Designing Fe2O3-Ti as Photoanode in H-Type Double-Electrode Coupling Systems for Bidirectional Photocatalytic Production of H2O2
Abstract
1. Introduction
2. Discussion
2.1. Properties Characterization
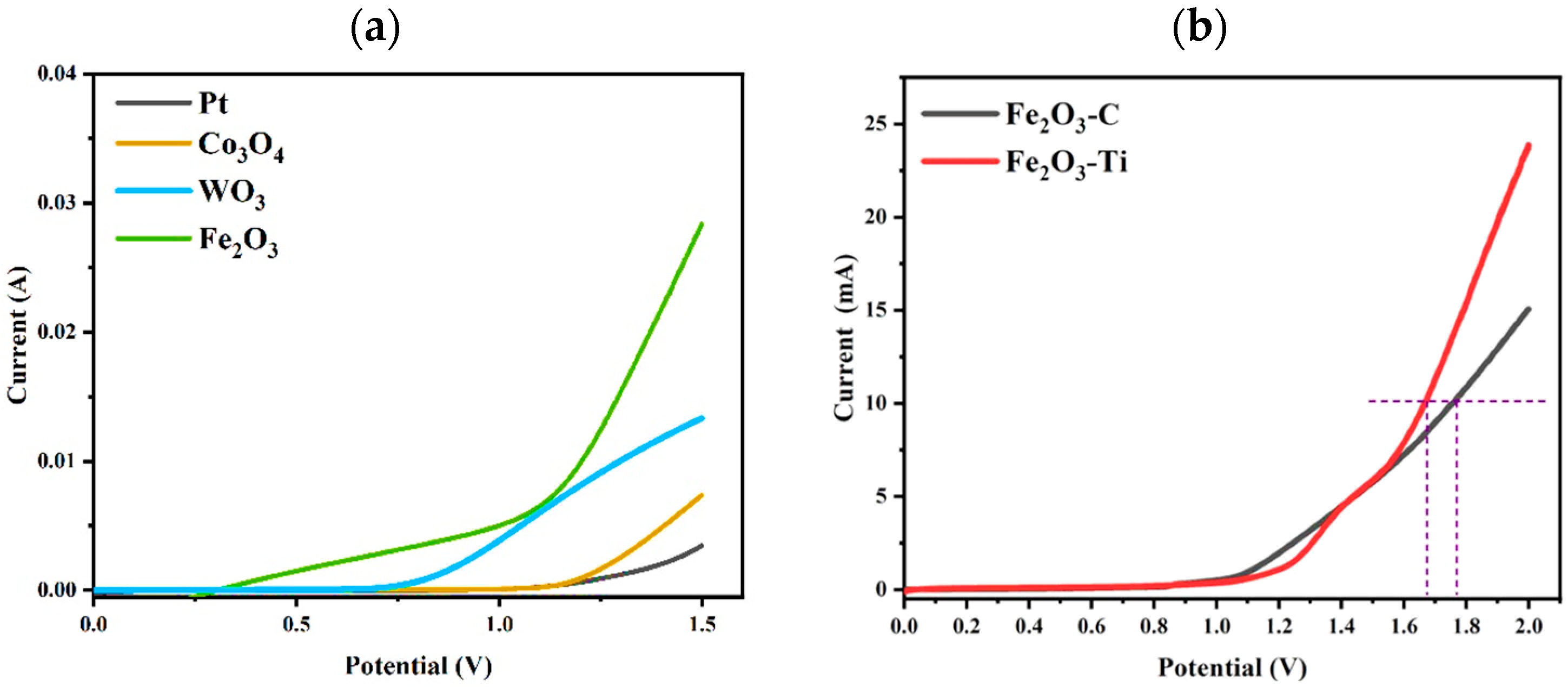
2.2. Photoelectrocatalytic Performance of H2O2 Production
2.3. Synergistic Photocatalytic Production of H2O2 by Bidirectional Coupling System
3. Materials and Methods
3.1. Preparation of WO3@Co2SnO4 as Photocathode
3.2. Preparation of Photoanode Substrate
3.3. Preparation of Photocathode
3.4. Synthesis of Fe2O3-Ti as Photoanode
3.5. Characterization
3.6. Photocatalytic Production of H2O2 with Photoanode
3.7. Bidirectional Catalytic Production of H2O2 by Coupling System
4. Conclusions
Author Contributions
Funding
Institutional Review Board Statement
Informed Consent Statement
Data Availability Statement
Acknowledgments
Conflicts of Interest
References
- FujFujishima, A.; Honda, K. Electrochemical Photolysis of Water at a Semiconductor Electrode. Nature 1972, 238, 37–38. [Google Scholar] [CrossRef] [PubMed]
- Kanan, M.W.; Nocera, D.G. In Situ Formation of an Oxygen-Evolving Catalyst in Neutral Water Containing Phosphate and Co2+. Science 2008, 321, 1072–1075. [Google Scholar] [CrossRef] [PubMed]
- Shen, S.; Shi, J.; Guo, P.; Guo, L. Visible-Light-Driven Photocatalytic Water Splitting on Nanostructured Semiconducting Materials. Int. J. Nanotechnol. 2011, 8, 523–591. [Google Scholar] [CrossRef]
- Chen, X.; Shen, S.; Guo, L.; Mao, S.S. Semiconductor-Based Photocatalytic Hydrogen Generation. Chem. Rev. 2010, 110, 6503–6570. [Google Scholar] [CrossRef]
- Zhong, D.K.; Cornuz, M.; Sivula, K.; Grätzel, M.; Gamelin, D.R. Photo-Assisted Electrodeposition of Cobalt–Phosphate (Co–Pi) Catalyst on Hematite Photoanodes for Solar Water Oxidation. Energy Environ. Sci. 2011, 4, 1759–1764. [Google Scholar] [CrossRef]
- Mafa, P.J.; Malefane, M.E.; Opoku, F.; Mamba, B.B.; Kuvarega, A.T. Visible light responsive MoS2/Ag@WO3/EG photoanode with highly stable Z-scheme induced circular electron motion pioneered by Exfoliated graphite for bisphenol a photoelectrodegradation. Chem. Eng. J. 2023, 464, 142462. [Google Scholar] [CrossRef]
- Hill, J.C.; Choi, K.-S. Effect of Electrolytes on the Selectivity and Stability of N-Type Wo3 Photoelectrodes for Use in Solar Water Oxidation. J. Phys. Chem. C 2012, 116, 7612–7620. [Google Scholar] [CrossRef]
- Shi, Q.; Li, J.; Liu, Y.; Kong, K.; Li, A.Z.; Duan, H. Photoelectrocatalytic Valorization of Biomass-Derived Succinic Acid into Ethylene Coupled with Hydrogen Production over an Ultrathin Biox-Covered TiO2. ACS Catal. 2024, 14, 10728–10736. [Google Scholar] [CrossRef]
- Ho-Kimura, S.M. Experimental Evidence for Photoactivated Bivo4 Anodes with Enhanced Photoelectrochemical Water Oxidation. ACS Appl. Energy Mater. 2024, 7, 1902–1913. [Google Scholar] [CrossRef]
- Wang, L.; Sun, J.; Meng, X.; Zhang, W.; Zhang, J.; Pan, S.; Shen, Z.; Xiao, F.-S. A Significant Enhancement of Catalytic Activities in Oxidation with H2O2 over the Ts-1 Zeolite by Adjusting the Catalyst Wettability. Chem. Commun. 2014, 50, 2012–2014. [Google Scholar] [CrossRef]
- Potts, D.S.; Torres, C.; Kwon, O.; Flaherty, D.W. Engineering Intraporous Solvent Environments: Effects of Aqueous-Organic Solvent Mixtures on Competition between Zeolite-Catalyzed Epoxidation and H2O2 Decomposition Pathways. Chem. Sci. 2023, 14, 3160–3181. [Google Scholar] [CrossRef]
- Zhang, L.; Liang, J.; Yue, L.; Xu, Z.; Dong, K.; Liu, Q.; Luo, Y.; Li, T.; Cheng, X.; Cui, G.; et al. N-Doped Carbon Nanotubes Supported CoSe2 Nanoparticles: A Highly Efficient and Stable Catalyst for H2O2 Electrosynthesis in Acidic Media. Nano Res. 2022, 15, 304–309. [Google Scholar] [CrossRef]
- Shi, X.; Zhang, Y.; Siahrostami, S.; Zheng, X. Light-Driven BiVO4–C Fuel Cell with Simultaneous Production of H2O2. Adv. Energy Mater. 2018, 8, 1801158. [Google Scholar] [CrossRef]
- Chen, C.; Yasugi, M.; Yu, L.; Teng, Z.; Ohno, T. Visible Light-Driven H2O2 Synthesis by a Cu3bis3 Photocathode Via a Photoelectrochemical Indirect Two-Electron Oxygen Reduction Reaction. Appl. Catal. B Environ. Energy 2022, 307, 121152. [Google Scholar] [CrossRef]
- Sun, M.; Liu, B.; Han, W.; Zhang, Z.; Xie, M. CuBi2O4 Photocathode with Integrated Electric Field for Enhanced H2O2 Production. Appl. Catal. B Environ. 2022, 304, 120980. [Google Scholar] [CrossRef]
- Zhang, X.; Zeng, Y.; Shi, W.; Tao, Z.; Liao, J.; Ai, C.; Si, H.; Wang, Z.; Fisher, A.C.; Lin, S. S-Scheme Heterojunction of Core–Shell Biphase (1T-2H)-MoSe2/TiO2 Nanorod Arrays for Enhanced Photoelectrocatalytic Production of Hydrogen Peroxide. Chem. Eng. J. 2022, 429, 131312. [Google Scholar] [CrossRef]
- Wang, Z.; Yue, X.; Liao, Y.; Xiang, Q. Indium Oxide Layer Dual Functional Modified Bismuth Vanadate Photoanode Promotes Photoelectrochemical Oxidation of Water to Hydrogen Peroxide. Chem. Sus. Chem. 2025, 18, e202401810. [Google Scholar] [CrossRef]
- Liu, Y.; Lei, F.; Li, T.; Wang, S.; Li, Y. Noble-Metal-Free Electrocatalysts for Selective Hydrogen Peroxide Generation Via Oxygen Reduction Reaction. Chem.–A Eur. J. 2025, 31, e202404164. [Google Scholar] [CrossRef]
- Li, J.; Huang, J.; Zeng, G.; Zhang, C.; Yu, H.; Wan, Q.; Yi, K.; Zhang, W.; Pang, H.; Liu, S.; et al. Efficient Photosynthesis of H2O2 Via Two-Electron Oxygen Reduction Reaction by Defective G-C3N4 with Terminal Cyano Groups and Nitrogen Vacancies. Chem. Eng. J. 2023, 463, 142512. [Google Scholar] [CrossRef]
- Seo, D.; Grieder, A.; Radmilovic, A.; Alamudun, S.F.; Yuan, X.; Ping, Y.; Choi, K.S. Atomic Doping to Enhance the P-Type Behavior of BiFeO3 Photoelectrodes for Solar H2O2 Production. J. Mater. Chem. A 2024, 12, 20437–20448. [Google Scholar] [CrossRef]
- Li, L.; Luo, Q.; Wang, Y.; Zhang, X.; Wen, Y.; Wang, N.; AlShahrani, T.; Ma, S. Creation of Dopant-Plasmon Synergism in Double Perovskites for Bias-Free Photoelectrochemical Synthesis of Bromohydrins and Hydrogen Peroxide. Angew. Chem. Int. Edit. 2025, 137, e202424395. [Google Scholar] [CrossRef]
- Van Dao, D.; Bich, T.T.; Ha, N.T.; Wang, W.; Kim, T.; Kim, H.; Duy, P.H.; Ha, N.N.; Van, D.T.; Lee, I.H. Hematite Fe2O3@Nitrogen-Doped Graphene Core-Shell Photocatalyst for Efficient Cephalexin Degradation under Visible Light Irradiation. Ceram. Int. 2022, 48, 4533–4542. [Google Scholar] [CrossRef]
- Kozhina, G.; Estemirova, S.; Pechishcheva, N.; Murzakaev, A.; Vovkotrub, E.; Skrylnik, M.; Shunyaev, K. Joint Mechanical Activation of MnO2, Fe2O3 and Graphite: Mutual Influence on the Structure. Adv. Powder Technol. 2017, 28, 1202–1212. [Google Scholar] [CrossRef]
- Kadam, S.A.; Phan, G.T.; Van Pham, D.; Patil, R.A.; Lai, C.C.; Chen, Y.R.; Liou, Y.; Ma, Y.R. Doping-free bandgap tunability in Fe2O3 nanostructured films. Nanoscale Adv. 2021, 3, 5581–5588. [Google Scholar] [CrossRef]
- Synowiec, M.; Zákutná, D.; Trenczek-Zajac, A.; Radecka, M. The impact of nanometric Fe2O3 on the magnetic, electronic, and photocatalytic behavior of TiO2@Fe2O3 heterostructures. Appl. Surf. Sci. 2023, 608, 155186. [Google Scholar] [CrossRef]
- Zheng, J.; Lei, Z. Incorporation of CoO nanoparticles in 3D marigold flower-like hierarchical architecture MnCo2O4 for highly boosting solar light photo-oxidation and reduction ability. Appl. Catal. B Environ. 2018, 237, 1–8. [Google Scholar] [CrossRef]
- Guo, F.; Shi, W.; Wang, H.; Han, M.; Li, H.; Huang, H.; Liu, Y.; Kang, Z. Facile fabrication of a CoO/g-C3N4 p–n heterojunction with enhanced photocatalytic activity and stability for tetracycline degradation under visible light. Catal. Sci. Technol. 2017, 7, 3325–3331. [Google Scholar] [CrossRef]
- Fuku, K.; Miyase, Y.; Miseki, Y.; Gunji, T.; Sayama, K. Enhanced Oxidative Hydrogen Peroxide Production on Conducting Glass Anodes Modified with Metal Oxides. Chem. Sel. 2016, 1, 5721–5726. [Google Scholar] [CrossRef]
- Fuku, K.; Sayama, K. Efficient Oxidative Hydrogen Peroxide Production and Accumulation in Photoelectrochemical Water Splitting Using a Tungsten Trioxide/Bismuth Vanadate Photoanode. Chem. Commun. 2016, 52, 5406–5409. [Google Scholar] [CrossRef]
- Zhang, D.; Zhang, L.; An, C.; Wang, M. Constructing Z-Scheme 3D WO3@Co2SnO4 Heterojunction as Dual-Photocathode for Production of H2O2 and in-Situ Degradation of Organic Pollutants. Water 2024, 16, 406. [Google Scholar] [CrossRef]
- Ma, X.; Sun, Z.; Hu, X. Electrocatalytic Dechlorination of Chlorophenols on Palladium/Graphene-Nafion/Titanium Mesh Electrode. J. Water Process Eng. 2018, 26, 72–82. [Google Scholar] [CrossRef]
- Zhang, L.; Hu, Y.; Zheng, J. Fabrication of 3d Hierarchical CoSnO3@CoO Pine Needle-Like Array Photoelectrode for Enhanced Photoelectrochemical Properties. J. Mater. Chem. A 2017, 5, 18664–18673. [Google Scholar] [CrossRef]








Disclaimer/Publisher’s Note: The statements, opinions and data contained in all publications are solely those of the individual author(s) and contributor(s) and not of MDPI and/or the editor(s). MDPI and/or the editor(s) disclaim responsibility for any injury to people or property resulting from any ideas, methods, instructions or products referred to in the content. |
© 2025 by the authors. Licensee MDPI, Basel, Switzerland. This article is an open access article distributed under the terms and conditions of the Creative Commons Attribution (CC BY) license (https://creativecommons.org/licenses/by/4.0/).
Share and Cite
Zhang, D.; An, C.; Liu, D.; Liu, T.; Wang, T.; Wang, M. Designing Fe2O3-Ti as Photoanode in H-Type Double-Electrode Coupling Systems for Bidirectional Photocatalytic Production of H2O2. Molecules 2025, 30, 1908. https://doi.org/10.3390/molecules30091908
Zhang D, An C, Liu D, Liu T, Wang T, Wang M. Designing Fe2O3-Ti as Photoanode in H-Type Double-Electrode Coupling Systems for Bidirectional Photocatalytic Production of H2O2. Molecules. 2025; 30(9):1908. https://doi.org/10.3390/molecules30091908
Chicago/Turabian StyleZhang, Danfeng, Changwei An, Dandan Liu, Tong Liu, Te Wang, and Min Wang. 2025. "Designing Fe2O3-Ti as Photoanode in H-Type Double-Electrode Coupling Systems for Bidirectional Photocatalytic Production of H2O2" Molecules 30, no. 9: 1908. https://doi.org/10.3390/molecules30091908
APA StyleZhang, D., An, C., Liu, D., Liu, T., Wang, T., & Wang, M. (2025). Designing Fe2O3-Ti as Photoanode in H-Type Double-Electrode Coupling Systems for Bidirectional Photocatalytic Production of H2O2. Molecules, 30(9), 1908. https://doi.org/10.3390/molecules30091908
