Harnessing Both Phase Change and Isomerization: High-Energy-Density Azobenzene-Composites for Efficient Solar Energy Storage
Abstract
1. Introduction
2. Results and Discussion
2.1. Chemical Composition and Crystallinity
2.2. Photoisomerization Properties
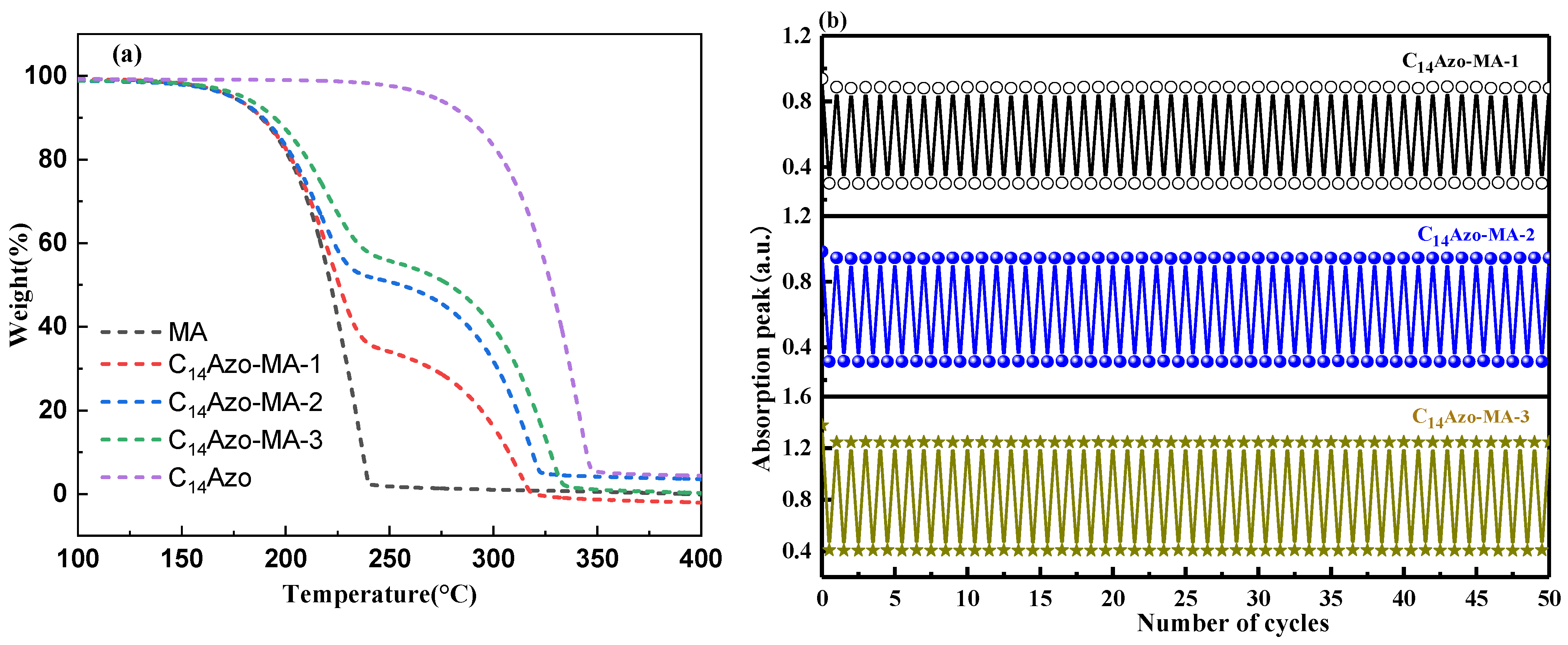
2.3. Thermal Stability and Cyclic Stability
2.4. Optically-Controlled Phase Change Performance
2.5. Energy Storage Performance and Durability Assessment
3. Materials and Methods
3.1. Preparation of C14Azo-MA
3.2. Characterizations
4. Conclusions
Author Contributions
Funding
Institutional Review Board Statement
Informed Consent Statement
Data Availability Statement
Conflicts of Interest
Abbreviations
| OPCMs | Organic phase change materials |
| AZO | Azobenzene |
| ΔHiso | Isomerization enthalpy |
| ΔTc | Photoinduced crystallization temperature difference |
| MA | Myristic acid |
| C14Azo | Azobenzene derivative |
| C14Azo-MA | Azobenzene-based organic phase change composite |
| FT-IR | Fourier transform infrared |
| 1HNMR | Proton nuclear magnetic resonance |
| XRD | X-ray diffraction |
| UV–Vis | UV–visible |
| TGA | Thermogravimetric analyzer |
| DSC | Differential scanning calorimeter |
| DCM | Dichloromethane |
| A0 | The absorbance values of the π-π* transition at 323 nm at initial moment (time zero) |
| At | The absorbance values of the π-π* transition at 323 nm at a given time t |
| A∞ | The absorbance values of the π-π* transition at 323 nm at infinite time |
| k | First-order kinetic constants |
| kt-c | First-order rate constants from trans to cis |
| kc-t | First-order rate constants from cis to trans |
| Tc | Crystallization temperature |
| ∆Htotal | The total heat released during the cis→trans isomerization and phase transition of C14Azo-MA |
| ∆HMA | The crystallization enthalpy of MA |
| ∆Htrans-C14Azo | The crystallization enthalpy of trans-C14Azo |
| ∆Hiso(C14Azo) | The isomerization enthalpy of C14Azo |
| χ | The content (mass fraction) of MA in C14Azo-MA |
References
- Wu, X.; Mo, C.; Li, X.; Li, C.; Lin, R.; Zeng, Y.; Cao, J.; Liu, X. Experiment investigation on optimization of cylinder battery thermal management with microchannel flat tubes coupled with composite silica gel. J. Energy Storage 2022, 56, 105871. [Google Scholar] [CrossRef]
- Yang, Z.; Jia, S.; Niu, Y.; Lv, X.; Fu, H.; Zhang, Y.; Liu, D.; Wang, B.; Li, Q. Bean-pod-inspired 3D-printed phase change microlattices for solar-thermal energy harvesting and storage. Small 2021, 17, 2101093. [Google Scholar] [CrossRef] [PubMed]
- Zhang, Y.; Wang, W.; Wang, Z.; Gao, M.; Zhu, L.; Song, J. Green building design based on solar energy utilization: Take a kindergarten competition design as an example. Energy Rep. 2021, 7, 1297–1307. [Google Scholar] [CrossRef]
- Chen, Q.; Kuang, Z.; Liu, X.; Zhang, T. Transforming a solar-rich county to an electricity producer: Solutions to the mismatch between demand and generation. J. Clean. Prod. 2022, 336, 130418. [Google Scholar] [CrossRef]
- Gernaat, D.E.H.J.; Boer, H.S.; Daioglou, V.; Yalew, S.G.; Muller, C.; Vuuren, D.P. Climate change impacts on renewable energy supply. Nat. Clim. Change 2021, 11, 119–125. [Google Scholar] [CrossRef]
- Pryor, S.C.; Barthelmie, R.J.; Bukovsky, M.S.; Leung, L.R.; Sakaguchi, K. Climate change impacts on wind power generation. Nat. Rev. Earth Environ. 2020, 1, 627–643. [Google Scholar] [CrossRef]
- Jiang, Y.; Liu, J.; Luo, W.; Quan, X.; Li, H.; Huang, J.; Feng, W. High-energy and light-actuated phase change composite for solar energy storage and heat release. Surf. Interfaces 2021, 24, 101071. [Google Scholar] [CrossRef]
- Jiang, Y.; Liu, R.; Luo, W.; Hu, Y.; Wang, H.; Wang, C.; Li, X.; Huang, J. Photoguided AZO-phase change composite for high-energy solar storage and heat release at near ambient temperature. J. Energy Storage 2024, 10, 113974. [Google Scholar] [CrossRef]
- Suchikova, Y.; Nazarovets, S.; Konuhova, M.; Popov, A.I. BinaryOxide Ceramics (TiO2, ZnO, Al2O3, SiO2, CeO2, Fe2O3, and WO3) for Solar Cell Applications: A Comparative and Bibliometric Analysis. Ceramics 2025, 8, 119. [Google Scholar] [CrossRef]
- Salthouse, R.J.; Moth-Poulsen, K. Multichromophoric photoswitches for solar energy storage: From azobenzene to norbornadiene, and MOST things in between. J. Mater. Chem. A 2024, 12, 3180–3208. [Google Scholar] [CrossRef]
- Wang, Z.; Moïse, H.; Cacciarini, M.; Nielsen, M.B.; Morikawa, M.; Kimizuka, N.; Moth-Poulsen, K. Liquid-based multijunction molecular solar thermal energy collection device. Adv. Sci. 2021, 8, 2103060. [Google Scholar] [CrossRef]
- Cabeza, L.F.; Zsembinszki, G.; Martín, M. Evaluation of volume change in phase change materials during their phase transition. J. Energy Storage 2020, 28, 101206. [Google Scholar] [CrossRef]
- Nie, B.; Palacios, A.; Zou, B.; Liu, J.; Zhang, T.; Li, Y. Review on phase change materials for cold thermal energy storage applications. Renew. Sust. Energy Rev. 2020, 134, 110340. [Google Scholar] [CrossRef]
- Ali, S.A.; Habib, K.; Younas, M.; Rahman, S.; Das, L.; Rubbi, F.; Mulk, W.U.; Rezakazemi, M. Advancements in thermal energy storage: A review of material innovations and strategic approaches for phase change materials. Energy Fuels 2024, 38, 19336–19392. [Google Scholar] [CrossRef]
- Wu, S.; Li, T.; Wu, M.; Xu, J.; Hu, Y.; Chao, J.; Yan, T.; Wang, R. Highly thermally conductive and flexible phase change composites enabled by polymer/graphite nanoplatelet-based dual networks for efficient thermal management. J. Mater. Chem. A 2020, 8, 20011–20020. [Google Scholar] [CrossRef]
- Ribezzo, A.; Morciano, M.; Zsembinszki, G.; Amigó, S.R.; Kala, S.M.; Borri, E.; Bergamasco, L.; Fasano, M.; Chiavazzo, E.; Prieto, C.; et al. Enhancement of heat transfer through the incorporation of copper metal wool in latent heat thermal energy storage systems. Renew. Energy 2024, 231, 120888. [Google Scholar] [CrossRef]
- Wu, M.; Li, T.; Wang, P.; Wu, S.; Wang, R.; Lin, J. Dual-encapsulated highly conductive and liquid-free phase change composites enabled by polyurethane/graphite nanoplatelets hybrid networks for efficient energy storage and thermal management. Small 2022, 18, 2105647. [Google Scholar] [CrossRef]
- Jayathunga, D.S.; Karunathilake, H.P.; Narayana, M.; Witharana, S. Phase change material (PCM) candidates for latent heat thermal energy storage (LHTES) in concentrated solar power (CSP) based thermal applications—A review. Renew. Sustain. Energy Rev. 2024, 189, 113904. [Google Scholar] [CrossRef]
- Yadav, A.; Pandey, A.K.; Samykano, M.; Kalidasan, B.; Said, Z. A review of organic phase change materials and their adaptation for thermal energy storage. Int. Mater. Rev. 2024, 69, 380–446. [Google Scholar] [CrossRef]
- Ghodrati, A.; Zahedi, R.; Ahmadi, A. Analysis of cold thermal energy storage using phase change materials in freezers. J. Energy Storage 2022, 51, 104433. [Google Scholar] [CrossRef]
- Zhang, X.; Shi, Q.; Luo, L.; Fan, Y.; Wang, Q.; Jia, G. Research progress on the phase change materials for cold thermal energy storage. Energies 2021, 14, 8233. [Google Scholar] [CrossRef]
- Yang, L.; Villalobos, U.; Akhmetov, B.; Gil, A.; Khor, J.O.; Palacios, A.; Li, Y.; Ding, Y.; Cabeza, L.F.; Tan, W.L.; et al. A comprehensive review on sub-zero temperature cold thermal energy storage materials, technologies, and applications: State of the art and recent developments. Appl. Energy 2021, 28, 116555. [Google Scholar] [CrossRef]
- Deng, J.; Li, X.; Liang, R.; Li, C.; Zhang, G.; Zhou, D.; Deng, Q.; Wu, Z. Investigation on the thermal contact resistance mechanism of a composite phase change material for battery thermal management. ACS Appl. Energy Mater. 2023, 6, 1810–1821. [Google Scholar] [CrossRef]
- Wang, T.; Li, Y.; Zeng, Y.; Zhang, G.; Zhao, G.; Li, X.; Rao, Z. Investigation on the battery thermal management and thermal safety of battery-powered ship with flame-retardant composite phase change materials. J. Energy Storage 2024, 81, 110228. [Google Scholar] [CrossRef]
- Wang, T.; Tong, J.; Li, X.; Wang, S.; Deng, J. Research on morphological control and temperature regulation of phase change microcapsules with binary cores for electronics thermal management. Thermochim. Acta 2021, 70, 179079. [Google Scholar] [CrossRef]
- Du, K.; Calautit, J.; Wang, Z.; Wu, Y.; Liu, H. A review of the applications of phase change materials in cooling, heating and power generation in different temperature ranges. Appl. Energy 2018, 220, 242–273. [Google Scholar] [CrossRef]
- Omara, A.A.M. Phase change materials for waste heat recovery in internal combustion engines: A review. J. Energy Storage 2021, 44, 103421. [Google Scholar] [CrossRef]
- Qin, Z.; Ji, C.; Low, Z.H.; Tong, W.; Wu, C.; Duan, F. Geometry effect of phase change material container on waste heat recovery enhancement. Appl. Energy 2022, 327, 120108. [Google Scholar] [CrossRef]
- Tripathi, B.M.; Shukla, S.K.; Rathore, P.K.S. A comprehensive review on solar to thermal energy conversion and storage using phase change materials. J. Energy Storage 2023, 72, 108280. [Google Scholar] [CrossRef]
- Zhang, Y.; Qi, J.; Xia, J.; Zhai, F.; Dong, L. Visible-light-controlled thermal energy storage and release: A tetra-ortho-fluorinated azobenzene-doped composite phase change material. Molecules 2025, 30, 3576. [Google Scholar] [CrossRef]
- Wang, Y.; Shi, J.; Sheng, L.; Chen, Z. Study on the applicability of photoswitch molecules to optically-controlled thermal energy in different organic phase change materials. Chem. Eng. J. 2023, 456, 141051. [Google Scholar] [CrossRef]
- Mathews, M.; Tamaoki, N. Planar chiral azobenzenophanes as chiroptic switches for photon mode reversible reflection color control in induced chiral nematic liquid crystals. J. Am. Chem. Soc. 2008, 130, 11409–11416. [Google Scholar] [CrossRef]
- Kim, Y.; Mafy, N.N.; Maisonneuve, S.; Lin, C.; Tamaoki, N.; Xie, J. Glycomacrocycle-based azobenzene derivatives as chiral dopants for photoresponsive cholesteric liquid crystals. ACS Appl. Mater. Interfaces 2020, 12, 52146–52155. [Google Scholar] [CrossRef]
- Han, G.G.D.; Li, H.S.; Grossman, J.C. Optically-controlled long-term storage and release of thermal energy in phase-change materials. Nat. Commun. 2017, 8, 1446. [Google Scholar] [CrossRef]
- Han, G.G.D.; Deru, J.H.; Cho, E.N.; Grossman, J.C. Optically-regulated thermal energy storage in diverse organic phase-change materials. Chem. Commun. 2018, 54, 10722–10725. [Google Scholar] [CrossRef]
- Liu, H.; Tang, J.; Dong, L.; Wang, H.; Xu, T.; Gao, W.; Zhai, F.; Feng, Y.; Feng, W. Optically triggered synchronous heat release of phase-change enthalpy and photothermal energy in phase-change materials at low temperatures. Adv. Funct. Mater. 2020, 11, 2008496. [Google Scholar] [CrossRef]
- Alva, G.; Huang, X.; Liu, L.; Fang, G. Synthesis and characterization of microencapsulated myristic acid–palmitic acid eutectic mixture as phase change material for thermal energy storage. Appl. Energy 2017, 203, 677–685. [Google Scholar] [CrossRef]
- Zeng, J.L.; Zhu, F.R.; Yu, S.B.; Xiao, Z.L.; Yan, W.P.; Zheng, S.H. Myristic acid/polyaniline composites as form stable phase change materials for thermal energy storage. Sol. Energy Mater. Sol. Cells 2013, 114, 136–140. [Google Scholar] [CrossRef]
- Wang, G.; Yuan, D.; Yuan, T.; Dong, J.; Feng, N.; Han, G. A visible light responsive azobenzene-functionalized polymer: Synthesis, self-assembly, and photoresponsive properties. J. Polym. Sci. Pol. Chem. 2015, 53, 2768–2775. [Google Scholar] [CrossRef]
- Yang, Q.; Ge, J.; Qin, M.; Wang, H.; Yang, X.; Zhou, X.; Zhang, B.; Feng, Y.; Feng, W. Controllable heat release of phase-change azobenzenes by optimizing molecular structures for low-temperature energy utilization. Sci. China Mater. 2023, 66, 3609–3620. [Google Scholar] [CrossRef]
- Tang, S.; Zhang, Y.; Xia, J.; Qi, J.; Tang, F.; Zhai, F.; Dong, L. A tetra-ortho-chlorinated azobenzene molecule for visible-light photon energy conversion and storage. Molecules 2025, 30, 2333. [Google Scholar] [CrossRef] [PubMed]
- Sin, S.L.; Gan, L.H.; Hu, X.; Tam, K.C.; Gan, Y.Y. Photochemical and thermal isomerizations of azobenzene-containing amphiphilic diblock copolymers in aqueous micellar aggregates and in film. Macromolecules 2005, 38, 3943–3948. [Google Scholar] [CrossRef]
- Gür, M.; Gürgenç, E.; Coşanay, H.; Öztop, H.F. Novel nano-Y2O3/myristic acid nanocomposite PCM for cooling performances of electronic device with various fin designs. J. Energy Storage 2024, 100, 113646. [Google Scholar] [CrossRef]
- Feng, D.; Zhou, B.; Zhang, X.; Feng, Y. Effective thermal management enabled by encapsulation of phase change myristic acid in silica shells for coatings: Experimental and molecular dynamics studies. Energy 2024, 313, 133865. [Google Scholar] [CrossRef]









| Code | Crystalization | ||
|---|---|---|---|
| Tc (°C) | ΔTc (°C) | ||
| Before UV Irradiation (Trans-Rich) | After UV Irradiation (Cis-Rich) | ||
| C14Azo-MA-1/C14Azo-MA-1′ | 41.67 | 41.67 | - |
| C14Azo-MA-2/C14Azo-MA-2′ | 43.67 | 39.67 | - |
| C14Azo-MA-3/C14Azo-MA-3′ | 47 | 41.67 | - |
| C14Azo-MA-1-C14Azo-MA-1′ a | - | - | 0 |
| C14Azo-MA-2-C14Azo-MA-2′ b | - | - | 4 |
| C14Azo-MA-3-C14Azo-MA-3′ c | - | - | 5.33 |
Disclaimer/Publisher’s Note: The statements, opinions and data contained in all publications are solely those of the individual author(s) and contributor(s) and not of MDPI and/or the editor(s). MDPI and/or the editor(s) disclaim responsibility for any injury to people or property resulting from any ideas, methods, instructions or products referred to in the content. |
© 2025 by the authors. Licensee MDPI, Basel, Switzerland. This article is an open access article distributed under the terms and conditions of the Creative Commons Attribution (CC BY) license.
Share and Cite
Jiang, Y.; Chen, J.; Guo, Y.; Liu, R.; Wang, H.; Huang, J.; Luo, W. Harnessing Both Phase Change and Isomerization: High-Energy-Density Azobenzene-Composites for Efficient Solar Energy Storage. Molecules 2026, 31, 115. https://doi.org/10.3390/molecules31010115
Jiang Y, Chen J, Guo Y, Liu R, Wang H, Huang J, Luo W. Harnessing Both Phase Change and Isomerization: High-Energy-Density Azobenzene-Composites for Efficient Solar Energy Storage. Molecules. 2026; 31(1):115. https://doi.org/10.3390/molecules31010115
Chicago/Turabian StyleJiang, Yan, Jiawei Chen, Yupeng Guo, Rui Liu, Hai Wang, Jin Huang, and Wen Luo. 2026. "Harnessing Both Phase Change and Isomerization: High-Energy-Density Azobenzene-Composites for Efficient Solar Energy Storage" Molecules 31, no. 1: 115. https://doi.org/10.3390/molecules31010115
APA StyleJiang, Y., Chen, J., Guo, Y., Liu, R., Wang, H., Huang, J., & Luo, W. (2026). Harnessing Both Phase Change and Isomerization: High-Energy-Density Azobenzene-Composites for Efficient Solar Energy Storage. Molecules, 31(1), 115. https://doi.org/10.3390/molecules31010115

