y.; Gao, Q.; Xiong, S.; Liang, B.; Xiao, B. Overview of Functionalized Porous Materials for Rare-Earth Element Separation and Recovery. Molecules 2024, 29, 2824. [Google Scholar] [CrossRef]
- Ogata, T.; Narita, H. Separation of Adjacent Light Rare Earth Elements Using Silica Gel Modified with Diglycolamic Acid. Materials 2024, 17, 2648. [Google Scholar] [CrossRef]
- Moshchenkov, A.D.; Ryzhako, A.S.; Otlyotov, A.A.; Minenkov, Y. Ab Initio Thermochemistry of the First-Row Transition Metal Tris(Acetylacetonates): Refined, Revisited, and Recommended. Inorg. Chem. 2025, 64, 21405–21418. [Google Scholar] [CrossRef]
- Turmasova, A.A.; Konshin, V.V.; Konshina, D.N. Synthesis of (1,3-adamantylene)bis-1,3-dicarbonyl compounds. Russ. J. Gen. Chem. 2014, 84, 1273–1276. [Google Scholar] [CrossRef]
- Saloutin, V.I.; Edilova, Y.O.; Kudyakova, Y.S.; Burgart, Y.V.; Bazhin, D.N. Heterometallic Molecular Architectures Based on Fluorinated β-Diketone Ligands. Molecules 2022, 27, 7894. [Google Scholar] [CrossRef]
- Zanizdra, S.R.; Korshunov, V.M.; Metlin, M.T.; Metlina, D.A.; Gontcharenko, V.E.; Taydakov, I.V. Exploring the effect of fluorine radicals as substituents in β-diketones on the luminescence properties of Eu3+ complexes. Opt. Mater. 2025, 160, 116780. [Google Scholar] [CrossRef]
- Clegg, J.K.; Li, F.; Lindoy, L.F. Oligo-β-diketones as versatile ligands for use in metallo-supramolecular chemistry: Recent progress and perspectives. Coord. Chem. Rev. 2022, 455, 214355. [Google Scholar] [CrossRef]
- Marchetti, F.; Pettinari, C.; Pettinari, R. Recent advances in acylpyrazolone metal com-plexes and their potential applications. Coord. Chem. Rev. 2015, 303, 1–31. [Google Scholar] [CrossRef]
- Mies, T.; White, A.J.P.; Rzepa, H.S.; Barluzzi, L.; Devgan, M.; Layfield, R.A.; Barrett, A.G.M. Syntheses and Characterization of Main Group, Transition Metal, Lanthanide, and Actinide Complexes of Bidentate Acylpyrazolone Ligands. Inorg. Chem. 2023, 62, 13253–13276. [Google Scholar] [CrossRef]
- Atanassova, M.; Kukeva, R. Improvement of Gd(III) Solvent Extraction by 4-Benzoyl-3-methyl-1-phenyl-2-pyrazolin-5-one: Non-Aqueous Systems. Separations 2023, 10, 286. [Google Scholar] [CrossRef]
- Atanassova, M.; Lachkova, V.; Vassilev, N.; Varbanov, S.; Dukov, I. Complexation of trivalent lanthanoid ions with 4-benzoyl-3-phenyl-5-isoxazolone and p-tert-butylcalix[4]arene fitted with phosphinoyl pendant arms in solution during synergistic solvent extraction and structural study of solid complexes by IR and NMR. Polyhedron 2010, 29, 655–663. [Google Scholar] [CrossRef]
- Atanassova, M.; Okamura, H.; Eguchi, A.; Ueda, Y.; Sugita, T.; Shimojo, K. Extraction Ability of 4-Benzoyl-3-phenyl-5-isoxazolone towards 4f-Ions into Ionic and Molecular Media. Anal. Sci. 2018, 34, 973–978. [Google Scholar] [CrossRef] [PubMed]
- de Gonzalo, G.; Alcántara, A.R. Recent Developments in the Synthesis of β-Diketones. Pharmaceuticals 2021, 14, 1043. [Google Scholar] [CrossRef] [PubMed]
- Shokova, E.A.; Kim, J.K.; Kovalev, V.V. 1,3-Diketones. Synthesis and properties. Russ. J. Org. Chem. 2015, 51, 755–830. [Google Scholar] [CrossRef]
- Crossman, A.S.; Marshak, M.P. β-Diketones: Coordination and Application. In Comprehensive Coordination Chemistry III; Constable, E.C., Parkin, G., Que, L., Jr., Eds.; Elsevier: Amsterdam, The Netherlands, 2021; pp. 331–365. [Google Scholar] [CrossRef]
- Traven’, V.F.; Safronova, O.B.; Vorob’eva, L.I.; Chibisova, T.A.; Senchenya, I.N. Electronic structure of π systems: XVII. Electronic absorption spectra and tautomerism of 3-acetyl-4-hydroxycoumarin. Russ. J. Gen. Chem. 2000, 70, 793–797. [Google Scholar]
- Blanco-Acuña, E.F.; Texon-García, I.A.; Vázquez-López, L.A.; Pérez-Gamboa, A.; García-Ortega, H. Tuning the photophysical and NLO properties of β-diketonates derived from coumarin-triphenylamine-chalcones: Effect of the BF2 group. Tetrahedron 2024, 168, 134338. [Google Scholar] [CrossRef]
- Tenorio, C.; Bernès, S.; Solís-Ibarra, D.; González-Monfil, E.; Carmona-Monroy, P.; Gasque, L. Luminescent samarium complexes with a coumarin derived ligand and their deuterated analogues. J. Lumin. 2023, 263, 119985. [Google Scholar] [CrossRef]
- Guo, Y.; Miao, Z.; Li, D.; Feng, H.; Feng, X.; He, Z.; Liu, J. Novel luminescent tetrakis-Eu3+/Tb3+ complexes based on coumarin-derived ligands and a triethylamine counterion. J. Alloys Compd. 2025, 1044, 184414. [Google Scholar] [CrossRef]
- Arauzo, A.; Gasque, L.; Fuertes, S.; Tenorio, C.; Bernès, S.; Bartolomé, E. Coumarin-lanthanide based compounds with SMM behavior and high quantum yield luminescence. Dalton Trans. 2020, 49, 13671–13684. [Google Scholar] [CrossRef] [PubMed]
- Urbaniak, W.; Schubert, U. An efficient synthesis of R3Si(CH2)n-substituted acetylacetone derivatives. Liebigs Ann. Chem. 1991, 1991, 1221–1223. [Google Scholar] [CrossRef]
- Rykowska, I.; Urbaniak, W. Complexes of transition metals bonded to silica via β-diketonate groups—Synthesis, structure, and catalytic activity. Chem. Pap. 2008, 62, 268–274. [Google Scholar] [CrossRef]
- Konshina, D.N.; Lupanova, I.A.; Konshin, V.V. Novel Organomineral Material Containing an Acylpyrazolone Functionalized Ionic Liquid for the Extraction and Separation of Rare Earth Elements. Chemistry 2024, 6, 1133–1145. [Google Scholar] [CrossRef]
- Fei, C.-P.; Chan, T.H. Preparation and application of acetylacetonyl resins for metal ion chelation. Acta Chim. Sin. (Engl. Ed.) 1983, 41, 188–196. [Google Scholar] [CrossRef]
- Waqar, F.; Jan, S.; Mohammad, B.; Hakim, M.; Alam, S.; Yawar, W. Preconcentration of Rare Earth Elements in Seawater with Chelating Resin Having Fluorinated β-Diketone Immobilized on Styrene Divinyl Benzene for their Determination by ICP-OES. J. Chin. Chem. Soc. 2009, 56, 335–340. [Google Scholar] [CrossRef]
- Dietz, G.; Seshadri, T.; Haupt, H.J.; Kettrup, A. Preparation, characterization and application of an cellulose ion-exchanger with acetoacetamide functional groups. Z. Anal. Chem. 1985, 322, 491–494. [Google Scholar] [CrossRef]
- Seshadri, T.; Kampschulze, U.; Kettrup, A. Preparation and application of β-diketone bonded phases in high-pressure liquid chromatography. Z. Anal. Chem. 1980, 300, 124–127. [Google Scholar] [CrossRef]
- Seshadri, T.; Kettrup, A. Preparation, Properties and Application of Immobilized Chelates having β-Diketone Functional Groups. Fresenius J. Anal. Chem. 1979, 296, 247–252. [Google Scholar] [CrossRef]
- Zolotareva, N.V.; Semenov, V.V. β-Diketones and their derivatives in sol–gel processes. Russ. Chem. Rev. 2013, 82, 964–987. [Google Scholar] [CrossRef]
- Kazmaz, E.S.; Karatas, M.O.; Koytepe, S.; Ates, B.; Erdogan, A.; Alici, B.; Seckin, T. Synthesis of the Coumarin-Containing Porous Silica as Column Packing Material. J. Inorg. Organomet. Polym. Mater. 2015, 26, 154–164. [Google Scholar] [CrossRef]
- Mousavi, Z.; Ghasemi, J.B.; Mohammadi Ziarani, G.; Rahimi, S.; Badiei, A. Coumarin derivative-functionalized nanoporous silica as an on–off fluorescent sensor for detecting Fe3+ and Hg2+ ions: A circuit logic gate. Discov. Nano 2024, 19, 70. [Google Scholar] [CrossRef] [PubMed]
- Mal, N.; Fujiwara, M.; Tanaka, Y. Photocontrolled reversible release of guest molecules from coumarin-modified mesoporous silica. Nature 2003, 421, 350–353. [Google Scholar] [CrossRef] [PubMed]
- Mal, N.K.; Fujiwara, M.; Tanaka, Y.; Taguchi, T.; Matsukata, M. Photo-Switched Storage and Release of Guest Molecules in the Pore Void of Coumarin-Modified MCM-41. Chem. Mater. 2003, 15, 3385–3394. [Google Scholar] [CrossRef]
- Kehrloesser, D.; Baumann, R.-P.; Kim, H.-C.; Hampp, N. Photochemistry of Coumarin-Functionalized SiO2 Nanoparticles. Langmuir 2011, 27, 4149–4155. [Google Scholar] [CrossRef]
- Ha, S.-W.; Camalier, C.E.; Beck, G.R., Jr.; Lee, J.-K. New method to prepare very stable and biocompatible fluorescent silica nanoparticles. Chem. Commun. 2009, 20, 2881–2883. [Google Scholar] [CrossRef][Green Version]
- Zeleňák, V.; Beňová, E.; Almáši, M.; Halamová, D.; Hornebecq, V.; Hronský, V. Photo-switchable nanoporous silica supports for controlled drug delivery. New J. Chem. 2018, 42, 13263–13271. [Google Scholar] [CrossRef]
- Frederick, K.M.; Boday, D.J.; Unangst, J.; Stover, R.J.; Li, Z.; Budy, S.; Loy, D.A. Photochemical strengthening of silica aerogels modified with coumarin groups. J. Non-Cryst. Solids 2016, 432, 189–195. [Google Scholar] [CrossRef]
- Li, H.; Mu, Y.; Qian, S.; Lu, J.; Wan, Y.; Fu, G.; Liu, S. Synthesis of fluorescent dye-doped silica nanoparticles for target-cell-specific delivery and intracellular MicroRNA imaging. Analyst 2015, 140, 567–573. [Google Scholar] [CrossRef]
- Ziarani, G.M.; Hassanzadeh, Z.; Gholamzadeh, P.; Asadia, S.; Badiei, A. Advances in click chemistry for silica-based material construction. RSC Adv. 2016, 6, 21979. [Google Scholar] [CrossRef]
- Belyakova, Y.Y.; Yaremenko, I.A.; Terent’ev, A.O.; Nenajdenko, V.G.; Shambalov, V.E.; Aldoshin, A.S.; Krasnovskaya, O.O.; Beloglazkina, E.K.; Spektor, D.V.; Machulkin, A.E.; et al. Organic chemistry in the creation of molecules with practically useful properties. Russ. J. Gen. Chem. 2026. [Google Scholar]
- Konshina, D.N.; Lupanova, I.A.; Konshin, V.V. Imidazolium-Modified Silica Gel for Highly Selective Preconcentration of Ag(I) from the Nitric Acid Medium. Chemistry 2022, 4, 1702–1713. [Google Scholar] [CrossRef]
- Konshina, D.N.; Spesivaia, E.S.; Konshin, V.V.; Lupanova, I.A. Method of Producing Silica Gel with Covalently Immobilized 3-acyl-4-hydroxycoumarin. Patent RU 2842657, 13 December 2024. [Google Scholar]
- Guzmán-Méndez, Ó.; González, F.; Bernès, S.; Flores-Álamo, M.; Ordóñez-Hernández, J.; García-Ortega, H.; Guerrero, J.; Qian, W.; Aliaga-Alcalde, N.; Gasque, L. Coumarin Derivative Directly Coordinated to Lanthanides Acts as an Excellent Antenna for UV–Vis and Near-IR Emission. Inorg. Chem. 2018, 57, 908–911. [Google Scholar] [CrossRef]
- Abdelhafez, O.M.; Amin, K.M.; Batran, R.Z.; Maher, T.J.; Nada, S.A.; Sethumadhavan, S. Synthesis, anticoagulant and PIVKA-II induced by new 4-hydroxycoumarin derivatives. Bioorg. Med. Chem. 2010, 18, 3371–3378. [Google Scholar] [CrossRef]
- Dulog, L.; Breitenbucher, J. Darstellung eines (Diphenylverdazylylphenyl) propargylethers. Liebigs Ann. Chem. 1993, 1993, 201–202. [Google Scholar] [CrossRef]
- Schlossbauer, A.; Schaffert, D.; Kecht, J.; Wagner, E.; Bein, T. Click Chemistry for High-Density Biofunctionalization of Mesoporous Silica. J. Am. Chem. Soc. 2008, 130, 12558–12559. [Google Scholar] [CrossRef]
- Bentouhami, E.; Bouet, G.M.; Meullemeestre, J.; Vierling, F.; Khan, M.A. Physicochemical study of the hydrolysis of Rare-Earth elements (III) and thorium (IV). Comptes Rendus Chim. 2004, 7, 537–545. [Google Scholar] [CrossRef]
- Al-Ghouti, M.A.; Da’ana, D.A. Guidelines for the use and interpretation of adsorption isotherm models: A Review. J. Hazard. Mat. 2020, 393, 122383. [Google Scholar] [CrossRef]
- Buz’ko, V.Y.; Sukhno, I.; Panyushkin, V.T. Physical and thermodynamic characteristics of aqueous solutions of rare-earth salts. Russ. J. Inorg. Chem. 2004, 10, 1613–1616. [Google Scholar]
- Hovey, J.L.; Dittrich, T.M.; Allen, M.J. Coordination chemistry of surface-associated ligands for solid-liquid adsorption of rare-earth elements. J. Rare Earths 2023, 41, 1–18. [Google Scholar] [CrossRef]
- Konshina, D.N.; Temerdashev, Z.A.; Konshin, V.V. Some aspects of estimation of extraction selectivity under the conditions of competitive sorption on modified silica gels. J. Sol-Gel Sci. Technol. 2018, 86, 34–41. [Google Scholar] [CrossRef]
- Hu, Y.; Florek, J.; Larivière, D.; Fontaine, F.G.; Kleitz, F. Recent Advances in the Separation of Rare Earth Elements Using Mesoporous Hybrid Materials. Chem. Rec. 2018, 18, 1261–1276. [Google Scholar] [CrossRef]
- Savvin, S.B. Analytical use of arsenazo III: Determination of thorium, zirconium, uranium and rare earth elements. Talanta 1961, 8, 673–685. [Google Scholar] [CrossRef]















| Me(III) | Amax, mmol·g−1, x ± ts/ | Kd, mL·g−1, x ± ts/ |
|---|---|---|
| Sm(III) | 0.09 ± 0.02 | 187 ± 19 |
| Eu(III) | 0.12 ± 0.03 | 225 ± 18 |
| Gd(III) | 0.10 ± 0.02 | 87 ± 9 |
| Er(III) | 0.11 ± 0.02 | 1230 ± 98 |
| Dy(III) | 0.13 ± 0.03 | 460 ± 37 |
| Yb(III) | 0.10 ± 0.02 | 63 ± 11 |
| Kd, mL·g−1, x ± ts/ | |||||
|---|---|---|---|---|---|
| Dy | Sm | Eu | Gd | Er | Yb |
| 602 ± 65 | 392 ± 56 | 377 ± 48 | 317 ± 51 | 741 ± 51 | 180 ± 44 |
| Kd, mL·g−1, x ± ts/ | |||||
|---|---|---|---|---|---|
| Dy | Sm | Eu | Gd | Er | Yb |
| 560 ± 42 | 292 ± 41 | 247 ± 42 | 237 ± 38 | 707 ± 57 | 157 ± 34 |
Disclaimer/Publisher’s Note: The statements, opinions and data contained in all publications are solely those of the individual author(s) and contributor(s) and not of MDPI and/or the editor(s). MDPI and/or the editor(s) disclaim responsibility for any injury to people or property resulting from any ideas, methods, instructions or products referred to in the content. |
© 2026 by the authors. Licensee MDPI, Basel, Switzerland. This article is an open access article distributed under the terms and conditions of the Creative Commons Attribution (CC BY) license.
Share and Cite
Konshina, D.N.; Spesivaya, E.S.; Lupanova, I.A.; Mazur, A.S.; Konshin, V.V. New Strategy Based on Click Reaction for Preparation of 3-Acyl-4-hydroxycoumarin-Modified Silica as a Perspective Material for the Separation of Rare Earth Elements. Molecules 2026, 31, 369. https://doi.org/10.3390/molecules31020369
Konshina DN, Spesivaya ES, Lupanova IA, Mazur AS, Konshin VV. New Strategy Based on Click Reaction for Preparation of 3-Acyl-4-hydroxycoumarin-Modified Silica as a Perspective Material for the Separation of Rare Earth Elements. Molecules. 2026; 31(2):369. https://doi.org/10.3390/molecules31020369
Chicago/Turabian StyleKonshina, Dzhamilya N., Ekaterina S. Spesivaya, Ida A. Lupanova, Anton S. Mazur, and Valery V. Konshin. 2026. "New Strategy Based on Click Reaction for Preparation of 3-Acyl-4-hydroxycoumarin-Modified Silica as a Perspective Material for the Separation of Rare Earth Elements" Molecules 31, no. 2: 369. https://doi.org/10.3390/molecules31020369
APA StyleKonshina, D. N., Spesivaya, E. S., Lupanova, I. A., Mazur, A. S., & Konshin, V. V. (2026). New Strategy Based on Click Reaction for Preparation of 3-Acyl-4-hydroxycoumarin-Modified Silica as a Perspective Material for the Separation of Rare Earth Elements. Molecules, 31(2), 369. https://doi.org/10.3390/molecules31020369

