Next Article in Journal
Storage Time in Bottle: Influence on Physicochemical and Phytochemical Characteristics of Wine Spirits Aged Using Traditional and Alternative Technologies
Previous Article in Journal
Synthesis and Biological Screening of Structurally Modified Phaeosphaeride Analogues
Previous Article in Special Issue
Comparative Evaluation of Cytotoxic and Apoptotic Effects of Natural Compounds in SH-SY5Y Neuroblastoma Cells in Relation to Their Physicochemical Properties
 
 
Font Type:
Arial Georgia Verdana
Font Size:
Aa Aa Aa
Line Spacing:
Column Width:
Background:
Review

A Comprehensive Review of the Phenolic Compounds in Dracocephalum Genus (Lamiaceae) Related to Traditional Uses of the Species and Their Biological Activities

by
Izabela Weremczuk-Jeżyna
and
Izabela Grzegorczyk-Karolak
*
Department of Biology and Pharmaceutical Botany, Medical University of Lodz, 90-151 Lodz, Poland
*
Author to whom correspondence should be addressed.
Molecules 2025, 30(9), 2017; https://doi.org/10.3390/molecules30092017
Submission received: 29 March 2025 / Revised: 26 April 2025 / Accepted: 28 April 2025 / Published: 30 April 2025
(This article belongs to the Special Issue Biological Activity of Plant Extracts)

Abstract

The genus Dracocephalum (family Lamiaceae) comprises approximately 70 species, many of which have been traditionally used in various ethnomedical systems. The plants exhibit a broad distribution across steppe, semi-deserts, deserts, and alpine zones of temperate Eurasia, with isolated endemic species occurring in North America and North Africa. The traditional medicinal uses of the Dracocephalum species encompass the treatment of respiratory diseases, colds and fever, gastrointestinal disorders, liver and gallbladder ailments, musculoskeletal conditions, cardiovascular diseases, diabetes, gynecological and urological disorders, as well as ailments of the ears, throat, mouth, and eyes, as well as various dermatological conditions. The plants are rich sources of polyphenolic compounds, including flavonoids and phenolic acids, which contribute to their diverse pharmacological activities. The flavonoid profile of the Dracocephalum species is dominated by luteolin and apigenin derivatives, supplemented by mono-, di-, tri-, tetra-, and pentamethoxylated flavones. The predominant phenolic acids are chlorogenic acid, coumaric acid, rosmarinic acid, and their derivatives. Other phenolic compounds have also been identified in the genus: anthocyanins, lignans, phenylethanoids, phenylacetamide glycosides, flavonoid alkaloids, gingerols, coumarins, furanocoumarins, and cyanogenic glucosides. Despite growing scientific interest in this genus, a comprehensive review of its polyphenolic constituents, their structures, and associated biological activities remains lacking. To bridge this gap, this review presents an analysis of the polyphenolic profile of the Dracocephalum species, their ethnomedicinal uses, and the latest findings on their biological potential.

Graphical Abstract

1. Introduction

Medicinal plants have been integral to traditional remedies for millennia, serving as a natural source of bioactive compounds. Advances in science and technology have facilitated the development of innovative formulations of herbal drugs and the extraction of valuable metabolites, which hold promise for use in various therapies, either as alternatives to synthetic drugs or as complementary treatments [1]. Recent years have seen growing interest in plants that yield valuable raw materials and medicinal compounds, particularly those utilized in traditional and local therapies [1].
The Lamiaceae family comprises an exceptional diversity of medicinal species with traditional applications. Prominent genera within this family, such as Salvia, Mentha, and Lavandula, are well documented for their therapeutic value [2]. Another noteworthy genus in this family is Dracocephalum, encompassing medicinal and aromatic plants primarily used in traditional medicine.
The genus Dracocephalum comprises approximately 60–70 species native to the Northern Hemisphere, with a significant concentration in the temperate regions of Asia. Most species are distributed in China, with additional occurrences in Europe, Africa, and North America. The plants are perennial, and occasionally annual, and thrive in steppes, semi-arid areas, and mountainous regions at elevations of up to 5200 m above sea level [3,4].
Several Dracocephalum species are key components of traditional herbal formulations, particularly in the traditional medicine of the Tibetan region, China, Mongolia, India, and Pakistan [5,6,7], as well as in Iran [8]. These plants are commonly used to manage conditions such as respiratory diseases, asthma, colds and fever, stomach disorders, hypertension, and heart disease [3,5,9]. Dracocephalum species are also employed to alleviate pain and treat dental ailments. In addition to their medicinal applications, some species also serve as food ingredients [10,11]. The benefits of Dracocephalum herbal remedies are primarily appreciated within local communities, and most lack scientific documented evidence of therapeutic effectiveness [5]. However, in recent years, increasing data on their metabolites and pharmacological activities have become available [3].
Phytochemical investigations of Dracocephalum species have identified approximately 500 bioactive compounds. These metabolites span various phytochemical classes, including essential oil, flavonoids, phenylpropanoids, lignans, monoterpenes, diterpenoids, triterpenoids, furanocoumarins, alkaloids, quinones, anthocyanins, and stilbenes [3,12]. Among these, the phenolic compounds are particularly notable, as they significantly contribute to the biological and pharmacological properties of the genus. Studies have confirmed that Dracocephalum species demonstrate antioxidant, anti-inflammatory, antimicrobial, anticancer, cardioprotective, and hepatoprotective effects [3,13,14].
This review provides a comprehensive analysis of the genus Dracocephalum, focusing on its phenolic composition, its traditional uses, and biological activities. It includes a detailed characterization of the most widely known and widely studied species. By synthesizing recent advancements and identifying research gaps, this work aims to highlight the therapeutic potential of the Dracocephalum species and their prospective applications in modern medicine, thus indicating directions for future research [15,16,17].

2. Literature Survey Databases

This review provides an analysis of the Dracocephalum genus, focusing on its traditional uses and phytochemical composition, as well as data from in vitro and in vivo studies of plant extracts and pure phenolic compounds isolated from Dracocephalum. It also discusses the pharmacological potential of these compounds. Relevant studies were identified using the Scopus, PubMed, ScienceDirect, and Google Scholar databases, including data published between 1954 and 2024. The search used the following keywords in combination with Dracocephalum: morphology, geographical distribution, traditional medicine, folk medicine, secondary metabolites, bioactive metabolites, flavonoids, phenolic acids, lignans, phenylethanoids, polyphenols, anthocyanidins, in vitro and in vivo studies, toxicity, antioxidative, anti-inflammatory, anticancer, antidepressant, sedative, antispasmotic, antimicrobial, antiviral, cytotoxic, cardioprotective, hepatoprotective, and neuroprotective potential. All included articles focused on Dracocephalum species, and were published in international journals.
The exclusion criteria comprised publication in a language other than English, abstracts without full text, duplicate articles and dissertations, and studies on species with only a single report or those limited to local journals, even if published in English; in addition, studies that investigated the activity of metabolites that had been purchased, i.e., the compounds were reported to have been once detected in Dracocephalum but they were not isolated from the genus in the described study. After initial exclusions, all inclusion and exclusion criteria were re-verified due to similarities, lack of relevance, or imprecise information, resulting in a final analysis of over 170 sources.

3. Botanical Description of Dracocephalum spp.

Dracocephalum is a heterogeneous genus comprising species with either erect or prostrate stems. The leaves are elongated, petiolate at the stem base, and transition to short-petiolate or even sessile as they progress upward. The leaf lamina is often oblong, ovate, or lanceolate, with margins that may be entire, crenate, or serrate. Verticillasters are arranged in dense capitula, spikes, or are widely spaced. The calyx is tubular or campanulate-tubular, straight, or slightly curved. The corolla is two-lipped, with the lower lip three-lobed (the middle lobe being the largest) and the upper lip straight or slightly curved, slender at the base, and dilated at the throat. It typically contains four stamens, with the posterior two longer than the anterior pair. The flowers are usually blue-purple, with rare occurrences of white. The seeds are oblong, smooth, and sometimes mucilaginous.
While no universally accepted division of Dracocephalum currently exists, Chen et al. [18] propose an infrageneric classification which recognizes nine categories based on molecular phylogenetic and morphological evidence. Most of the species described in our review were included in their analysis.
The species of Clade A are widely distributed from North America to the Sino-Japanese region and Siberia, and across Central Asia and Europe. The members are generally heterogeneous with regard to their vegetative and floral features. However, all share trigonous-ovate fruits with truncate bases and straight areoles. Of the species with therapeutic potential, D. ruyschiana belongs to Clade A.
The species of Clade B are mainly distributed in Central Asia. Most have a distinctive posterior calyx lip, with the three teeth almost equal in size and only half as long as the posterior lip. The clade is represented in the review by D. peregrinum.
Clade C can be distinguished by the following combination of characters: unbranched stems, long-petiolate basal leaves, stem leaves similar to basal, but smaller with shorter petioles, dense and capitulum-like inflorescences, and broadly ovate bracts. Most of these species are distributed in alpine areas in Central Asia and the Qinghai–Tibetan Plateau and adjacent regions. The clade includes D. rupestre, among others.
Clade E consists of two subclades, one of which is mainly distributed in Central and West Asia to North Africa, and the other from Central to East Asia and Siberia; the clade includes inter alia D. moldavica, D. foetidum, D. kotschyi, D. subcapitatum, and D. heterophyllum.
Clade H includes species distributed in the Qinghai–Tibetan Platea region. The plants are erect without basal leaves, and are characterized by pinnatipartite to pinnatisect laminae, slightly two-lipped calyces with subequal lanceolate lobes, and a corolla with an erect or bent posterior lip. The clade is represented in the review by D. tanguticum.
Clade I is mainly distributed in West and Central Asia and Siberia, with a few species reported in the far east of Russia. They have either cellular or reticulate fruit surfaces. The representative species in this review is D. palmatum. Among the species selected for our review, D. multicaule and D. polychaetum were not included in the analysis by Chen et al. [18].
Characteristic features of the above-mentioned species discussed in the review are presented in Table 1.

4. Traditional Uses of Some Dracocephalum Species

In many countries, traditional herbal medicine serves as the primary form of therapy, and traditional drugs are often used to develop new pharmaceutical preparations. The Dracocephalum species described in our review are key constituents of traditional herbal formulas and are practically limited to their natural ranges. These species are mainly used in the traditional medicine of the Tibetan region, in China, Mongolia, India, Kazakhstan, and Pakistan, as well as in Iran and Mexico.
One of the most frequently described species of Dracocephalum is D. moldavica, commonly known as Moldavian balm, Moldavian dragonhead, Badershboo, or Turkish Melissa (Table 2). This plant is endemic to Central Asia (Xinjiang, China) and grows naturally in Iran, Mongolia, Egypt, and Mexico. It has also been naturalized in Western and Central Europe [10,29,30]. In these regions, the plant is traditionally used as an analgesic for neuralgia, migraines, headaches, and toothaches. Additionally, it is recognized for its use in the treatment of gastric and liver disorders, as well as coughs and asthma [10,31]. In traditional Chinese medicine, D. moldavica has been clinically proven to be effective in treating cardiovascular diseases, coronary heart disorders, and hypertension [31,32]. It is a primary component in several clinical preparations, including Yixin Badiranjibuya Granule, Niuhuang Shisanwei, Liganhewei pills, and Qinggan Qiwei powder [3]. In Mexican ethnomedicine, D. moldavica is used as a tranquilizer and to relieve nervous conditions [30]. Moldavian balm is also utilized as a food ingredient and can be consumed as tea [10,33].
D. foetidum, locally known as Omkhii Shimeldeg and Briyangu, is used by Mongolian nomads for the treatment of oral cavity diseases, rheumatoid arthritis, and wounds. The leaves and flowers of D. foetidum have demonstrated antibacterial and antifungal activities. Moreover, the flowers are used as a remedy for fever and suppurative diseases. The plant is also used for washing the face and hands [7,34].
In Mongolian ethnomedicine, D. ruyschiana is also an important plant. This species is considered a relict that migrated from the Russian and Asian steppes to Europe during the warm and dry interglacial periods [35]. In Europe, it is a rare but widely distributed species, primarily found in the central part of the continent, with its range extending northward to Norway and Sweden and southward to the Alps, Dinaric Alps, Carpathians, and Pyrenees [36]. D. ruyschiana is listed under the Bern Convention and has been assessed as Least Concern (LC) in the European Red List of Vascular Plants [37]. It is considered threatened in Norway [38] and either threatened or critically endangered in most southern European mountain ranges [35,39,40,41]. The aerial parts of D. ruyschiana are traditionally used for the treatment of gastric ulcers, diarrhea, and rheumatoid arthritis. They are also applied for acute respiratory infections, laryngitis, and headaches [42]. In Kazakh folk medicine, this plant is used for respiratory diseases, as an antipyretic agent, for general weakness, and as a remedy to enhance potency [43].
D. heterophyllum is distributed in the Xinjiang region, particularly abundant in the Autonomous Prefecture of Tuckar Kyrgyzstan, the Tibetan regions of China, and Inner Mongolia [44]. This plant has several traditional names, including Ao-Ga, Ji-Mei-Qing-Bao, Zupal, Shimthigle, B. Paul (Tibetan name), and Xinjiang Uighur Mar Xan Gusi [45]. In traditional Uygur and Tibetan medicine, D. heterophyllum is used for the treatment of jaundice and hepatitis. The fresh crushed leaves exhibit antimicrobial properties and are applied for the healing of purulent wounds and oral cavity ulcers [46]. Additionally, a decoction of dried flowers and leaves is effective for colds [6], digestive problems, and appetite stimulation [47]. An infusion made from the aerial parts is also used for heart palpitations, neuralgia, migraines, headaches, and symptoms of catarrhal diseases [48]. D. heterophyllum is also recognized as a medicinal plant in northern India, where it is traditionally known as “Shimthigle”. This species inhabits regions such as Jammu, Kashmir, Himachal Pradesh, Uttaranchal, and Sikkim at altitudes of 3000–5200 m above sea level. Traditionally, the leaf extract of D. heterophyllum is used for treating eye ailments, including redness, irritation, and conjunctivitis [49].
In the western regions of China, the aerial parts of D. tanguticum (commonly known as Zhing-Yang-Gu, Ganqingqinglan, or Tangguteqinglan) are widely used as a herbal treatments. This plant is traditionally employed for the treatment of liver and stomach diseases, arthritis, and hemorrhoids [50]. It is also considered effective in combating fever, pneumonia, and flu. Additionally, D. tanguticum has been used in the treatment of wounds, edema, sores, and scabies [51,52].
Traditional Asian phytomedicine also makes wide use of D. palmatum, known as tánara ótó (тaңapa oтo) in North Yakutia (Siberia). The young shoots and flowers of D. palmatum serve as a chloretic remedy and are employed in the treatment of gastrointestinal tract disorders, gastropathies, and hepatitis [25]. Moreover, this species is utilized in the folk medicine of China and Tibet for the treatment of asthma and bronchitis. D. palmatum also acts as a diuretic agent and is used in the treatment of alcoholism. In the food industry, the plant is a component of spices and teas [25,53].
An interesting but little-known species is D. peregrinum, traditionally named Tekanbasjelanbas or Tikanbasgarambas. The plant is widely distributed in northern China. It is used in Kazakh folk medicine to treat colds, exhibiting anti-cough, expectorants and, to some degree, anti-asthmatic effects. It is also employed in the treatment of liver diseases [54].
D. rupestre is distributed throughout northern China and Korea [55,56]. The herb is an ingredient in traditional Chinese medicine, with documented pharmacological benefits including antioxidant and antitumor activities, as well as liver-protective properties. It is primarily used to treat headaches, fever, jaundice, and liver toxicity [57,58]. Additionally, D. rupestre is consumed as Maojian tea in the provinces of Hebei and Shanxi, China [58].
D. kotschyi (Badrandjboie-Dennaie or Zarrin-Giah) is an endemic aromatic plant in Iran. In folk medicine, this plant has been used to treat gastrointestinal and liver disorders, as well as to relieve pain and manage kidney complications. The aerial parts of D. kotschyi are traditionally used as additives to improve the taste and scent of tea and yogurt, and as a spice for meat and fish [8,11].
D. multicaule (Palang Moshk or Zarrin Giah) is widely distributed in the northwestern region of Iran and is used in traditional medicine as a remedy for cardiovascular diseases, including angina, hypertension, and atherosclerosis [59]. The plant is also used for the treatment of colds and gastrointestinal disorders. D. polychaetum is also native to Iran and grows exclusively in the Kerman province. In traditional medicine, the herb, locally named Mofaroo, is used to relieve toothache, treat colds and kidney disorders, and as a sedative. Additionally, it is applied as a carminative and is used in the treatment of digestive and liver disorders [60].
D. subcapitatum is considered dominant in Iran in the Mount Missinou and Mount Akhordag regions, and the people of North Khorasan province use the plant in folk medicine, primarily as an antihyperlipidemic and antidiabetic agent [61,62].
Other little-known species of Dracocephalum used locally as medicinal agents include D. fructiculosum, D. botrytoides, D. forrestii, and D. komarovii [3].
The most important traditional uses of Dracocephalum species products, along with the regions where they are used in medicine, are summarized in Table 2.
Table 2. Traditional uses selected Dracocephalum species.
Table 2. Traditional uses selected Dracocephalum species.
SpeciesTraditional Name or Name of DrugsRegion of Folk Medicinal ApplicationTraditional IndicationsReferences
D. foetidumOmkhii Shimeldeg, Briyangu, Fetid Dragonhead,
*Tsarvon-4, *Bragshun-9, *Elegnii gurgum-7, *Anar-8, *Bavu-7, *Chun-9, *Chagdar, *Sarichun, *Jonsh-21, *Zandan -8, *Briyagu-9, *Gavar-13, *Yanjima-25,
MongoliaFungal and bacterial skin infections, stomatitis, rheumatic edema, and fever[7,34]
D. heterophyllumAo-Ga, Ji-Mei-Qing-Bao, Zupal, Shimthigle, B. Paul (Tibetan name), Xinjiang Uighur Mar Xan Gusi, Jizi QingbaoProvinces of China (Sichuan, Qinghai–Tibet Plateau, Sitsang, Qinghai, Sinkiang, Xinjiang, Neimenggu Gansu), India (Jammu, Kashmir, Himachal Pradesh, Uttaranchal, and Sikkim), India (Ladakh)Asthma, cough, hepatitis, icterohepatitis, eye ailments (e.g., redness, irritation, conjunctivitis), mouth ulcers and tooth diseases, colds, heart palpitations, neuralgia, migraine, and lack of appetite[45,46,47,48,49,63]
D. kotschyiBadrandjboie-dennaie, Zarringiah, Zarrin-GiahIran (Alborz mountains, north of Khorasan)Headache and toothaches, congestion, rheumatoid arthritis, liver and stomach disease; additive to improve the taste and scent of dishes[8,11,64,65,66]
D. moldavicaMoldavian balm, Moldavian dragonhead, Toronjil azul, Toronjil chino, Xiang qing lan, Yixin Badi Ran Gibuya, BadiRanjibuya, Badrashbi, Baeiranjiboya, Melissa moldavica, Badrashboo Qinggan, *Qiwei powder, *Niuhuang, *Shisanwei pill, *Liganhewei pill, *Yixin Badiranjibuya GranulesCentral, Eastern, and Nordic Europe, Siberia, Mongolia, China (Gansu, Hebei, Heilongjiang, Henan, Jilin, Liaoning, Nei Mongol, Qinghai, Shaanxi, Shanxi) Mexico, Northern and Northwestern Iran, North AmericaCoronary heart disease, hypertension and angina, pain (neuralgia, migraine, headache, or toothache), gastric, liver disorders, hyperactivity, and nervousness[3,10,31,33,67,68,69,70,71,72,73,74]
D. multicaulePalang moshk, Zarrin giah, ZeravihiIranCardiovascular diseases: hypertension, atherosclerosis, angina, cold, gastrointestinal disorders[59,75,76,77]
D. palmatumTánara ótó, Palmate dragonheadNorth Yakutia (Siberia),
Russian Far East
Gastro-intestinal tract disorders, as diuretic and choloretic remedy, alcoholism; spice and tea[25,53,78]
D. peregrinumTekanbasjelanbas, TikanbasgarambasChina, KazakhstanCough, asthma[54]
D. polychaetumMafaroo, Zarro, Badranjboyeh KermaniIran (Kerman province)Hyperlipidemia, inflammatory and infectious diseases, cancer, oxidative stress, indigestion, colic, stomachache, and musculoskeletal pain[60,79]
D. rupestreMaojian teaChina (Liaoning, Hebei, Nei Mongol, Shanxi, Qinghai, Shanxi), KoreaHeadache, fever, jaundice and hepatitis, and damp-heat[56,80]
D. ruyschianaNorthern dragonheadRussian and Asian steppes, Kazahstan, Mongolia, EuropeGastric ulcers, laryngitis, acute respiratory infection, diarrhea, rheumatoid arthritis, and headache[35,43,81,82]
D. subcapitatum Iran (Northeastern Khorasan)Hyperlipidemia, diabetes[61,62]
D. tanguticumZhi yang ge, Ganqingqinglan, TangguteqinglanQinghai–Tibet Plateau, western region of ChinaGastritis, hepatitis and hepatitis B virus, dizziness, rheumatoid arthritis, hypoxia, ulcers, hemorrhoids, and scabies[51,83,84,85,86]
*—name of commercial drugs.

5. Phenolic Compounds from Dracocephalum Species

Some Dracocephalum species have been qualitatively screened to identify the phytochemical components responsible for their ethnomedicinal properties. These plants contain bioactive compounds such as phenylethanoids, anthocyanins, lignans, monoterpens, diterpenoids, triterpenoids, furanocoumarins, alkaloids, quinones, and stilbenes [26,29,48,86,87,88,89]. However, the most frequently reported compounds in Dracocephalum are flavonoids and phenolic acids. Numerous studies have demonstrated that these phytochemicals are the key contributors to the biological and pharmacological activities of the Dracocephalum species. In addition to the traditional use of plant products in therapy, plant-derived compounds with established biological activities can play a crucial role in the discovery of novel drugs. Current analyses indicate that natural products remain the best option for the development of innovative therapeutics for various medical conditions [90].

5.1. Phenolic Acids

Most of the phenolic acids in the Lamiaceae family are classified as derivatives of hydroxybenzoic or hydroxycinnamic acid [91]. Phytochemical studies of Dracocephalum species have identified more than fifty compounds of this type (Figure 1, Table S1).
Benzoic acids with hydroxy- and methoxy- substituents, such as 2-hydroxybenzoic acid (1), 4-hydroxybenzoic acid (2), 3-hydroxybenzoic acid (3), 3,4-dihydroxybenzoic acid (4), 3-methoxy-4-hydroxybenzoic acid (5), 2-hydroxy-4-methoxy-3,6-dimethylbenzoic acid (6), gallic acid (7), methylgallic acid (8), and β-glucogallin (1-galloyl-β-D-glucoside) (9), have been identified in extracts from the aerial parts of D. heterophyllum (1,5) [92], D. moldavica (2,3,4,7) [93], D. kotschyi (2,7), D. polychaetum (2,7) [13], D. palmatum (2,8,9), and D. ruyschiana (6) [26]. In an extract from D. peregrinum, 4-(β-D-glucosylo)benzoic acid (10) [94] was identified, while methylparaben (methyl p-hydroxybenzoate) (11) was identified in D. moldavica [29].
Ferulic acid (12) was detected in the aerial parts of D. kotschyi, D. moldavica, D. polychaetum, D. peregrinum, and D. ruyschiana [10,13,42,94], while a derivative of ferulic acid, 1′-methyl-2′-hydroxyethyl ferulate (13), was observed in D. peregrinum [94]. Additionally, p-coumaric acid (14) was identified in D. kotschyi, D. moldavica, D. peregrinum, D. polychaetum, D. ruyschiana, and D. tanguticum [10,13,42,94,95]. Extracts obtained from the aerial parts of D. ruyschiana demonstrated coumaric acid derivatives such as methyl p-coumaric acid (15), 1-O-(4-coumaroyl)-glucoside (16), three benzy-(coumaryl)-glucosides (1719), and 3-p-coumaroyl-5-caffeoylquinic acid (20) [26,43] (Table 3).
Caffeic acid (21) was identified in the aerial parts of D. moldavica, D. palmatum, D. peregrinum, and D. ruyschiana [10,25,26,94]. A hexoside derivative of caffeic acid (22) was detected in D. heterophyllum, D. ruyschiana, and D. palmatum [26,87], while its ethyl and methyl esters (23,24) were identified in D. palmatum (23) and D. peregrinum (24) [26,94]. The ester of caffeic acid and shikimic acid (caffeoylshikimic acid) (25) was isolated from the aerial parts of D. ruyschiana [26].
Among the various metabolites identified in the study, the ester of caffeic acid and quinic acid, 3-O-caffeoylquinic acid, commonly known as chlorogenic acid, was widely distributed in Dracocephalum (26). This compound was identified in the aerial parts of D. kotschyi, D. moldavica, D. palmatum, D. peregrinum, D. polychaetum, and D. ruyschiana [10,13,25,42,94], while its methyl ester (27) was found in D. tanguticum [95]. Additionally, two dicaffeoylquinic acids were (28,29) identified in extracts from the aerial parts of D. ruyschiana [42].
Caftaric acid (caffeoyl tartaric acid) (30) and cichoric acid (dicaffeoyltartaric acid) (31) were reported for the first time in Dracocephalum plants in the herb of D. palmatum [25].
The ester of caffeic acid and 3-(3,4-dihydroxyphenyl)lactic acid, i.e., rosmarinic acid, is widespread in the Lamiaceae family (32) and was also recognized in some Dracocephalum species: D. foetidum, D. heterophyllum, D. kotschyi, D. moldavica, D. palmatum, D. polychaetum, and D. tanguticum [7,10,13,25,85,92,96]. Furthermore, three esters of rosmarinic acid, methyl rosmarinate (33), ethyl rosmarinate (34), and butyl rosmarinate (35), were reported in D. foetidum (33), D. heterophyllum (33,34), D. moldavica (33,34), and D. tanguticum (33,35) [7,92,95,97]. Additionally, sodium rosmarinate (36) and glucoside of rosmarinic acid (slaviaflaside) (37) were identified in D. moldavica (36,37), and D. foetidum (37) [7,69]. Several rare derivatives of rosmarinic acid, apart from rosmarinic acid glucoside, were also detected in D. foetidum aerial parts, including 3-(6-synapoyl-β-D-glucosyl)-rosmarinic acid (38), 3-(6-feruloyl-β-D-glucosyl)-rosmarinic acid (39), 4-O-(8-isoferuloyl)-rosmarinic acid (40), and 3-(6-malonyl-β-D-glucosyl)-rosmarinic acid (41) [7].
D. foetidum was found to contain a caffeic acid trimer (42) [7], while the tetramer, rabdosiin, was reported in D. moldavica (43), along with its sodium (44) and methyl derivatives (45) [69]. In addition, 3-(3,4-dihydroxyphenyl)-2-hydroxypropanoic acid, also known as danshensu (46), was isolated from an aqueous extract of D. moldavica [69].
Ellagic acid (47), a dimer of gallic acid, was described in extracts from D. moldavica and D. ruyschiana [26,98]. Other polyphenolic acids identified in D. palmatum include salvianolic acid B (48), salvianolic acid G (49), salvianic acid C (50), and prolithospermic acid (51) [25,26]. Additionally, salvianolic acid B was detected in D. moldavica, D. palmatum, and D. tanguticum [25,99].

5.2. Flavonoids

Zeng et al. [12] reported the presence of about 50 flavonoids in the genus Dracocephalum, among other secondary metabolites. Studies conducted over the last decade have provided more detailed information on these active compounds in the Dracocephalum species with medicinal uses. For the Dracocephalum species described in this review around 150 flavonoid compounds were reported (Figure 2, Figure 3, Figure 4, Figure 5, Figure 6, Figure 7, Figure 8, Figure 9, Figure 10, Figure 11, Figure 12, Figure 13 and Figure 14). The species in Dracocephalum often exhibit hydroxylated flavones, mainly luteolin, diosmetin, apigenin and acacetin, and their glycosides; these constituents, particularly with substitution types 5,7,4′ and 5,7,3′,4′, are specific to this genus [25]. Also, mono-, di-, tri-, tetra-, and pentamethoxylated flavones are characteristic to the Dracocephalum species [100] (Table S1).

5.2.1. Flavone Derivative

Among the dihydroxyflavones, chrysin (5,7-dihydroxyflavone-6-C-glucoside) (52) and its glucuronide (53) were identified in D. ruyschiana [26], while 7,4′-dihydroxyflavone (54) was detected in D. moldavica [101] (Figure 2).
Apigenin (5,7,4′-trihydroxyflavone) (55), a flavone widely distributed in Dracocephalum and in other genera of the Lamiaceae family, and its derivatives are summarized in Figure 3. Apigenin 7-O-β-D-glucoside (56) has been identified in the aerial parts of D. kotschyi, D. moldavica, D. multicaule, D. palmatum, D. rupestre, D. ruyschiana, and D. tanguticum [10,11,25,26,55,100,102]. Derivatives of apigenin 7-O-β-D-glucoside with additional acyl and malonyl groups (57,58) at the C-6″ position were identified in D. palmatum (57,58) and D. foetidum (58) [7,103] (Table S1).
Apigenin-7-O-galactoside (59) was detected in an extract of D. moldavica [104], while apigenin-7-O-β-D-glucuronide (60) was reported in extracts from D. moldavica, D. ruyschiana, and D. foetidum [7,26,105]. Apigenin substituted with an O-(α-L-rhamnosyl)-(1→6)-glucosyl moiety at position 7 via a glycosidic linkage, named apigenin-7-O-rutinoside (isorhoifolin) (61), was identified in D. palmatum and D. heterophyllum [53,92]. Additionally, apigenin C7 polyglycoside was found in the aerial parts of D. ruyschiana (62) [42].
Apigenin C6 and C8 diglycosides (63,64) were isolated from the aerial parts of D. ruyschiana [26]. Furthermore, apigenin glycosides positioned at C4′ (65,66) and C5 (67) were found in D. kotschyi (65,66) [96,106], D. palmatum (68) [26], and D. multicaule (67) [100]. Other apigenin derivatives detected in the Dracocephalum species include apigenin-7,4′-dimethyl ether (68) in D. palmatum and apigenin-7-sulfate in D. ruyschiana (69) [26].
Luteolin (5,7,3′,4′-tetrahydroxyflavone) (70) is a well-known bioactive flavone. It is commonly found in the Lamiaceae family and widely distributed throughout Dracocephalum, together with its derivatives. They have been detected in all described species except D. foetidum (Table S1) (Figure 4).
The most extensive group of luteolin glycosides include a sugar moiety, connected via an oxygen atom at the C7 position. The most common glycoside is cynaroside (luteolin-7-O-β-D-glucoside) (71) which has been identified in D. kotschyi, D. moldavica, D. multicaule, D. palmatum, D. peregrinum, D. rupestre, and D. tanguticum [26,55,94,96,100,102,105]. In Dracocephalum species, derivatives of luteolin-7-O-glucosides with additional groups at the C6″ position have also been identified. These include acetyl or malonyl groups (72,73) in D. palmatum [103] and a ferulyl group in D. peregrinum (74) [94].
Luteolin substituted with O-β-rhamnosyl-(1→2)-glucoside at position 7, referred to luteolin 7-O-β-D-neohesperidoside (75), was found in D. moldavica [105] (Figure 4). Olennikov and Chirkova [107] isolated rarely occurring luteolin diglycosides and polyglycosides from the aerial parts of D. palmatum, including luteolin-7,4′-di-O-glucoside (76), luteolin-7-O-rutinoside (77), luteolin-7-O-rutinoside -4′-O-glucoside (78), and luteolin-7,4′-di-O-neohesperidoside (79). These were accompanied by luteolin substituted with neohesperidoside at position 7 and 4-O-β-glucosyl-(1→2)-glucoside at position 4′, thus forming luteolin-7-O-neohesperidoside-4′-O-sophoroside (80). Additionally, luteolin-7,4′-di-O-rutinoside (dracopalmaside) (81) was identified for the first time in this species [107]. Luteolin-7-O-rutinoside was also detected in D. heterophyllum and D. peregrinum [92,94].
Three other luteolin diglycosides, luteolin-7-O-β-D-glucosyl-D-glucoside (82), luteolin-7-O-α-L-arabinosyl-(1→6)-β-D-glucoside (83), and luteolin-7-O-β-D-xylosyl-(1→6)-β-D-glucoside (84), were identified in D. tanguticum [50], whereas luteolin-7-O-β-D-glucuronide (85) was found in D. foetidum, D. moldavica, and D. ruyschiana [7,26,105], and its ethyl ester (86) and the luteolin-7-methoxy-3′-O-(3″-O-acetyl)-β-D-glucuronide-6″-methyl ester (87) were identified in D. tanguticum [102,108] (Table S1).
Moreover, the 5, 3′, or 4′-substituted luteolin glycosides were found in D. kotschyi (88), D. hetreophyllum (89), and D. palmatum (90,91) [25,92,96,107] (Figure 4). In D. peregrinum, plantaginin (7-O-glucoside of 5,6,7,4′-tetrahydroxyflavone) (92) was also detected by Dai et al. [94] (Figure 2).
Several studies have demonstrated the presence of flavones containing varying numbers of methoxy and/or hydroxy groups in some Dracocephalum species, with these being substituted at positions 6–8 and 3′–5′ of the flavone rings. These mono-, di-, tri-, tetra-, and pentamethoxylated flavones are likely synthesized through the same chemical pathway, involving the stepwise methylation of apigenin [11].
The dominant compounds in this group include 5,7-dihydroxy-4′-methoxyflavone, acacetin (93), and its 7-O-substituted derivatives (93-111) (Table S1) (Figure 5). Acacetin has been identified in D. moldavica, D. multicaule, D. palmatum, D. peregrinum, and D. ruyschiana [26,53,100,105,109]. Among these species, the most commonly reported compound is acacetin-7-O-glucoside (tilianin) (94) [26,53,94,105]. Additionally, tilianin was detected in D. foetidum, D. kotschyi, and D. tanguticum [7,96,102]. Several acylated and malonyled acacetin-7-O-glucosides have also been isolated. Acetylated derivatives (95-97) were first reported in the aerial parts of D. moldavica [97,105] and D. palmatum (97) [103], while malonylated derivatives (98-100) were identified in D. foetidum, D. moldavica, and D. palmatum [7,101,103]. The acacetin-7-O-β-D-glucuronide (101) was isolated from dried aerial parts of D. foetidum, D. moldavica, and D. ruyschiana [7,26,105], while its malonyl and acyl derivatives (102,103) were detected in D. foetidum (102,103) and D. moldavica (103) [7,110].
Among the diglycosides, acacetin-7-O-rutinoside (linarin) (104) has been detected in the aerial parts of D. foetidum, D. heterophyllum, D. palmatum, and D. peregrinum [7,53,94,111], D. palmatum with D. peregrinum contains its diacetyl derivatives: peregrinumin A (105), B (106), and C (107) [112] (Table S1). Additionally, acacetin-7-O-neohesperidoside (108) has been identified in D. moldavica [105] (Figure 5).
The 7-O-substituted acacetin tetraglycosides: acacetin-7-O-β-D-glucosyl-(1→2)-β-D-glucosyl-(1→2)-[α-L-rhamnosyl-(1→6)]-β-D-glucoside (109) and their two acetyl derivatives (110,111) were identified by Selenge et al. [42] in aerial parts of D. ruyschiana, while 8-C-glucoside derivatives of acacetin (112114) were isolated from aerial parts of D. palmatum [26] (Figure 5).
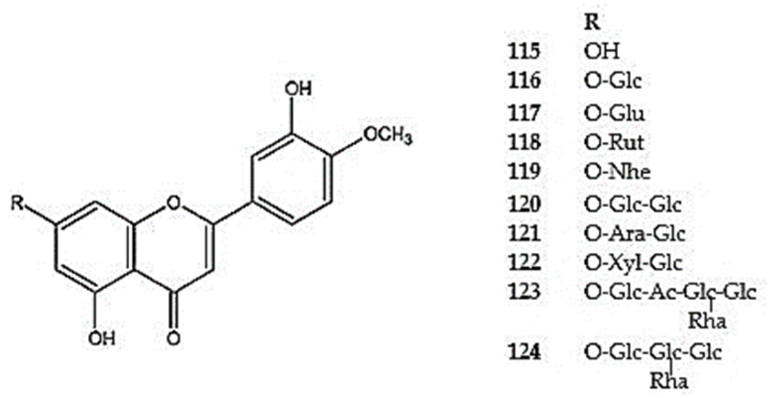
Another monomethoxylated flavone observed in the Dracocephalum species is diosmetin (5,7,3′-trihydroxy-4′-methoxyflavone) and its glycosides (115) detected in D. heterophyllum, D. moldavica, D. palmatum, and D. peregrinum [26,92,94,105] (Figure 6) (Table S1). Diosmetin-7-O-glucoside (116) has been identified in the aerial parts of D. heterophyllum, D. ruyschiana, and D. tanguticum [26,50,110], while diosmetin-7-O-β-glucuronide (117) has been reported in D. foetidum and D. moldavica [7,105]. Several diglucosides of diosmetin have also been detected, including diosmetin-7-O-rutinoside (118) in D. heterophyllum [111], diosmetin-7-O-neohesperidoside (119) in D. moldavica [105], and diosmetin-7-O-β-D-glucose-(1→6)-β-D-glucoside (120), diosmetin-7-O-α-L-arabinose-(1→6)-β-D-glucoside (121), and diosmetin-7-O-β-D-xylose-(1→6)-β-D-glucoside (122) in D. tanguticum [50]. Moreover, diosmetin tetraglucosides (123,124) have been isolated from the aerial parts of D. ruyschiana [42].
Other monomethoxylated flavones identified in Dracocephalum include dracocephaloside A (7-O-(3″-acetyl)-glucoside of 5,8-dihydroxy-4′-methoxyflavone) (125) (Figure 7) and geraniol-7-O-β-D-glucuronide (5,3′-dixydroxy-4′-methoxyflavone-7-glucuronide) (126) found in D. moldavica [101], genkwanin (5,4′-dihydroxy-7-methoxyflavone) (127) found in D. kotschyi, D. multicaule, and D. palmatum [53,96,100], and chrysoeriol (5,7,4′-trihydroxy-3′-methoxyflavone) (128) in D. moldavica and D. palmatum [53,113]. The 5,6,3′,4′-tetrahydroxy-7-methoxyflavone (pedalitin) (129), its 3′-O-glucoside (130), 6-O-glucoside (pedaliin) (131), pedalin-6′′-acetate (132), 5,6,4′-trihydroxy-7-methoxyflavone (ladanetin, scutellarein 7-methyl) (133), and its 6-O-β-D-glucoside (134) and 6-O-β-(6″-O-acetyl)glucoside (135) (Figure 7) were isolated from D. tanguticum [12,102], while 5,6-dihydroxy-7-methoxyflavone (negletein) (136) was found in the aerial parts of D. palmatum [26].
The dimethoxylated flavones: 5,4′-dihydroxy-6,7-dimethoxyflavone (scrophulein, cirsimaritin) (137), and its 4′-O-β-D-glucoside (138), 4′-O-glucoside of 5,3′,4′-trihydroxy-6,7-dimethoxyflavone (cirsiliol) (139), 5,7,4′-trihydroxy-3′,5′-dimethoxyflavone (140), 5,3′,4′-trihydroxy-6,7-dimethoxyflavone (141), 5,8,4′-trihydroxy-6,7-dimethoxyflavone (isotymusine) (142), and 5,7-dihydroxy-6,4′-trimethoxyflavone (pectolaringenin) (143) were detected in D. multicaule (137), D. moldavica (137), D. kotschyi (137), D. palmatum (142), D. polychaetum (137), D. subcapitatum (137), and D. tanguticum (138-141,143) [11,53,95,100,105,108,114,115].
Trimethoxylated flavones: xantomicrol (5,4′-dihydroxy-6,7,8-trimethoxyflavone) (144), navadesin (5,7-dihydroxy-6,8,4′-trimethoxyflavone) (145), salvigenin (5-hydroxy-6,7,4′-trimethoxyflavone) (146), 8-hydroxy-salvigenin (5,8-dihydroxy-6,7,4′-trimethoxyflavone) (147), and circlineol (5,4′-dihydroxy-7,8,3′-trimethoxyflavone) (148) have been identified in aboveground parts of D. kotschyi (144,148), D. moldavica (144,146,147), D. multicaule (144,148), D. palmatum (145,146), D. peregrinum (146), D. polychaetum (144,148), and D. subcapitatum (144,148) [26,53,62,96,100,104,105,109,114,116] (Figure 8) (Table S1).
Among the tetramethoxylated flavones, santaflavone (5-demethylsinensetin, 5-hydroxy-6,7,3′,4′-tetramethoxyflavone,) (149) was identified in D. moldavica, D. kotschyi, D. multicaule, D. peregrinum, D. polychaetum, and D. subcapitatum [104,109,114]. Gardenin B (5-hydroxy-6,7,8,4′-tetramethoxyflavone) (150) was detected in D. moldavica [110] and D. multicaule [100]. Gardenin A (5-hydroxy-6,7,8,3′,4′,5′-hexamethoxyflavone) (151) was identified in D. moldavica [104] (Figure 9) (Table S1).
The genus Dracocephalum also produces flavones that are 3-O-methoxylated derivatives of flavonols, such as 5,7,4′-trihydroxy-3-methoxyflavone (isokaempferide) (152), detected in D. kotschyi, D. multicaule, and D. subcapitatum [62,96,100], 5,4′-dihydroxy-3,7-dimethoxyflavone (kumatakenin) (153) detected in D. multicaule, 5,7,4′-trihydroxy-3,3′-dimethoxyflavone (154) detected in D. kotschyi, D. multicaule, D. polychaetum, and D. subcapitaum, 5,3′,4′-trihydroxy-3,7-dimethoxyflavone (155) detected in D. peregrinum, and 5,7-dihydroxy-3,4′-dimethoxyflavone (ermanin) (156) detected in D. kotschyi, D. multicaule, D. polychaetum, and D. subcapitaum [94,100,114] (Table S1) (Figure 10). More compounds with 3-O-methoxyled group and a larger number of methoxy groups were penduletin (5,4′-dihydroxy-3,6,7-trimethoxyflavone) (157) reported in D. kotschyi and D. multicaule [96,100], chrysosplentin (5,4′-dihydroxy-3,6,7,3′-tetramethoxyflavone) (158) found in D. heterophyllum [111], calicopterin (5,4′-dihydroxy-3,6,7,8-tetramethoxyflavone) (159) recorded in D. kotschyi, D. multicaule, D. polychaetum, and D. subcapitatum [62,96,100,114], and 4′-methylcalicopterin (5-hydroxy-3,6,7,8,4′-pentamethoxyflavone) (160) identified in D. multicaule [100] (Table S1) (Figure 10).

5.2.2. Flavonols and Their Sugar Derivatives

The genus Dracocephalum has been found to exhibit flavonol compounds, such as 3-hydroxyflavone which was detected in D. moldavica (161) [104] and gossypetin (5,7,8,3′,4′-pentahydroxyflavone-3-O-rhamnosyl-(1-6)-glucoside) (162) was identified in aerial parts of D. heterophyllum [12] (Table S1) (Figure 11).
The aglycones kaempferol (3,5,7,4′-tetrahydroxyflavone) (163) and quercetin (3,5,7,3′,4′-pentahydroxyflavone) (164) were also detected in the aerial parts of D. heterophyllum (163,164), D. kotschyi (164), D. moldavica (163,164), D. palmatum (163), D. peregrinum (163,164), D. polychaetum (164), and D. ruyschiana (163) [10,12,13,26,94,105,111] (Table S1) (Figure 11).
Kaempferol glycosides substituted at positions 3 and 7, such as kaempferol-7-O-glucoside (165), astragalin (kaempferol-3-O-glucoside) (166), kaempferol-3-O-rhamnoside (167), kaempferol-3-O-glucuronide (168), and kaempferol-3-O-rutinoside (169), have been reported in D. moldavica (165,166), D. palmatum (166,169), D. peregrinum (166,167), and D. ruyschiana (166,168) [26,42,94,97]. Moreover, several kaempferol derivatives, including 2”-coumarylglucoside astragalin (170), kaempferol-3-O-β-D-(6”-O-p-coumaroyl)-galactoside (171), and 3-O-rhamnoside of kaempferide (3,5,7-trihydroxy-4′-methoxyflavone) (172), have been identified in D. moldavica (170,171) and D. peregrinum (172) [12,94] (Table S1) (Figure 11).
The quercetin glycosides, including quercetin-7-O-β-D-glucoside (173), quercetin-3-O-β-D-glucoside (174), quercetin-3-O-β-D-rhamnoside (quercitrin) (175), quercetin-3-O-galactoside (176), quercetin-3-O-rutinoside (177), and quercetin-3-O-β-D-glucuronide (169), were identified in D. moldavica (174-176), D. peregrinum (173-175), D. ruyschiana (174,178), and D. tanguticum (177) [42,93,94,97,105,117]. The 3′-methoxylated derivative of quercetin, isorhamnetin (179), was found in D. moldavica [12] (Table S1) (Figure 11).

5.2.3. Flavanone Derivatives

Among the flavanones, eriodictyol (5,7,3′,4′-tetrahydroxyflavan-4-one) (180) and its derivatives, such as eriodictyol-7-O-β-D-glucoside (181), eriodictyol-7-O-(4′′-O-malonyl) -β-D-glucoside (182), eriodictyol-7-O-rutinoside (183), and eriodictyol-7-O-rutinoside (6′′-O-malonyl)-β-D-glucoside (184), have been reported in D. palmatum [25,53,103]. Additionally, eriodictyol was detected in D. peregrinum, D. rupestre, and D. tanguticum [55,93,102], and its glucoside in D. rupestre, D. ruyschiana, and D. tanguticum [26,55,102] (Table S1) (Figure 12).
The compounds naringenin (5,7,4′-trihydroxyflavan-4-one) (185) and prunin (naringenin-7-O-glucoside) (186) were detected in D. kotschyi (185), D. moldavica (185), D. palmatum (185,186), D. polychaetum (185), D. rupestre (185,186), D. ruyschiana (186), and D. tanguticum (185,186) [13,25,26,55,98,102,118]. Additionally, narirutin (7-α-L- rhamnopyranosyl-(1→6)-β-D-glucosylo-5,7,4′-trihydroxyflavan-4-one) (187) was identified in the aerial parts of D. tanguticum [99], while 5,7,3′,5′ -tetrahydroxyflavan-4-one (188) and its 7-O-β-D-glucoside (189) were detected in D. tanguticum [102].

5.2.4. Flavanonol Derivatives

Dihydroquercetin (3,5,7,3′,4′,-pentahydroxyflavan-4-one) (190), dihydrokaempferol (3,5,7,4′-tetrahydroxyflavan-4-one) (191), and ampelopsin (3,5,7,3′,4′,5′-hexahydroxyflavan-4-one) (192) were identified in D. palmatum [26] (Figure 13). Another flavanonol compound, fustin (3,7,3′,4′-tetrahydroxyflavan-4-one) (193), was detected in D. ruyschiana [26] (Table S1).

5.2.5. Flavanol Derivative

Two flavan-3-ols have been detected in the Dracocephalum species: catechin (194) in D. ruyschiana, D. moldavica, D. kotschyi, and D. polychaetum, and gallocatechin (195) in D. palmatum [13,26,92] (Figure 14) (Table S1). These molecules serve as precursors for the synthesis of polymers such as proanthocyanidins and anthocyanidins.

5.3. Anthocyanins

Various anthocyanins have been identified in the genus Dracocephalum. The following have been detected in D. palmatum: pelargonidin 3-O-glucoside (callistephin) (196), cyanidin O-pentoside (197), cyanidin 3-O-glucoside (198), and its acetylated, malonylated, and coumaroylated derivatives cyanidin 3-O-(6″-malonyl)glucoside (199), cyanidin 3-O-(acetyl)hexoside (200), cyanidin 3-O-(coumaroyl)hexoside (201), 7-O-methyl-delphinidin 3-O-(2″galloyl)-galactoside (202), peonidin-O-pentoside (203), peonidin 3-O-glucoside (204), and petunidin (205) [26]. In addition, petunidin and pelargonidin 3-O-glucoside have also been reported in D. ruyschiana (Figure 15) (Table S1). Furthermore, the presence of a condensed tannin, procyanidin A-type dimer (epicatechin-catechin dimer) (206), has been identified in D. ruyschiana [26].

5.4. Lignans

The lignans have been found primarily in D. moldavica, and they might be considered characteristic of the species. The following compounds have been isolated from the aerial parts of D. moldavica: alaschanisoside A (207), akequintoside A (208), (7,8)-dihydrodehydrodiconiferyl alcohol 4-O-β-D-glucoside (209), (7,8)- dehydrodiconiferyl alcohol 9′-O-β-D-glucoside (210), (7,8)-3′-demethyl-dehydrodiconiferyl alcohol 3′-O-β-D-glucoside (211), (+)-pinoresinol (212), syringaresinol (215), hedyotisol A (218) and B (219), oresbiusin B (220), dracomolphins A-E (221-225), methyl-3-(4-hydroxy-3-methoxyphenyl)-2-{2-methoxy-4[(-3-methoxy-3-oxoprop-1-enyl]phenoxy}-prop-2-enoate (226), 3-benzofurancarboxylic acid-2-(3,4-dihydroxyphenyl)-7-hydroxy-5-(3-methoxy-3-oxo-1-propenyl)-methyl ester (227), and 3-[2-(3,4-dihydroxyhenyl)-7-hydroxy-3-methoxycarbonyl-2,3-dihydro-1-benzofuran-5-yl]prop-2-enoate (228) [12,29,119]. Two other lignans, viz. (+)-piperitol (229) and (9+)-9α-hydroxysesamin (230), were described in the same species by Jöhrer et al. [116] (Figure 16) (Table S1).
The lignans, pinoresinol mono- and diglucosides (213,214), and syringaresinol glucosides (216,218) were detected in D. heterophyllum (213,214,216), D. moldavica (216,217), and D. tanguticum (216) [12,29], hinokinin was identified (231) in D. ruyschiana, and dimethyl-secoisolariciresinol (2,3-dimethyl-2,3-di(4-hydroxy-3-methoxybenzyl)-1,4-butanediol) (232) was identified in D. ruyschiana and D. palmatum [26]. The little-known lignans dehydropine-9-β-glucoside (233) and 2,3-dihydro-7-hydroxy-2-(4′-hydroxy-3′methoxophenyl)-3-hydroxymethyl-5-benzofuranpropranol-4′-O-β-D-glucoside (234) were identified in D. heterophyllum (233) and D. tanguticum (234) [83,120] (Figure 16) (Table S1).

5.5. Other Compounds

Several phenylethanoid compounds have been found in the genus Dracocephalum. Ferruginoside B (235), verbascoside (acteoside), and (236) 2′-O-acetyl plantamajoside (237) were isolated from D. heterophyllum [87]. The presence of the latter two compounds in this species, together with decaffeoylverbascoside (238), was confirmed by subsequent studies [88]. Compounds from this group were also detected in D. tanguticum, including 3-phenylethyl-β-D-glucoside (239) [115], followed by osmanthuside F (240) and hyuganoside IIIa (241) [83](Table S1) (Figure 17).
Five 3,4-seco-phenylpropanoids with an unusual aromatic ring cleaved skeleton named dracomolphesin A–E (242246) were isolated from aerial parts of D. moldavica [121]. Four dratanguticumide A–D (247250) as phenylacetamide glycosides and two dratanguticumide G (251) and H (252) as phenylpropanoid glycosides were obtained from D. tanguticum [83,84] (Figure 17) (Table S1).
Phytochemical studies on the aerial parts of D. rupestre led to the isolation of dracocephins A–D, i.e., flavonoid alkaloids (253256). Dracocephins are conjugates of naringenin (A and B) or eriodictyol (C and D) with pyrrolidin-2-one. They were found to exist as mixtures of two diastereoisomeric pairs of enantiomers with two chiral centers, C-2 and C″-5 [122]. Two additional flavonoid alkaloids, drahebephins A (257) and B (258), along with an imidazole alkaloid containing a phenolic substituent, drahebenine C (259), were isolated from the aerial parts of D. heterophyllum [92] (Figure 18) (Table S1).
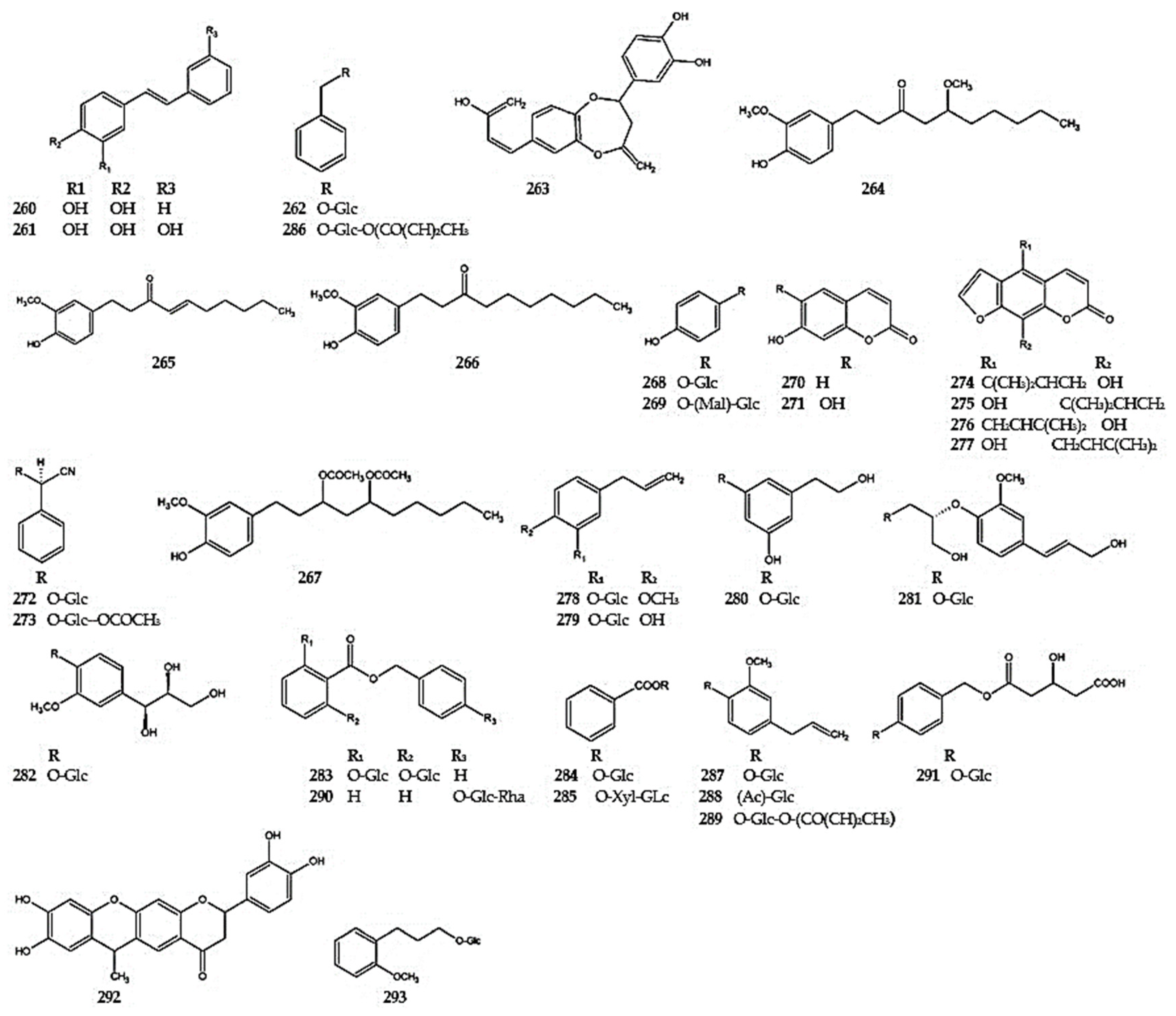
In addition, other phenolic compounds have been identified in several Dracocephalum species. Stilbenes such as pinosylvin (260) and resveratrol (261) [26] and 5-benzyl alcohol glucoside (262) [42] were detected in D. ruyschiana (Figure 19).
Sibiricin A (263) and four gingerols—5-methoxy-6-gingerol (264), 6-shogaol (265), 6-paradol (266), and diacetoxy-6-gingeridol (267)—were isolated from the extract of D. heterophyllum [87,123]. Arbutin (268) and O-malonylarbutin (269) [53], as well as the coumarins umbelliferone (270) and aesculetin (271) [25] were reported in D. palmatum. Moreover, compound O-malonylarbutin was detected in D. moldavica [30]. Meanwhile, cyanogenic glucosides, prunasin (272), and peregrinumcin A (273) were isolated from D. peregrinum [112]. Additionally, four furanocoumarins were identified in D. heterophyllum (274277) [124].
In the aerial parts of D. moldavica, citrusin C (278), 4-allyl-1-[(β-D-glucosyl)oxy]-2-hydroxybenzene (279), 3,5-dihydroxyphenethyl alcohol 3-O-β-D-glucoside (280), and 3-hydroxy-2-[4-(3-hydroxy-1-propen-1-yl)-2-methoxyphenoxy]propyl-β-D-glucoside (281) were identified [29]. Citrusin C was also obtained from D. ruyschiana [42].
Moreover, in D. tanguticum is the presence of guaiacyl glycerol-3′-O-β-D-glucopyranoside (282), benzyl benzoate-2,6-di-O-β-D-glucoside (283), benzyl-β-D-glucoside (284), benzyl-O-β-D-xylosyl-(1→6)-β-D-glucoside (285), benzyl-6-[(2E)-2-butenoate]-β-D-glucoside (286), 2-methoxy-4-(2-propen-1-yl)phenyl-β-D-glucoside (287), 2-methoxy-4-(2-propen-1-yl)phenyl-6-acetate-β-D-glucoside (288), and 2-methoxy-4-(2-propen-1-yl)phenyl-6-[(2E)-2-butenoate]-β-D-glucoside (289) [83,108]. Additionally, in D. ruyschina, [(benzoxy)methyl]phenyl-4-O-α-L-rhamnosyl(1-6)-O-β-glucoside (290) and [(3-hydroxy-3-methoxyglutaryl)methyl]phenyl-4-O-β-D-glucoside (291) were identified [42]. In D. rupestre dracorupesins A (292) has also been reported, and in D. tanguticum taettoside E (293), has been identified [115,125] (Figure 19).

6. Pharmacological Properties of Dracocephalum

Recent studies performed with the use of more modern methods have provided a more accurate understanding of the use of several Dracocephalum species in traditional medicine. Table 3 presents data on the main biological activities of Dracocephalum resulting from the presence of phenolic compounds.
Table 3. Biological activity of selected Dracocephalum species.
Table 3. Biological activity of selected Dracocephalum species.
Biological
Activity
SpeciesPlant MaterialExtracts/Fractions or CompoundsAssays ModelResultsReferences
AntioxidantD. foetidumaerial partsacetone, different fractions, phenolic compoundsDPPHEC50 = 9.2–66.1 µg/mL (acetone extract and fractions), EC50 = 6.8–223 µM (compounds)[7]
D. heterophyllumaerial partsrosmarinic acid, fenylethanoidsDPPHEC50 = 19.37–26.63 µM[88]
aerial partsfuranocoumarinsDPPH, cellular antioxidant activity assaysEC50 = 115.36–284.33 µM, expression of Nrf2[124]
aerial partsgingerolsDPPH, cellular antioxidant activity assaysEC50 = 2.95–18.68 µM, expression of antioxidant enzymes↓[123]
aerial partsdifferent fractions(1) DPPH, (2)ABTS, (3) FRAP, (4) Fe3+ chelation, (5) LPOinhibition: (1) 9.1–88.8% (50 µg/mL), (2) 8.0–75.2% (50 µg/mL), (3) 0.05–1.6 mM/L FeSO4, (4) 21.8–72.2% (0.5 mg/mL), (5) 67.5–98.7% (50 µg/mL)[126]
flowers, leaves, roots80% methanolDPPHEC50 = 37 μg/mL[4]
D. kotschyileaves, flowersdifferent extracts(1) DPPH, (2) FRAP(1) EC50 = 1.02–2.84 mg/mL (leaves), (1) EC50 = 3.17–5.4 mg/mL (flowers), (2) 0.19–0.64 mM Fe(II)/g DW (leaves), (2) 0.12–0.4 mM Fe(II)/g DW (flowers)[14]
aerial partsethanolDPPHEC50 = 50 µg/mL[13]
leaves, flowersmethanolDPPHEC50 = 15.84–60.72 µg/mL (flowers), EC50 = 46.06–105.52 µg/mL (leaves)[127]
aerial partsdifferent extracts(1) DPPH, (2) FRAP(1) EC50 = 23.2–1584.0 µg/mL, (2) 6.65–80.7 µM mg FSE/g extract[128]
aerial partsdifferent extracts(1) DPPH, (2) ABTS, (3) FRAP(1) EC50 = 9.55–46.2 μg/mL, (2) EC50 = 7.47–51.14 µM Trolox/g, (3) EC50 = 6.87–106.35 µM Trolox/g[64]
aerial partsdifferent extracts(1) DPPH, (2) FRAP(1) EC50 = 4.85–252.48 μg/mL, (2) 2.5–32.357 mM Fe2+/g DW[129]
aerial partsdifferent extractsDPPHEC50 = 0.0899–2.3 μg/mL[130]
leaves of various populationsdiethyl etherFRAP38.71–1681.41 µM Fe2+/100 g DW[11]
D. moldavicaaerial parts of three different cultivars70% ethanol
(1) DPPH, (2) FRAP(1) EC50 = 35.542–40.901 μg/mL, (2) 293.194–330.165 μM Trolox mg DW[98]
aerial partsdifferent extracts(1) DPPH, (2) CLB(1) EC50 = 35.542–40.901 μg/mL, (2) inhibition: 59–94% at 150 μg/mL[93]
aerial partsethyl acetate(1) DPPH, (2) ABTS, (3) O2,
(4) OH, (5) SOD
activity values about: (1) 5–75%, (2) 8–95% (extract concentration unknown), (3) 30–95 U/mL, (4) 25–100 U/mL, (5) 50 U/mg proteins[131]
leavesalcoholic extracts(1) DPPH, (2) FRAP, (3) O2∙ (4) NO, (5) H2O2(1) EC50 = 25.96– 87.77 μg/mL, (2) 101.40–185.437 μmol/100g, (3) 44.43–57.14% (at 20 mg/mL), (4) 37.60–87.90% (at 20 mg/mL), (5) 4.48–7.93% (at 2 mg/mL)[33]
aerial partshydromethanolic(1) DPPH, (2)ABTS, (3) O2,
(4) OH, (5) Fe3+ chelation,
(6) reducing power assay
(1) EC50 = 23.1 µg/mL, (2) EC50 = 8.0 µg/mL, (3) EC50 = 445.5 µg/mL, (4) EC50 = 269.3 µg/mL, (5) EC50 = 35.70 µg/mL, (6) EC50 = 17.07 µg/mL[68]
aerial partstotal flavonoids(1) DPPH, (2) O2, (3) OHinhibition: (1) 75%, (2) 85%, (3) 85% (at 100 mg/mL)[132]
aerial partsacacetin-7-O-(4″-acetyl)-glucosideDPPHEC50 = 98 µM.[97]
aerial partsdifferent extracts(1) DPPH, (2) ABTS, (3) Fe3+ reduction, (4) CLB(1) 47.4–85.9% (1 mg/mL), (2) 0.5–1.04 mM Trolox, (3) 137.07–311.07 µM/g, (4) inhibition: 1.9–19.2% (at 1 mg/mL)[10]
aerial partsdifferent extractsDPPHIC50 = 24.5 μg/mL[133]
D. multicauleaerial partsdifferent extracts(1) DPPH, (2) FRAP(1) EC50 = 25.0–707 µg/mL, (2) 9.93–229.92 µM mg FSE/g extract[128]
flowering topsmethanolDPPHEC50 = 156.5 µg/mL[134]
plantmethanol(1) DPPH, (2) ABTS, (3) FRAP(1) EC50 = 1.41 mg/mL, (2) IC50 = 2.11 mg/mL (in 6 min), (3) IC50 = 1.41 µg/mL[135]
D. palmatumaerial partsluteolin-7-O-glucoside(1) DPPH, (2) ABTS, (3) Br,
(4) O2, (5) NO, (6) H2O2, (7) Fe2+ chelation
(1)EC50 = 16.97 µM/mL, (2) EC50 = 9.86 µM/mL, (3) 1000 (mg-eq) luteolin-7-O-glucoside/g, (4) EC50 = 14.92 µM/mL, (5) EC50 > 100 µM/mL, (6) 0.53 mM/g
(7) 106.12 mM Fe2+/g
[53]
aerial partsethanol(1) DPPH, (2) ABTS, (3) Br,
(4) O2, (5) CLB, (6) NO, (7) H2O2, (8) FRAP, (9) Fe2+ chelation, (10) EMSA
(1) EC50 = 12.7–18.6 µM/mL, (2) EC50 = 6.4–10.8 µM/mL, (3) 247.7–389.7 mg cynaroside/g, (4) EC50 = 19.4–28.6 µM/mL, (5) EC50 = 1.6–3.4 µM/mL, (6) EC50 = 29.3–41.8 µM/mL, (7) 1.2–2.03 mM/g, (8) 12.2–22.3 mM Fe2+/g, (9) EC50 = 30.9–48.1 µM/mL, (10) EC50 = 14.1–51.6 µM/mL[25]
D. polychaetumaerial partsethanolDPPHEC50 = 175 µg/mL[13]
aerial partsmethanolDPPHinhibition: 68–85% at 50–1000 ppm of extract[136]
aerial partsdifferent extracts(1) DPPH, (2) FRAP(1) EC50 = 50.5–5346.1 µg/mL, (2) 4.3–16.43 µM mg FSE/g extract[128]
aerial parts80% methanol(1) DPPH, (2) FRAP(1) EC50 = 5.6 mg/mL, (2) EC50 = 0.156 mg/mL[60]
aerial partsdifferent extractsDPPHEC50 = 8.07–24.04 mg/mL[79]
D. rupestreplantethyl acetate(1) DPPH, (2) ABTS, (3) OH,
(4) FRAP, antioxidant enzyme assays
(1) EC50 = 50.01 µg/mL, (2) EC50 = 43.62 µg/mL, (3) EC50 = 28.59 µg/mL, (4) about 50 g Trolox/100 g DW[57]
planteriodictyol-7-O-glucosidecisplatin-induced oxidative stress in HRMCactivation of Nrf2 pathway↑, glutathione level↑, cell survival rate↑[80]
D. ruyschianaaerial partsphenolic compoundsDPPHEC50 = 28.9–328 µM[42]
D. tanguticumplantisolated phenolic compounds(1) DPPH, (2) ABTS, (3) Fe2+ reduction(1) EC50 = 6.12–113 µM, (2) EC50 = 1.15–400 µM, (3) EC50 = 0.06–515 µM[102]
Anti- inflammatoryD. foetidumaerial partsacetone, fractions, isolated compoundshyaluronidase activityhyaluronidase activity↓, EC50 = 0.27–0.35 mg/mL (extract and its fractions), EC50 = 0.19–0.79 mM (compounds)[7]
D. heterophyllumaerial partsethyl acetateanimal model (mice)synovial inflammation↓, joint swelling↓, cartilage and bone destruction↓, anti-CII IgG↓, TNF-α↓, IL-6↓, IL-1β↓[137]
plantethyl acetateanimal model (mice)ALT↓, AST↓, TBA↓ lobular inflammation↓, col1α1↓, α-SMA↓, MCP-1↓, CD68↓[46]
plantethyl acetateanimal model (mice) CD4+ T cells↓, IFN-γ↓, IL-17A↓, IL-2↓, IL-6↓, the inhibitory phosphorylation (Tyr15) of Cdc2↑, expression Wee1 kinase↑, retinal edema↓, structural distortion↓, inflammatory cell infiltration↓ [120]
aerial partsdifferent fractionsanimal model (mice)mortality↓, ALT↓, AST↓, cell apoptosis and necrosis↓[126]
plantethanolanimal model (mice)TNF-α↓, IFN-γ↓, ALT↓, AST↓, hepatic damage and inflammatory infiltrates↓, number of apoptotic cells↓, D11b+ Gr1+ MDSC in liver↑, macrophage activation↓[138]
D. kotschyileafy shoots70% alcohol, wateranimal model (rats)lung tissues necrosis↓, inflammation↓, fibrosis↓, hydroxyproline↓, MDA↑[139]
aerial parts70% ethanolanimal model (rats)MPO activity↓, ulcer area and index↓, colonic weight/length ratio↓, total colitis index↓[140]
aerial partsmethanol, calycopterinPBMNslymphocyte proliferation↓[66]
plantmethanolmouse macrophagesNO↓, IL-1β↓[141]
D. moldavicaplantethyl acetateanimal model (rats)body weight loss↓, DSS-induced tissue morphological changes↓. members of the TLR4/NF-κB signaling pathway↓, NF-κB↓, IL-17↓, TNF↓, Toll-like receptor (TLR) signaling pathways↓, Lactobacillus↑, Romboutsia[142]
-total flavonoid fractionanimal model (mice)lung tissue fibrosis ↓, IL-6↓, TNF-α↓, Col-I↓, FN1↓, α-SMA↓, Shh↓, Ptch1↓, SMO↓, Gli1↓, SUFU↑[143]
plant50% ethanolanimal model (rats)CDS↓, myeloperoxidase↓, nitric oxide↓, MDA↓, total protein↑, TNFα↓, IFNɣ, IL-6↓, IL-4↑,[144]
leaves70% ethanolRAW 264.7 cells, animal model (mice)NO↓ PGE2↓, iNOS↓, COX-2↓, IL-6↓, IL-1β↓, the inhibition of the ERK/JNK/NF-κB signaling[145]
aerial partstotal flavonoid extractrat vascular smooth muscle cellsVSMC proliferation and migration↓, PCNA expression↓, expression of ICAM-1 and VCAM-1↓, NF-κB p65 expression↓[146]
D. peregrinumplantperegrinumin A, B, C, peregrinumcin ARAW 264.7 cellsNO↓, NF-κB↓(peregrinumin B and C)[112]
aerial parts1′-methyl-2′-hydroxyethyl ferulateRAW 264.7 cellsNO↓[94]
D. rupestreaerial parts60% ethanol (D. rupestre + Berberidis radix)animal model (mice with Salmonella-induced diarrhea)IL-6↓, sigA↓, TNF-α↓, mucosal repair markers (PCNA, TGF-β1, and EGFR)↑, beneficial bacterial genera[147]
plantethyl acetate fractionanimal model (mice)ALT↓, AST↓, MDA↓, LDH↓, necrotic areas↓[57]
D. tanguticumplantdifferent extractsanimal model (mice), human hepatic LO2 cellNrf2↑, NF-κB↓, HO-1↑, NQO-1↑, GSTA1↑, IKB2↑, Keap1↓, ALT↓, AST↓, hepatic lipid indicators (TC↓, TG↓, LDL-C↓,HDL-C↑), lipid peroxidation indicators (ADH↑, MDA↓, SOD↑, CAT↑, and GSH-Px↑), necrosis of hepatocytes↓, lymphocyte infiltration↓[148]
Neuroprotective and neuromodulatoryD. kotschyiaerial partsdifferent extracts(1) anti-tyrosinase assay, (2) anti-AChE assay,
(3) anti-BChE assay
inhibition (at con. of 1 mg/mL): (1) 11.7–51%, (2) 17.7–63%, (3) 11.1–47%[128]
D. moldavicaplanttotal flavonoid fractionanimal model (mice)IL-1β, IL-6 and TNF-α↓, SRC/β-acttin↓[104]
leavesethanolanimal model (mice)step-through latency in the retention trial↑, latencies in the Morris water maze task↓[149]
plantflavonoid fractionU87 cellscell viability↑, apoptotic rate↓, LDH↓, MDA↓, caspase-3↓, caspase-12↓, Bcl-2↓, Bax↓, ROS↓,[150]
aerial partsethanolanimal model (mice)immobility time in the FST↓ swim time in FST ↑, immobility time TST↓,[71]
planttotal flavonoid fractionanimal model (rats)GSH/GSSG ratio↑, SOD↑, the GPX↑, CAT↑, MDA↓, carbonyl↓, 8-OHdG↓, TUNEL-positive cells↓, neurological deficit↓,[151]
aerial partswateranimal model (mice)pentobarbital-induced sleeping time↑, sedation in the HBT↑, spontaneous activity↓, motor coordination impairment↑, the immobility time↑[30]
D. multicauleaerial parts70% ethanolanimal model (rats)hippocampal neuronal cell density↑, time spent in the target quadrant↑[59]
aerial partsdifferent extracts(1) anti-tyrosinase assay (2) anti-AChE assay, (3) anti-BChE assayinhibition (at conc. 1 mg/mL) (1) 19.8–50%, (2) 23–97%, (3) 15–46.8%[128]
flowering aerial partsmethanolanti-AChE assayIC50 = 1.06 µg/mL[134]
D. polychaetumaerial partsdifferent extracts(1) anti-tyrosinase assay, (2) anti-AChE assay, (3) anti-BChE assayinhibition (at conc. 1 mg/L): (1) 6.5 -39.5%, (2) 10–48.6%, (3) 21.7–62.7%[79]
D. ruyschianaaerial partswaterclinical study (patients with mild to moderate depressionthe mean score of depression by BDI (Beck Depression Inventory)↓[152]
D. tanguticumaerial partsn-butanolanimal model (rats)in the IFC and hippocampus: BDNF mRNA↑, NT-3 mRNA↑, Bederson and Longa scoring↓, beam-walking test↓, GPx↑, CAT↑, SOD↑, MDA↓[51]
Cardioprotective anti-
ischemic, anti-hypertension
D. heterphyllumplantpurified 70% methanolic extract containing flavonoidsneonatal rat cardiomyocytescell survival rate↑, c-jun↓, BNP↓, ANP↓, β-MHC↓, Ca2+↓, eNOS↑, NO↑[45]
D. moldavica-extract containing flavonoidsH9c2 cellsLDH↓, SOD↑, MDA↓, ROS↓, proliferation of cell↑, Bax↓, Bcl-2↑, NOX-4↓, p-P38↓, MAPK/P38 MAPK↓, p-Erk1/2/Erk1/2↓, PGC-1α↑[101]
aerial partsethyl acetateanimal model (rats)SBP↓, ROS↓, dysregulation of miRNA expression↓, gut microbiota dysbiosis↓[32]
-isolated compoundsanimal model (mice)blood glucose↓, the running distance↑, E/E’↓, cardiac collagen volume↓, CSA of cardiomyocytes↓[153]
aerial partsethyl acetateH9c2 cellscell viability↑, LDH↓, ROS↓, MDA↓, SOD↑, CAT↑, apoptotic rate↓, caspase-3↓, Bax↓, Bcl-2↑[131]
plant70% ethanolH9c2 cellscell viability↑, pathological changes↓, CK-MB↓, LDH↓, AST↓, percentage of apoptotic cells↓, Bcl-2↑, Bax↓, cleaved-capase-3↓, cytochrome c↓, the phosphorylation of p38↓, activation of p38 MAPK↓[154]
aerial partscaffeic acid tetramerscardiomyocytes of neonatal ratscell viability↑, apoptosis rate↓[69]
-fraction containing flavonoidsanimal model (rats)LDH↓, CK-MB↓, MDA↓, SOD↑, infarct size↓, apoptotic index↓, mitochondrial injury↓, Bax↓, cleaved caspase-3↓, caspase-7↓, caspase-9↓, Bcl-2↑[110]
aerial partsfraction containing flavonoidsanimal model (rats)The percent recovery of LVDP↑, HR↑ and CF↑, CK↓, LDH↓, infarct size↓, MDA↓, SOD↑, GSH/GSSG↓[132]
aerial parts70% methanolanimal model (rats)LVDP↓, HR↓, incidence of VT↓, VT duration↓, total VEBs↓, infarct size↓, volume of infarcted tissue↓[155]
plantfraction containing flavonoidsanimal model (rats)Apo-A1↑ Apo-E↑, pulmonary artery pressure↓, no abnormalities in the cerebral parenchymal vessels.[156]
plantmethanol, wateranimal model (rats)SOD↑, GSH-Px↑, IL-6↓, CRP↓, MDA↓, pulmonary artery pressure↓,[31]
D. tanguticumplantluteolin-7-O-β-D-glucopyranosideH9c2 cellscell viability↑, CK↓, LDH↓, the morphological changes↓, Ca2+[102]
plantcompounds from 95% ethanolic extractthe rat aortic ringsendothelium-dependent vasodilatory effects on rat aortic rings↑, eNOS↑, NO↑[83]
Treatment of metabolic
diseases
D. kotschyileaves, flowersdifferent extractsanti- pancreatic α-amylaseIC50 = 0.34–0.59 mg/mL (leaves), 1.72–2.67 mg/mL (flowers)
[14]
aerial parts50% ethanol extract3T3-L1 adipocytes, animal model (rats)MDA↓, SOD↑, POD↑, p-AKT↑, p-FOXO1↑, PPARγ↑, SREBP-1↑, p-JNK↓, level of water intake↓, lasting blood glucose↓, TG↓, TC↓, LDL↓, HDL↑, number of adipocytes↓, adipocyte area↑,[157]
leaves70% methanol
polyphenolic fraction
animal model (rats)TG↓, TC↓, LDL↓, HDL↑, AI↓[158]
D. polychaetumaerial partsmethanolanimal model (rats)blood glucose↓, TG↓, TC↓, MDA↓, GSH↑, SOD↑, CAT↑, ALT↓, creatinine↓[60]
D. subcapitatumaerial parts70% ethanolanimal model (rats)TG↓, TC↓, LDL↓, ALT↓, AST↓, blood glucose↓, hepatic steatosis↓, relative liver weight↓[61]
D. tanguticumplantphenylacetamide glycosides3T3-L1 adipocytesglucose consumption in adipocytes↑[84]
AnticancerD. kotschyiaerial partsethanol(1) MCF-7 cells (2) HT-29(1) IC50 = 133 µg/mL, (2) IC50 = 126 µg/mL[13]
aerial parts and leavesethanolHepG2 cellscell proliferation↓[159]
aerial partsdifferent fractions, luteolin(1) Calu-6 and (2) Mehr-80 cells(1) IC50 = 79.1–168.75 μg/mL, (2) IC50 = 124.2–200.0 μg/mL (fractions), (1) IC50 = 56.32 μg/mL, (2) EC50 = 78.32 μg/mL (luteolin)[160]
aerial partsdifferent extractsMDA-MB-23 cellssurvival rate↓,[130]
aerial parts50% ethanolanimal model (rats), isolated rat hepatocyteshepatocytes of tumoral rats: MMP↓, mitochondrial ROS↑, mitochondrial swelling↑, cytochrome c release↑[161]
aerial partsisolated flavonoidsHL-60, HT-29, AGS, SaOs-2, WEHI-164 cellsIC50 = 5.1–>50 µg/mL[118]
leavesmethanol, xanthomicrolK562, HL60, KB, Hela, A549, Saos-2, A2780-CP, A2780-S, MCF-7, A375, A172 l cells, animal model (mice)IC50 = 6.8–100.3 µg/mL (extract), IC50 = 0.88–1.69 µg/mL (xanthomicrol), tumor volume in mice↓[162]
D. moldavicaaerial parts70% ethanolDLD-1IC50 = 0.40–0.54 μM GAE (for different cultivar)[98]
aerial partsphenolic compounds(1) KMS-12-PE, (2) Molm13(1) IC50 = 25.65–>50 μM (2) IC50 = 21.74–>50 μM[116]
aerial partslignansNCI-H292 cellsdracomolphin E: EC50 = 18.9 μM PARP↑, caspase-3↑, Bax↑, Bcl-2↓, Bcl-XL↓[119]
aerial partstilianinFaDu cellscell proliferation ↓ apoptosis↑, expression of TLR4↑, Bcl-2↓, Bcl-xL↓, Bad↑, Bax↑, cytochrome c↑, caspase-3↑, PARP↑, TNF-α↑, IL-6↑[163]
D. palmatumleavesdifferent fractionsPC-3 cellscell apoptosis↑, SOD-2↑, caspase-8↑, cleaved PARP↑, Bcl-2/Bax ratio↑, p-AKT signaling↓[164]
aerial parts70% ethanolDLBCL lines, animal model (mice)IC50 = 235.0 and 624.6 μg/mL, cleaved PARP-1↑, caspase 3↑, caspase 3/7↑, Bcl-2↑, Bcl-xL↓, Mcl-1↓, Bax↑, Bak↑, Myc↓[165]
D. peregrinumplantdiosmetinU251 and U138 cell, animal model (mice)proliferation↓, migration↓, invasiveness in vivo↓, apoptosis ratio↑, TGF-β1↓, E-cadherin↑, Bcl-2 expression↓, Bax↑, cleaved caspase-3↑, tumor growth↓[54]
D. polychaetumaerial partsethanol(1) MCF-7, (2) HT-29 cells(1) IC50 = 90 µg/mL, (2) IC50 = 140 µg/mL[13]
AntibacterialD. kotschyileaves, flowersdifferent extractsMicrococcus luteus, Staphylococcus aureus, Escherichia coli, Pseudomonas aeruginosaMIC = 3.75–30 mg/mL, MBC = 15–30 mg/mL[14]
leaves70% methanoldifferent M. tuberculosis strainsIC50 = 40–320 μg/mL[65]
aerial partsdifferent extractsStaphylococcus aureus, Salmonella enterica, Listeria monocytogenes, Bacillus cereus Enteric aerogenes, Escherichia coliMIC = 0.781–100 mg/mL, MBC = 1.562–>100 mg/mL[166]
D. moldavicaaerial parts70% ethanolStaphylococcus aureus, Escherichia coli, Pseudomonas aureginosaMIC = 0.171–0.825 μM GAE/100 μL, MBC = 0.343–3.300 μM GAE/100 μL[98]
plantethyl acetateS. aureus strainMIC50 = 0.39–1.56 mg/mL, bacteria biofilm formation↓ (at 50–200 μg/mL), cell membrane integrity↓, cell size↓, cell lyse↑, changes in the bacterium protein profile[167]
leavesethanolE. coli, K. pneumoniaMIC = 10–40 mg/mL[168]
D. polychaetumaerial partsno informationS. aureus strainsMIC = 0.781–25 mg/mL, MBC = 1.56–50 mg/mL, bacteria biofilm formation↓, expression of sar, bap, icaD, and icaA↓[169]
AntifungialD. kotschyileaves, flowers branchesmethanolC. albicansMFC = 66.42–125 mg/mL, MIC = 59.77–112.5 mg/mL[16]
D. multicauleflowering aerial partsethanolC. albicansMIC = 50 μg/mL, MFC > 50 μg/mL[77]
Anti-protozoaD. kotschyiplantisokamferide, apigeninTrypanosoma cruziMLC = 30 µM isokamferide, MLC = 70 µM apigenin[96]
D. subcapitatumaerial partsisolated flavonoidsTrypanosoma cruziMLC = 30–>400 µM[62]
AntiviralD. heterophyllumaerial partsethanolVero cells, animal model (HSV-2 infected mice)HSV-2 RNA replication↓, attachment of HSV-2 to cell surface↓, HSV-2 infectivity↓, EC50 = 0.99 mg/mL, mortality of HSV-2 infected mice↓, mice survival time↑[5]
D. tanguticumaerial partsethanolVero cells, animal model (HSV-2 infected mice)HSV RNA replication↓, attachment of HSV-2 to cell surface↓, HSV-2 infectivity↓, EC50 = 1.43 mg/mL, mortality of HSV-2 infected mice↓, mice survival time↑[5]
Anti-spasmotic and antidiarrhoealD. kotschyiaerial parts70% ethanol, flavonoid extratcrabbit bladder strips contracted with (1) Ach, (2) KCl, or (3) EFSinhibition bladder contractions: EC50 = (1) 190–243 µg/mL; (2) 53–102 µg/mL, (3) 105–170 µg/mL[170]
aerial parts70% ethanol, ethyl acetate fraction, isolated flavonoidsanimal model (mice)small intestine transit inhibition (at con. 20 mg/kg): ethanolic extract 32%, ethyl acetate 90 %, luteolin and apigenin 90%, apigenin-4′-galacotside 45%[171]
aerial parts70% ethanol, isolated flavonoidscontractions induce by (1) KCl and/or (2) ACh in rat isolated ileumEC50 = (1) 41 µg/mL, (2) 133 µg/mL (extract), EC50 = (1) 57–80 µM, (2) 80 µM (compounds)[172]
aerial partsethyl acetate, apigenin, luteolinrabbit trachea contractions induce by (1) KCl and/or (2) AChEC50 = (2) 340 µg/mL (extract), EC50 = (1) 65–66 µg/mL, (2) 80–90 µg/mL (compounds)[106]
aerial parts70% ethanol, heksane, apigeninanimal model (mice)
diarrhea induced by (1) castor oil, or (2) magnesium sulfate
diarrhea reduction (at concentration 10 mg/kg): (1) 60–67%, (2) 59–66%[173]
Anti-agingD. moldavicaaerial parts30% ethanolC2C12 cells,
Caenorhabditis elegans, clinical study
AMPK↑, FOXO1↑, collagen levels↑, col-144 promoter↑, skin moisturization↑, skin elasticity↑[174]
ABTS—free radical scavenging activity, AChE—acethylcholine esterase, ADH—alcohol dehydrogenase, AI—atherogenic index, ALT—alanine aminotransferase, AMPK—5′ adenosine monophosphate (AMP)—activated protein kinase, ANP—atrial natriuretic peptide, anti-CII IgG—anti-type II collagen specific IgG, Apo-A1 and Apo-E—polipoproteins A1 and E, AST—aspartate aminotransferase, b-MHC—monoclonal antibody, Bax—apoptotic factor, Bad—apoptotic factor, Bak—apoptotic factor, Bcl-2—apoptotic factor, BChE—butyrylcholine esterase, Bcl-xL—pro-survival protein, BDNF—brain-derived neurotrophic factor, BNP—brain natriuretic peptide, Br—Br radical scavenging activity, CAT—catalase, CDS—disease cumulative score, CIRI—cerebral ischemia–reperfusion injury, CK—creatine kinase, CK-MB—isoenzyme of creatine kinase, CLB—carotene bleaching assay, Col-I—transcryption factor, Cox2—cyclooxygenase 2, CREB—cAMP response element-binding protein, CRP—C-reactive protein, CSA—cross-sectional area of cardiomyocytes, DPPH—2,2-diphenyl-1-picrylhydrazyl assay, E/E’—ratio between mitral E wave and E’ wave, EFS—electrical field stimulation, EGFR—epidermal growth factor receptor, EM-SA—erythrocyte membrane stabilizing activity, ERK—extracellular signal-regulated kinase and cAMP response element-binding protein, Fe2+—ferrous ion scavenging activities, FOXO1—fork head box protein O-1, FN1—transcription factor, FRAP—ferric reducing antioxidant power, FST—forced swimming test, Gli1—transcription factor, GPX or GSH-px—gluthatione peroxidase, GSSG—oxided disulfide, GSTA—gluthatione S-transferase alpha, HBT—hole-board test, HDL—high density lipoprotein, HO-1—heme oxygenase, H2O2—hydroxyoxide radical scavenging activity, HR—the heart rate, HSV-2—herpes simplex virus type 2, ICAM-1—intercellular adhesion molecule-1, IFC—ipsilateral frontal cortex, IFNγ—interferon γ, IL-1β—interleukine 1β, IL-2—interleukine 2, IL-4—interleukine 4, IL-6—interleukine 6, IL-17a—interleukine 17a, iNOs—inducible nitricoxide synthase, Keap 1—klech like ECH-associated protein 1, LPO—anti-lipidperoxidation activity, LDH—lactate dehydrogenase, LDL—low density lipoprotein, LVDP—left ventricular developed pressure, Mcl-1—pro-survival protein, MFC—minimum fungicidal concentration, MDA—malondialdechyde, MBC—minimum bactericidal concentration, MIC—minimum inhibitory concentration MIRI—myocardial ischemia/reperfusion injury, MLC—minimal lethal concentration; MMP—mitochondrial membrane permeabilization, MTT—(4,5-dimethylthiazol-2-yl)-2,5-diphenyl tetrazolium bromide, NF-κB p65—nuclear factor kappa p65, NO—nitric oxide radical scavenging activity, NOX-4—NADPH oxidase 4, NQO-1—NAD(P)H—quinone dehydrogenase 1, Nrf2—nuclear factor erythroid 2, NT-3—neurotrophin 3, O2—superoxide radical scavenging, OH—hydroxy radical scavenging activity, 8-OHdG—8-hydroxyl-doxyguanoside, PARP—poly (ADP-ribose) polymerase, PARP-1—poly (ADP-ribose) polymerase 1, PF—pulmonary fibrosis, PCNA—proliferating cell nuclear antigen, PGC-1α—peroxisome proliferator-activated receptor γ coactivator-1α, PGE2—prostaglandin E2, p-JNK—c-Jun N-terminal kinase, PPARγ—peroxisome proliferator-activated receptor gamma, Ptch1—transcription factor, ROS—reactive oxygen species, SBP—systolic blood pressure, SOD—superoxide dismutase, α-SMA—transcription factor, SMO—transcription factor, Shh—transcription factor, SREP-1—sterol regulatory element binding protein—1, TBA—total bile acid, TC—total cholesterol, TG—triglycerides, TGF-β—transforming growth factor-β, TGF-β1—transforming growth factor-β1, TLR4—toll like receptor, TNF-α—tumor necrosis factor alpha, TST—tail suspension test, TUNEL—Terminal deoxynucleotidyl transferase dUTP nick end labeling, WDM—well diffusion method, VEBs—the total number of ventricular ectopic beats, (VCAM-1) of VSMCs—vascular cell adhesion molecule -1, VF—ventricular fibrillation, VT—the number of beats occurring as ventricular tachycardia, cell lines: A172, GBM—human glioblastoma, A2780-CP and A2780-S—human ovarian carcinoma resistant to cisplatin, A375—human malignant melanoma, A549, AGS—human gastric adenocarcinoma, ATCC CCL-221—human adenocarcinoma, BJ—fibroblasts cell lines, C2C12—murine myoblast cells, Caco-2—human carcinoma cells, Calu-6—human pulmonary adenocarcinoma, CD11b+ Gr1+ MDSCs—myeloid-derived suppressor cells, FaDu—human pharyngeal squamous carcinoma, H9c2—rat cardiomyoblast cells, HaCaT—human epidermal keratinocyte, Hela—human cervix carcinoma, HFFF-P16—human fetal foreskin fibroblast, HL60—human promyeloid leukemia, HRMC—human renal mesangial cells, HT-29—human colon carcinoma, K562—human chronic myeloid leukemia, KB—human oral epithelial carcinoma, KMS-12-PE—human myeloma, LO2 cells—human hepatic cells, MCF-7, MDA-MB-23—human breast adenocarcinoma, Mehr-80 and NCI-H292—human lung carcinoma, PBMNs—peripheral blood mononuclear cells, PC-3—human, prostate cancer, RAW 264.7—mouse-originated macrophages, Saos-2—human osteogenic sarcoma, U251, U138, T98, U-87—human glioma, VSMC—rat vascular smooth muscle cells, WEHI-164—murine fibrosarcoma.

6.1. Antioxidant Activity

During their metabolism, cells generate reactive oxygen species (ROS) or other free radicals. While a balance between ROS formation and inactivation is needed to ensure proper functioning [175], excessive ROS production and/or insufficient antioxidant defense results in oxidative stress. Fortunately, polyphenols are potent antioxidants with multiple mechanisms of action, which can effectively neutralize ROS by acting as free radical scavengers.
The most effective solvents for extracting Dracocephalum compounds responsible for antioxidant activity are methanol, ethanol, alcohol-water mixtures, and ethyl acetate. These extracts have typically been evaluated using in vitro assays (Table 3). The most common antioxidant test was the DPPH assay, though additional tests also assessed the potential of Dracocephaulum species to neutralize other reactive molecules (H2O2, ABTS, superoxide, hydroxyl, NO radicals), iron reduction, carotene bleaching, and lipid peroxidation (Table 3). Most studies focus on D. moldavica, analyzing whole aerial parts or its specific organs (leaves, flowers), and most are based on methanolic and ethanolic extracts.
A study based on comet assay and micronucleus test found D. moldavica extract to protect against bleomycin-induced genotoxicity in human dermal fibroblasts, most likely due to its antioxidant potential [68]. Also the DPPH scavenging potential of acacetin-7-O-(4”-acetyl)-glucopyranoside, isolated from D. moldavica shoots, has been evaluated [97]. In addition, D. kotschyi has been studied; while most research has focused on extracts of aerial parts, some studies have analyzed the leaves and flowers separately, revealing differences in antioxidant potential and plant age-related variations [127] (Table 3).
For D. heterophyllum, several studies indicate that its ethyl acetate extract has the greatest activity. Its antioxidant properties are believed to derive from its rosmarinic acid, acteoside, decaffeoylverbascoside, and 2′-acetylplantamajoside content, with IC₅₀ values ranging from 19.03 to 26.63 µM (DPPH assay) [88]. Dang et al. [87] indicate that four gingerols isolated from this species have antioxidant activity. Individual studies have also reported antioxidant activity in D. polychaetum, D. foetidum, D. multicaule, D. palmatum, D. rupestre, D. ruyschiana, and D. tanguticum, with most evaluating free radical scavenging potential and reducing power (Table 3). Additionally, eriodictyol-7-O-glucoside isolated from D. rupestre significantly improved the survival of human renal mesangial cells exposed to cisplatin; this was attributed to activation of the Nrf2 pathway, which boosts the cellular antioxidant defense system [80].

6.2. Anti-Inflammatory Properties

Inflammation is a well-known risk factor in the pathogenesis of inter alia infections, rheumatoid arthritis, autoimmune diseases, type 2 diabetes mellitus, and cancer [176]. Numerous in vitro and animal studies have indicated that the Dracocephalum genus may play a significant role in preventing or alleviating these ailments due to their anti-inflammatory properties.
Zheng et al. [138] and Shi et al. [126] report that various extract fractions from the aerial parts of D. heterophyllum protected against concanavalin A-induced liver injury (Table 3). The treatment improved the survival of mice by limiting hepatic damage and inflammatory infiltrates while reducing the number of apoptotic cells. Additionally, the ethyl acetate extract of D. heterophyllum demonstrated potential in treating non-alcoholic steatohepatitis and liver fibrosis in mouse models by reducing cholestasis and decreasing the inflammatory response. The data indicate that the rosmarinic acid present in the extract has multi-target therapeutic activity [46]. In addition, D. tanguticum extracts had a protective effect against alcoholic liver disease in vitro and in vivo, and its mechanism of action may be related to the activation of Nrf2/Keap-1 and inhibition of the P65/NF-κB signaling pathways [148]. Treatment with the ethyl acetate extract of D. heterophyllum, containing verbascoside, rosmarinic acid with its methyl ester, luteolin, diosmetin, and dehydrodipine-9-β-D-glucoside, significantly ameliorated IRBP-induced experimental autoimmune uveitis in mice by suppressing the proliferation of autoreactive, antigen-specific CD4⁺ T cells [120]. Other research indicated that D. heterophyllum extract may serve as an anti-inflammatory agent in collagen-induced arthritis in mice [137].
Xing et al. [146] examined the effects of total flavonoid extract from D. moldavica aerial parts on the proliferation, migration, and adhesion molecule expression of TNF-α-induced rat vascular smooth muscle cells suggesting its potential in the treatment of atherosclerosis (Table 3). The flavonoid extract from this species also improved lung function in bleomycin-induced pulmonary fibrosis in mice by reducing inflammatory factor levels [143]. The D. moldavica extract demonstrated anti-inflammatory and antiseptic effects in lipopolysaccharide (LPS)-induced RAW 264.7 macrophages; the treatment increased survival rate in mice with septic shock [145]. Furthermore, Gang et al. [142] found D. moldavica extract to have anti-colitis effects in a dextran sulfate sodium (DSS)-induced chronic colitis model, highlighting its ability to modulate gut microbiota and inflammatory pathways.
Studies also indicated that D. moldavica and D. kotschyi have therapeutic effects on acetic acid-induced ulcerative colitis in rats [140,144]. Moreover, the methanolic extract of D. kotschyi and its isolated compound calycopterin exhibited pro-apoptotic activity in lymphocytes, inhibited lymphocyte proliferation, and suppressed nitric oxide production and pro-inflammatory cytokine activity in LPS-stimulated mouse macrophages [66,141].
The acetone extract of D. foetidum and three compounds isolated from the species, viz. a melitric acid A derivative, acacetin malonyl glucoside and glucuronide, showed significant hyaluronidase inhibitory activity, surpassing that of disodium cromoglicate [7]. Another study demonstrated that the alcoholic extract of D. rupestre effectively ameliorated intestinal inflammation in Salmonella-infected mice, and its ethyl acetate fraction exhibited hepatoprotective effects against CCl4-induced hepatic injury [57,146]. Two studies reported that compounds isolated from D. peregrinum (peregrinumin A, B, and C, peregrinumcin A, and A1′-methyl-2′-hydroxyethyl ferulate) exhibited notable anti-inflammatory activity in LPS-activated macrophages by inhibition of nitric oxide production [94,112] (Table 3).

6.3. Neuroprotective and Neuromodulatory Activity

Cognitive decline induced by chronic cerebral hypoperfusion is the most common problem during aging. The n-butanol extract obtained from D. tanguticum whole plant was found to improve the neurological abnormalities by upregulating antioxidant activity and neurotrophic factor synthesis after ischemia insult; this was particularly apparent in the ipsilateral frontal cortex and hippocampus of rat brains [51]. Other research has also demonstrated that D. multicaule extract can influence cognitive impairment and hippocampal neurodegeneration induced by chronic cerebral hypoperfusion [59].
The neuroprotective effect of D. moldavica on cerebral ischemia/reperfusion injury may be associated with the presence of flavonoids, which can limit oxidative stress and apoptosis [151]. D. moldavica extract, containing flavonoids, also displayed a protective effect on astrocytes under oxidative stress conditions induced by H2O2 [150]. Additionally, it has been documented that ethanolic extract of D. moldavica leaves significantly attenuated scopolamine-induced memory impairment [149], and had an antidepressant effect [71]. Moreover, D. moldavica aqueous extract inhibited neuronal activity in the central nervous system: treatment resulted in sedative properties, decreased locomotor activity, and muscular relaxation in experimental animals; these sedative effects may be influenced by the flavone glycosides present in the extract, especially the acacetin and diosmetin derivatives. Shafiee-Kandjani et al. [152] showed D. ruyschiana extract combined with Lavandula angustifolia and sertraline to be a remarkably efficient herbal remedy for the treatment of mild to moderate depression.
Extracts from three Iranian Dracocephalum species (D. kotschyi, D. multicaule, D. polychaetum) have been found to inhibit acetyl cholinesterase, butyryl cholinesterase, and tyrosinase; this may support the search for natural candidates for treating cognitive disorders [128,134]. Tyrosinase may play a significant role in the neurotoxicity created by dopamine associated with neurodegeneration in Parkinson’s disease, while the inhibition of AChE and BChE could be a therapeutic strategy for Alzheimer’s disease, senile dementia, ataxia, and myasthenia gravis.

6.4. Cardioprotective, Anti-Hypertension Activity

Some Dracocephalum species exhibit protective effects on the heart following myocardial ischemia–reperfusion injury and offer promise for the prevention and treatment of heart failure (Table 3). Most experiments have focused on D. moldavica or its flavonoids [101,110,131,132,153,154], with one study documenting the cardioprotective potential of its caffeic acid tetramers [69]. The myocardial protective effects of D. moldavica products are attributed to their antioxidant, anti-inflammatory, and anti-apoptotic properties. The studies provide convincing evidence that pre-treatment with extracts can improve heart rate and coronary flow, modify left ventricular developed pressure, inhibit myocardial apoptosis, enhance cardiomyocyte viability, and reduce infarct size. Moreover, it has been reported that D. moldavica may play a crucial role in preventing ischemia-/reperfusion-induced injuries, such as arrhythmia and infarction [155]. Additionally, the ethyl acetate fraction of D. moldavica, whose main metabolites are rosmarinic acid and tilianin, has been shown to be effective in preventing hypertension by modulating miRNA levels, gut microbiota, and host metabolism [32]. Moreover, Maimaitiyiming et al. [31] and Maimaiti et al. [156] report that the flavonoid-rich extract of D. moldavica has potential therapeutic effects in chronic mountain sickness of rats. D. moldavica treatment improved antioxidant parameters, reduced pulmonary artery pressure, and slowed the pathological effects in heart and brain tissue. Plants are believed to reduce oxidative damage by improving energy metabolism, protein metabolism, and anti-oxidative capacity.
Among other Dracocephalum species containing flavonoids, D. heterophyllum extract increased the viability of hypertrophic cardiomyocytes induced by angiotensis II [45]. Furthermore, luteolin and its derivatives isolated from D. tanguticum played significant roles in protecting against doxycycline-induced cardiotoxicity [102]. The 95% ethanol extract of D. tanguticum was found to exhibit endothelium-dependent vasodilatory effects, suggesting some components may have potential as antihypertensive agents [83].

6.5. Treatment of Metabolic Diseases

Dracocephalum species are also used in traditional medicine in diseases associated with metabolic disorders such as diabetes and hyperlipidemia. There are reports available confirming this spectrum of activity. The extract of aerial parts from D. kotschyi, D. polychaetum, and D. subcapitatum significantly decreased blood triglyceride, total cholesterol, and LDL-cholesterol levels and significantly increased HDL-cholesterol level in rats with hyperlipidemia caused by a high-fat diet, dexamethasone, or streptozotocin (Table 3) [60,61,157,158]. These species also lowered blood sugar level, whereas administration of D. kotschyi extract also demonstrated adipogenic effects on 3T3-L1 cells [157]. Moreover, extracts from leaves and flowers of D. kotschyi containing caffeic acid inhibited pancreas α-amylase activity, an enzyme essential for carbohydrate digestion [14], while phenylacetamide glycosides isolated from D. tanguticum exhibited moderate anti-hyperglycemic activity [84].

6.6. Anticancer Activity

Some Dracocephalum species displayed cytotoxic activity against various cancer cell lines; the potency depended on the species, type of extract, and type of cancer cell (Table 3). Most research in this area focuses on D. kotschyi. The cytotoxic effects of extracts from this species have been reported for various cancer cell lines, including human breast cancer (MCF-7, MDA-MB-231), human colon cancer (HT-29), human pulmonary adenocarcinoma (Calu-6), human lung cancer (Mehr-80, A549), hepatocellular carcinoma (HCC), human chronic myeloid leukemia (K562), human promyelocytic leukemia (HL-60), human cervical carcinoma (HeLa), human oral epithelial carcinoma (KB), human osteogenic sarcoma (Saos-2), human ovarian carcinoma (A2780), human malignant melanoma (A375), and human glioblastoma (A172) [13,159,160,162].
Some studies have identified flavonoids to have the greatest anticancer potential in D. kotschyi [118,160,162]. Eight flavonoids isolated from D. kotschyi exhibited activity against human acute promyelocytic leukemia (HL-60), human colon carcinoma (HT-29), human gastric adenocarcinoma (AGS), human osteosarcoma (Saos-2), and murine fibrosarcoma (WEHI-164), with IC50 values ranging between 5.1 and 50 µg/mL. The strongest effects were observed for apigenin and luteolin, while the weakest were seen for calycopterins and naringenins, though efficacy varied depending on the cell line [118]. Some flavonoids demonstrated preferential antiproliferative activity against specific malignant cell lines.
In another study, xanthomicrol was identified as the most potent cytotoxic component of D. kotschyi leaf extract [162]. In addition to in vitro cytotoxicity, D. kotschyi leaf extract also exhibited antitumor effects in vivo. It reduced tumor proliferation and volume in mice inoculated with WEHI-164 (fibrosarcoma) cells, and hepatocellular carcinoma induced by diethylnitrosamine in rats. The extract promoted ROS formation and stimulated mitochondrial membrane permeabilization and swelling in rat hepatocytes, ultimately inducing apoptosis in tumor cells.
Some studies have investigated the anticancer activity of phenolic compounds from D. moldavica. Its ethanolic extract was found to be effective against the colorectal adenocarcinoma (DLD-1) cell line [98]. Most anticancer studies on this species focused on isolated compounds, with tilianin demonstrating anticancer properties in in vitro experiments on human pharyngeal squamous carcinoma cells (FaDu cells). Tilianin inhibited malignant cell growth, reduced colony formation, and induced apoptosis [163]. Additionally, the lignan dracomolphin E, obtained from the aerial parts of D. moldavica, inhibited the proliferation of lung cancer NCI-H292 cells with an EC50 of 18.9 μM [119]. Diosmetin was the most effective polyphenol against the myeloma cell line KMS-12-PEW (IC50 = 26 µM), while cirsimaritin and xanthomicrol exhibited the strongest effects on the AML cell line Molm-13 (IC50 = 21.74 µM and 27.98 µM, respectively) [116]. Diosmetin isolated from D. peregrinum reduced the tumorigenicity of U251 glioma cells and promoted their apoptosis in vivo [54].
The methanol extract and ethyl acetate fraction from D. palmatum significantly decreased the viability of PC-3 prostate cancer cells [164]. Also, the fractions of D. palmatum ethanolic extract exhibited cytotoxicity against multiple large B-cell lymphoma cell lines (DHL4, DHL6, Ly1, Ly8, Ly19, and HBL1), with IC50 values ranging from 235.0 to 624.6 µg/mL. The most effective fraction contained flavonoids [165]. In addition, the ethanol extract of D. polychaetum inhibited a human breast cancer cell line (MCF-7) with an IC50 of 140 µg/mL and a human colon cancer cell line (HT-29) with an IC50 of 90 µg/mL [13].
Several mechanisms have been proposed for the anticancer activity of Dracocephalum species. However, most are believed to concern the promotion of apoptosis through suppression of anti-apoptotic Bcl-2 family proteins, disruption of mitochondrial membrane potential, activation of the TLR4 signaling pathway, and inhibition of MYC.

6.7. Antipathogenic Activity

Several studies have shown that extracts from aerial parts of Dracocephalum species, rich in phenolic compounds, exhibit antibacterial activity. D. kotschyi has demonstrated variable antibacterial activity depending on the type of extract used and the bacterial species tested. The ethyl acetate extract exhibited the strongest antibacterial effect, with minimum inhibitory concentration (MIC) values ranging between 0.781 and 12.5 mg/mL for Gram-positive bacteria (Staphylococcus aureus, Bacillus cereus, and Listeria monocytogenes) and between 25 and 100 mg/mL for Gram-negative bacteria (Salmonella enterica, Escherichia coli, and Enterobacter aerogenes) [14]. In another study, the acetone extract of D. kotschyi exhibited similar antibacterial activity against Gram-positive (S. aureus and Micrococcus luteus) and Gram-negative (E. coli and Pseudomonas aeruginosa) bacteria, with an MIC of 3.75 mg/mL [166]. The sensitivity of Mycobacterium tuberculosis to D. kotschyi methanolic extract varied depending on the bacterial strain. MIC50, i.e., 50% growth inhibition, was achieved at an extract concentration of 40 μg/mL for antibiotic-sensitive strains, and 320 μg/mL for multidrug-resistant strains [65].
Three studies have investigated the antibacterial activity of D. moldavica. Hydroethanolic extracts from different cultivars exhibited antibacterial activity, with significant variations depending on the bacterial species: the extracts were active against methicillin-resistant S. aureus (MRSA) and Gram-negative E. coli but showed no activity against P. aeruginosa [98]. In another study, the ethanolic extract inhibited the growth of antibiotic-resistant strains of E. coli and Klebsiella pneumoniae, with MIC values of 10 and 40 mg/mL, respectively [168]. In contrast, the ethyl acetate fraction exhibited significant antibacterial activity against five Gram-positive bacteria (S. aureus, S. epidermidis, S. haemolyticus, Enterococcus faecalis, and E. faecium) in a dose-dependent manner [168]. However, no antimicrobial activity was observed against Gram-negative bacteria at concentrations up to 250 mg/mL. Detailed analyses revealed that the extract, containing rosmarinic acid and flavonoids, caused significant structural and functional changes in MRSA cells, including decreased membrane integrity, increased cell lysis, inhibition of biofilm formation, and alterations in the bacterial protein profile. Anti-MRSA properties were also observed for D. polychaetum extract [169], which inhibited bacterial growth (MIC = 0.781–25 mg/mL), suppressed biofilm formation, and downregulated the expression of biofilm-associated genes such as icaD, icaA, bap, and sar.
The ethanol extract of D. multicaule exhibited promising antifungal activity against C. albicans, with a MIC of 50 μg/mL [77]. Ghoratolhamide et al. [16] reported that the methanol extract of D. kotshyi, obtained under optimized conditions, inhibited the growth of C. albicans, with minimum fungicidal concentrations (MFC) and MICs of 66.42 mg/mL and 59.77 mg/mL, respectively. However, no antifungal activity against Saccharomyces albicans, C. glabrata, C. krusei, or C. parapsilosis was observed for different extracts of D. moldavica at concentrations up to 250 mg/mL [167].
Extracts of D. heterophyllum and D. tanguticum demonstrated activity against herpes simplex virus type 2 (HSV-2) in vitro and in vivo. These extracts inhibited HSV-2 infection primarily by reducing viral attachment to the cell surface, diminishing viral infectivity, and strongly suppressing HSV DNA replication at a concentration of 4 mg/mL. Additionally, the extracts of both species, administered at a dose of 1 g/kg per day, significantly prolonged the mean survival times and reduced the mortality of mice with HSV-2-induced encephalitis [5].
Interestingly, isokaempferide and apigenin isolated from the ethyl acetate extract of D. kotschyi and D. subcapitatum displayed trypanocidal activities against epimastigotes of Trypanosoma cruzi, the etiological agent of Chagas disease [62,96]. The minimum lethal concentrations of these compounds were 30 µM and 70 µM, respectively.

6.8. Other Activities

Some species of Dracocephalum have demonstrated spasmolytic activity. However, studies in this area have only been conducted on D. kotschyi. Extracts of D. kotschyi were shown to prevent contractions induced by acetylcholine, KCl, or electrical field stimulation of isolated rabbit bladder tissue [170] (Table 3). This suggests that the plant may be useful for managing urinary incontinence caused by involuntary bladder spasms. Moreover, D. kotschyi extract might be useful in bronchospastic conditions such as asthma and chronic bronchitis. The experiment demonstrated relaxant effects against KCl- and ACh-induced contraction of tracheal smooth muscle in rabbits, which could be attributed to the presence of flavonoids such as apigenin and luteolin [171]. Hydroalcoholic and hexane extracts of D. kotschyi, as well as isolated apigenin, reduced intestinal transit in mice with diarrhea induced by castor oil or magnesium sulfate administration. This confirms that D. kotschyi has antispasmodic and antidiarrheal properties in vivo, indicating its potential as a therapeutic agent for gastrointestinal disorders [173]. In addition, the hydroalcoholic extract of D. kotschyi inhibited contractions induced by both KCl and acetylcholine in rat ileum, with the effects mainly being attributed to apigenin and luteolin [172]. Moreover, the hydroalcoholic extract, its ethyl acetate fraction, and isolated compounds, including apigenin, luteolin, and apigenin-4′-galactoside, significantly inhibited small intestine transit in mice following oral administration of a charcoal meal [106]. In a subsequent stage, D. kotschyi extract was successfully formulated into standardized oral dosage forms, including capsules and syrup, for potential use in further clinical trials [17].
Wandrey et al. [174] report that the hydroethanolic extract of D. moldavica contains various flavonoids that activated the innate longevity pathway in mouse C2C12 cells via AMPK-FOXO1 signaling. Plant material also promoted collagen expression and increased collagen levels in the nematode Caenorhabditis elegans, an established model organism in aging research. Moreover, when used as a food supplement (DracoBelle™ Nu) daily for two months, it increased dermal and epidermal density, skin moisturization, and elasticity in subjects with sun-damaged skin [174].

7. Toxicity of Dracocephalum Species

So far, limited evidence is available on the toxicity of species within the genus Dracocephalum. Most such studies involve in vitro cytotoxicity assays using non-tumor human or animal cell lines. For instance, D. palmatum extract indicated no cytotoxicity on murine splenocytes and bone marrow cells, nor any significant impact on the viability of human peripheral blood mononuclear cells at concentrations up to 1 mg/mL [165]. Similarly, D. kotschyi extract yielded IC50 values of approximately 480, 690, and >1000 μg/mL against human lymphocytes at 24, 48, and 72 h, respectively [177]. Moreover, D. moldavica ethanolic extract exhibited no significant effect on foreskin fibroblast survival [98]. Moghaddam et al. [118] investigated the antiproliferative activity of flavonoids isolated from D. kotschyi against fetal foreskin fibroblasts. While hydroxyflavones such as luteolin and apigenin demonstrated cytotoxicity, methoxylated derivatives selectively inhibited malignant cell growth while sparing non-cancerous fibroblasts. Furthermore, a 48 h exposure to D. moldavica methanolic extract fractions, including those enriched with flavonoids, did not result in significant cytotoxicity in a L929 mouse fibroblast cell line (IC50 > 200 μg/mL) [160].
Only a few studies have investigated the potential toxicity of extracts and compounds derived from Dracocephalum species in in vivo animal models. Pouraboli et al. [60] report that the hydromethanolic extract of D. polychaetum was relatively safe at doses up to 1500 mg/kg, as no symptoms of toxicity or mortality were observed for 48 h following administration to rats. In addition, no significant alterations in tissue architecture or systemic toxicity were detected in the lungs, heart, liver, and kidneys of male nude mice injected intraperitoneally with D. palmatum extract at a dose of 50 mg/kg daily for three weeks [165]. D. moldavica ethanolic extract, administered orally at doses up to 5000 mg/kg, did not result in mortality in mice. However, mild adverse effects, including sedation and reduced locomotor activity, were observed at 750 mg/kg [71]. Conversely, the aqueous extract of D. moldavica exhibited toxicity when administered intraperitoneally, with an LD50 of 470 mg/kg [30]. The animals were monitored for signs of toxicity for one hour post-administration and subsequently every 24 h for seven days. At doses of 1000 mg/kg, adverse effects such as diarrhea, diaphoresis, piloerection, and ataxia appeared immediately and persisted for two hours until death. At 370 mg/kg, the animals exhibited decreased locomotor activity and flaccidity lasting 1–2 h, while at 600 mg/kg, complete mortality was observed.
The hydroalcoholic extract of D. kotschyi did not induce significant biochemical or hematological changes when administered orally to rats for 30 days at doses of 50, 100, or 200 mg/kg. However, the 200 mg/kg dose caused a slight increase in liver enzymes, while the lower dose increased creatinine levels. Histological examination revealed no tissue damage in the liver or kidneys [178].
Additionally, toxicity studies on xanthomicrol, a compound isolated from D. kotschyi, were conducted in mice. When the compound was administered intraperitoneally at doses of 40 or 50 mg/kg, no significant changes were observed in biochemical markers or histological analysis of the kidneys, intestines, lungs, or heart compared to controls [179].
In another study, Zhang et al. [5] assessed the acute toxicity of D. heterophyllum and D. tanguticum extracts following intraperitoneal injection in mice. The LD50 values were determined to be 14.99 g/kg for D. heterophyllum and 5.62 g/kg for D. tanguticum. Animals in the low-dose groups exhibited mild reactions, including transient listlessness and immobility for 3–5 min post-administration. In contrast, those receiving high doses experienced an initial excitation followed by coma, dyspnea, and impaired coordination.
Overall, available data indicate that most Dracocephalum species exhibit low acute toxicity, particularly when administered orally. However, for certain extracts, intraperitoneal administration may result in toxicity at higher doses. Additionally, while most Dracocephalum extracts are non-cytotoxic to normal mammalian cells, specific flavonoids may exert selective antiproliferative effects on malignant cells. Further studies are warranted to elucidate the long-term safety profile and potential organ-specific toxicities of these extracts.

8. Conclusions and Future Directions

A detailed review was performed of the current knowledge regarding the structures, activities, and pharmacology of phenolic compounds of Dracocephalum species. More than 300 bioactive phenols have been documented, with flavonoids and phenolic acids being the most prevalent forms. The most widely distributed flavonoids among Dracocephalum species are luteolin and apigenin derivatives, with high levels of mono-, di-, tri-, tetra-, and pentamethoxylated flavones. In addition, the predominant phenolic acids include chlorogenic acid, coumaric acid, rosmarinic acid, and their derivatives. Additionally, several studies highlight the anti-inflammation, neuroprotection, cardioprotection, hepatoprotection, and immuno-modulatory potential of the plants of the Dracocephalum genus and their metabolites. However, while in vitro and in vivo studies provide promising evidence of their pharmacological effects, critical gaps remain that hinder their integration into official medicine.
Most studies on phytochemical analysis of Dracocephalum species are qualitative in nature and do not take into account the level of production of bioactive compounds and the influence of environmental factors on their biosynthesis. However, it is the plant metabolites and their content that determine the pharmacological potential of the raw material; as such, future studies should include a determination of the levels of these bioactive metabolites, and standardize any raw materials that are used.
While it is important to identify the bioactive ingredients that may have therapeutic potential, it is also essential to ensure that they have adequate bioavailability. However, data from clinical trials regarding bioavailability, metabolism, pharmacokinetics, and standardized dosing Dracocephalum raw materials remain scarce. Future research should focus on the pharmacokinetics of Dracocephalum-derived compounds and the standardization of extracts; well-designed clinical trials are also needed to validate their therapeutic efficacy. Furthermore, the molecular mechanisms underlying pharmacological effects of Dracocephalum plants require deeper exploration through advanced biochemical approaches; interdisciplinary studies integrating metabolomics, genomics, and systems biology approaches are essential to fully elucidate their mechanisms of action and therapeutic potential. Addressing these gaps will be crucial for the potential development of Dracocephalum products as conventional pharmacological agents with standardized applications in modern phytotherapy.

Supplementary Materials

The following supporting information can be downloaded at: https://www.mdpi.com/article/10.3390/molecules30092017/s1. Table S1: Distribution of phenolic compounds in Dracocephalum species.

Author Contributions

Conceptualization: I.W.-J.; Formal analysis: I.W.-J. and I.G.-K.; Visualization: I.W.-J. and I.G.-K.; Writing—original draft: I.W.-J. and I.G.-K.; Writing—review and editing: I.G.-K. All authors have read and agreed to the published version of the manuscript.

Funding

This work was supported by the Medical University of Lodz, grant no. 503/3-012-01/503-31-001.

Conflicts of Interest

The authors declare no conflicts of interest.

References

  1. Chaachouay, N.; Zidane, L. Plant-derived natural products: A source for drug discovery and development. Drugs Drug Candidates 2024, 3, 184–207. [Google Scholar] [CrossRef]
  2. Ortiz-Mendoza, N.; Martínez-Gordillo, M.J.; Martínez-Ambriz, E.; Basurto-Peña, F.A.; González-Trujano, M.E.; Aguirre-Hernández, E. Ethnobotanical, phytochemical, and pharmacological properties of the subfamily Nepetoideae (Lamiaceae) in inflammatory diseases. Plants 2023, 12, 3752. [Google Scholar] [CrossRef] [PubMed]
  3. Liu, H.; Feng, X.; Zhao, Y.; Lv, G.; Zhang, C.; Aruhan; Damba, T.A.; Zhang, N.; Hao, D.; Li, M. Pharmacophylogenetic relationships of genus Dracocephalum and its related genera based on multifaceted analysis. Front. Pharmacol. 2024, 15, 1449426. [Google Scholar] [CrossRef] [PubMed]
  4. Abdullaeva, N.S.; Khodzhimatov, O.K.; Azimova, D.E. The genus Dracocephalum L. in the phytogeographical regions of Uzbekistan. Am. J. Plant Sci. 2019, 10, 1527–1535. [Google Scholar] [CrossRef]
  5. Zhang, C.J.; Li, W.; Li, H.Y.; Song, Y.; Zhao, X.W. In vivo and in vitro antiviral activity of five Tibetan medicinal plant extracts against herpes simplex virus type 2 infection. Pharm. Biol. 2009, 47, 598–607. [Google Scholar] [CrossRef]
  6. Ballabh, B.; Chaurasia, O.P. Traditional medicinal plants of cold desert Ladakh-used in treatment of cold, cough and fever. J. Ethnopharmacol. 2007, 13, 341–349. [Google Scholar] [CrossRef]
  7. Selenge, E.; Murata, T.; Tanaka, S.; Sasaki, K.; Batkhuu, J.; Yoshizaki, F. Monoterpene glycosides, phenylpropanoids, and acacetin glycosides from Dracocephalum foetidum. Phytochemistry 2014, 101, 91–100. [Google Scholar] [CrossRef]
  8. Heydari, P.; Yavari, M.; Adibi, P.; Asghari, G.; Ghanadian, S.M.; Dida, G.O.; Khamesipour, F. Medicinal properties and active constituents of Dracocephalum kotschyi and its significance in Iran: A systematic review. J. Evid.-Based Complement. Altern. Med. 2019, 2019, 9465309. [Google Scholar]
  9. Borghei, S.F.; Azizi, A.; Hadian, J.; Abdosi, V. Broad variation in herbage yield and essential oil content among Iranian Landraces of Dracocephalum moldavica. Biol. Forum 2015, 7, 1568–1574. [Google Scholar]
  10. Dastmalchi, K.; Dorman, H.J.D.; Laakso, I.; Hiltunen, R. Chemical composition and antioxidative activity of Moldavian balm (Dracocephalum moldavica L.) extracts. LWT—Food Sci. Technol. 2007, 40, 1655–1663. [Google Scholar] [CrossRef]
  11. Fattahi, M.; Nazeri, V.; Torras-Claveria, L.; Sefidkon, F.; Cusido, R.M.; Zamani, Z.; Palazon, J. Identification and quantification of leaf surface flavonoids in wild growing populations of Dracocephalum kotschyi by LC–DAD–ESI-MS. Food Chem. 2013, 141, 139–146. [Google Scholar] [CrossRef] [PubMed]
  12. Zeng, Q.; Jin, H.; Fu, J.; Qin, J.; Hu, H.; Yan, L.; Chen, M.; Zhang, W. Chemical constituents of plants from the genus Dracocephalum. Chem. Biodivers. 2010, 7, 1911–1929. [Google Scholar] [CrossRef] [PubMed]
  13. Taghizadeh, M.; Soltanian, S.; Nasibi, N. Phytochemical analysis of volatile and non-volatile fractions, antioxidant, and anti-cancer activities of Dracocephalum polychaetum and Dracocephalum kotschyi. J. Cardiovasc. Magn. Reson. 2022, 14, 11–19. [Google Scholar]
  14. Kazempour, M.; Shahangian, S.S.; Sariri, R. Dracocephalum kotschyi: Inhibition of critical enzyme relevant to type-2, diabetes, essential oil composition, bactericidal and anti-oxidant activity. Casp. J. Environ. Sci. 2024, 22, 289–303. [Google Scholar]
  15. Zeng, C.; Jiang, W.; Tan, M.; Xing, J.; He, C. Improved oral bioavailability of total flavonoids of Dracocephalum moldavica via composite phospholipid liposomes: Preparation, in vitro drug release and pharmacokinetics in rats. Pharmacogn. Mag. 2016, 12, 313–317. [Google Scholar]
  16. Ghoratolhamide, N.; Rezaee, M.; Madani, M. Optimization of antifungal extracts from Dracocephalum kotschyi using response surface methodology and evaluations of antifungal effects on Candida albicans. J. Shahrekord Univ. Med. Sci. 2022, 24, 60–69. [Google Scholar] [CrossRef]
  17. Sadraei, H.; Rasouli-Amirabadi, A.H.; Yegdaneh, A.; Tavakoli, N. Bioassay standardization of drug dosage form prepared from hydroalcoholic extract of Dracocephalum kotschyi. J. Herbmed. Pharmacol. 2022, 14, 435–443. [Google Scholar] [CrossRef]
  18. World Health Organization. Medicinal Plants in Mongolia. WHO Press: Geneva, Switzerland, 2013; pp. 52–54. [Google Scholar]
  19. Chen, Y.P.; Turdimatovich, T.O.; Nuraliev, M.S.; Lazarević, P.; Drew, B.T.; Xiang, C.L. Phylogeny and biogeography of the northern temperate genus Dracocephalum sl (Lamiaceae). Cladistics 2022, 38, 429–451. [Google Scholar] [CrossRef]
  20. Zhengyi, W.; Raven, P.H.; Deyuan, R.H. Flora of China; Science Press Beijing and Missouri Botanical Garden Press: Beijing, China, 1994; Volume 17, pp. 124–133. [Google Scholar]
  21. Ali, S.I.; Qaiser, M. Flora of Pakistan; Karachi University Press and Missouri Botanical Press: Karachi, Pakistan, 2001; pp. 121–127. [Google Scholar]
  22. Foroozandeh, E.; Asadi-Gharneh, H.S. Dracocephalum kotschyi Boiss.: An Iranian endemic medicinal plant; a review. J. Med. Herb. 2021, 12, 9–17. [Google Scholar]
  23. Koohdar, K.; Attar, F.; Talebi, S.M.; Sheidai, M. Contemporary interspecific hybridization between Dracocephalum kotschyi and Dracocephalum oligadenium (Lamiaceae): Evidence from morphological, anatomical and molecular data. Acta Biol. Szeged. 2018, 62, 123–129. [Google Scholar] [CrossRef]
  24. Davis, P.H. Flora of Turkey and East Agean Islands; University Press: Edinburg, UK, 1987; Volume 7, pp. 289–290. [Google Scholar]
  25. Olennikov, D.N.; Chirikova, N.K.; Zhanna, M. Chemical composition and antioxidant activity of Tánara Ótó (Dracocephalum palmatum Stephan), a medicinal plant used by the North-Yakutian Nomads. Molecules 2013, 18, 14105–14121. [Google Scholar] [CrossRef] [PubMed]
  26. Okhlopkova, Z.M.; Razgonova, M.P.; Pikula, K.S.; Zakharenko, A.M.; Piekoszewski, W.; Manakov, Y.A.; Ercisli, S.; Golokhvast, K.S. Dracocephalum palmatum S. and Dracocephalum ruyschiana L. originating from Yakutia: A high-resolution mass spectrometric approach for the comprehensive characterization of phenolic compounds. Appl. Sci. 2022, 12, 1766. [Google Scholar] [CrossRef]
  27. Bobrov, E.G. Flora URSS; Academiae Scientarum URSS: Mosqua, Leningrad, 1954; Volume 205, pp. 444–470. [Google Scholar]
  28. Plants of the World Online. Available online: https://powo.science.kew.org/taxon/urn:lsid:ipni.org:names:77177050-1/images (accessed on 10 September 2024).
  29. Wang, J.; Sun, J.; Wang, M.; Cui, H.; Zhou, W.; Li, G. Chemical constituents from Dracocephalum moldavica L. and their chemotaxonomic significance. Biochem. System. Ecol. 2022, 102, 104422. [Google Scholar] [CrossRef]
  30. Martínez-Vázquez, M.R.; Estrada-Reyes, A.; Martínez-Laurrabaquio, C.; López-Rubalcavac, C.; Heinze, G. Neuropharmacological study of Dracocephalum moldavica L. (Lamiaceae) in mice: Sedative effect and chemical analysis of an aqueous extract. J. Ethnopharmacol. 2012, 141, 908–917. [Google Scholar] [CrossRef]
  31. Maimaitiyiming, D.; Hu, G.; Aikemu, A.; Hui, S.W.; Zhan, X. The treatment of Uygur medicine Dracocephalum moldavica L. on chronic mountain sickness rat model. Pharmacogn. Mag. 2014, 10, 477–482. [Google Scholar]
  32. Yu, H.; Chen, Z.; Chen, H.; Wang, Z. Dracocephalum moldavica L. extract ameliorates intestinal inflammation by regulating gut microbiota and repairing the intestinal barrier in 2K1C rats. Arch. Biol. Sci. 2023, 75, 155–164. [Google Scholar] [CrossRef]
  33. Aslanipour, B.; Heidari, R.; Farnad, N. Phenolic combination and comparison of antioxidant activity in three different alcoholic extracts of Dracocephalum moldavica L. TURJAF 2017, 5, 199–206. [Google Scholar] [CrossRef][Green Version]
  34. Shatar, S.; Altantsetseg, S. Essential oil composition of some plants cultivated in Mongolian climate. J. Essent. Oil Res. 2000, 12, 745–750. [Google Scholar] [CrossRef]
  35. Lazarević, P.; Lazarević, M.; Krivošej, Z.; Stevanović, V. On the distribution of Dracocephalum ruyschiana (Lamiaceae) in the Balkan Peninsula. Phytol. Balcan. 2009, 15, 175–179. [Google Scholar]
  36. Heywood, V.H. Dracocephalum L. In Flora Europaea; Tutin, T.G., Chater, A.O., Heywood, V.H., Burges, N.A., Richardson, I.B.K., Valentine, D.H., Walters, S.M., Webb, D.A., Eds.; Cambridge University Press: London, UK, 1972; Volume 3. [Google Scholar]
  37. Bilz, M.; Kell, S.P.; Maxted, N.; Lansdown, R.V. European Red List of Vascular Plants; Office of the European Union: Luxembourg, 2011. [Google Scholar]
  38. Henriksen, S.; Hilmo, O. Norsk Rødliste for Arter 2015; Artsdatabanken: Trondheim, Norway, 2015. [Google Scholar]
  39. Witkowski, Z.J.; Król, W.; Solarz, W.; Kukuła, K.; Okarma, H.; Pawłowski, J.; Perzanowski, K.; Ruzicka, T.; Sandor, J.; Stanova, V.; et al. Carpathian List of Endangered Species; Witkowski, Z.J., Król, W., Solarz, W., Eds.; WWF International Danube-Carpathian Programme and Institute of Nature Conservation, Polish Academy of Sciences: Krakow, Poland, 2023. [Google Scholar]
  40. Nygaard, M.; Kopatz, A.; Speed, J.M.D.; Martin, M.D.; Prestø, T.; Kleven, O.; Bendiksby, M. Spatiotemporal monitoring of the rare northern dragonhead (Dracocephalum ruyschiana, Lamiaceae)—SNP genotyping and environmental niche modelling herbarium specimens. Ecol. Evol. 2022, 12, e9187. [Google Scholar] [CrossRef]
  41. Bornand, C.; Eggenberg, S.; Gygax, A.; Juillera, P.; Jutzi, M.; Marazzi, B.; Möhl, A.; Rometsch, S.; Sager, L.; Santiago, H. Regionale Rote Liste der Gefässpflanzen der Schweiz; Info Flora: Geneva, Switzerland; Bern, Switzerland; Lugano, Switzerland, 2019. [Google Scholar]
  42. Selenge, E.; Murata, T.; Kobayashi, K.; Batkhuu, J.; Yoshizaki, F. Flavone tetraglycosides and benzyl alcohol glycosides from the Mongolian medicinal plant Dracocephalum ruyschiana. J. Nat. Prod. 2013, 76, 186–193. [Google Scholar] [CrossRef] [PubMed]
  43. Sabiyeva, A.; Ishmuratova, M.Y.; Atazhanova, G.A.; Smagulov, M.K.; Zhuravel, I.A. Histochemical analysis of aerial part of Dracocephalum ruyschiana L. and Dracocephalum nutans L. growing in the territory of central Kazakhstan. Res. J. Pharm. Technol. 2022, 15, 3831–3835. [Google Scholar]
  44. Mahmood, U.; Kaul, V.K.; Singh, V.; Lal, B.; Negi, H.R.; Ahuja, P.S. Volatile constituents of the cold desert plant Dracocephalum heterophyllum Benth. Flavour Frag. J. 2005, 20, 173–175. [Google Scholar] [CrossRef]
  45. Jiang, H.; Zhang, C.; He, W. The effects of Dracocephalum heterophyllum Benth flavonoid on hypertrophic cardiomyocytes induced by angiotensin II in Rats. Med. Sci. Monit. 2018, 24, 6322–6330. [Google Scholar] [CrossRef]
  46. Fang, Y.; Sun, D.; Li, G.; Lv, Y.; Li, J.; Wang, Q.; Dang, J. Ethyl acetate extract of Dracocephalum heterophyllum Benth ameliorates nonalcoholic steatohepatitis and fibrosis via regulating bile acid metabolism, oxidative stress and inhibiting inflammation. Separations 2022, 9, 273. [Google Scholar] [CrossRef]
  47. Numonov, S.; Sharopov, F.; Qureshi, M.N.; Gofrzda, L.; Gulmurdov, I.; Khalilov, Q.; Setzer, W.N.; Habasi, M.; Aisa, H.A. The ursolic acid-rich extract of Dracocephalum heterophyllum Benth. with potent antidiabetic and cytotoxic activities. Appl. Sci. 2020, 10, 6505. [Google Scholar] [CrossRef]
  48. Raj, X.; Chaurasia, O.P.; Vajpayee, P.K.; Murugan, M.P.; Bala, S.S. Antioxidative activity and phytochemical investigation on a high altitude medicinal plant Dracocephalum heterophyllum Benth. Phcog. Net. 2010, 2, 112–117. [Google Scholar]
  49. Singht, N.; Kaul, V.K.; Megeji, N.W.; Singh, V.; Ahuja, P.S. Essential oil composition of three accessions of Dracocephalum heterophyllum Benth. cultivated at Palampur, India. Nat. Prod. Res. 2008, 22, 927–936. [Google Scholar] [CrossRef]
  50. Liu, G.; Xu, Z.; Chen, J.; Lang, G.; Tian, Q.; Shen, Y.; Chen, B.; Yao, S. On-line strategies for the identification of unknown flavone glycosides in Dracocephalum tanguticum Maxim. J. Chromatogr. B 2009, 877, 2545–2550. [Google Scholar] [CrossRef]
  51. Xu, J.X.; Yang, M.; Deng, K.J.; Zhou, K. Antioxidant activities of Dracocephalum tanguticum Maxim extract and its up-regulation on the expression of neurotrophic factors in a rat model of permanent focal cerebral ischemia. Am. J. Chin. Med. 2011, 39, 65–81. [Google Scholar] [CrossRef]
  52. Wu, Z.Y.; Li, X.W. Flora of China; Science Press: Beijing, China, 2005; Volume 65, p. 353. [Google Scholar]
  53. Olennikov, D.N.; Chirikova, N.K.; Kashchenko, N.I. Effect of low temperature cultivation on the phytochemical profile and bioactivity of arctic plants: A case of Dracocephalum palmatum. Int. J. Mol. Sci. 2017, 18, 2579. [Google Scholar] [CrossRef] [PubMed]
  54. Yan, Y.; Liu, X.; Gao, J.; Wu, Y.; Li, Y. Inhibition of TGF-β signaling in gliomas by the flavonoid diosmetin isolated from Dracocephalum peregrinum L. Molecules 2020, 25, 192. [Google Scholar] [CrossRef] [PubMed]
  55. Ren, D.M.; Qu, Z.; Wang, X.N.; Shi, J.; Lou, H.X. Simultaneous determination of nine major active compounds in Dracocephalum rupestre by HPLC. J. Pharm. Biomed. Anal. 2008, 48, 1441–1445. [Google Scholar] [CrossRef] [PubMed]
  56. Han, E.K.; Heo, T.I.; Amarsana, G.; Park, J.W.; Lee, J.H. The complete chloroplast genome sequence of the medicinal plant, Dracocephalum rupestre (Lamiaceae). Mitochondrial DNA Part B 2023, 8, 229–232. [Google Scholar] [CrossRef]
  57. Zhu, C.S.; Liu, K.; Wang, J.L.; Li, J.F.; Liu, M.F.; Hao, N.; Lin, Y.X.; Xiao, Z.F. Antioxidant activities and hepatoprotective potential of Dracocephalum rupestre Hance extract against CCl4-induced hepatotoxicity in Kunming mice. J. Food Biochem. 2018, 42, e12484. [Google Scholar] [CrossRef]
  58. Gao, J.; Wang, Z.; Chen, D.; Peng, J.; Xie, D.; Lin, Z.; Lin, Z.; Dai, W. Metabolomic characterization of the chemical compositions of Dracocephalum rupestre Hance. Food Res. Int. 2022, 161, 111871. [Google Scholar] [CrossRef]
  59. Khojasteh, F.; Nazerirad, G.; Roohi-Shahalibigloo, R. The effects of Dracocephalum multicaule on the cognitive impairment and hippocampal neurodegeneration induced by chronic cerebral hypoperfusion. Int. J. Basic Sci. Med. 2023, 8, 155–160. [Google Scholar] [CrossRef]
  60. Pouraboli, I.; Nazari, S.; Sabet, N.; Sharififar, F.; Jafari, M. Antidiabetic, antioxidant, and antilipid peroxidative activities of Dracocephalum polychaetum shoot extract in streptozotocin-induced diabetic rats: In vivo and in vitro studies. Pharm. Biol. 2016, 54, 272–278. [Google Scholar] [CrossRef]
  61. Safaeian, L.; Yazdiniapour, Z.; Hajibagher, S.; Bakhtiari, Z.; Karimian, P. The effect of Dracocephalum subcapitatum hydroalcoholic extract on dexamethasone-induced hyperlipidemic rats. Res. Pharm. Sci. 2024, 19, 319–327. [Google Scholar] [CrossRef]
  62. Saeidnia, S.; Goharia, A.R.; Ito, M.; Kiuchic, F.; Honda, G. Bioactive constituents from Dracocephalum subcapitatum (O. Kuntze) Lipsky. Z. Naturforsch. C J. Biosci. 2005, 60, 22–24. [Google Scholar] [CrossRef]
  63. Zhang, C.; Li, H.; Yun, T.; Fu, Y.; Liu, C.; Gong, B.; Neng, B. Chemical composition, antimicrobial and antioxidant activities of the essential oil of Tibetan herbal medicine Dracocephalum heterophyllum Benth. Nat. Prod. Res. 2008, 22, 1–11. [Google Scholar] [CrossRef] [PubMed]
  64. Mirzania, F.; Farimani, M.M. Biochemical evaluation of antioxidant activity, phenol and flavonoid contents, of Dracocephalum kotschyi Boiss extracts obtained with different solvents. Health Biotechnol. Biopharma 2018, 1, 32–44. [Google Scholar]
  65. Asghari, B.; Esfahani, B.N.; Paydar, P. Evaluating the effect of Dracocephalum kotschyi methanol extract on Mycobacterium tuberculosis. Res. J. Pharmacogn. 2015, 2, 31–36. [Google Scholar]
  66. Faham, N.; Javidnia, K.; Bahmani, M.; Amirghofran, Z. Calycopterin, an immunoinhibitory compound from the extract of Dracocephalum kotschyi. Phytother. Res. 2008, 22, 1154–1158. [Google Scholar] [CrossRef]
  67. Abbasi, N.; Fattahi, M.; Ghosta, Y.; Sefidkon, F. Volatile compounds and antifungal activity of Dracocephalum moldavica L. at different phenological stages. J. Essent. Oil Res. 2022, 34, 87–95. [Google Scholar] [CrossRef]
  68. Aprotosoaie, A.C.; Mihai, C.T.; Vochita, G.; Rotinberg, P.; Trifan, A.; Luca, S.V.; Petreus, T.; Gille, E.; Miron, A. Antigenotoxic and antioxidant activities of a polyphenolic extract from European Dracocephalum moldavica L. Ind. Crops Prod. 2016, 79, 248–257. [Google Scholar] [CrossRef]
  69. Zhang, J.I.; Yan, R.J.; Yu, N.; Zhang, X.; Chen, D.J.; Wu, T.; Xiu, J.G. A new caffeic acid tetramer from the Dracocephalum moldavica L. Nat. Prod. Res. 2018, 32, 370–373. [Google Scholar] [CrossRef]
  70. Tan, M.E.; He, C.H.; Jiang, W.; Zeng, C.; Yu, N.; Huang, W.; Gao, Z.G.; Xing, J.G. Development of solid lipid nanoparticles containing total flavonoid extract from Dracocephalum moldavica L. and their therapeutic effect against myocardial ischemia-reperfusion injury in rats. Int. J. Nanomed. 2017, 12, 3253–3265. [Google Scholar] [CrossRef]
  71. Zúñiga, M.I.J.; Mariles, A.J.H.; Flores, J.L.C.; Herrera, J.A.M.; Sotelo, M.G.R.; Montes, G.I.C.; Gómez, Y.M. Antidepressant-like effects of Dracocephalum moldavica L. in mouse models of immobility tests. Pharmacogn. J. 2019, 11, 976–983. [Google Scholar] [CrossRef]
  72. Nie, L.; Li, R.; Huang, J.; Wang, L.; Ma, M.; Huang, C.; Wu, T.; Yan, R.; Hu, X. Abietane diterpenoids from Dracocephalum moldavica L. and their anti-inflammatory activities in vitro. Phytochemistry 2021, 184, 112680. [Google Scholar] [CrossRef]
  73. Yu, N.; He, C.H.; Awuti, G.; Zeng, C.; Xing, J.G.; Huang, W. Simultaneous determination of six active compounds in Yixin Badiranjibuya Granules, a traditional Chinese Medicine, by RP-HPLC-UV method. J. Anal. Met. Chem. 2015, 2015, 974039. [Google Scholar] [CrossRef] [PubMed]
  74. Moldovan, C.; Nitu, S.; Hermeziu, M.; Vidican, R.; Sandor, M.; Gâdea, S.; David, A.; Stoian, V.A.; Vâtca, S.D.; Stoian, V. Growth characteristics of Dracocephalum moldavica L. in relation to density for sustainable cropping technology development. Agriculture 2022, 12, 789. [Google Scholar] [CrossRef]
  75. Esmaeili, M.A.; Sonboli, A.; Mirjalili, M.H. Oxidative stress protective effect of Dracocephalum multicaule essential oil against human cancer cell line. Nat. Prod. Res. 2014, 28, 848–852. [Google Scholar] [CrossRef] [PubMed]
  76. Zargari, A. Medicinal Plants; Tehran University Press: Teheran, Iran, 1990; Volume 3. [Google Scholar]
  77. Boroujeni, H.A.R.; Pirbalouti, A.G.; Hamedi, B.; Abdizadeh, R.; Malekpoor, F. Anti-candida activity of ethanolic extracts of Iranian endemic medicinal herbs against Candida albicans. J. Med. Plants Res. 2012, 6, 2448–2452. [Google Scholar]
  78. Yurinskii, T. Materials to the flora of the Verkhoyansk region of Yakutian region. In The News of Yakutian Department of the Imperial Russian Geographic Association; Oblastnaya Tipographia: Yakutsk, Russia, 1915; Volume 1, pp. 26–58. [Google Scholar]
  79. Khodami, M.; Mohamadi, N.; Goodarzi, M. Evaluation of the antioxidant capacity of the various extracts of Dracocephalum polychaetum. Int. J. Life Sci. 2015, 9, 31–34. [Google Scholar] [CrossRef]
  80. Hu, Q.; Zhang, D.D.; Wang, L.; Lou, H.; Ren, D. Eriodictyol-7-O-glucoside, a novel Nrf2 activator, confers protection against cisplatin-induced toxicity. Food Chem. Toxicol. 2012, 50, 1927–1932. [Google Scholar] [CrossRef]
  81. Liga, U. Medicinal Plants of Mongolia Used in Western and Eastern Medicine; JCK Printing: Ulaanbaatar, Mongolia, 2006; p. 528. [Google Scholar]
  82. Kleven, O.; Endrestøl, A.; Evju, M.; Stabbetorp, O.E.; Westergaard, K.B. SNP discovery in the northern dragonhead Dracocephalum ruyschiana. Conserv. Genet. Resour. 2019, 11, 431–435. [Google Scholar] [CrossRef]
  83. Hu, L.J.; Zeng, L.; Ma, E.G.; Yang, C.; Wu, H.Y.; Li, P.G. Dratanguticumides G and H, two new glucosides from Dracocephalum tanguticum Maxim relax vessels via NO pathway. Phytochem. Lett. 2020, 40, 42–48. [Google Scholar] [CrossRef]
  84. Ma, E.G.; Wu, H.Y.; Hu, L.J.; Wei, M.; Mou, L.Y.; Li, G.P. Three new phenylacetamide glycosides from Dracocephalum tanguticum Maxim and their anti-hyperglycemic activity. Nat. Prod. Res. 2020, 34, 1827–1835. [Google Scholar] [CrossRef]
  85. Li, H.; Fu, Y.; Sun, H.; Zhang, Y.; Lan, X. Transcriptomic analyses reveal biosynthetic genes related to rosmarinic acid in Dracocephalum tanguticum. Sci. Rep. 2017, 7, 74. [Google Scholar] [CrossRef]
  86. Maham, M.; Akbari, H.; Delazar, A. Chemical composition and antinociceptive effect of the essential oil of Dracocephalum moldavica L. Pharm. Sci. 2013, 18, 187–192. [Google Scholar]
  87. Dang, J.; Wang, S.; Shao, Y. Preparative isolation of antioxidative compounds from Dracocephalum heterophyllum using off-line two-dimensional reversed-phase liquid chromatography/hydrophilic interaction chromatography guided by on-line HPLC-DPPH assay. J. Chromatogr. B 2018, 1095, 267–274. [Google Scholar] [CrossRef] [PubMed]
  88. Lv, Y.; Wang, Z.; Wu, Q.; Fang, Y.; Wang, Q.; Li, G.; Dang, J. Preparation and antioxidant activities of phenylethanoids from Dracocephalum heterophyllum. Separations 2022, 9, 111. [Google Scholar] [CrossRef]
  89. Okayama, M.; Kitabatake, S.; Sato, M.; Fujimori, K.; Ichikawa, D.; Matushita, M.; Suto, Y.; Iwaski, G.; Yawada, T.; Kiuchi, F.; et al. A novel derivative (GTN024) from a natural product, komaroviquinone, induced the apoptosis of high-risk myeloma cells via reactive oxygen production and ER stress. Biochem. Biophys. Res. Commun. 2018, 505, 787–793. [Google Scholar] [CrossRef] [PubMed]
  90. Newman, D.J.; Cragg, G.M. Natural products as sources of new drugs over the nearly four decades from 01/1981 to 09/2019. J. Nat. Prod. 2020, 83, 770–803. [Google Scholar] [CrossRef]
  91. Kumar, N.; Goel, N. Phenolic acids: Natural versatile molecules with promising therapeutic applications. Biotechnol. Rep. 2019, 24, e00370. [Google Scholar] [CrossRef]
  92. Wang, L.; Wang, S.; Yang, S.; Guo, X.; Lou, H.; Ren, D. Phenolic alkaloids from the aerial parts of Dracocephalum heterophyllum. Phytochemistry 2012, 82, 166–171. [Google Scholar] [CrossRef]
  93. Fattahi, A.; Shakeri, A.; Tayarani-Najaran, Z.; Kharbach, M.; Segers, K.; Heyden, Y.V.; Taghizadeh, S.F.; Rahmani, H.; Asili, J. UPLC–PDA-ESI–QTOF–MS/MS and GC-MS analysis of Iranian Dracocephalum moldavica L. Food Sci. Nutr. 2021, 9, 4278–4286. [Google Scholar] [CrossRef]
  94. Dai, L.M.; Zhao, C.C.; Jin, H.Z.; Tang, J.; Shen, Y.H.; Li, H.L.; Peng, C.Y.; Zhang, W.D. A new ferulic acid ester and other constituents from Dracocephalum peregrinum. Arch. Pharmacal Res. 2008, 31, 1325–1329. [Google Scholar] [CrossRef]
  95. Shen, J.; Ye, Y.H.; Zhou, Y.W. Bioactive chemical constituents from Tibetan medicine Dracocephalum tanguticum Maxim. J. Chin. Pharm. Sci. 2009, 44, 170–175. [Google Scholar]
  96. Gohari, A.R.; Saeidnia, S.; Matsuo, K.; Uchiyama, N.; Yagura, T.; Ito, M.; Kichui, F.; Honda, G. Flavonoid constituents of Dracocephalum kotschyi growing in Iran and their trypanocidal activity. J. Nat. Med. 2003, 57, 250–252. [Google Scholar]
  97. Yang, S.; Wang, L.; Guo, X.; Lou, H.; Ren, D. A new flavonoid glycoside and other constituents from Dracocephalum moldavica. Nat. Prod. Res. 2013, 27, 201–207. [Google Scholar] [CrossRef] [PubMed]
  98. Simea, S.; Ielciu, I.; Hanganu, D.; Niculae, M.; Pall, E.; Burtescu, R.F.; Olah, N.K.; Cenariu, M.; Oniga, I.; Benedec, D.; et al. Evaluation of the cytotoxic, antioxidative and antimicrobial effects of Dracocephalum moldavica L. cultivcars. Molecules 2023, 28, 1604. [Google Scholar] [CrossRef] [PubMed]
  99. Li, Q.; Liu, Y.; Han, L.; Liu, J.; Liu, W.; Feng, F.; Zhang, J.; Xie, N. Chemical constituents and quality control of two Dracocephalum species based on high-performance liquid chromatographic fingerprints coupled with tandem mass spectrometry and chemometrics. J. Sep. Sci. 2016, 39, 4071–4085. [Google Scholar] [CrossRef]
  100. Oganesyan, G.B. Minor flavonols from Dracocephalum multicaule. Chem. Nat. Comp. 2009, 45, 242–243. [Google Scholar] [CrossRef]
  101. Zheng, R.; Kader, K.; Liu, D.W.; Su, W.L.; Xu, L.; Jin, Y.Y.; Xing, Y.G. A network pharmacology approach to decipher the mechanism of total flavonoids from Dracocephalum moldavica L. in the treatment of cardiovascular diseases. BMC Complement. Med. Ther. 2024, 24, 15. [Google Scholar] [CrossRef]
  102. Wang, S.Q.; Han, X.Z.; Li, X.; Ren, D.M.; Wang, X.N.; Lou, H.X. Flavonoids from Dracocephalum tanguticum and their cardioprotective effects against doxorubicin-induced toxicity in H9c2 cells. Bioorg. Med. Chem. Lett. 2010, 20, 6411–6415. [Google Scholar] [CrossRef]
  103. Olennikov, D.N.; Chirikova, N.K.; Kim, E.; Kim, S.W.; Zulfugarov, I.S. New glycosides of eridictyol from Dracocephalum palmatum. Chem. Nat. Comp. 2018, 54, 860–863. [Google Scholar] [CrossRef]
  104. Hu, X.; Mola, Y.; Su, W.l.; Wang, Y.; Zheng, R.F.; Xing, J.G. A network pharmacology approach to decipher the total flavonoid extract of Dracocephalum moldavica L. in the treatment of cerebral ischemia-reperfusion injury. PLoS ONE 2023, 18, e0289118. [Google Scholar] [CrossRef]
  105. Yang, L.N.; Xing, J.G.; He, C.H.; Wu, T. The phenolic compounds from Dracocephalum moldavica L. Biochem. System. Ecol. 2014, 54, 19–22. [Google Scholar] [CrossRef]
  106. Sadraei, H.; Ghanadian, S.M.; Moazeni, S. Inhibitory effect of hydroalcoholic and flavonoids extracts of Dracocephalum kotschyi, and its components luteolin, apigenin and apigenin-4’-galactoside on intestinal transit in mice. J. Herbmed. Pharmacol. 2019, 8, 8–13. [Google Scholar] [CrossRef]
  107. Olennikov, D.N.; Chirikova, N.K. Dracoplasmide, a new flavonoid from Dracocephalum palmatum. Chem. Nat. Comp. 2015, 51, 1067–1069. [Google Scholar] [CrossRef]
  108. Zeng, Q.; Chang, R.; Qin, J.; Cheng, X.; Zhang, W.; Jin, H. New Glycosides from Dracocephalum tanguticum Maxim. Arch. Pharm. Res. 2011, 34, 2015–2020. [Google Scholar] [CrossRef] [PubMed]
  109. Fu, P.; Zhao, C.C.; Tang, J.; Shen, Y.H.; Xu, X.K.; Zhang, W.D. Triterpenoids and flavonoids from chloroform fraction of Dracocephalum peregrinum. Chem. Nat. Comp. 2009, 45, 927–928. [Google Scholar] [CrossRef]
  110. Zeng, C.; Jiang, W.; Yang, X.; He, C.; Wang, W.; Xing, J. Pretreatment with total flavonoid extract from Dracocephalum moldavica L. attenuates ischemia reperfusion-induced apoptosis. Sci. Rep. 2018, 8, 17491. [Google Scholar] [CrossRef]
  111. Numonov, S.R.; Usmanova, S.K.; Aisa, H.A. Chemical composition of Dracocephalum heterophyllum. Chem. Nat. Comp. 2013, 49, 511–513. [Google Scholar] [CrossRef]
  112. Fu, P.; Zhao, C.C.; Tang, J.; Shen, Y.H.; Xu, X.K.; Zhang, W.D. New flavonoid glycosides and cyanogenic glycosides from Dracocephalum peregrinum. Chem. Pharm. Bull. 2009, 57, 207–2010. [Google Scholar] [CrossRef]
  113. Sultan, A.; Bahang, H.A.; Eshbakova, A.K.A. Flavonoids from Dracocephalum moldavica. Chem. Nat. Com. 2008, 44, 366–367. [Google Scholar] [CrossRef]
  114. Ashrafian, S.; Farimani, M.M.; Sonboli, A.; Ashrafian, H.; Kabiri, M.; Rezadoosta, H. Simultaneous characterization of nine isolated flavonoids in Iranian Dracocephalum species and in silico study of their inhibitory properties against MTH1 enzyme. S. Afr. J. Bot. 2022, 146, 254261. [Google Scholar] [CrossRef]
  115. Yang, X.; Wang, N.; Shen, C.; Li, H.; Zhao, J.; Chen, T.; Li, Y. An effective method based on medium-pressure liquid chromatography and recycling high-speed counter-current chromatography for enrichment and separation of three minor components with similar polarity from Dracocephalum tanguticum. J. Sep. Sci. 2019, 42, 3684–3690. [Google Scholar] [CrossRef]
  116. Jöhrer, K.; Pérez, M.P.; Kircher, B.; Çiçek, S.S. Flavones, flavonols, lignans, and caffeic acid derivatives from Dracocephalum moldavica and their in vitro effects on multiple myeloma and acute myeloid leukemia. Int. J. Mol. Sci. 2022, 23, 14219. [Google Scholar] [CrossRef] [PubMed]
  117. Chen, T.; Yang, X.; Wang, S.; Shen, C.; Li, H.; Wei, Y.; Yan, S.; Song, Z.; Yang, F.; Liu, Y.; et al. Separation of five flavone glycosides including two groups with similar polarities from Dracocephalum tanguticum by a combination of three high-speed counter-current chromatography modes. J. Sep. Sci. 2022, 45, 468–476. [Google Scholar] [CrossRef] [PubMed]
  118. Moghaddam, G.S.; Ebrahimi, A.; Rahbar-Roshandel, N.; Foroumadi, A. Antiproliferative activity of flavonoids: Influence of the sequential methoxylation state of the flavonoid structure. Phytother. Res. 2012, 26, 1023–1028. [Google Scholar] [CrossRef] [PubMed]
  119. Zhang, H.; Wang, S.; Liu, Q.; Zheng, H.; Liu, X.; Wang, X.; Shen, T.; Ren, D. Dracomolphin A-E, new lignans from Dracocephalum moldavica. Fitoterapia 2021, 150, 104841. [Google Scholar] [CrossRef]
  120. Bian, J.; Wang, K.; Wang, Q.; Wang, T.; Shi, E.; Ruan, Q. Dracocephalum heterophyllum (DH) Exhibits potent anti-proliferative effects on autoreactive CD4+ T cells and ameliorates the development of experimental autoimmune uveitis. Frontiers 2020, 11, 575669. [Google Scholar] [CrossRef]
  121. Zhang, H.; Xu, L.; Liu, X.; Fan, J.; Wang, X.; Shen, T.; Wang, S.; Ren, D. Dracomolphesin A–E, five 3,4-seco-phenylpropanoids with Nrf2 inducing activity from Dracocephalum moldavica. Chin. Chem. Lett. 2020, 31, 1259–1262. [Google Scholar] [CrossRef]
  122. Ren, D.M.; Guo, H.F.; Yu, W.T.; Wang, S.Q.; Ji, M.; Lou, H.X. Stereochemistry of flavonoidal alkaloids from Dracocephalum rupestre. Phytochemistry 2008, 69, 1425–1433. [Google Scholar] [CrossRef]
  123. Dang, J.; Lv, Y.; Li, C.; Fang, Y.; Li, G.; Wang, Q. Integrated chromatographic approach for the discovery of gingerol antioxidants from Dracocephalum heterophyllum and their potential targets. Anal. Methods 2022, 14, 4133. [Google Scholar] [CrossRef]
  124. Lv, Y.; Li, C.; Wang, Z.; Wang, Q.; Li, G.; Dang, J. Preparative isolation of antioxidative furanocoumarins from Dracocephalum heterophyllum and their potential action target. J. Sep. Sci. 2022, 45, 4375–4387. [Google Scholar] [CrossRef]
  125. Ren, D.M.; Guo, H.F.; Wang, S.Q.; Lou, H.X. Separation and structure determination of two diastereomeric pairs of enantiomers from Dracocephalum rupestre by high-performance liquid chromatography with circular dichroism detection. J. Chromatogr. A 2007, 1161, 334–337. [Google Scholar] [CrossRef]
  126. Shi, Q.Q.; Dang, J.; Wen, H.X.; Yuan, X.; Tao, Y.D.; Wang, Q.L. Anti-hepatitis, antioxidant activities and bioactive compounds of Dracocephalum heterophyllum extracts. Bot. Stud. 2016, 57, 16. [Google Scholar] [CrossRef] [PubMed]
  127. Moradi, H.; Ghavama, M.; Tavili, A. Study of antioxidant activity and some herbal compounds of Dracocephalum kotschyi Boiss. in different ages of growth. Biotechnol. Rep. 2020, 25, e00408. [Google Scholar] [CrossRef] [PubMed]
  128. Khodaei, M.; Amanzadeh, Y.; Faramarzi, M.A.; Pirali-Hamedani, M.; Adhami, H.R. Cholinesterase inhibitory, anti-oxidant and anti-tyrosinase activities of three Iranian species of Dracocephalum. Res. J. Pharmacogn. 2019, 6, 25–31. [Google Scholar]
  129. Kamali, H.; Kohdaverdi, E.; Hadizadeh, F.; Ghaziaskar, S.H. Optimization of phenolic and flavonoid content and antioxidants capacity of pressurized liquid extraction from Dracocephalum kotschyi via circumscribed central composite. J. Supercritic. Fluids 2016, 107, 307–314. [Google Scholar] [CrossRef]
  130. Faghihinia, L.; Monajjemi, R.; Ranjbar, M. Cytotoxic and antioxidant effects of methanol, hexane, chloroform and aqueous extracts of Dracocephalum kotschyi aerial parts on MDA-MB-231 cell line. J. Bus. Econ. Stat. 2015, 6, 334–340. [Google Scholar]
  131. Jin, M.; Yu, H.; Jin, X.; Yan, L.; Wang, J.; Wang, Z. Dracocephalum moldavica L. extracts protect H9c2 cardiomyocytes against H2O2-induced apoptosis and oxidative stress. BioMed Res. Int. 2020, 2020, 8379358. [Google Scholar] [CrossRef]
  132. Jiang, J.; Yuan, X.; Wang, T.; Chen, H.; Zhao, H.; Yan, X.; Wang, Z.; Sun, X.; Zheng, Q. Antioxidative and cardioprotective effects of total flavonoids extracted from Dracocephalum moldavica L. against acute ischemia/reperfusion-induced myocardial injury in isolated rat heart. Cardiovasc. Toxicol. 2014, 14, 74–82. [Google Scholar] [CrossRef]
  133. Povilaityté, V.; Cuvelier, M.E.; Berset, C. Antioxidant properties of Moldavian dragonhead (Dracocephalum moldavica L.). J. Food Lipids 2001, 8, 45–64. [Google Scholar] [CrossRef]
  134. Mandegary, A.; Soodi, M.; Sharififar, F.; Ahmadi, S. Anticholinesterase, antioxidant, and neuroprotective effects of Tripleurospermum disciforme and Dracocephalum multicaule. J. Ayurveda Integr. Med. 2014, 5, 162–166. [Google Scholar]
  135. Pirbalouti, A.G.; Siahpoosh, A.; Setayesh, M.; Craker, L. Antioxidant activity, total phenolic and flavonoid contents of some medicinal and aromatic plants used as herbal teas and condiments in Iran. J. Med. Food 2014, 17, 1151–1157. [Google Scholar] [CrossRef]
  136. Shahdadi, F.; Payandeh, M.A.; Sardoei, A.S. Comparison of antioxidant activity of Dracocephalum polychaetum Bornm and Nepeta cataria L. and their effect on probiotic bacteria in a simulated gastrointestinal environment. J. Med. Microbiol. Infect. Dis. 2021, 9, 5–11. [Google Scholar] [CrossRef]
  137. Wang, Y.; Lai, D.; Geng, Y.; Shang, P.; Wang, P. Therapeutic effects of Dracocephalum heterophyllum in collagen artrithis. A.A.P.S. Open 2022, 8, 4. [Google Scholar]
  138. Zheng, W.; Wang, Q.; Lu, X.; Shi, Q.; Zou, J.; Tao, Y.; Wang, P. Protective effects of Dracocephalum heterophyllum in ConA-induced acute hepatitis. Mediat. Inflamm. 2016, 2016, 2684321. [Google Scholar] [CrossRef] [PubMed]
  139. Hosseini-Sharifabad, A.; Sadraei, H.; Hashemnia, M.; Sajjadi, S.E.; Mirdamadi, Z. Effect of hydroalcoholic and aqueous extracts of Dracocephalum kotschyi on bleomycin induced pulmonary fibrosis. J. Herbmed. Pharmacol. 2021, 10, 209–217. [Google Scholar] [CrossRef]
  140. Sadraei, H.; Asghari, G.; Khanabadi, M.; Minaiyan, M. Anti-inflammatory effect of apigenin and hydroalcoholic extract of Dracocephalum kotschyi on acetic acid-induced colitis in rats. Res. Pharm. Sci. 2017, 12, 322–329. [Google Scholar]
  141. Amirghofran, Z.; Malek-Hosseini, S.; Golmoghaddam, H.; Kalantar, F.; Shabani, M. Inhibition of nitric oxide production and proinflammatory cytokines by several medicinal plants. Iran. J. Immunol. 2011, 8, 159–169. [Google Scholar]
  142. Gang, S.; Bai, W.; Yu, H.; Gula, A.; Wang, Z. Dracocephalum moldavica L. extract alleviates experimental colitis in rats by modulating gut microbiome and inflammatory pathways. Mol. Med. Rep. 2023, 28, 228. [Google Scholar] [CrossRef]
  143. He, C.H.; Lv, J.M.; Khan, G.J.; Duan, H.; Wang, W.; Zhai, K.F.; Zou, G.A.; Aisa, H. Total flavonoid extract from Dracocephalum moldavica L. improves pulmonary fibrosis by reducing inflammation and inhibiting the hedgehog signaling pathway. Phytother. Res. 2023, 37, 2745–2758. [Google Scholar] [CrossRef]
  144. Mahmoudzadeh, L.; Froushani, S.M.; Zeinali, Z. Hydro-alcoholic extract of Dracocephalum moldavica for treatment of ulcerative colitis in Wistar rats. Hum. Health Halal Metr. 2023, 4, 38–47. [Google Scholar]
  145. Kim, K.M.; Kim, S.Y.; Mony, T.J.; Bae, H.J.; Han, S.D.; Lee, E.S.; Choi, S.H.; Hong, S.H.; Lee, S.D.; Park, S.J. Dracocephalum moldavica ethanol extract suppresses LPS-induced inflammatory responses through inhibition of the JNK/ERK/NF-B signaling pathway and IL-6 production in RAW 264.7 macrophages and in endotoxic-treated mice. Nutrients 2021, 13, 4501. [Google Scholar] [CrossRef]
  146. Xing, J.; Peng, K.; Cao, W.; Lian, X.; Wang, Q.; Wang, X. Effects of total flavonoids from Dracocephalum moldavica on the proliferation, migration, and adhesion molecule expression of rat vascular smooth muscle cells induced by TNF-α. Pharm. Biol. 2013, 51, 74–83. [Google Scholar] [CrossRef] [PubMed]
  147. Ban, D.; Sang, Z.G.; Fan, Y.; Fu, G.; Yang, H.; Si, L. Therapeutic potential of compound extract from Dracocephalum rupestre Hance. and Berberidis radix against Salmonella-induced lamb diarrhoea. Sci. Rep. 2024, 14, 23789. [Google Scholar] [CrossRef] [PubMed]
  148. Guo, M.; Gu, L.; Hui, H.; Li, X.; Jin, L. Extracts of Dracocephalum tanguticum Maxim. ameliorate acute alcoholic liver disease via regulating transcription factors in mice. Front. Pharmacol. 2022, 13, 830532. [Google Scholar] [CrossRef] [PubMed]
  149. Deepa, P.; Bae, H.J.; Park, H.B.; Kim, S.K.; Choi, J.W.; Kim, D.H.; Liu, X.Q.; Ryu, J.H.; Park, S.J. Dracocephalum moldavica attenuates scopolamine-induced cognitive impairment through activation of hippocampal ERK-CREB signaling in mice. J. Ethnopharmacol. 2020, 253, 112651. [Google Scholar] [CrossRef]
  150. Zheng, R.F.; Du, Y.W.; Zeng, C.; Wang, H.F.; Xing, J.G.; Xu, M. Total flavones of Dracocephalum moldavica L. protect astrocytes against H2O2-induced apoptosis through a mitochondria dependent pathway. BMC Complement. Med. Ther. 2020, 20, 78. [Google Scholar] [CrossRef]
  151. Sun, Y.; Liu, T.; Dai, X.; Jiang, Z.; Gao, Z.; Zhang, M.; Wang, D.; Zheng, Q. Neuroprotective effect of Dracocephalum moldavica L. total flavonoids in transient cerebral ischemia in rats. Annu. Res. Rev. Biol. 2014, 4, 1915–1926. [Google Scholar] [CrossRef]
  152. Shafiee-Kandjani, A.; Khalili, M.; Malek, A.; Farhang, S.; Ranjbari, Y.; Khalili, Y. The therapeutic effect of the extracts of Lavandula angustifolia and Dracocephalum ruyschiana besides sertraline on patients with mild to moderate depression: A double-blind controlled trial. Phytomed. Plus 2023, 3, 100430. [Google Scholar] [CrossRef]
  153. Dawuti, A.; Sun, S.; Wang, R.; Gong, D.; Yuan, T.; Zhang, L.; Yang, S.; Xing, J.; Zheng, R.; Lu, Y.; et al. Systems pharmacology-based strategy to investigate pharmacological mechanisms of total flavonoids in Dracocephalum moldavica on chronic heart failure. Int. J. Mol. Sci. 2022, 23, 8409. [Google Scholar] [CrossRef]
  154. Cao, W.; Yuan, Y.; Wang, Y.; Tian, L.; Wang, X.; Xin, J.; Wang, Y.; Guo, X.; Qin, D. The mechanism study of Dracocephalum moldavica L. the total flavonoids on apoptosis induced by myocardial ischemia/reperfusion injury in vivo and in vitro. Biomed. J. Sci. Tech. Res. 2019, 20, 14985–14996. [Google Scholar]
  155. Najafi, M.; Ghasemian, E.; Fathiazad, F.; Garjani, A. Effects of total extract of Dracocephalum moldavica on ischemia/reperfusion induced arrhythmias and infarct size in the isolated rat heart. Iran. J. Basic Med. Sci. 2009, 11, 229–235. [Google Scholar]
  156. Maimaiti, A.; Tao, Y.; Minmin, W.; Weiwei, M.; Wenhui, S.; Aikemu, A.; Maimaitiyiming, D. Improvement of total flavonoids from D. moldavica L. in rats with chronic mountain sickness through 1 H-NMR metabolomics. Evid. Based Complemnt. Altern. Med. 2021, 2021, 6695346. [Google Scholar]
  157. Aslian, S.; Yazdanparast, R. Hypolipidemic activity of Dracocephalum kotschyi involves FOXO1 mediated modulation of PPARγ expression inadipocytes. Lipids Health Dis. 2018, 17, 245. [Google Scholar] [CrossRef] [PubMed]
  158. Sajjadi, S.E.; Atar, A.M.; Yektaian, A. Antihyperlipidemic effect of hydroalcoholic extract, and polyphenolic fraction from Dracocephalum kotschyi Boiss. Pharm. Acta Helv. 1998, 73, 167–170. [Google Scholar] [CrossRef] [PubMed]
  159. Moghimi, M.; Rashidian, S.; Khosravian, F.; Hadi, N. Basil and Dracocephalum kotschyi alcoholic extracts affect BCL2 expression and HepG2 cell proliferation. Res. Mol. Med. 2019, 7, 32–42. [Google Scholar] [CrossRef]
  160. Sani, T.A.; Pour, E.M.; Mohammadi, A.; Memariani, T.; Yazadi, M.V.; Rezaee, R.; Calina, D.; Docea, A.O.; Goumenou, M.; Etemad, L.; et al. Cytotoxic and apoptogenic prerties of Dracocephalum kotschyi aerial parts different fractions on Calu-6 and Mehr-80 lung cancer cell lines. Farmacia 2017, 65, 189–199. [Google Scholar]
  161. Talari, M.; Seydi, E.; Salimi, A.; Mohsenifar, Z.; Kamalinejad, M.; Pourahmad, J. Dracocephalum: Novel anticancer plant acting on liver cancer cell mitochondria. BioMed Res. Int. 2014, 2014, 892170. [Google Scholar] [CrossRef]
  162. Jahaniani, F.; Ebrahimi, S.A.; Rahbar-Roshandel, N.; Mahmoudian, M. Xanthomicrol is the main cytotoxic component of Dracocephalum kotschyii and a potential anti-cancer agent. Phytochemistry 2005, 66, 1581–1592. [Google Scholar] [CrossRef]
  163. Jiang, H.; Zeng, L.; Dong, X.; Guo, S.; Xing, J.; Li, Z.; Liu, R. Tilianin extracted from Dracocephalum moldavica L. induces intrinsic apoptosis and drives inflammatory microenvironment response on pharyngeal squamous carcinoma cells via regulating TLR4 signaling pathways. Front. Pharmacol. 2020, 11, 205. [Google Scholar] [CrossRef]
  164. Lee, S.E.; Okhlopkova, Z.; Lim, C.; Cho, S. Dracocephalum palmatum Stephan extract induces apoptosis in human prostate cancer cells via the caspase-8-mediated extrinsic pathway. Chin. J. Nat. Med. 2020, 18, 793–800. [Google Scholar] [CrossRef]
  165. Kim, J.; Kim, J.N.; Park, I.; Sivtseva, S.; Okhlopkova, Z.; Zulfugarov, I.S.; Kim, S.W. Dracocephalum palmatum Stephan extract induces caspase- and mitochondria-dependent apoptosis via Myc inhibition in diffuse large B cell lymphoma. Oncol. Rep. 2020, 44, 2746–2756. [Google Scholar] [CrossRef]
  166. Kamali, M.; Khosroyar, S.; Mohammadi, A. Antibacterial activity of various extracts from Dracocephalum kotschyi against food pathogenic microorganisms. Pharm. Tech. 2015, 8, 158–163. [Google Scholar]
  167. Yu, H.; Liu, M.; Liu, Y.; Qin, L.; Jin, M.; Wang, Z. Antimicrobial activity and mechanism of action of Dracocephalum moldavica L. extracts against clinical isolates of Staphylococcus aureus. Front. Microbiol. 2019, 10, 1249. [Google Scholar] [CrossRef] [PubMed]
  168. Keikhaie, K.R.; Jahantigh, H.R.; Bagheri, R.; Kehkhaie, A.R. The effects of the ethanol extract of Dracocephalum moldavica (Badrashbu) against strains of antibiotic-resistant Escherichia coli and Klebsiella pneumonia. Int. J. Infect. 2018, 5, e65295. [Google Scholar] [CrossRef]
  169. Yaghoobi, M.M.; Khaleghi, M.; Rezanejad, H.; Parsia, P. Antibiofilm activity of Dracocephalum polychaetum extract on methicillin-resistant Staphylococcus aureus. Avicenna J. Clin. Microbiol. Infect. 2018, 5, 61772. [Google Scholar] [CrossRef]
  170. Sadraei, H.; Sajjadi, S.E.; Tarafdar, A. Antispasmodic effect of hydroalcoholic and flavonoids extracts of Dracocephalum kotschyi on rabbit bladder. J. Herbmed. Pharmacol. 2020, 9, 145–152. [Google Scholar] [CrossRef]
  171. Sadraei, H.; Ghanadian, S.M.; Asghari, G.; Gavahian, A. Bronchodilator effect of apigenin and luteolin, two components of Dracocephalum kotschyi on isolated rabbit trachea. J. Herbmed. Pharmacol. 2019, 8, 281–286. [Google Scholar] [CrossRef]
  172. Sadraei, H.; Ghanadian, M.; Asghari, G.; Sekhavati, N. Antispasmodic activity of apigenin and luteolin, two components of Dracocephalum kotschyi extract, on rat ileum contractions. J. Herbmed. Pharmacol. 2018, 7, 100–105. [Google Scholar] [CrossRef]
  173. Sadraei, H.; Asghar, G.; Shahverdi, F. Antidiarrheal assessment of hydroalcoholic and hexane extracts of Dracocephalum kotschyi Boiss. and apigenin in mice. Res. Pharm. Sci. 2016, 11, 200–209. [Google Scholar]
  174. Wandrey, F.; Pickel, C.; Jongsma, E.; Ewald, C.Y.; Grothe, T. Evaluation of the collagen-boosting effects of a Moldavian dragonhead extract. J. Community Med. Public Health Rep. 2021, 6, 2. [Google Scholar]
  175. Rauf, A.; Khalil, A.A.; Awadallah, S.; Khan, S.A.; Abu-Izneid, T.; Kamran, M.; Hemeg, H.A.; Mubarak, M.S.; Khalid, A.; Wilairatana, P. Reactive oxygen species in biological systems: Pathways, associated diseases, and potential inhibitors-a review. Food Sci. Nutr. 2024, 12, 675–693. [Google Scholar] [CrossRef]
  176. Rohm, T.; Meier, D.T.; Olefsky, J.M.; Donath, M.Y. Inflammation in obesity, diabetes, and related disorders. Immunity 2022, 55, 31–55. [Google Scholar] [CrossRef] [PubMed]
  177. Shaabani, M.; Mousavi, S.H.; Azizi, M.; Jafari, A.A. Cytotoxic and apoptogenic effects of Dracocephalum kotschyi Boiss., extracts against human glioblastoma U87 cells. Avicenna J. Phytomed. 2020, 10, 594–603. [Google Scholar] [PubMed]
  178. Safari, R.; Roosta, Z.; Vakili, F.; Rahmani, E.; Hossain, M.S.; Raeisi, M.; Van Doan, H.; Paolucci, M.; Hoseinifar, S.H. Dietary dragonhead effects on growth, immunity and antioxidant and related genes expression in zebrafish (Danio rerio). Aquac. Rep. 2022, 27, 101384. [Google Scholar] [CrossRef]
  179. Zamani, S.S.; Hossieni, M.; Etebari, M.; Salehian, P.; Ebrahimi, S.A. Pharmacokinetics of calycopterin and xanthmicrol, two polymethoxylated hydroxyflavones with anti-angiogenic activities from Dracocephalum kotschyi Bioss. DARU J. Pharm. Sci. 2016, 24, 22. [Google Scholar] [CrossRef]
Figure 1. Phenolic acids and derivatives included in Dracocephalum species (Caf—caffeoyl, Cou—coumaryl, Fer—feruloyl, Glc—glucoside, Mal—malonyl, Qui—quinoyl, Rha—rhamnoside, Shi—shikimoyl, Syn—synapoyl).
Figure 1. Phenolic acids and derivatives included in Dracocephalum species (Caf—caffeoyl, Cou—coumaryl, Fer—feruloyl, Glc—glucoside, Mal—malonyl, Qui—quinoyl, Rha—rhamnoside, Shi—shikimoyl, Syn—synapoyl).
Molecules 30 02017 g001
Figure 2. Different flavone derivatives detected in Dracocephalum species (Glc—glucosyl, Glu—glucuronic).
Figure 2. Different flavone derivatives detected in Dracocephalum species (Glc—glucosyl, Glu—glucuronic).
Molecules 30 02017 g002
Figure 3. Apigenine derivatives detected in Dracocephalum species (Ac—acetyl, Glc—glucoside, Glu –glucuronic, Hex—hexoside, Mal—malonyl, Pen—pentoside, Rha—rhamnoside, Rut—rutoside).
Figure 3. Apigenine derivatives detected in Dracocephalum species (Ac—acetyl, Glc—glucoside, Glu –glucuronic, Hex—hexoside, Mal—malonyl, Pen—pentoside, Rha—rhamnoside, Rut—rutoside).
Molecules 30 02017 g003
Figure 4. Luteoline derivatives detected in Dracocephalum species (Ac—acetyl, Ara—arabinoside, Glc—glucoside, Glu –glucuronic, Fer—feruosyl, Nhe—neohesperidoside, Rut—rutoside, Sph—sophoroside, Xyl—xyloside).
Figure 4. Luteoline derivatives detected in Dracocephalum species (Ac—acetyl, Ara—arabinoside, Glc—glucoside, Glu –glucuronic, Fer—feruosyl, Nhe—neohesperidoside, Rut—rutoside, Sph—sophoroside, Xyl—xyloside).
Molecules 30 02017 g004
Figure 5. Acacetin derivatives detected in Dracocephalum species (Ac—acetyl, Glc—glucoside, Glu –glucuronic, Mal—malonyl, Nhe—neohesperidoside, Rha—rhamnoside, Rut—rutoside).
Figure 5. Acacetin derivatives detected in Dracocephalum species (Ac—acetyl, Glc—glucoside, Glu –glucuronic, Mal—malonyl, Nhe—neohesperidoside, Rha—rhamnoside, Rut—rutoside).
Molecules 30 02017 g005
Figure 6. Diosmetin derivatives detected in Dracocephalum species (Ac—acetyl, Glc—glucoside, Glu –glucuronic, Nhe—neohesperidoside, Rut—rutoside).
Figure 6. Diosmetin derivatives detected in Dracocephalum species (Ac—acetyl, Glc—glucoside, Glu –glucuronic, Nhe—neohesperidoside, Rut—rutoside).
Molecules 30 02017 g006
Figure 7. Monomethoxyflavones detected in Dracocephalum species (Ac—acetyl, Glc—glucoside, Glu—glucuronic).
Figure 7. Monomethoxyflavones detected in Dracocephalum species (Ac—acetyl, Glc—glucoside, Glu—glucuronic).
Molecules 30 02017 g007
Figure 8. Di- and trimethoxyflavones detected in Dracocephalum species (Glc—glucoside).
Figure 8. Di- and trimethoxyflavones detected in Dracocephalum species (Glc—glucoside).
Molecules 30 02017 g008
Figure 9. Tetr- and hexamethoxyflavone detected in Dracocephalum species.
Figure 9. Tetr- and hexamethoxyflavone detected in Dracocephalum species.
Molecules 30 02017 g009
Figure 10. 3-O-methoxylated flavones detected in Dracocephalum species.
Figure 10. 3-O-methoxylated flavones detected in Dracocephalum species.
Molecules 30 02017 g010
Figure 11. Flavonols and their sugar derivatives detected in Dracocephalum species (Cou—coumaryl, Gal—galactoside, Glc—glucoside, Glu –glucuronic, Rha—rhamnoside, Rut—rutoside).
Figure 11. Flavonols and their sugar derivatives detected in Dracocephalum species (Cou—coumaryl, Gal—galactoside, Glc—glucoside, Glu –glucuronic, Rha—rhamnoside, Rut—rutoside).
Molecules 30 02017 g011
Figure 12. Flavanone derivatives detected in Dracocephalum species (Glc—glucoside, Mal—malonyl, Rha—rhamnoside, Rut—rutoside).
Figure 12. Flavanone derivatives detected in Dracocephalum species (Glc—glucoside, Mal—malonyl, Rha—rhamnoside, Rut—rutoside).
Molecules 30 02017 g012
Figure 13. Flavanonol derivatives detected in Dracocephalum species.
Figure 13. Flavanonol derivatives detected in Dracocephalum species.
Molecules 30 02017 g013
Figure 14. Flavan-3-ol derivatives detected in Dracocephalum species.
Figure 14. Flavan-3-ol derivatives detected in Dracocephalum species.
Molecules 30 02017 g014
Figure 15. Anthocyanidins detected in Dracocephalum species (Ac—acetyl, Cou—coumaroyl, Gal—galactoside, Glc—glucoside, Gll—galloyl, Hex—hexoside, Mal—malonyl, Pen—pentoside).
Figure 15. Anthocyanidins detected in Dracocephalum species (Ac—acetyl, Cou—coumaroyl, Gal—galactoside, Glc—glucoside, Gll—galloyl, Hex—hexoside, Mal—malonyl, Pen—pentoside).
Molecules 30 02017 g015
Figure 16. Lignans detected in Dracocephalum species (Glc—glucoside).
Figure 16. Lignans detected in Dracocephalum species (Glc—glucoside).
Molecules 30 02017 g016
Figure 17. Phenylethanoids, seco-phenylpropanoids, and other phenylpropanoids detected in Dracocephalum species (Ac—acetyl, Glc—glucoside, Rha—rhamnoside).
Figure 17. Phenylethanoids, seco-phenylpropanoids, and other phenylpropanoids detected in Dracocephalum species (Ac—acetyl, Glc—glucoside, Rha—rhamnoside).
Molecules 30 02017 g017
Figure 18. Flavonoid alkaloids detected in Dracocephalum species.
Figure 18. Flavonoid alkaloids detected in Dracocephalum species.
Molecules 30 02017 g018
Figure 19. Others phenolic compounds detected in Dracocephalum species (Glc—glucoside, Mal—malonyl, Rha—rhanoside, Xyl—xyloside).
Figure 19. Others phenolic compounds detected in Dracocephalum species (Glc—glucoside, Mal—malonyl, Rha—rhanoside, Xyl—xyloside).
Molecules 30 02017 g019
Table 1. Botanical description of the selected Dracocephalum species.
Table 1. Botanical description of the selected Dracocephalum species.
SpeciesFeatures
Habitat FormStem Form and Length
(cm)
Leaf Lamina and LengthNumber of Flowers in VerticillasterCalyx Color and LengthCorolla Color and LengthReferences
D. foetidum Bunge.annualbranches from the base, shoots ascending or
prostrate (8–30 cm)
oblong or oblong-ovate, margin crenate (1–3 cm)6green
(0.7–0.9 cm)
blue, blue-purple
(about 3 cm)
[19]
D. heterophyllum
Benth.
perennialascending or decumbent
(10–15 cm)
blade broadly to narrowly ovate, base cordate, margin shallowly crenate or serrate (2.5 cm)4–8greenish
(1.5–1.7 cm)
white
(1.8–3.7 cm)
[20,21]
D. kotschyi
Boiss.
perennialerect
(23–33 cm)
ovate-shaped
(0.6–1 cm)
2–4greenish
(1.3–1.5 cm)
white or yellowish-white
(1.9–2.8 cm)
[22,23]
D. moldavica L.annualerect or ascending (22–40 cm)ovate-triangular, base cordate, margin remotely crenate, apex rounded
(1.4–4 cm)
4with purple veined
(0.8–1 cm)
bluish purple
(1.5–3 cm)
[20]
D. multicaule Montbr & Auchperennial(15–30 cm)ovate or oblong-lanceolate, margin crenate (1.5–3–5 cm)2–4(1.5–1.7 cm)cream or pale yellow, white
(2.3–3.1 cm)
[24]
D. palmatum Steph. ax Willd.perennialascending or decumbent
(20–55 cm)
ovate-rounded
(0.5–2 cm)
4–6purple,
(about 1 cm)
purple
(2–3 cm)
[25,26,27]
D. peregrinum L.perennialerect
(15–25 cm)
ovate-lanceolate to lanceolate, base cuneate
(1.5–2.2 cm)
4–6purple,
(1–1.3 cm)
blue-purple, (2.2–2.8 cm)[20]
D. polychaetum Bornm.perennial(10–20 cm)oblong-lanceolate, crenate, serrate2–4greenishyellowish[28]
D. rupestre
Hance.
perennialascending (15–42 cm)triangular-ovate, base cordate, margin crenate-serrate (1.4–5.5 cm)4–6purplish
(2–2.4 cm)
purple-blue, (3.8–4 cm)[20]
D. ruyschiana L.perennialerect
(20–60 cm)
linear to lanceolate-linear (3.4–6.2 cm)4–6(1.7–2.4 cm)blue-purple (1.7–2.4 cm)[20,27]
D. subcapitatum
(Kuntze) Lipsky
perennialerect or prostate
(10–25 cm)
ovate or elliptical-ovate
(1–1.5 cm)
6(1.4–1.6 cm)purple-blue to purple (2–3 cm)[27]
D. tanguticum Maxim.perennialerect
(to 55 cm)
blade pinnatisect, elliptic-ovate to elliptic, margin entire
(2.6–7.5 cm)
2–6purplish
(1–1.4 cm)
purple-blue to dark purple
(2–2.7 cm)
[20]
Disclaimer/Publisher’s Note: The statements, opinions and data contained in all publications are solely those of the individual author(s) and contributor(s) and not of MDPI and/or the editor(s). MDPI and/or the editor(s) disclaim responsibility for any injury to people or property resulting from any ideas, methods, instructions or products referred to in the content.

Share and Cite

MDPI and ACS Style

Weremczuk-Jeżyna, I.; Grzegorczyk-Karolak, I. A Comprehensive Review of the Phenolic Compounds in Dracocephalum Genus (Lamiaceae) Related to Traditional Uses of the Species and Their Biological Activities. Molecules 2025, 30, 2017. https://doi.org/10.3390/molecules30092017

AMA Style

Weremczuk-Jeżyna I, Grzegorczyk-Karolak I. A Comprehensive Review of the Phenolic Compounds in Dracocephalum Genus (Lamiaceae) Related to Traditional Uses of the Species and Their Biological Activities. Molecules. 2025; 30(9):2017. https://doi.org/10.3390/molecules30092017

Chicago/Turabian Style

Weremczuk-Jeżyna, Izabela, and Izabela Grzegorczyk-Karolak. 2025. "A Comprehensive Review of the Phenolic Compounds in Dracocephalum Genus (Lamiaceae) Related to Traditional Uses of the Species and Their Biological Activities" Molecules 30, no. 9: 2017. https://doi.org/10.3390/molecules30092017

APA Style

Weremczuk-Jeżyna, I., & Grzegorczyk-Karolak, I. (2025). A Comprehensive Review of the Phenolic Compounds in Dracocephalum Genus (Lamiaceae) Related to Traditional Uses of the Species and Their Biological Activities. Molecules, 30(9), 2017. https://doi.org/10.3390/molecules30092017

Article Metrics

Back to TopTop