Individual and Simultaneous Photodegradation of Trimethoprim and Sulfamethoxazole Assessed with the Microbial Assay for Risk Assessment
Abstract
1. Introduction
2. Results
2.1. Analysis of Photodegradation with HPLC-DAD
2.2. Toxicity of SMX and TMP in the MARA
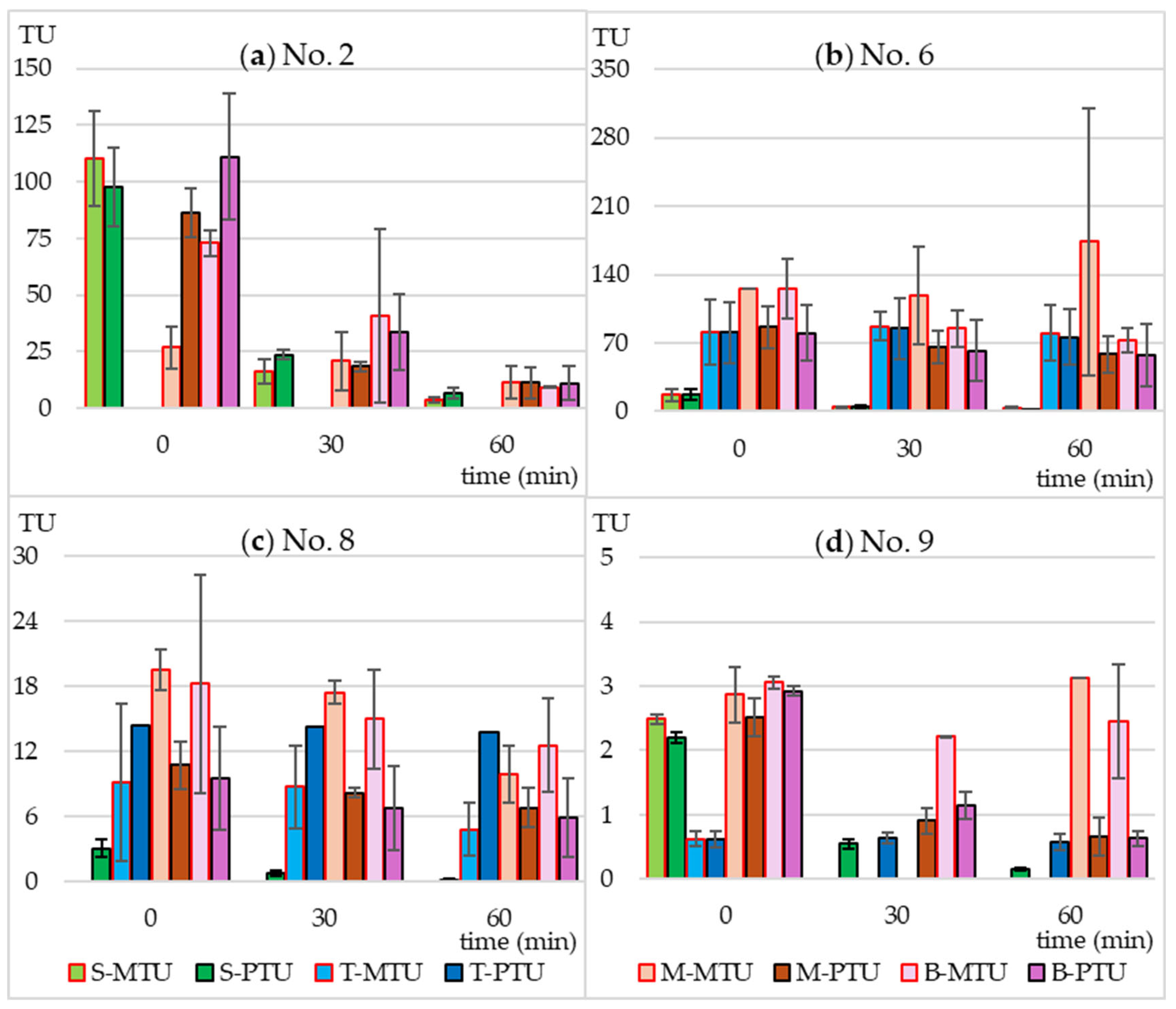
2.3. Predicted and Measured Toxicity Units
2.4. Analysis of the Photodegradation Products with UPLC-MS/MS
3. Discussion
3.1. Bacteriostatic Activity of SMX and TMP
3.2. SMX and TMP Photodegradation
3.3. Environmental Significance
4. Materials and Methods
4.1. Chemicals
4.2. Photodegradation Experiment
4.3. Liquid Chromatography with Photodiode Array Detector
4.4. Liquid Chromatography with Mass Spectrometer Detector
4.5. Microbial Assay for Risk Assessment
5. Conclusions
Supplementary Materials
Author Contributions
Funding
Institutional Review Board Statement
Informed Consent Statement
Data Availability Statement
Conflicts of Interest
Abbreviations
| AMI | 3-amine-5-methylisoxazole |
| ISO | Sulfamethoxazole isomer |
| MARA | Microbial Assay for Risk Assessment |
| MTC | Microbics toxic concentration |
| MTU | Measured toxicity unit |
| PTU | Predicted toxicity unit |
| SMX | Sulfamethoxazole |
| SUA | Sulfanilic acid |
| TMP | Trimethoprim |
References
- Kümmerer, K. Antibiotics in the aquatic environment—A review—Part I. Chemosphere 2009, 75, 417–434. [Google Scholar] [CrossRef] [PubMed]
- Hubeny, J.; Harnisz, M.; Korzeniewska, E.; Buta, M.; Zieliński, W.; Rolbiecki, D.; Giebułtowicz, J.; Nałęcz-Jawecki, G.; Płaza, G. Industrialization as a source of heavy metals and antibiotics which can enhance the antibiotic resistance in wastewater, sewage sludge and river water. PLoS ONE 2021, 16, e0252691. [Google Scholar] [CrossRef] [PubMed]
- Xu, L.; Ceolotto, N.; Jagadeesan, K.; Standerwick, R.; Robertson, M.; Barden, R.; Kasprzyk-Hordern, B. Antimicrobials and antimicrobial resistance genes in the shadow of COVID-19 pandemic: A wastewater-based epidemiology perspective. Water Res. 2024, 257, 121665. [Google Scholar] [CrossRef] [PubMed]
- Białk-Bielińska, A.; Stolte, S.; Arning, J.; Uebers, U.; Böschen, A.; Stepnowski, P.; Matzke, M. Ecotoxicity evaluation of selected sulfonamides. Chemosphere 2011, 85, 928–933. [Google Scholar] [CrossRef]
- Madej-Knysak, D.; Adamek, E.; Baran, W. Biodegradation of photocatalytic degradation products of sulfonamides: Kinetics and identification of intermediates. Int. J. Mol. Sci. 2024, 25, 6688. [Google Scholar] [CrossRef]
- ESVAC Report. Sales of Veterinary Antimicrobial Agents in 31 European Countries in 2022. Trends from 2010 to 2022. 13th ESVAC Report. European Medicines Agency. Available online: https://www.ema.europa.eu/en/documents/report/sales-veterinary-antimicrobial-agents-31-european-countries-2022-trends-2010-2022-thirteenth-esvac-report_en.pdf (accessed on 4 February 2025).
- Majewsky, M.; Wagner, D.; Delay, M.; Brase, S.; Yargeau, V.; Horn, H. Antibacterial activity of sulfamethoxazole transformation products (TPs): General relevance for sulfonamide TPs modified at the para position. Chem. Res. Toxicol. 2014, 27, 1821–1828. [Google Scholar] [CrossRef]
- Sirtori, C.; Agüera, A.; Gernjak, W.; Malato, S. Effect of water-matrix composition on Trimethoprim solar photodegradation kinetics and pathways. Water Res. 2010, 44, 2735–2744. [Google Scholar] [CrossRef]
- Liu, X.; Steele, J.C.; Meng, X.-Z. Usage, residue, and human health risk of antibiotics in Chinese aquaculture: A review. Environ. Pollut. 2017, 223, 161–169. [Google Scholar] [CrossRef]
- Giebułtowicz, J.; Tyski, S.; Wolinowska, R.; Grzybowska, W.; Zaręba, T.; Drobniewska, A.; Wroczyński, P.; Nałęcz-Jawecki, G. Occurrence of antimicrobial agents, drug resistant bacteria and genes in the sewage-impacted Vistula (Poland). Environ. Sci. Pollut. Res. 2018, 25, 5788–5807. [Google Scholar] [CrossRef]
- Jiang, Y.; Li, M.; Guo, C.; An, D.; Xu, J.; Zhang, Y.; Xi, B. Distribution and ecological risk of antibiotics in a typical effluent-receiving river (Wangyang River) in north China. Chemosphere 2014, 112, 267–274. [Google Scholar] [CrossRef]
- European Union. Commission Implementing Decision (EU) 2020/1161 Decision (EU) 2020/1161 of 4 August 2020 Establishing a Watch List of Substances for Union-Wide Monitoring in the Field of Water Policy Pursuant to Directive 2008/105/EC of the European Parliament and of the Council. Off. J. Eur. Union 2020, L257, 32–35. [Google Scholar]
- European Union. Commission Implementing Decision (EU) 2022/1307 Decision (EU) 2022/1307 of 22 July 2022 establishing a watch list of substances for Union-wide monitoring in the field of water policy pursuant to Directive 2008/105/EC of the European Parliament and of the Council. Off. J. Eur. Union 2022, L197, 117–121. [Google Scholar]
- Gmurek, M.; Horn, H.; Majewsky, M. Phototransformation of sulfamethoxazole under simulated sunlight: Transformation products and their antibacterial activity toward Vibrio fischeri. Sci. Tatal Environ. 2015, 538, 58–63. [Google Scholar] [CrossRef] [PubMed]
- Trovó, A.G.; Nogueira, R.F.P.; Agüera, A.; Sirtori, C.; Fernandez-Alba, A.R. Photodegradation of sulfamethoxazole in various aqueous media: Persistence, toxicity and photoproducts assessment. Chemosphere 2009, 77, 1292–1298. [Google Scholar] [CrossRef]
- Niu, J.; Zhang, L.; Zhao, J.; Lv, S.; Xiao, K. Effects of environmental factors on sulfamethoxazole photodegradation simulated sunlight irradiation: Kinetics and mechanism. J. Environ. Sci. 2013, 25, 1098–1106. [Google Scholar] [CrossRef]
- Luo, X.; Zheng, Z.; Greaves, J.; Cooper, W.J.; Song, W. Trimethoprim: Kinetic and mechanistic considerations in photochemical environmental fate and AOP treatment. Water Res. 2012, 46, 1327–1336. [Google Scholar] [CrossRef] [PubMed]
- Adil, S.; Maryam, B.; Kim, E.-J.; Dulova, N. Individual and simultaneous degradation of sulfamethoxazole and trimethoprim by ozone, ozone/hydrogen peroxide and ozone/persulfate processes: A comparative study. Environ. Res. 2020, 189, 109889. [Google Scholar] [CrossRef]
- Trovó, A.G.; Nogueira, R.F.P.; Agüera, A.; Fernandez-Alba, A.R.; Sirtori, C.; Malato, C. Degradation of sulfamethoxazole in water by solar photo-Fenton. Chemical and toxicological evaluation. Water Res. 2009, 43, 3922–3931. [Google Scholar] [CrossRef]
- Martinez-Costa, J.I.; Rivera-Utrilla, J.; Jeyva-Ramos, R.; Sanchez-Polo, M.; Velo-Gala, I.; Mota, A.J. Individual and simultaneous degradation of the antibiotics sulfamethoxazole and trimethoprim in aqueous solutions by Fenton, Fenton-like and photo-Fenton processes using solar and UV radiations. Photochem. Photobiol. Chem. 2018, 360, 95–108. [Google Scholar] [CrossRef]
- Zhang, R.; Yang, Y.; Huang, C.-H.; Li, N.; Zhao, L.; Sun, P. UV/H2O2 and UV/PDS treatment of trimethoprim and sulfamethoxazole in synthetic human urine: Transformation products and toxicity. Environ. Sci. Technol. 2016, 50, 2573–2583. [Google Scholar] [CrossRef]
- Diogo, B.S.; Rodrigues, S.; Golovko, O.; Antunes, S.C. From bacteria to fish: Ecotoxicological insights into sulfamethoxazole and trimethoprim. Environ. Sci. Pollut. Res. 2024, 31, 52233–52252. [Google Scholar] [CrossRef] [PubMed]
- Anquandah, G.A.K.; Sharma, V.K.; Knight, D.A.; Batchu, S.R.; Gardinali, P.R. Oxidation of trimethoprim by ferrate(VI): Kinetics, products, and antibacterial activity. Environ. Sci. Technol. 2011, 45, 10575–10581. [Google Scholar] [CrossRef]
- Gabrielson, J.; Kühn, I.; Colque-Navarro, P.; Hart, M.; Iversen, A.; McKenzie, D.; Möllby, R. Microplate-based microbial assay for risk assessment and (eco)toxic fingerprinting of chemicals. Anal. Chim. A 2003, 485, 121–130. [Google Scholar] [CrossRef]
- Wadhia, K.; Thompson, K.C. Low-cost ecotoxicity testing of environmental samples using microbiotests for potential implementation of the Water Framework Directive. Trends Anal. Chem. 2007, 26, 300–307. [Google Scholar] [CrossRef]
- Nałęcz-Jawecki, G.; Wadhia, K.; Adomas, B.; Piotrowicz-Cieślak, A.I.; Sawicki, J. Application of microbial assay for risk assessment biotest in evaluation of toxicity of human and veterinary antibiotics. Environ. Toxicol. 2010, 25, 487–494. [Google Scholar] [CrossRef]
- Fabiańska, A.; Białk-Bielińska, A.; Stepnowski, P.; Stolte, S.; Siedlecka, E.M. Electrochemical degradation of sulfonamides at BDD electrode: Kinetics, reaction pathway and eco-toxicity evaluation. J. Hazard. Mater. 2014, 280, 579–587. [Google Scholar] [CrossRef] [PubMed]
- Gan, X.; Song, Y.; Liu, G.; Zhang, H.; Yang, J. The efficient degradation and mechanism of sulfamethoxazole using ZnO/ZnIn2S4 heterojunction under visible light. Front. Environ. Sci. 2023, 11, 1314536. [Google Scholar] [CrossRef]
- Guo, R.; Wang, Y.; Li, J.; Cheng, X.; Dionysiou, D.D. Sulfamethoxazole degradation by visible light assisted peroxymonosulfate process based on nanohybrid manganese dioxide incorporating ferric oxide. Applied Cat. B Environ. 2020, 278, 119297. [Google Scholar] [CrossRef]
- Jebalbarezi, B.; Dehghanzadeh, R.; Sheikhi, S.; Shahmahdi, N.; Aslani, H.; Maryamabadi, A. Oxidative degradation of sulfamethoxazole from secondary treated effluent by ferrate(VI): Kinetics, by-products, degradation pathway and toxicity assessment. J. Environ. Health Sci. Eng. 2022, 20, 205–218. [Google Scholar] [CrossRef]
- Ljubas, D.; Juretić, H.; Badrov, A.; Biošić, M.; Babić, S. Photocatalytic degradation of pharmaceutical trimethoprim in aqueous solution over nanostructured TiO2 film irradiated with simulated solar radiation. Appl. Sci. 2023, 13, 5681. [Google Scholar] [CrossRef]
- Michael, I.; Hapeshi, E.; Osorio, V.; Perez, S.; Petrovic, M.; Zapata, A.; Malato, S.; Barceló, D.; Fatta-Kassinos, D. Solar photocatalytic treatment of trimethoprim in four environmental matrices at a pilot scale: Transformation products and ecotoxicity evaluation. Sci. Total Environ. 2012, 430, 167–173. [Google Scholar] [CrossRef] [PubMed]
- Thomas, M.; Nałęcz-Jawecki, G.; Giebułtowicz, J.; Drzewicz, P. Degradation of oxytetracycline by ferrate(VI): Treatment optimization, UHPLC-MS/MS and toxicological studies of the degradation products, and impact of urea and creatinine on the removal. Chem. Eng. J. 2024, 485, 149802. [Google Scholar] [CrossRef]
- Van der Grinten, E.; Pikkemaat, M.G.; van den Brandhof, E.-J.; Stroomberg, G.J.; Kraak, M.H.S. Comparing the sensitivity of algal, cyanobacterial and bacterial bioassays to different groups of antibiotics. Chemosphere 2010, 80, 1–6. [Google Scholar] [CrossRef]
- World Health Organization. Model List of Essential Medicines. Available online: https://list.essentialmeds.org (accessed on 4 November 2024).
- Baena-Nogueras, R.M.; Gonzalez-Mazo, E.; Lara-Martin, P.A. Photolysis of antibiotics under simulated sunlight irradiation: Identification of photoproducts by high-resolution mass spectrometry. Environ. Sci. Technol. 2017, 51, 3148–3156. [Google Scholar] [CrossRef]
- Boreen, A.L.; Arnold, W.A.; McNeill, K. Photochemical fate of sulfa drugs in the aquatic environment: Sulfa drugs containing five-membered heterocyclic groups. Environ. Sci. Technol. 2004, 38, 3933–3940. [Google Scholar] [CrossRef]
- Puhlmann, N.; Olsson, O.; Kümmerer, K. How data on transformation products can support the redesign of sulfonamides towards better biodegradability in the environment. Sci. Total Environ. 2024, 921, 171027. [Google Scholar] [CrossRef] [PubMed]
- Palm, W.-U.; Schmidt, N.; Stahn, M.; Grimme, S. A kinetic study of the photolysis of sulfamethoxazole with special emphasis on the photoisomer. Photochem. Photobiol. Sci. 2023, 22, 615–630. [Google Scholar] [CrossRef]
- Wang, Y.; Chen, Q.; Su, Y.; He, Y.; Qian, J.; Xu, K. Rapid activation of PMS driven by bimetallic redox on transition metal selenides for sulfamethoxazole degradation: Mechanism, degradation pathway and intermediates toxicity. J. Chem. Technol. Biotechnol. B 2024, 99, 2665–2676. [Google Scholar] [CrossRef]
- Liu, A.; Ma, X.; Shen, B.; Du, H.; Jiang, X.; Wu, Y.; Jin, Y.; Li, J.; Zhu, H.; Wang, Q. Sustainable dual-cathode photoelectron-Fenton system enabling oxidative and reductive removal of pollutants via visible light driving Fe sites conversion. Chem. Eng. J. 2025, 504, 158929. [Google Scholar] [CrossRef]
- Fu, Y.; Chi, J.; Wu, Y.; Li, J.; Tan, M.; Li, C.; Du, H.; Hao, D.; Zhu, H.; Wang, Q.; et al. Synergistic electric fields induced by unilateral doping modulations for enhanced organic pollutant degradation and sterilization. Appl. Surf. Sci. 2025, 692, 162711. [Google Scholar] [CrossRef]
- Nałęcz-Jawecki, G.; Mielniczek, J.; Wawryniuk, M.; Giebułtowicz, J.; Drobniewska, A. The Microbial Assay for Risk Assessment (MARA) in the Assessment of the Antimicrobial Activity of Ofloxacin and Its Photoproducts. Int. J. Mol. Sci. 2025, 26, 2595. [Google Scholar] [CrossRef] [PubMed]






| Microplate Column | Species | Phylogenetic Group | SMX | TMP |
|---|---|---|---|---|
| 1 | Microbacterium sp. | Gram+ | NT 1 | 1.20 ± 0.14 |
| 2 | Brevundimonas diminuta | Gram− α-proteobacteria | 0.17 ± 0.01 | NT 1 |
| 3 | Citrobacter freudii | Gram− γ-proteobacteria | 4.07 ± 1.01 | 0.28 ± 0.07 |
| 4 | Comamonas testosteroni | Gram− α-proteobacteria | 7.83 ± 0.50 | 3.70 ± 0.42 |
| 5 | Enterococcus casseliflavus | Gram+ | NT 1 | 0.66 ± 0.18 |
| 6 | Delftia acidovorans | Gram− β-proteobacteria | 1.34 ± 0.54 | 0.054 ± 0.022 |
| 7 | Kurthia gibsonii | Gram+ | 2.90 ± 2.10 | 0.18 ± 0.04 |
| 8 | Staphylococcus warneri | Gram+ | NT 1 | 0.64 ± 0.51 |
| 9 | Pseudomonas aurantiaca | Gram− γ-proteobacteria | 8.05 ± 0.21 | 6.55 ± 1.20 |
| 10 | Serratia rubidaea | Gram− γ-proteobacteria | NT 1 | 0.52 ± 0.18 |
| 11 | Pichia anomala | Yeast | NT 1 | 4.45 ± 2.76 |
| Name | Formula | Calc. MW 1 | Δ Mass (ppm) | RDBE 2 | H/C 3 | SFit (%) | Selected MS/MS Fragments (m/z) |
|---|---|---|---|---|---|---|---|
| SMX 93 | C6H7N | 93.0578 | 0.07 | 4 | 1.2 | 66 | 51.0232; 55.0546; 65.0387; 77.0384 |
| SMX 98 | C4H6N2O | 98.0480 | −0.70 | 3 | 1.5 | 49 | 54.0340; 72.0443; 82.0286 |
| SMX 100 | C4H8N2O | 100.0637 | 1.06 | 2 | 2.0 | 79 | 53.0391; 56.0499; 57.0452; 58.0529; 59.0495; 59.0607; 60.0447; 72.0682 |
| SMX 107 | C6H5NO | 107.0371 | −0.85 | 5 | 0.8 | 87 | 53.0389; 65.0385; 80.0493; 81.0333 |
| SMX 155 | C6H5NO2S | 155.0041 | −1.02 | 5 | 0.8 | 77 | 51.0233; 53.0390; 55.0182; 65.0387; 68.0495; 80.0494; 81.0334; 92.0494; 96.0442; 108.0443; 140.0163 |
| SMX 173 | C6H7NO3S | 173.0147 | 0.47 | 4 | 1.2 | 81 | 65.0387; 81.0338; 92.0496; 108.0443; 156.0114 |
| SMX 189 | C10H11N3O | 189.0902 | −0.06 | 7 | 1.1 | 83 | 53.0389; 65.0385; 80.0493; 81.0333; 108.0442 |
| SMX 191 | C10H13N3O | 191.1059 | 0.05 | 6 | 1.3 | 49 | 92.0494; 109.0760; 133.0760; 148.0869; 175.0866; 190.0974; 192.1131 |
| SMX 245 | C13H15N3O2 | 245.1164 | 0.03 | 8 | 1.2 | 90 | 93.0572; 107.0602; 108.0683; 109.0765; 187.0868; 203.1053; 228.1130; 229.0968 |
| SMX 253 | C10H11N3O3S | 253.0521 | −0.70 | 7 | 1.1 | 48 | 68.0494; 92.0492; 108.0441; 156.0110 |
| SMX 271 | C10H13N3O4S | 271.0627 | −2.010 | 6 | 1.3 | 53 | 65.0386; 68.0495; 99.0551; 108.0441; 156.0111; 254.0589 |
| Name | Formula | Calc. MW 1 | Δ Mass (ppm) | RDBE 2 | H/C 3 | SFit (%) | Selected MS/MS Fragments (m/z) |
|---|---|---|---|---|---|---|---|
| TMP 125 | C6H11N3 | 125.0953 | 0.03 | 3 | 1.8 | 74 | 82.0524; 83.0603; 124.0869 |
| TMP 164 | C6H12O5 | 164.0685 | 0.56 | 1 | 2.0 | 84 | 55.0546; 95.0490 |
| TMP 182 | C6H12O5 | 182.0790 | −0.05 | 0 | 2.3 | 83 | 69.0335; 85.0282; 111.0440; 129.0547 |
| TMP 335 | C15H29NO7 | 335.1944 | −0.20 | 2 | 1.9 | 93 | No MS/MS |
| TMP 459 | C26H37NO6 | 459.2621 | −0.15 | 9 | 1.4 | 87 | 69.0333; 119.0853; 135.0802 |
Disclaimer/Publisher’s Note: The statements, opinions and data contained in all publications are solely those of the individual author(s) and contributor(s) and not of MDPI and/or the editor(s). MDPI and/or the editor(s) disclaim responsibility for any injury to people or property resulting from any ideas, methods, instructions or products referred to in the content. |
© 2025 by the authors. Licensee MDPI, Basel, Switzerland. This article is an open access article distributed under the terms and conditions of the Creative Commons Attribution (CC BY) license (https://creativecommons.org/licenses/by/4.0/).
Share and Cite
Nałęcz-Jawecki, G.; Wawryniuk, M.; Kopczyńska, W.; Giebułtowicz, J. Individual and Simultaneous Photodegradation of Trimethoprim and Sulfamethoxazole Assessed with the Microbial Assay for Risk Assessment. Molecules 2025, 30, 1907. https://doi.org/10.3390/molecules30091907
Nałęcz-Jawecki G, Wawryniuk M, Kopczyńska W, Giebułtowicz J. Individual and Simultaneous Photodegradation of Trimethoprim and Sulfamethoxazole Assessed with the Microbial Assay for Risk Assessment. Molecules. 2025; 30(9):1907. https://doi.org/10.3390/molecules30091907
Chicago/Turabian StyleNałęcz-Jawecki, Grzegorz, Milena Wawryniuk, Weronika Kopczyńska, and Joanna Giebułtowicz. 2025. "Individual and Simultaneous Photodegradation of Trimethoprim and Sulfamethoxazole Assessed with the Microbial Assay for Risk Assessment" Molecules 30, no. 9: 1907. https://doi.org/10.3390/molecules30091907
APA StyleNałęcz-Jawecki, G., Wawryniuk, M., Kopczyńska, W., & Giebułtowicz, J. (2025). Individual and Simultaneous Photodegradation of Trimethoprim and Sulfamethoxazole Assessed with the Microbial Assay for Risk Assessment. Molecules, 30(9), 1907. https://doi.org/10.3390/molecules30091907

