A Review of Gas-Sensitive Materials for Lithium-Ion Battery Thermal Runaway Monitoring
Abstract
1. Introduction
2. Introduction to Lithium-Ion Batteries and TR
2.1. Introduction to Lithium-Ion Batteries
2.2. Introduction to TR
- Loss of active lithium and increase in internal resistance: Based on Failure Modes, Mechanisms, and Effects Analysis (FMMEA), reduction reactions and deposition at the anode may induce lithium plating, excessive thickening of the SEI layer [40], and accumulation of by-products, which irreversibly consume active lithium and lead to capacity fading. Additionally, the thickening of the SEI layer exacerbates interfacial impedance and internal resistance, resulting in power degradation, while the decomposition of the SEI layer at elevated temperatures may trigger TR.
- Degradation during battery cycling: Abnormal charging/discharging processes (e.g., fast charging, overcharging, or over-discharging) can disrupt the equilibrium of lithium ions intercalation/deintercalation, inducing polarization and internal stress. This causes cracking of electrode particles and damage to the conductive network, leading to the loss of electrical contact and an increase in ohmic resistance. The exposed fresh surfaces further form new SEI layers, which exacerbates capacity and power fading.
- Internal Short Circuit (ISC): ISC generally refers to the formation of a conductive path between the cathode and anode due to the failure or destruction of the internal separator. This results in intensified self-heating and local overheating, ultimately triggering TR. ISC is often caused by the growth of lithium dendrites, particle contamination, or mechanical compression/puncture of the separator. Model-based or data-based warning methods for ISC can capture characteristics induced by ISC, such as impedance variations, state of charge (SOC) discrepancies, and internal voltage anomalies, through electro-thermal coupling models, data-driven models (e.g., LSTM, KPCA), and other approaches [41,42]. Thus, they exhibit certain advantages in ISC monitoring.
2.2.1. Decomposition of the SEI Film on the Negative Electrode Surface
2.2.2. Reactions Between Lithium in the Negative Electrode and Electrolyte Solvents
2.2.3. Separator Failure and Thermal Oxidation Reactions
2.2.4. Reactions of Binders
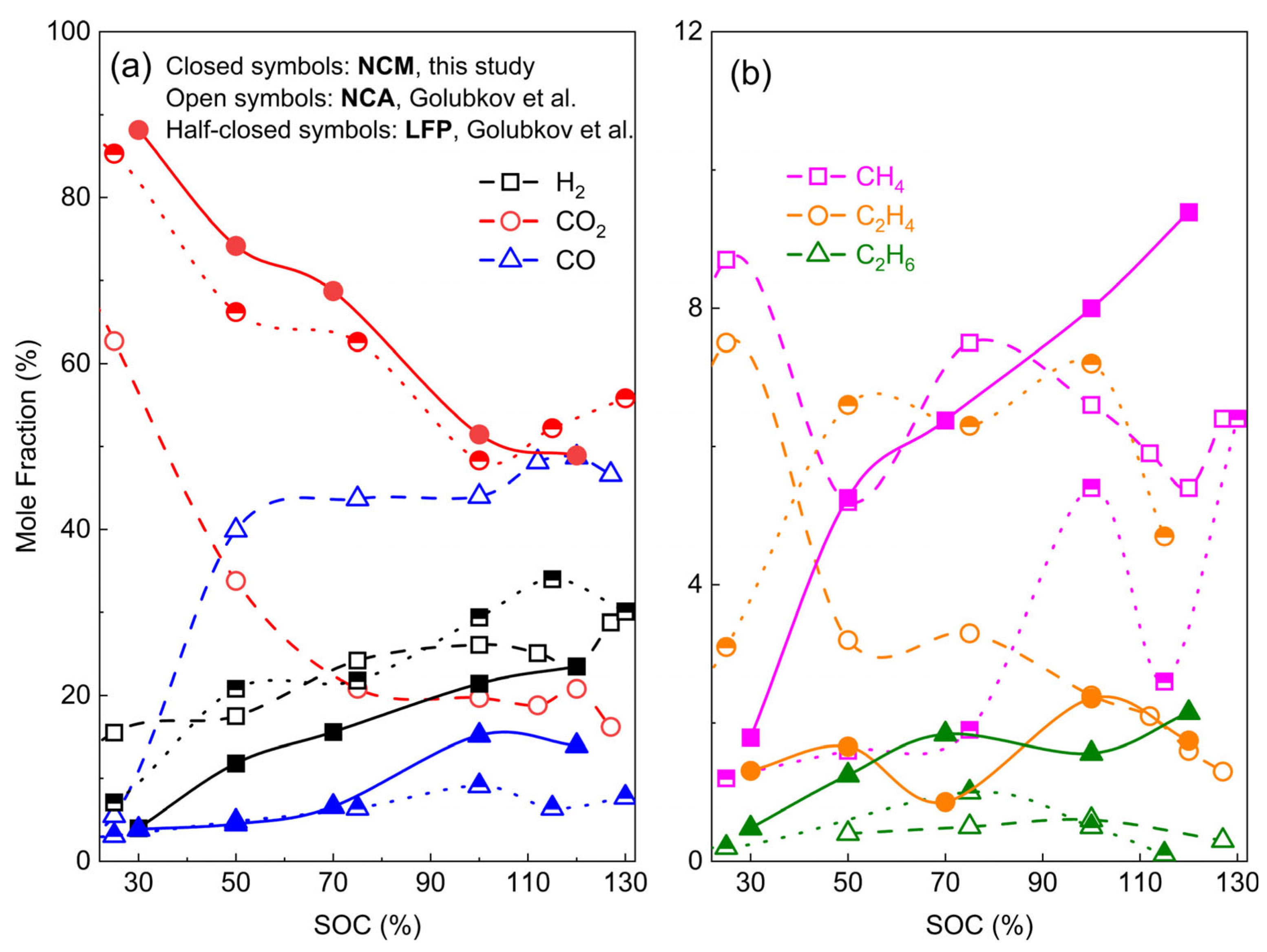
3. Common Gases Venting from TR and Influencing Factors of Battery Venting
4. Optimization of Target Gases for TR Monitoring
- Battery differences. Pan et al. used a single 18650-type LiFeO4 battery, while Jin et al. used commercial LiFeO4 battery packs (including prismatic and pouch batteries). Due to the smaller capacity of 18650-type batteries, it may be difficult to generate a sufficient amount of lithium dendrites to participate in the reaction and produce H2 in the early stage of overcharging. On the other hand, even if H2 is generated, it may be undetectable because its content is below the detection limit. It is not until the late stage of TR (at approximately 200 °C [60]) that a large amount of electrolyte undergoes pyrolysis [62,63,68,82], and the intercalated Li in the negative electrode reacts with the binder [13], leading to the generation of a large quantity of H2 that can be detected.
- Differences in overcharging time and battery venting time. In study [74], the interval from the start of overcharging to battery venting was 971 s, whereas in [75], this interval was only 324 s. Obviously, the overcharging time of the batteries in [74] was much longer than that in [75]. Overcharging time may reflect the extent to which TR progresses; at this point, the chemical reactions occurring inside the two sets of batteries differ, resulting in differences in the detected gases.
- Differences in sensor detection limits and sampling methods. [74] installed 6 sensors approximately 1–2 m above the battery pack for online monitoring. The capture threshold was set such that H2 and CO were detected when their concentrations increased by 20 ppm, while for CO2, the threshold was 50 ppm. Given that the concentration of each gas varies, the concentration of some gases during TR may be consistently lower than that of others [54,66]. Therefore, the setting of detection limits will affect the capture time of each gas. In contrast, Pan et al. set the sampling point 5 cm above the battery and conducted sampling at 90 s intervals. This may lead to missing the actual generation nodes of some gases. For example, when CO was sampled and detected at 482 s, its concentration had already reached 12 ppm. Although this factor does not objectively change the sequence of gas generation during TR, optimizing the detection limit settings or sampling methods could potentially reduce the time difference in which different gases are successively captured (or detected), even to a negligible extent.
- Prismatic Batteries
- 2.
- Cylindrical Batteries
- 3.
- Pouch (Soft-Pack) Batteries
5. Overview of Semiconductor Resistive Gas Sensors
5.1. Analysis of the Possibility and Practical Feasibility of Using MOS Gas Sensors to Detect Thermal Runaway in Lithium-Ion Batteries
5.1.1. Analysis of Warning Timeliness Based on Gas Sensing
5.1.2. Discussion on Practical Application Feasibility of MOS-Based Gas Sensors
- (1)
- Performance of the Sensors Themselves
- (2)
- Feasibility of Integration and Installation
5.2. Sensing Principle of MOS Gas Sensors

5.3. Performance Evaluation Metrics for MOS Gas Sensors
- (1)
- Response: When a sensor is exposed to the target gas, it undergoes changes in resistance or current. The magnitude of the response value reflects the amplitude of these signal variations. There are two methods to calculate the response value:
- (2)
- Response Time and Recovery Time
- (3)
- Selectivity: Selectivity refers to the capability of a sensor to respond to the target gas or resist interference in a mixed gas environment. It is typically evaluated by comparing the sensor’s response to the target gas with its response to other gases at the same concentration.
- (4)
- Stability. Stability is a critical parameter for the industrialization and commercialization of sensing materials. It can be divided into two categories:
- (5)
- Limit of Detection (LOD): LOD refers to the minimum concentration of the target gas that can be detected by the sensor. A lower LOD value indicates higher sensitivity of the sensor.
- (6)
- Optimal Operating Temperature
6. Research Progress on Gas-Sensing Materials for TR Warning
6.1. Research Progress of Gas-Sensitive Materials for H2
6.2. Research Progress of Gas-Sensitive Materials for Electrolyte Vapor
6.2.1. Research Progress of Gas-Sensitive Materials for DMC Vapor
6.2.2. Research Progress of Gas-Sensitive Materials for DME Vapor
6.2.3. Research Progress of Gas-Sensitive Materials for EMC Vapor
6.2.4. Research Progress of Gas-Sensitive Materials for DEC Vapor
6.3. Research Progress of Gas-Sensitive Materials for CH4
6.4. Research Progress of Gas-Sensitive Materials for CO and CO2
6.5. Research Progress of Gas-Sensitive Materials for Multiple TR Gases
7. Conclusions and Outlook
- Research on warning gases for different batteries needs to be further refined. Variations in battery type, TR initiation method, battery exhaust activation time, and sensor detection limit may all lead to differences in the characteristics of TR-generated gases and the concentration distribution of characteristic gases. Therefore, it is necessary to conduct targeted research on specific TR scenarios and screen for the most appropriate monitoring targets to ensure the accuracy of warnings. Additionally, the impact of the battery’s surface temperature on the sensor during venting should be considered, and it is even more critical to account for the issues arising from internal temperature variations when integrating sensors internally.
- Higher design requirements for semiconductor sensors in TR gas monitoring. Existing studies inevitably have certain limitations. For instance, some semiconductor materials suffer from issues such as excessively high operating temperatures, insufficient long-term stability, baseline drift, and prolonged response time. This needs further improvement to better align with the needs of TR warning applications. This requires the development of sensors capable of operating at lower temperatures to reduce power consumption while avoiding safety hazards caused by excessive heat. Additionally, improving the long-term stability of sensing materials is critical for achieving continuous monitoring of battery safety status, and minimizing sensor size is necessary to better adapt to battery management systems. Furthermore, higher requirements are placed on the response speed and sensitivity of semiconductor sensors: faster and more sensitive responses provide ample time for TR warning and remediation. Therefore, further optimization of sensing materials is required to improve their gas-sensing performance.
- Challenges in integrating gas sensors into battery management systems. Currently, TR monitoring relies on the gas release behavior of batteries, restricting its applicability to battery types that exhibit gas release during TR, including those equipped with safety valves (which open to release gas) and pouch cells (which expand and rupture to expel gas). This external signal-based monitoring method lacks sufficient temporal advantages. To address this issue, small sensors can be embedded inside batteries to monitor internal gas release status. While this significantly enhances TR warning capabilities, it inevitably increases costs. Furthermore, MOS materials are prone to cross-sensitivity to different gases in complex environments, potentially leading to false alarms. To mitigate this, a single sensor can be combined with machine learning algorithms (e.g., Random Forest, RF) or other artificial intelligence algorithms to construct a hybrid gas concentration prediction model. This model enables graded concentration early warning and sensitive detection of multiple gases, avoiding false alarms through cross-validation of multi-gas sensing data. Additionally, the integrated application of multiple sensors (e.g., combining gas sensing with voltage and current monitoring) can improve monitoring efficiency and performance, comprehensively capture battery operating status, and overcome the inherent limitations of single-parameter monitoring.
Author Contributions
Funding
Institutional Review Board Statement
Informed Consent Statement
Data Availability Statement
Conflicts of Interest
References
- Arumugam, M. An Outlook on Lithium Ion Battery Technology. ACS Cent. Sci. 2017, 3, 1063–1069. [Google Scholar] [CrossRef]
- Zhou, D.; Shanmukaraj, D.; Tkacheva, A.; Armand, M.; Wang, G. Polymer Electrolytes for Lithium-Based Batteries: Advances and Prospects. Chem 2019, 5, 2326–2352. [Google Scholar] [CrossRef]
- Tian, Y.; Zeng, G.; Rutt, A.; Shi, T.; Kim, H.; Wang, J.; Koettgen, J.; Sun, Y.; Ouyang, B.; Chen, T. Promises and challenges of next-generation “beyond Li-ion” batteries for electric vehicles and grid decarbonization. Chem. Rev. 2020, 121, 1623–1669. [Google Scholar] [CrossRef] [PubMed]
- Deng, D. Li-ion batteries: Basics, progress, and challenges. Energy Sci. Eng. 2015, 3, 385–418. [Google Scholar] [CrossRef]
- Joris, J.; Fanny, B. A critical review of lithium-ion battery safety testing and standards. Appl. Therm. Eng. 2023, 231, 121014. [Google Scholar] [CrossRef]
- Wang, Q.; Ping, P.; Zhao, X.; Chu, G.; Sun, J.; Chen, C. Thermal runaway caused fire and explosion of lithium ion battery. J. Power Sources 2012, 208, 210–224. [Google Scholar] [CrossRef]
- Gandoman, F.H.; Jaguemont, J.; Goutam, S.; Gopalakrishnan, R.; Firouz, Y.; Kalogiannis, T.; Omar, N.; Mierlo, J.V. Concept of reliability and safety assessment of lithium-ion batteries in electric vehicles: Basics, progress, and challenges. Appl. Energy 2019, 251, 113343. [Google Scholar] [CrossRef]
- Hu, D.; Huang, S.; Wen, Z.; Gu, X.; Lu, J. A review on thermal runaway warning technology for lithium-ion batteries. Renew. Sustain. Energy Rev. 2024, 206, 114882. [Google Scholar] [CrossRef]
- Guo, R.; Lu, L.; Ouyang, M.; Feng, X. Mechanism of the entire overdischarge process and overdischarge-induced internal short circuit in lithium-ion batteries. Sci. Rep. 2016, 6, 30248. [Google Scholar] [CrossRef]
- Michael, L.; Alexander, K.; Viktor, H. Holistic methodology for characterisation of the thermally induced failure of commercially available 18650 lithium ion cells. RSC Adv. 2017, 7, 24425–24429. [Google Scholar] [CrossRef]
- Wang, X.X.; Li, Q.T.; Zhou, X.Y.; Hu, Y.M.; Guo, X. Monitoring thermal runaway of lithium-ion batteries by means of gas sensors. Sens. Actuators B Chem. 2024, 411, 135703. [Google Scholar] [CrossRef]
- Liao, Z.; Zhang, S.; Li, K.; Zhang, G.; Habetler, T.G. A survey of methods for monitoring and detecting thermal runaway of lithium-ion batteries. J. Power Sources 2019, 436, 226879. [Google Scholar] [CrossRef]
- Kong, D.; Lv, H.; Ping, P.; Wang, G. A review of early warning methods of thermal runaway of lithium ion batteries. J. Energy Storage 2023, 64, 107073. [Google Scholar] [CrossRef]
- Koch, S.; Birke, K.P.; Kuhn, R. Fast Thermal Runaway Detection for Lithium-Ion Cells in Large Scale Traction Batteries. Batteries 2018, 4, 16. [Google Scholar] [CrossRef]
- Qian, Y.; Zhao, Y.; Li, Z.; Wang, Q.; Zhao, Y. Gas detection technology for thermal runaway of lithium-ion batteries. Front. Phys. 2025, 13, 1615872. [Google Scholar] [CrossRef]
- Teng, Z.; Lv, C. Detection toward early-stage thermal runaway gases of Li-ion battery by semiconductor sensor. Front. Chem. 2025, 13, 1586903. [Google Scholar] [CrossRef]
- Shao, X.; Zhang, D.; Zhou, L.; Ding, Z.; Xiong, H.; Zhang, H.; Jia, P.; Zhai, J.; Jiao, G. Recent advances in semiconductor gas sensors for thermal runaway early-warning monitoring of lithium-ion batteries. Coord. Chem. Rev. 2025, 535, 216624. [Google Scholar] [CrossRef]
- Kaliaperumal, M.; Dharanendrakumar, M.S.; Prasanna, S.; Abhishek, K.V.; Chidambaram, R.K.; Adams, S.; Zaghib, K.; Reddy, M.V. Cause and Mitigation of Lithium-Ion Battery Failure—A Review. Materials 2021, 14, 5676. [Google Scholar] [CrossRef]
- Lu, J.; Chen, Z.; Pan, F.; Cui, Y.; Amine, K. High-performance anode materials for rechargeable lithium-ion batteries. Electrochem. Energy Rev. 2018, 1, 35–53. [Google Scholar] [CrossRef]
- He, D.; Wang, J.; Peng, Y.; Li, B.; Feng, C.; Shen, L.; Ma, S. Research advances on thermal runaway mechanism of lithium-ion batteries and safety improvement. Sustain. Mater. Technol. 2024, 41, e01017. [Google Scholar] [CrossRef]
- Wu, Y.; Reddy, M.; Chowdari, B.; Ramakrishna, S. Electrochemical studies on electrospun Li (Li1/3Ti5/3)O4 grains as an anode for Li-ion batteries. Electrochim. Acta 2012, 67, 33–40. [Google Scholar] [CrossRef]
- Uddin, A.I.; Yaqoob, U.; Chung, G.-S. Dissolved hydrogen gas analysis in transformer oil using Pd catalyst decorated on ZnO nanorod array. Sens. Actuators B 2016, 226, 90–95. [Google Scholar] [CrossRef]
- Lagadec, M.F.; Zahn, R.; Wood, V. Characterization and performance evaluation of lithium-ion battery separators. Nat. Energy 2019, 4, 16–25. [Google Scholar] [CrossRef]
- Li, Y.; Li, Q.; Tan, Z. A review of electrospun nanofiber-based separators for rechargeable lithium-ion batteries. J. Power Sources 2019, 443, 227262. [Google Scholar] [CrossRef]
- Li, Q.; Chen, J.; Fan, L.; Kong, X.; Lu, Y. Progress in electrolytes for rechargeable Li-based batteries and beyond. Green Energy Environ. 2016, 1, 18–42. [Google Scholar] [CrossRef]
- Deng, J.; Yang, W.; Zhang, Y.; Pan, L.; Kang, F.; Ji, X.; Wu, H. Combustion characteristics and fire risk assessment of EC/DMC/EMC electrolytes for Li-ion batteries. J. Energy Storage 2025, 110, 115308. [Google Scholar] [CrossRef]
- Agubra, V.A.; Fergus, J.W. The formation and stability of the solid electrolyte interface on the graphite anode. J. Power Sources 2014, 268, 153–162. [Google Scholar] [CrossRef]
- Allgayer, F.; Hofmann, M.H.; Ehrenberg, H.; Storch, M.; Jeschull, F. In-depth analysis of the SEI thickness growth over the lifetime of Li-ion cells from an automotive battery. J. Power Sources 2026, 665, 239053. [Google Scholar] [CrossRef]
- Wang, Y.; Nakamura, S.; Ue, M.; Balbuena, P.B. Theoretical studies to understand surface chemistry on carbon anodes for lithium-ion batteries: Reduction mechanisms of ethylene carbonate. J. Am. Chem. Soc. 2001, 123, 11708–11718. [Google Scholar] [CrossRef]
- Das, B.K.; Cortés, H.A.; Bonilla, M.R.; Yang, M.; Carrasco, J.; Akhmatskaya, E. DMC matters: The role of dimethyl carbonate in SEI formation on oxygen functionalized anodes. J. Mater. Chem. A 2025, 13, 27557–27576. [Google Scholar] [CrossRef]
- Li, Y.; Leung, K.; Qi, Y. Computational exploration of the Li-electrode| electrolyte interface in the presence of a nanometer thick solid-electrolyte interphase layer. Acc. Chem. Res. 2016, 49, 2363–2370. [Google Scholar] [CrossRef]
- Hao, M.; Weng, S.; Zhong, C.; Li, Y.; Wang, X. Structure and evolution of solid electrolyte interphase (SEI) at the electrode-electrolyte interface. Mater. Today Energy 2025, 53, 101998. [Google Scholar] [CrossRef]
- Fu, L.J.; Liu, H.; Li, C.; Wu, Y.P.; Rahm, E.; Holze, R.; Wu, H.Q. Surface modifications of electrode materials for lithium ion batteries. Solid State Sci. 2005, 8, 113–128. [Google Scholar] [CrossRef]
- Mukhopadhyay, A.; Sheldon, B.W. Deformation and stress in electrode materials for Li-ion batteries. Prog. Mater Sci. 2014, 63, 58–116. [Google Scholar] [CrossRef]
- Xu, K. Nonaqueous liquid electrolytes for lithium-based rechargeable batteries. Chem. Rev. 2004, 104, 4303–4418. [Google Scholar] [CrossRef]
- Xu, K. Electrolytes and interphases in Li-ion batteries and beyond. Chem. Rev. 2014, 114, 11503–11618. [Google Scholar] [CrossRef]
- Ioan, S.D.; Maciej, S.; Knudsen, K.S.; Remus, T. Degradation Behavior of Lithium-Ion Batteries During Calendar Ageing—The Case of the Internal Resistance Increase. IEEE Trans. Ind. Appl. 2018, 54, 517–525. [Google Scholar] [CrossRef]
- Lyu, D.; Ren, B.; Li, S. Failure modes and mechanisms for rechargeable Lithium-based batteries: A state-of-the-art review. Acta Mech. 2019, 230, 701–727. [Google Scholar] [CrossRef]
- Hendricks, C.; Williard, N.; Mathew, S.; Pecht, M. A failure modes, mechanisms, and effects analysis (FMMEA) of lithium-ion batteries. J. Power Sources 2015, 297, 113–120. [Google Scholar] [CrossRef]
- Shen, W.; Dong, J.; Lu, Y.; Yan, K.; Guan, Y.; Zhao, G.; Li, B.; Wang, X.; Tang, R.; Zhou, J.; et al. Multiscale investigation of the rate-dependent degradation mechanisms in LiFePO4/graphite lithium-ion batteries. J. Energy Chem. 2026, 115, 1–14. [Google Scholar] [CrossRef]
- Srinivasan, R.; Demirev, P.A.; Carkhuff, B.G. Rapid monitoring of impedance phase shifts in lithium-ion batteries for hazard prevention. J. Power Sources 2018, 405, 30–36. [Google Scholar] [CrossRef]
- ManhKien, T.; Anosh, M.; Attar, A.; Satyam, P.; Yi, X.; Michael, F. A Review of Lithium-Ion Battery Thermal Runaway Modeling and Diagnosis Approaches. Processes 2022, 10, 1192. [Google Scholar] [CrossRef]
- Yeardley, A.S.; Bugryniec, P.J.; Milton, R.A.; Brown, S.F. A study of the thermal runaway of lithium-ion batteries: A Gaussian Process based global sensitivity analysis. J. Power Sources 2020, 456, 228001. [Google Scholar] [CrossRef]
- Zhang, X.; Hu, J.; Li, J.; Hou, L.; Gu, X.; Zhu, Y.; Shang, Y. A modeling approach for lithium-ion battery thermal runaway from the perspective of separator shrinkage characteristics. J. Energy Storage 2024, 102, 114059. [Google Scholar] [CrossRef]
- Wang, Z.; Zhu, L.; Liu, J.; Wang, J.; Yan, W. Gas sensing technology for the detection and early warning of battery thermal runaway: A review. Energy Fuels 2022, 36, 6038–6057. [Google Scholar] [CrossRef]
- Wang, Y.; Feng, X.; Huang, W.; He, X.; Wang, L.; Ouyang, M. Challenges and opportunities to mitigate the catastrophic thermal runaway of high-energy batteries. Adv. Energy Mater. 2023, 13, 2203841. [Google Scholar] [CrossRef]
- Wang, Q.S.; Sun, J.H.; Yao, X.L.; Chen, C.H. Thermal stability of LiPF6/EC+DEC electrolyte with charged electrodes for lithium ion batteries. Thermochim. Acta 2005, 437, 12–16. [Google Scholar] [CrossRef]
- Guo, D.; Sun, L.; Zhang, X.; Xiao, P.; Liu, Y.; Tao, F. The causes of fire and explosion of lithium ion battery for energy storage. In Proceedings of the 2018 2nd IEEE Conference on Energy Internet and Energy System Integration (EI2), Beijing, China, 20–22 October 2018; pp. 1–5. [Google Scholar]
- Deng, Z.; Liu, Y.; Wang, L.; Fu, N.; Li, Y.; Luo, Y.; Wang, J.; Xiao, X.; Wang, X.; Yang, X.; et al. Challenges of thermal stability of high-energy layered oxide cathode materials for lithium-ion batteries: A review. Mater. Today 2023, 69, 236–261. [Google Scholar] [CrossRef]
- Nie, B.; Dong, Y.; Chang, L. The evolution of thermal runaway parameters of lithium-ion batteries under different abuse conditions: A review. J. Energy Storage 2024, 96, 112624. [Google Scholar] [CrossRef]
- Yang, X.; Wang, H.; Li, M.; Li, Y.; Li, C.; Zhang, Y.; Chen, S.; Shen, H.; Qian, F.; Feng, X.; et al. Experimental Study on Thermal Runaway Behavior of Lithium-Ion Battery and Analysis of Combustible Limit of Gas Production. Batteries 2022, 8, 250. [Google Scholar] [CrossRef]
- Yuan, M.; Liu, K. Rational design on separators and liquid electrolytes for safer lithium-ion batteries. J. Energy Chem. 2020, 43, 58–70. [Google Scholar] [CrossRef]
- Wang, Q.; Sun, J.; Chen, X.; Chu, G.; Chen, C. Effects of solvents and salt on the thermal stability of charged LiCoO2. Mater. Res. Bull. 2009, 44, 543–548. [Google Scholar] [CrossRef]
- Wei, G.; Huang, R.; Zhang, G.; Jiang, B.; Zhu, J.; Guo, Y.; Han, G.; Wei, X.; Dai, H. A comprehensive insight into the thermal runaway issues in the view of lithium-ion battery intrinsic safety performance and venting gas explosion hazards. Appl. Energy 2023, 349, 121651. [Google Scholar] [CrossRef]
- Golubkov, A.W.; Scheikl, S.; Planteu, R.; Voitic, G.; Wiltsche, H.; Stangl, C.; Fauler, G.; Thaler, A.; Hacker, V. Thermal runaway of commercial 18650 Li-ion batteries with LFP and NCA cathodes–impact of state of charge and overcharge. RSC Adv. 2015, 5, 57171–57186. [Google Scholar] [CrossRef]
- Feng, X.; Ouyang, M.; Liu, X.; Lu, L.; Xia, Y.; He, X. Thermal runaway mechanism of lithium ion battery for electric vehicles: A review. Energy Storage Mater. 2018, 10, 246–267. [Google Scholar] [CrossRef]
- Grégory, G.; Perrine, R.; David, M.; Sylvie, G.; Michel, A.; Jean-Bernard, L.; Serge, P.; Stéphane, L. Gas chromatography/mass spectrometry as a suitable tool for the Li-ion battery electrolyte degradation mechanisms study. Anal. Chem. 2011, 83, 478–485. [Google Scholar] [CrossRef]
- Li, Y.; Liu, X.; Wang, L.; Feng, X.; Ren, D.; Wu, Y.; Xu, G.; Lu, L.; Hou, J.; Zhang, W. Thermal runaway mechanism of lithium-ion battery with LiNi0.8Mn0.1Co0.1O2 cathode materials. Nano Energy 2021, 85, 105878. [Google Scholar] [CrossRef]
- Terborg, L.; Weber, S.; Blaske, F.; Passerini, S.; Winter, M.; Karst, U.; Nowak, S. Investigation of thermal aging and hydrolysis mechanisms in commercial lithium ion battery electrolyte. J. Power Sources 2013, 242, 832–837. [Google Scholar] [CrossRef]
- Rong, D.; Zhang, G.; Sun, Q.; Hu, X. Experimental study on gas production characteristics of electrolyte of lithium-ion battery under pyrolysis conditions. J. Energy Storage 2023, 74, 109367. [Google Scholar] [CrossRef]
- Lamb, J.; Orendorff, C.J.; Roth, E.P.; Langendorf, J. Studies on the thermal breakdown of common Li-ion battery electrolyte components. J. Electrochem. Soc. 2015, 162, A2131. [Google Scholar] [CrossRef]
- Nilsson, E.J.; Brackmann, C.; Tidblad, A.A. Evaluation of combustion properties of vent gases from Li-ion batteries. J. Power Sources 2023, 585, 233638. [Google Scholar] [CrossRef]
- Galushkin, N.; Yazvinskaya, N.; Galushkin, D. Mechanism of gases generation during lithium-ion batteries cycling. J. Electrochem. Soc. 2019, 166, A897–A908. [Google Scholar] [CrossRef]
- Du Pasquier, A.; Disma, F.; Bowmer, T.; Gozdz, A.; Amatucci, G.; Tarascon, J.M. Differential scanning calorimetry study of the reactivity of carbon anodes in plastic Li-ion batteries. J. Electrochem. Soc. 1998, 145, 472. [Google Scholar] [CrossRef]
- Han, D.; Wang, J.; Yin, C.; Zhao, Y. Advances in early warning of thermal runaway in lithium-ion battery energy storage systems. Adv. Sens. Res. 2025, 4, 2400165. [Google Scholar] [CrossRef]
- Yuan, L.; Dubaniewicz, T.; Zlochower, I.; Thomas, R.; Rayyan, N. Experimental study on thermal runaway and vented gases of lithium-ion cells. Process Saf. Environ. Prot. 2020, 144, 186–192. [Google Scholar] [CrossRef]
- Golubkov, A.W.; Fuchs, D.; Wagner, J.; Wiltsche, H.; Stangl, C.; Fauler, G.; Voitic, G.; Thaler, A.; Hacker, V. Thermal-runaway experiments on consumer Li-ion batteries with metal-oxide and olivin-type cathodes. RSC Adv. 2014, 4, 3633–3642. [Google Scholar] [CrossRef]
- Eshetu, G.G.; Grugeon, S.; Laruelle, S.; Boyanov, S.; Lecocq, A.; Bertrand, J.-P.; Marlair, G. In-depth safety-focused analysis of solvents used in electrolytes for large scale lithium ion batteries. Phys. Chem. Chem. Phys. 2013, 15, 9145–9155. [Google Scholar] [CrossRef]
- Choi, C.; Choe, S.Y. AI-driven optimization of SOC-dependent parameters for reduced order electrochemical thermal model of lithium-ion batteries. J. Power Sources 2026, 663, 238849. [Google Scholar] [CrossRef]
- Liao, Z.; Zhang, S.; Li, K.; Zhao, M.; Qiu, Z.; Han, D.; Zhang, G.; Habetler, T.G. Hazard analysis of thermally abused lithium-ion batteries at different state of charges. J. Energy Storage 2020, 27, 101065. [Google Scholar] [CrossRef]
- Zhang, J.; Guo, Q.; Liu, S.; Zhou, C.; Huang, Z.; Han, D. Investigation on gas generation and corresponding explosion characteristics of lithium-ion batteries during thermal runaway at different charge states. J. Energy Storage 2024, 80, 110201. [Google Scholar] [CrossRef]
- Fernandes, Y.; Bry, A.; De Persis, S. Identification and quantification of gases emitted during abuse tests by overcharge of a commercial Li-ion battery. J. Power Sources 2018, 389, 106–119. [Google Scholar] [CrossRef]
- Liu, Z.; Han, K.; Zhang, Q.; Li, M. Thermal safety focus and early warning of lithium-ion batteries: A systematic review. J. Energy Storage 2025, 115, 115944. [Google Scholar] [CrossRef]
- Jin, Y.; Zheng, Z.; Wei, D.; Jiang, X.; Lu, H.; Sun, L.; Tao, F.; Guo, D.; Liu, Y.; Gao, J. Detection of micro-scale Li dendrite via H2 gas capture for early safety warning. Joule 2020, 4, 1714–1729. [Google Scholar] [CrossRef]
- Pan, J.; Chu, J.; Zhang, L.; Bo, K.; Yang, A.; Yuan, H.; Rong, M.; Wang, X. Bi2O3 nanosheets for early warning thermal runaway of lithium battery. Adv. Funct. Mater. 2024, 34, 2407408. [Google Scholar] [CrossRef]
- Cai, T.; Valecha, P.; Tran, V.; Engle, B.; Stefanopoulou, A.; Siegel, J. Detection of Li-ion battery failure and venting with Carbon Dioxide sensors. ETransportation 2021, 7, 100100. [Google Scholar] [CrossRef]
- Liang, Y.; Zhou, Y.; Wei, T.; Yin, G.; Yao, Y.; Pan, Q.; Zheng, F.; Wang, H.; Li, Q.; Hu, S. KTFA as an interface-stable and dendrite-inhibiting additive in high-performance lithium metal batteries. Rare Met. 2025, 44, 8416–8428. [Google Scholar] [CrossRef]
- Qiao, D.; Wei, X.; Zhu, J.; Zhang, G.; Yang, S.; Wang, X.; Jiang, B.; Lai, X.; Zheng, Y.; Dai, H. Mechanism of battery expansion failure due to excess solid electrolyte interphase growth in lithium-ion batteries. ETransportation 2025, 25, 100450. [Google Scholar] [CrossRef]
- Zhou, K.; Su, H.; Chen, L.; Tang, L.; Zhu, C.; Ma, C.; Tang, J.; Zeng, D. Exposed (111) Plane Engineered of Lead-Free Perovskite Cs2SnCl6 Octahedra for DMC Sensing in LIB Electrolyte Leakage Detection. Small 2025, 21, e2503337. [Google Scholar] [CrossRef] [PubMed]
- Fernandes, Y.; Bry, A.; De Persis, S. Thermal degradation analyses of carbonate solvents used in Li-ion batteries. J. Power Sources 2019, 414, 250–261. [Google Scholar] [CrossRef]
- Tao, Z.; Zhou, H.; Cao, Y.; Huang, X.; Wang, W.; Zhang, H. A review of thermal runaway gases and detection methods for lithium-ion batteries. Therm. Sci. Eng. Prog. 2026, 69, 104427. [Google Scholar] [CrossRef]
- Takahashi, S.; Kanayama, K.; Morikura, S.; Nakamura, H.; Tezuka, T.; Maruta, K. Study on oxidation and pyrolysis of carbonate esters using a micro flow reactor with a controlled temperature profile. Part II: Chemical kinetic modeling of ethyl methyl carbonate. Combust. Flame 2022, 238, 111878. [Google Scholar] [CrossRef]
- Zhang, J.; Wang, Z.; Jiang, T.; Liu, P.; Sun, Z.; Shan, T.; Chen, B.; Wang, Q.; Hong, J. Investigation of battery safety states based on thermal propagation and expansion analysis: Experimental studies on different packaging forms. Appl. Therm. Eng. 2025, 258, 124800. [Google Scholar] [CrossRef]
- Vujnović, N.; Hohenberg, K.; Höschele, P.; Moser, J.; Ellersdorfer, C. A comprehensive review of thermal runaway and thermal runaway propagation modelling approaches in lithium-ion batteries. J. Energy Storage 2025, 139, 118685. [Google Scholar] [CrossRef]
- Wang, J.; Yue, Y.; Yu, K.; Han, C.; Yang, J.; Zhang, L.; Zhang, Y.; Wang, Z.; Huang, Y. Thermal runaway behaviors of lithium iron phosphate battery with various capacity and state of charge: Characteristic comparison and safety assessment. Appl. Therm. Eng. 2026, 284, 129170. [Google Scholar] [CrossRef]
- Yu, M.; Hu, G.; Li, H.; Yang, D.; Liang, X.; Wang, J.; Li, C.; Yao, Y.; Diao, S.; Liu, D. Thermal runaway behaviors and microscopic reaction mechanism of lithium-ion batteries under the overcharge condition. Chem. Eng. Sci. 2026, 321, 122967. [Google Scholar] [CrossRef]
- Castro, L.T.; Bates, A.M.; Johnson, N.B.; Quintana, G.; Gray, L. Early Detection of Li-Ion Battery Thermal Runaway Using Commercial Diagnostic Technologies. J. Electrochem. Soc. 2024, 171, 020520. [Google Scholar] [CrossRef]
- Li, K.; Chen, L.; Han, X.; Gao, X.; Lu, Y.; Wang, D.; Tang, S.; Zhang, W.; Wu, W.; Cao, Y.c.; et al. Early warning for thermal runaway in lithium-ion batteries during various charging rates: Insights from expansion force analysis. J. Clean. Prod. 2024, 457, 142422. [Google Scholar] [CrossRef]
- Zhang, Y.; Li, S.; Mao, B.; Shi, J.; Zhang, X.; Zhou, L. A multi-level early warning strategy for the LiFePO4 battery thermal runaway induced by overcharge. Appl. Energy 2023, 347, 121375. [Google Scholar] [CrossRef]
- Minkyu, J.; Eunsong, L.; Hyunwook, P.; Hongsik, Y.; Sangin, K. Effect of Thermal Abuse Conditions on Thermal Runaway of NCA 18650 Cylindrical Lithium-Ion Battery. Batteries 2022, 8, 196. [Google Scholar] [CrossRef]
- Cao, Y.; Peng, Y.; Tao, Z.; Yang, R.; Li, W.; Wolski, L.; Capek, T.; Zhang, H. Comprehensive investigation of early gas detection in lithium iron phosphate pouch batteries under overheating. J. Power Sources 2025, 653, 237601. [Google Scholar] [CrossRef]
- Choi, S.; Lee, K.; Kim, J.; Oh, S.; Joo, J.; Bae, E.; Lee, H.; Kim, M. Early Detection and Suppression of Thermal Runaway in Large-Format Lithium-Ion Batteries: Insights from Experimental Analysis. Energies 2025, 18, 155. [Google Scholar] [CrossRef]
- Ji, H.; Zeng, W.; Li, Y. Gas sensing mechanisms of metal oxide semiconductors: A focus review. Nanoscale 2019, 11, 22664–22684. [Google Scholar] [CrossRef] [PubMed]
- Simonetti, E.A.N.; de Oliveira, T.C.; do Carmo Machado, Á.E.; Silva, A.A.C.; dos Santos, A.S.; de Simone Cividanes, L. TiO2 as a gas sensor: The novel carbon structures and noble metals as new elements for enhancing sensitivity—A review. Ceram. Int. 2021, 47, 17844–17876. [Google Scholar] [CrossRef]
- Singh, A.; Sikarwar, S.; Verma, A.; Yadav, B.C. The recent development of metal oxide heterostructures based gas sensor, their future opportunities and challenges: A review. Sens. Actuators A 2021, 332, 113127. [Google Scholar] [CrossRef]
- Wang, D.; Xu, M.; Li, K.; Yan, Y.; Chen, X.; Yu, D.; Jia, R.; Huang, L. Enhanced ethanol detection: A high-performance MEMS sensor utilizing Pt-modified SnO2-TiO2 composite nanomaterials. Surf. Interfaces 2025, 68, 106679. [Google Scholar] [CrossRef]
- Liang, M.; Yan, Y.; Yang, J.; Liu, X.; Jia, R.; Ge, Y.; Li, Z.; Huang, L. In Situ-Derived N-Doped ZnO from ZIF-8 for Enhanced Ethanol Sensing in ZnO/MEMS Devices. Molecules 2024, 29, 1703. [Google Scholar] [CrossRef]
- Yang, J.; Yan, Y.; Liang, M.; Liu, X.; Jia, R.; Ge, Y.; Li, Z.; Huang, L. Bimetallic Au-Ag Modified ZnO-Based MEMS Sensors for ppb Level Ethanol Detection. IEEE Sens. J. 2024, 25, 2178–2185. [Google Scholar] [CrossRef]
- Arafat, M.; Dinan, B.; Akbar, S.A.; Haseeb, A. Gas sensors based on one dimensional nanostructured metal-oxides: A review. Sensors 2012, 12, 7207–7258. [Google Scholar] [CrossRef]
- Sun, Y.-F.; Liu, S.-B.; Meng, F.-L.; Liu, J.-Y.; Jin, Z.; Kong, L.-T.; Liu, J.-H. Metal oxide nanostructures and their gas sensing properties: A review. Sensors 2012, 12, 2610–2631. [Google Scholar] [CrossRef]
- Wang, Z.; Zhu, L.; Zhang, J.; Wang, J.; Cui, X.; Chen, X.; Liu, W.; Ma, H.; Wang, J.; Yan, W. ZIF-8 loaded Ag/ZnO electrospun nanofibers enabling high-performance H2 gas sensing for battery safety early warning. Sens. Actuators B 2024, 418, 136276. [Google Scholar] [CrossRef]
- Hou, W.; Wang, Q.; Li, Z.; Lyu, N.; Zhong, W.; Jin, Y.; Liang, T.; Wei, R. Hydrogen sensors of Ce-doped MoS2 with anti-humidity for early warning thermal runaway in lithium-ion batteries. Sens. Actuators B 2025, 425, 136988. [Google Scholar] [CrossRef]
- Zhang, M.; He, Z.; Cheng, W.; Li, X.; Zan, X.; Bao, Y.; Gu, H.; Homewood, K.; Gao, Y.; Zhang, S. A room-temperature MEMS hydrogen sensor for lithium ion battery gas detecting based on Pt-modified Nb doped TiO2 nanosheets. Int. J. Hydrogen Energy 2024, 74, 307–315. [Google Scholar] [CrossRef]
- Vahl, A.; Lupan, O.; Carballal, D.S.; Postica, V.; Hansen, S.; Cavers, H.; Wolff, N.; Terasa, M.I.; Hoppe, M.; Essadek, A.C.; et al. Surface functionalization of ZnO:Ag columnar thin films with AgAu and AgPt bimetallic alloy nanoparticles as an efficient pathway for highly sensitive gas discrimination and early hazard detection in batteries. J. Mater. Chem. A 2020, 8, 16246–16264. [Google Scholar] [CrossRef]
- Li, L.; Zhou, L.; Chen, Y.; Chen, X.; Guo, L.; Zhang, W.; Deng, Y.; Li, T.; Chen, B.; Li, H.Y.; et al. Precision hydrogen detection in mixed atmospheres using temperature-modulated PdAu-In2O3 sensor arrays and machine learning algorithms. Chem. Eng. J. 2025, 520, 165633. [Google Scholar] [CrossRef]
- Jiang, Y.; Hu, K.; Zhang, J.; Hu, Y.; Yang, Y.; Yin, X.; Huang, P. Indium-nickel oxide nanocomposite for room temperature H2 gas detection and its sensing mechanism. Ceram. Int. 2024, 50, 36428–36439. [Google Scholar] [CrossRef]
- Chen, Q.; Zhang, Y.; Tang, M.; Wang, Z.; Zhang, D. A fast response hydrogen sensor based on the heterojunction of MXene and SnO2 nanosheets for lithium-ion battery failure detection. Sens. Actuators B Chem. 2024, 405, 135229. [Google Scholar] [CrossRef]
- Shao, X.; Zhang, D.; Tang, M.; Zhang, H.; Wang, Z.; Jia, P.; Zhai, J. Amorphous Ag catalytic layer-SnO2 sensitive layer-graphite carbon nitride electron supply layer synergy-enhanced hydrogen gas sensor. Chem. Eng. J. 2024, 495, 153676. [Google Scholar] [CrossRef]
- Sun, X.-Q.; Li, Y.-F.; Chen, L.; Li, H.-B.; Gao, R.-H.; Liu, J.; Yang, T.-Y.; Guo, Z. Universal gas-sensitive detection of various lithium-ion battery electrolyte leakages via Ag@Ag2O-functionalized SnO2 nanoflowers with abundant oxygen vacancies. Anal. Chem. 2025, 97, 3589–3599. [Google Scholar] [CrossRef] [PubMed]
- Wang, H.J.; Xiong, R.; Cui, Z.; Wan, J.; Sa, B.; Wu, X.; Song, W.L.; Wang, X.X.; Zeng, D.W. Ultrasensitive Detection for Lithium-Ion Battery Electrolyte Leakage by Rare-Earth Nd-Doped SnO2 Nanofibers. ACS Sens. 2023, 8, 1700–1709. [Google Scholar] [CrossRef]
- Wan, J.; Liu, C.; Wang, X.; Wang, H.; Tang, L.; Du, Z.; Song, W.; Zeng, D. Conductometric sensor for ppb-level lithium-ion battery electrolyte leakage based on Co/Pd-doped SnO2. Sens. Actuators B Chem. 2023, 393, 134326. [Google Scholar] [CrossRef]
- Lu, Y.; Zhang, S.; Dai, S.; Liu, D.; Wang, X.; Tang, W.; Guo, X.; Duan, J.; Luo, W.; Yang, B. Ultrasensitive detection of electrolyte leakage from lithium-ion batteries by ionically conductive metal-organic frameworks. Matter 2020, 3, 904–919. [Google Scholar] [CrossRef]
- Lupan, O.; Magariu, N.; Santos-Carballal, D.; Ababii, N.; Offermann, J.; Pooker, P.; Hansen, S.; Siebert, L.; de Leeuw, N.H.; Adelung, R. Development of 2-in-1 sensors for the safety assessment of lithium-ion batteries via early detection of vapors produced by electrolyte solvents. ACS Appl. Mater. Interfaces 2023, 15, 27340–27356. [Google Scholar] [CrossRef]
- Gao, R.; Geng, J.; Chen, L.; Sun, X.; Wang, W.; Guo, Z. Ultra-trace leakage detection of 1, 2-dimethoxyethane in Lithium-Ion battery electrolyte via lacunary polyoxometalates-driven synthesis of NiO/Si-NiWO4/WO3 heterostructure nanofibers. Sens. Actuators B 2024, 418, 136261. [Google Scholar] [CrossRef]
- Zhu, H.; Li, Y.; Liu, W.; Zhang, L.; Sun, D.; Jiang, Z.; Cheng, Z.; Yuan, Z.; Yu, Y.; Zhao, Y. Amorphous bimetallic oxide CuSnO3 modified In2O3 for highly sensitive detection of thermal runaway marker 1, 2-dimethoxyethane in lithium batteries. Ceram. Int. 2025, 51, 9978–9986. [Google Scholar] [CrossRef]
- Liu, C.; Wan, J.; Dong, W.; Wang, X.; Chen, J.; Li, S.; Mao, C.; Zeng, D. Rapid detection of ppb level electrolyte leakage of lithium ion battery (LIB) by WO3 hollow microsphere gas sensor. Mater. Today Commun. 2023, 35, 106398. [Google Scholar] [CrossRef]
- Su, H.; Yang, H.; Ma, C.; Tang, J.; Zhu, C.; Wang, X.; Zeng, D. High response and selectivity of the SnO2 nanobox gas sensor for ethyl methyl carbonate leakage detection in a lithium-ion battery. ACS Sens. 2024, 9, 444–454. [Google Scholar] [CrossRef]
- Su, H.; Yang, Q.; Ma, C.; Tang, J.; Guan, Y.; Wang, X.; Guo, X.; Zeng, D. A concave octahedral hollow SnO2 nanocage for enhancing typical electrolyte (EMC) leakage gas sensing performance in lithium-ion batteries. Sens. Actuators B 2024, 417, 136061. [Google Scholar] [CrossRef]
- Cao, P.; Qu, L.; Jia, F.; Zeng, Y.; Zhu, D.; Wang, C.; Han, S.; Fang, M.; Liu, X.; Liu, W. Three-Dimensional Ordered Porous SnO2 Nanostructures Derived from Polystyrene Sphere Templates for Ethyl Methyl Carbonate Detection in Battery Safety Applications. Nanomaterials 2025, 15, 1150. [Google Scholar] [CrossRef] [PubMed]
- Zhu, H.; Cheng, Z.; Yuan, Z.; Meng, F.; Zhao, Y. Highly Sensitive EMC Semiconductor Gas Sensor to Overcome Thermal Drift for Thermal Runaway Warning of Lithium Batteries. IEEE Trans. Instrum. Meas. 2025, 74, 9529109. [Google Scholar] [CrossRef]
- Gao, D.; Zhuang, Y.; Gao, S.; Huang, S.; He, X. Room-temperature smart sensor based on indium acetate-functionalized perovskite CsPbBr3 nanocrystals for monitoring electrolyte in lithium-ion batteries. ACS Appl. Mater. Interfaces 2024, 16, 6228–6238. [Google Scholar] [CrossRef]
- Xin, L.; Ning, K.; Meng, W.; Pengfei, Z.; Hao, L.; Shan, L.; Zhidong, F. Diethyl carbonate (DEC) gas sensor based on CeO loaded InO hollow spheres for thermal runaway monitoring of Li-ion batteries. Jpn. J. Appl. Phys. 2022, 61, 107002. [Google Scholar] [CrossRef]
- Lee, E.; VahidMohammadi, A.; Yoon, Y.S.; Beidaghi, M.; Kim, D.-J. Two-dimensional vanadium carbide MXene for gas sensors with ultrahigh sensitivity toward nonpolar gases. ACS Sens. 2019, 4, 1603–1611. [Google Scholar] [CrossRef]
- Wang, D.; Zhang, D.; Li, Y.; Zhang, H.; Lin, L.; Zhang, X.; Wang, H.; Yu, Q. V2CTx MXene/Ni-metal organic framework-derived V2O5/NiO nanohybrid methane sensors for fault detection of lithium-ion battery. Sens. Actuators B 2025, 428, 137261. [Google Scholar] [CrossRef]
- Liu, Z.W.; Shao, X.Y.; Zhai, J.S.; Ding, Z.Z.; Jiao, G.A.; Zhang, D.Z. A high sensitivity and fast response methane sensor based on SnO2/ Zn2SnO4 nanocomposite for lithium-ion battery fault detection. J. Alloys Compd. 2025, 1037, 182282. [Google Scholar] [CrossRef]
- Han, Y.; Zhao, Y.; Ming, A.; Fang, Y.; Fang, S.; Bi, S.; Chen, J.; Xu, R.; Wei, F.; Mao, C. Application of an NDIR sensor system developed for early thermal runaway warning of automotive batteries. Energies 2023, 16, 3620. [Google Scholar] [CrossRef]
- Choudhary, K.; Saini, R.; Upadhyay, G.K.; Purohit, L.P. Sustainable behavior of cauliflower like morphology of Y-doped ZnO:CdO nanocomposite thin films for CO2 gas sensing application at low operating temperature. J. Alloys Compd. 2021, 879, 160479. [Google Scholar] [CrossRef]
- Haldar, T.; Shiu, J.-W.; Yang, R.-X.; Wang, W.-Q.; Wu, H.-T.; Mao, H.-I.; Chen, C.-W.; Yu, C.-H. Exploring MOF-derived CuO/rGO heterostructures for highly efficient room temperature CO2 sensors. ACS Sens. 2024, 9, 5856–5865. [Google Scholar] [CrossRef]
- Liu, X.; Wu, J.; Fan, C.; Zhang, Y.; Quan, W.; Li, J.; Hu, N.; Yang, J.; Zeng, M.; Yang, Z. One-Dimensional Conductive Metal-Organic Frameworks Enable Real-Time Chemiresistive Detection of Thermal Runaway Gases. ACS Sens. 2025, 10, 6464–6475. [Google Scholar] [CrossRef]
- Wang, Y.; Meng, X.; Cao, J. Rapid detection of low concentration CO using Pt-loaded ZnO nanosheets. J. Hazard. Mater. 2020, 381, 120944. [Google Scholar] [CrossRef] [PubMed]
- Hu, K.; Yang, Y.; Hu, Y.; Zeng, W.; Zhang, Y.; Wang, M. CuO surface doped In2O3/CeO2 nanofibers for ppb-ppm level carbon monoxide gas detection in low-temperature. Sens. Actuators B 2023, 376, 132984. [Google Scholar] [CrossRef]
- Shen, X.; Chu, J.; Pan, J.; Yang, A.; Wang, J.; Bo, K.; Yuan, H.; Liu, Y.; Rong, M.; Wang, X. Regulating crystal face of SnO2 films for selective detection of H2 and DMC. Chem. Eng. J. 2025, 510, 161717. [Google Scholar] [CrossRef]
- Zhang, E.; Yan, W.; Zhou, S.; Ling, M.; Zhou, H. Fe3O4@uio66 core-shell composite for detection of electrolyte leakage from lithium-ion batteries. Nanotechnology 2022, 34, 135501. [Google Scholar] [CrossRef] [PubMed]

















| Temperature (°C) | Venting Gases | Poisonousness | Flammability and Explosiveness |
|---|---|---|---|
| 70–90 | C2H4 | low toxicity, but anesthesia at high concentrations | explosion limits (2.7–36%) |
| CO2 | non-toxic | non-flammable | |
| O2 | non-toxic | combustion-supporting | |
| 120–140 | C3H6 | anesthesia at high concentrations | explosion limits (2.4–10.3%) |
| C2H4 | anesthesia at high concentrations | explosion limits (2.7–36%) | |
| CH4 | non-toxic | explosion limits (5–15%) | |
| 170 | O2 | non-toxic | combustion-supporting |
| HF | highly toxic (LC50 *: 130 ppm/1 h) and strongly corrosive | non-flammable | |
| PF5 | toxic and highly corrosive | non-flammable | |
| C2H4 | low toxicity, but anesthesia at high concentrations | explosion limits (2.7–36%) | |
| 200 | CO | asphyxiation at high concentrations (LC50: 1800 ppm/1 h) | explosion limits (12.5–74.2%) |
| CO2 | non-toxic | non-flammable | |
| CH3F | anesthesia at high concentrations | 22.2% (upper explosive level) | |
| 300 | H2 | non-toxic | explosion limits (4–75%) |
| HF | highly toxic (LC50: 130 ppm/1 h) and strongly corrosive | non-flammable |
| Battery Chemistry | H2 (%) | CO (%) | CO2 (%) | CH4 (%) | C2H2 (%) | C2H4 (%) | C2H6 (%) |
|---|---|---|---|---|---|---|---|
| LFP | 24.34 | 4.5 | 25.39 | 5.9 | 0.08 | 3.26 | 1.29 |
| LTO | 8.41 | 5.3 | 37.6 | 1.23 | 0.0008 | 1.38 | 0.40 |
| NCM 1 | 12.39 | 30.30 | 13.22 | 10.50 | 0.0026 | 0.10 | 0.16 |
| NCM 2 | 12.54 | 28.06 | 19.91 | 12.90 | 0.0027 | 0.16 | 0.21 |
| Battery Type | TR Trigger Method | Criteria for Determining the Start of TR | Total Reserved Warning Time | Ref. |
|---|---|---|---|---|
| 11.6 Ah NMC pouch cell | OT (heating at 5 °C/min) | The rate of temperature rise is accelerating or voltage drop | VOC: 7.1–17.3 min | [87] |
| OC (1 C) | VOC: 6.3–8.5 min | |||
| 20 Ah LFP prismatic battery | OC (0.5 C) | After a sudden voltage drop, the temperature rises sharply, accompanied by an internal short circuit | H2: 5–6.7 min; VOC: 3.3 min; CO: 1.7 min | [89] |
| 40 Ah LFP prismatic battery | OC (1–6 C) | The temperature rise rate reaches its peak | 0.6–7 min | [88] |
| NCA 18650 cylindrical battery | OT (fixed plate temperature 250–500 °C) | The temperature rise rate reaches its peak | 0.2–7.2 min | [90] |
| 6 Ah and 67 Ah LFP pouch cell | OT (500 W heating) | The rate of temperature rise (dT/dt) exceeds 1 °C/s | 2 min (6 Ah) * 12.7 min (67 Ah) * | [91] |
| 750 Wh NCM pouch battery (3 × 60 Ah in parallel) | OT (heating at 7 °C/min) | Voltage drop | 4.4–14 min | [92] |
| 32 and 50 Ah LFP prismatic battery | OT (500 W heating) | The rate of temperature rise (dT/dt) exceeds 1 °C/s | Around 0.7–7 min (32 Ah) Around 1.8–7.5 min (50 Ah) | [85] |
| Material | Target Gas | Conc. (ppm) | Response | T (°C) | Res/Rec. (s) | LOD (ppb) | Ref. |
|---|---|---|---|---|---|---|---|
| Bi2O3 | DMC | 100 | 295.7% | 160 | 44/34 (10 ppm) | 50 | [75] |
| Ag@Ag2O-SnO2 | DMC | 100 | 106 | 200 | 28/55 (100 ppm) | 11.76 | [109] |
| Nd-SnO2 | DMC | 50 | 38.13 | 150 | 137/463 (1 ppm) | 20 | [110] |
| Co/Pd-SnO2 | DMC | 50 | ~22 | 150 | 66/240 (1 ppm) | 500 | [111] |
| Cs2SnCl6 | DMC | 100 | 7.05 | 200 | 82/83 (20 ppm) | / | [79] |
| Material | Target Gas | Conc. (ppm) | Response | T (°C) | Res/Rec. (s) | LOD (ppb) | Ref. |
|---|---|---|---|---|---|---|---|
| Pd-WO3 | EMC | 10 | 17.8 | 275 | 19/860 | 100 | [116] |
| SnO2 | EMC | 20 | 32.46 | 140 | 71/257 (1 ppm) | 10 | [117] |
| SnO2 | EMC | 10 | 7.24 | 140 | 100/930 | 160 | [118] |
| SnO2 | EMC | 10 | 7.95 | 210 | 14/17 | 500 | [119] |
| MnSnO3-x/NiO | EMC | 10 | 93.8% | 180 | 34/204 | 200 | [120] |
| CsPbBr3@In | EMC | 1500 | 0.21 | RT | 34/41 | 10 (ppm) | [121] |
Disclaimer/Publisher’s Note: The statements, opinions and data contained in all publications are solely those of the individual author(s) and contributor(s) and not of MDPI and/or the editor(s). MDPI and/or the editor(s) disclaim responsibility for any injury to people or property resulting from any ideas, methods, instructions or products referred to in the content. |
© 2026 by the authors. Licensee MDPI, Basel, Switzerland. This article is an open access article distributed under the terms and conditions of the Creative Commons Attribution (CC BY) license.
Share and Cite
Zhang, J.; Li, Z.; Huang, L. A Review of Gas-Sensitive Materials for Lithium-Ion Battery Thermal Runaway Monitoring. Molecules 2026, 31, 347. https://doi.org/10.3390/molecules31020347
Zhang J, Li Z, Huang L. A Review of Gas-Sensitive Materials for Lithium-Ion Battery Thermal Runaway Monitoring. Molecules. 2026; 31(2):347. https://doi.org/10.3390/molecules31020347
Chicago/Turabian StyleZhang, Jian, Zhili Li, and Lei Huang. 2026. "A Review of Gas-Sensitive Materials for Lithium-Ion Battery Thermal Runaway Monitoring" Molecules 31, no. 2: 347. https://doi.org/10.3390/molecules31020347
APA StyleZhang, J., Li, Z., & Huang, L. (2026). A Review of Gas-Sensitive Materials for Lithium-Ion Battery Thermal Runaway Monitoring. Molecules, 31(2), 347. https://doi.org/10.3390/molecules31020347

