A Site-Ordered Quadruple Perovskites, RMn3Ni2Mn2O12 with R = Bi, Ce, and Ho, with Different Degrees of B Site Ordering
Abstract
1. Introduction
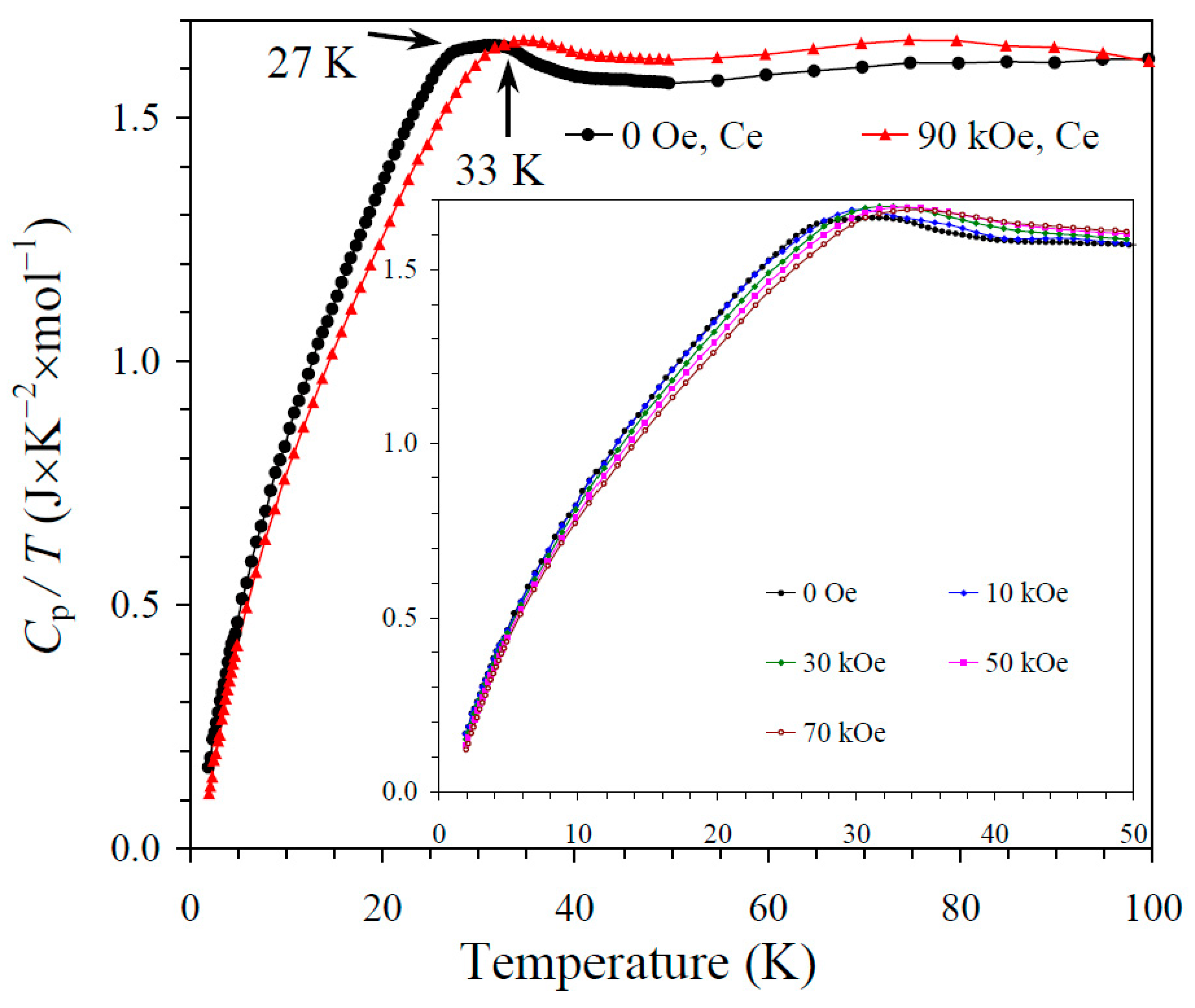
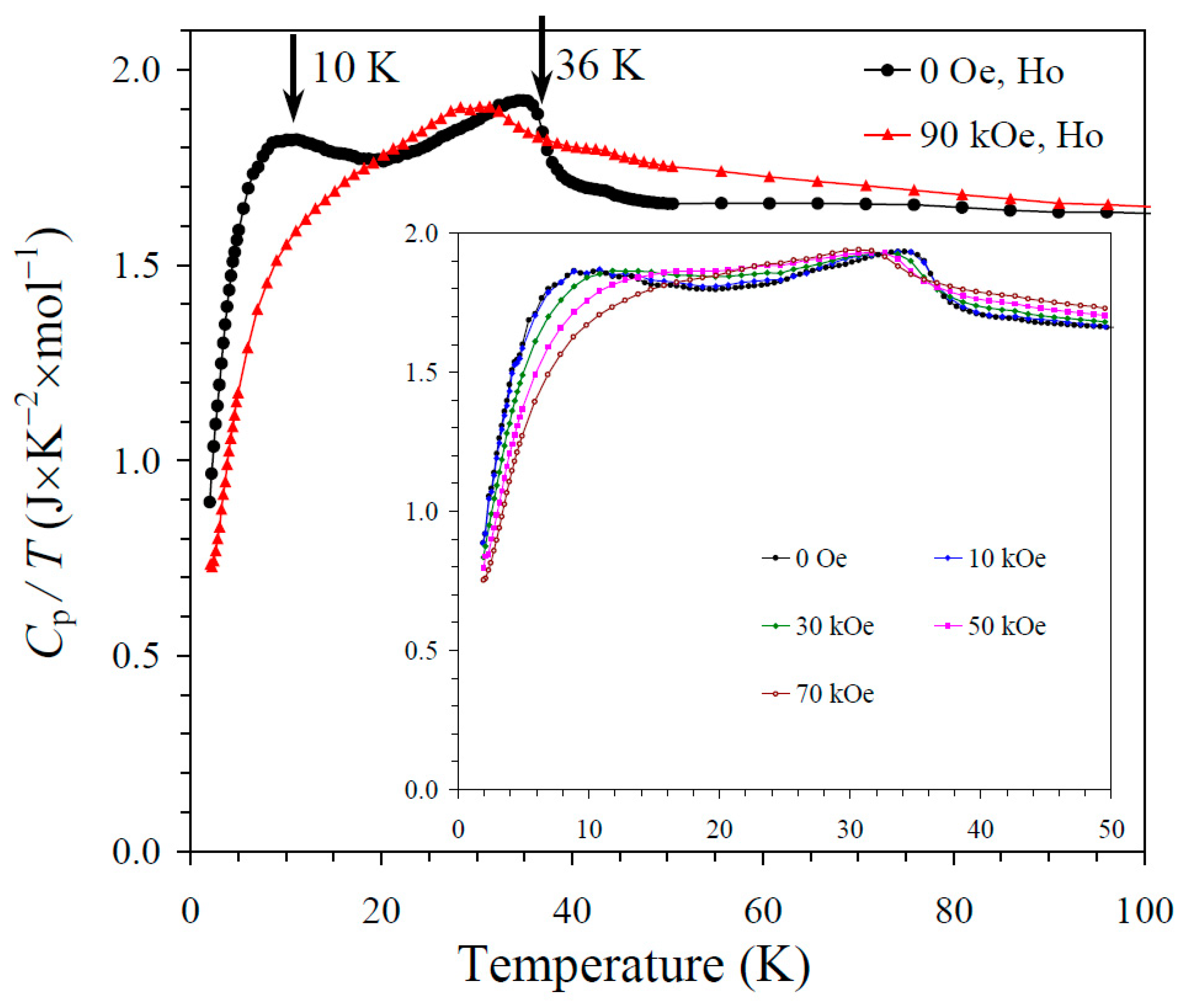
2. Results and Discussion
3. Experimental
4. Conclusions
Supplementary Materials
Funding
Institutional Review Board Statement
Informed Consent Statement
Data Availability Statement
Acknowledgments
Conflicts of Interest
References
- Mitchell, R.H. Perovskites: Modern and Ancient; Almaz Press: Thunder Bay, ON, Canada, 2002. [Google Scholar]
- Abakumov, A.M.; Tsirlin, A.A.; Antipov, E.V. Transition-metal perovskites. In Comprehensive Inorganic Chemistry II (Second Edition): From Elements to Applications; Reedijk, J., Poeppelmeier, K.R., Eds.; Elsevier: Amsterdam, The Netherlands, 2013; Volume 2, pp. 1–40. [Google Scholar]
- Knapp, M.C.; Woodward, P.M. A-site cation ordering in AA′BB′O6 perovskites. J. Solid State Chem. 2006, 179, 1076–1085. [Google Scholar] [CrossRef]
- King, G.; Woodward, P.M. Cation ordering in perovskites. J. Mater. Chem. 2010, 20, 5785–5796. [Google Scholar] [CrossRef]
- Vasala, S.; Karppinen, M. A2B′B″O6 perovskites: A review. Prog. Solid State Chem. 2015, 43, 1–36. [Google Scholar] [CrossRef]
- Bousquet, E.; Cano, A. Non-collinear magnetism in multiferroic perovskites. J. Phys. Condens. Matter 2016, 28, 123001. [Google Scholar] [CrossRef]
- Vasil’ev, A.N.; Volkova, O.S. New functional materials AC3B4O12 (Review). Low Temp. Phys. 2007, 33, 895–914. [Google Scholar] [CrossRef]
- Long, Y. A-site ordered quadruple perovskite oxides AA′3B4O12. Chin. Phys. B 2016, 25, 078108. [Google Scholar] [CrossRef]
- Yamada, I. Novel catalytic properties of quadruple perovskites. Sci. Technol. Adv. Mater. 2017, 18, 541–548. [Google Scholar] [CrossRef] [PubMed]
- Belik, A.A.; Johnson, R.D.; Khalyavin, D.D. The rich physics of A-site-ordered quadruple perovskite manganites AMn7O12. Dalton Trans. 2021, 50, 15458–15472. [Google Scholar] [CrossRef]
- Ding, J.; Zhu, X.H. Research progress on quadruple perovskite oxides. J. Mater. Chem. C 2024, 12, 9510–9561. [Google Scholar] [CrossRef]
- Yin, Y.Y.; Liu, M.; Dai, J.H.; Wang, X.; Zhou, L.; Cao, H.; Cruz, C.D.; Chen, C.T.; Xu, Y.; Shen, X.; et al. LaMn3Ni2Mn2O12: An A- and B-site ordered quadruple perovskite with A-site tuning orthogonal spin ordering. Chem. Mater. 2016, 28, 8988–8996. [Google Scholar] [CrossRef]
- Liu, M.; Hu, C.E.; Cheng, C.; Chen, X.R. A–B-intersite-dependent magnetic order and electronic structure of LaMn3Ni2Mn2O12: A first-principles study. J. Phys. Chem. C 2018, 122, 1946–1954. [Google Scholar] [CrossRef]
- Byeon, S.H.; Lufaso, M.W.; Parise, J.B.; Woodward, P.M.; Hansen, T. High-pressure synthesis and characterization of perovskites with simultaneous ordering of both the A- and B-site cations, CaCu3Ga2M2O12 (M = Sb, Ta). Chem. Mater. 2003, 15, 3798–3804. [Google Scholar] [CrossRef]
- Byeon, S.H.; Lee, S.S.; Parise, J.B.; Woodward, P.M.; Hur, N.H. High-pressure synthesis of metallic perovskite ruthenate Ca-Cu3Ga2Ru2O12. Chem. Mater. 2004, 16, 3697–3701. [Google Scholar] [CrossRef]
- Byeon, S.H.; Lee, S.S.; Parise, J.B.; Woodward, P.M.; Hur, N.H. New ferrimagnetic oxide CaCu3Cr2Sb2O12: High-pressure synthesis, structure, and magnetic properties. Chem. Mater. 2005, 17, 3552–3557. [Google Scholar] [CrossRef]
- Deng, H.S.; Liu, M.; Dai, J.H.; Hu, Z.W.; Kuo, C.Y.; Yin, Y.Y.; Yang, J.Y.; Wang, X.; Zhao, Q.; Xu, Y.; et al. Strong enhancement of spin ordering by A-site magnetic ions in the ferrimagnet CaCu3Fe2Os2O12. Phys. Rev. B 2016, 94, 024414. [Google Scholar] [CrossRef]
- Wang, X.; Liu, Z.; Deng, H.; Agrestini, S.; Chen, K.; Lee, J.F.; Lin, H.J.; Chen, C.T.; Choueikani, F.; Ohresser, P.; et al. Comparative study on the magnetic and transport properties of B-site ordered and disordered CaCu3Fe2Os2O12. Inorg. Chem. 2022, 61, 16929–16935. [Google Scholar] [CrossRef]
- Wang, X.; Liu, M.; Shen, X.D.; Liu, Z.H.; Hu, Z.W.; Chen, K.; Ohresser, P.; Nataf, L.; Baudelet, F.; Lin, H.J.; et al. High-temperature ferrimagnetic half metallicity with wide spin-up energy gap in NaCu3Fe2Os2O12. Inorg. Chem. 2019, 58, 320–326. [Google Scholar] [CrossRef]
- Ye, X.; Liu, Z.; Wang, W.; Hu, Z.; Lin, H.J.; Weng, S.C.; Chen, C.T.; Yu, R.; Tjeng, L.H.; Long, Y.W. High-pressure synthesis and spin glass behavior of a Mn/Ir disordered quadruple perovskite CaCu3Mn2Ir2O12. J. Phys. Condens. Matter 2020, 32, 075701. [Google Scholar] [CrossRef]
- Li, H.P.; Zhang, Q.; Zhu, Z.P.; Ge, Z.Z.; Li, C.S.; Meng, J.; Tian, Y. Unraveling the effect of B-site antisite defects on the electronic and magnetic properties of the quadruple perovskite CaCu3Fe2Nb2O12. Phys. Chem. Chem. Phys. 2019, 21, 3059–3065. [Google Scholar] [CrossRef]
- Guo, J.; Shen, X.D.; Liu, Z.H.; Qin, S.J.; Wang, W.P.; Ye, X.B.; Liu, G.X.; Yu, R.C.; Lin, H.J.; Chen, C.T.; et al. High-pressure synthesis of a B-site Co2+/Mn4+ disordered quadruple perovskite LaMn3Co2Mn2O12. Inorg. Chem. 2020, 59, 12445–12452. [Google Scholar] [CrossRef]
- Liu, Z.; Sun, Q.; Ye, X.; Wang, X.; Zhou, L.; Shen, X.; Chen, K.; Nataf, L.; Baudelet, F.; Agrestini, S.; et al. Quadruple perovskite oxide LaCu3Co2Re2O12: A ferrimagnetic half metal with nearly 100% B-site degree of order. Appl. Phys. Lett. 2020, 117, 152402. [Google Scholar] [CrossRef]
- Li, S.M.; Shu, M.F.; Wang, M.; Pan, C.B.; Zhao, G.C.; Yin, L.H.; Song, W.H.; Yang, J.; Zhu, X.B.; Sun, Y.P. Critical behavior at paramagnetic to ferrimagnetic phase transition in A-site ordered perovskite CaCu3Cr2Nb2O12. Phys. B Condens. Matter 2023, 648, 414376. [Google Scholar] [CrossRef]
- Morimura, A.; Kamiyama, S.; Hayashi, N.; Yamamoto, H.; Yamada, I. High-pressure syntheses, crystal structures, and magnetic properties of novel quadruple perovskite oxides LaMn3Ru2Mn2O12 and LaMn3Ru2Fe2O12. J. Alloys Compd. 2023, 968, 172263. [Google Scholar] [CrossRef]
- Zhang, J.; Liu, Z.H.; Ye, X.B.; Wang, X.; Lu, D.B.; Zhao, H.T.; Pi, M.C.; Chen, C.T.; Chen, J.L.; Kuo, C.Y.; et al. High-pressure synthesis of quadruple perovskite oxide CaCu3Cr2Re2O12 with a high ferrimagnetic Curie temperature. Inorg. Chem. 2024, 63, 3499–3505. [Google Scholar] [CrossRef]
- Kumar, L.; Datta, J.; Sen, S.; Ray, P.P.; Mandal, T.K. Ambient pressure synthesis and properties of LaCu3Fe2TiSbO12: New A-site ordered ferrimagnetic quadruple perovskite. J. Solid State Chem. 2021, 302, 122433. [Google Scholar] [CrossRef]
- Kumar, L.; Sen, S.; Mandal, T.K. Ambient pressure synthesis and structure and magnetic properties of a new A- and B-site ordered multinary quadruple perovskite. Dalton Trans. 2024, 53, 11060–11070. [Google Scholar] [CrossRef]
- Dass, R.I.; Yan, J.Q.; Goodenough, J.B. Oxygen stoichiometry, ferromagnetism, and transport properties of La2−xNiMnO6+δ. Phys. Rev. B 2003, 68, 064415. [Google Scholar] [CrossRef]
- Rogado, N.S.; Li, J.; Sleight, A.W.; Subramanian, M.A. Magnetocapacitance and magnetoresistance near room temperature in a ferromagnetic semiconductor: La2NiMnO6. Adv. Mater. 2005, 17, 2225–2227. [Google Scholar] [CrossRef]
- Kobayashi, Y.; Shiozawa, M.; Sato, K.; Abe, K.; Asai, K. Crystal structure, magnetism, and dielectric properties of La1−xBixNi0.5Mn0.5O3. J. Phys. Soc. Jpn. 2008, 77, 084701. [Google Scholar] [CrossRef]
- Choudhury, D.; Mandal, P.; Mathieu, R.; Hazarika, A.; Rajan, S.; Sundaresan, A.; Waghmare, U.V.; Knut, R.; Karis, O.; Nordblad, P.; et al. Near-room-temperature colossal magnetodielectricity and multiglass properties in partially disordered La2NiMnO6. Phys. Rev. Lett. 2012, 108, 127201. [Google Scholar] [CrossRef]
- Guo, Y.Q.; Shi, L.; Zhou, S.M.; Zhao, J.I.; Liu, W.J. Near room-temperature magnetoresistance effect in double perovskite La2NiMnO6. Appl. Phys. Lett. 2013, 102, 222401. [Google Scholar] [CrossRef]
- Sánchez-Benítez, J.; Martínez-Lope, M.J.; Alonso, J.A.; García-Muñoz, J.L. Magnetic and structural features of the NdNi1−xMnxO3 perovskite series investigated by neutron diffraction. J. Phys. Condens. Matter 2011, 23, 226001. [Google Scholar] [CrossRef]
- Retuerto, M.; Muñoz, Á.; Martínez-Lope, M.J.; Alonso, J.A.; Mompeán, F.J.; Fernández-Díaz, M.T.; Sánchez-Benítez, J. Magnetic interactions in the double perovskites R2NiMnO6 (R = Tb, Ho, Er, Tm) investigated by neutron diffraction. Inorg. Chem. 2015, 54, 10890–10900. [Google Scholar] [CrossRef] [PubMed]
- Booth, R.J.; Fillman, R.; Whitaker, H.; Nag, A.; Tiwari, R.M.; Ramanujachary, K.V.; Gopalakrishnan, J.; Lofland, S.E. An investigation of structural, magnetic and dielectric properties of R2NiMnO6 (R = rare earth, Y). Mater. Res. Bull. 2009, 44, 1559–1564. [Google Scholar] [CrossRef]
- Nasir, M.; Kumar, S.; Patra, N.; Bhattacharya, D.; Jha, S.N.; Basaula, D.R.; Bhatt, S.; Khan, M.; Liu, S.W.; Biring, S.; et al. Role of antisite disorder, rare-earth size, and superexchange angle on band gap, Curie temperature, and magnetization of R2NiMnO6 double perovskites. ACS Appl. Electron. Mater. 2019, 1, 141–153. [Google Scholar] [CrossRef]
- Asai, K.; Fujiyoshi, K.; Nishimori, N.; Satoh, Y.; Kobayashi, Y.; Mizoguchi, M. Magnetic properties of REMe0.5Mn0.5O3 (RE = rare earth element, Me = Ni, Co). J. Phys. Soc. Jpn. 1998, 67, 4218–4228. [Google Scholar] [CrossRef]
- Yi, W.; Liang, Q.F.; Matsushita, Y.; Tanaka, M.; Belik, A.A. High-pressure synthesis, crystal structure, and properties of In2NiMnO6 with antiferromagnetic order and field-induced phase transition. Inorg. Chem. 2013, 52, 14108–14115. [Google Scholar] [CrossRef]
- Terada, N.; Khalyavin, D.D.; Manuel, P.; Yi, W.; Suzuki, H.S.; Tsujii, N.; Imanaka, Y.; Belik, A.A. Ferroelectricity induced by ferriaxial crystal rotation and spin helicity in a B-site-ordered double-perovskite multiferroic In2NiMnO6. Phys. Rev. B 2015, 91, 104413. [Google Scholar] [CrossRef]
- Yi, W.; Princep, A.J.; Guo, Y.F.; Johnson, R.D.; Khalyavin, D.D.; Manuel, P.; Senyshyn, A.; Presniakov, I.A.; Sobolev, A.V.; Matsushita, Y.; et al. Sc2NiMnO6: A double-perovskite with a magnetodielectric response driven by multiple magnetic orders. Inorg. Chem. 2015, 54, 8012–8021. [Google Scholar] [CrossRef]
- Ding, L.; Khalyavin, D.D.; Manuel, P.; Blake, J.; Orlandi, F.; Yi, W.; Belik, A.A. Colossal magnetoresistance in the insulating ferromagnetic double perovskites Tl2NiMnO6: A neutron diffraction study. Acta Mater. 2019, 173, 20–26. [Google Scholar] [CrossRef]
- Sobolev, A.V.; Glazkova, I.S.; Akulenko, A.A.; Sergueev, I.; Chumakov, A.I.; Yi, W.; Belik, A.A.; Presniakov, I.A. 61Ni nuclear forward scattering study of magnetic hyperfine interactions in double perovskites A2NiMnO6 (A = Sc, In, Tl). J. Phys. Chem. 2019, 123, 23628–23634. [Google Scholar] [CrossRef]
- Terada, N.; Colin, C.V.; Qureshi, N.; Hansen, T.; Matsubayashi, K.; Uwatoko, Y.; Belik, A.A. Pressure-induced incommensurate antiferromagnetic order in a ferromagnetic B-site ordered double-perovskite Lu2NiMnO6. Phys. Rev. B 2020, 102, 094412. [Google Scholar] [CrossRef]
- Manna, K.; Bera, A.K.; Jain, M.; Elizabeth, S.; Yusuf, S.M.; Anil Kumar, P.S. Structural-modulation-driven spin canting and reentrant glassy magnetic phase in ferromagnetic Lu2MnNiO6. Phys. Rev. B 2015, 91, 224420. [Google Scholar] [CrossRef]
- Dieguez, O.; Iniguez, J. Multiferroic Bi2NiMnO6 thin films: A computational prediction. Phys. Rev. B 2017, 95, 085129. [Google Scholar] [CrossRef]
- Weihe, H.; Gudel, H.U. Quantitative interpretation of the Goodenough-Kanamori rules: A critical analysis. Inorg. Chem. 1997, 36, 3632–3639. [Google Scholar] [CrossRef]
- Belik, A.A.; Liu, R.; Tanaka, M.; Yamaura, K. B-site-ordered and disordered structures in A-site-ordered quadruple perovskites RMn3Ni2Mn2O12 with R = Nd, Sm, Gd, and Dy. Molecules 2024, 29, 5488. [Google Scholar] [CrossRef] [PubMed]
- Zhou, L.; Dai, J.H.; Chai, Y.S.; Zhang, H.M.; Dong, S.; Cao, H.B.; Calder, S.; Yin, Y.Y.; Wang, X.; Shen, X.D.; et al. Realization of Large Electric Polarization and Strong Magnetoelectric Coupling in BiMn3Cr4O12. Adv. Mater. 2017, 29, 1703435. [Google Scholar] [CrossRef]
- Maia, A.; Kadlec, C.; Savinov, M.; Vilarinho, R.; Moreira, J.A.; Bovtun, V.; Kempa, M.; Míšek, M.; Kaštil, J.; Prokhorov, A.; et al. Can the Ferroelectric Soft Mode Trigger an Antiferromagnetic Phase Transition? J. Eur. Ceram. Soc. 2023, 43, 2479–2487. [Google Scholar] [CrossRef]
- Etter, M.; Isobe, M.; Sakurai, H.; Yaresko, A.; Dinnebier, R.E.; Takagi, H. Charge disproportionation of mixed-valent Cr triggered by Bi lone-pair effect in the A-site-ordered perovskite BiCu3Cr4O12. Phys. Rev. B 2018, 97, 195111. [Google Scholar] [CrossRef]
- Khalyavin, D.D.; Johnson, R.D.; Orlandi, F.; Radaelli, P.G.; Manuel, P.; Belik, A.A. Emergent helical texture of electric dipoles. Science 2020, 369, 680–684. [Google Scholar] [CrossRef]
- Belik, A.A.; Matsushita, Y.; Tanaka, M.; Johnson, R.D.; Khalyavin, D.D. A plethora of structural transitions, distortions and modulations in Cu-doped BiMn7O12 quadruple perovskites. J. Mater. Chem. C 2021, 9, 10232–10242. [Google Scholar] [CrossRef]
- Fu, W.T.; Ijdo, D.J.W. “Unusual” phase transitions in CeAlO3. J. Solid State Chem. 2006, 179, 2732–2738. [Google Scholar] [CrossRef]
- Vasylechko, L.; Senyshyna, A.; Trots, D.; Niewa, R.; Schnelle, W.; Knapp, M. CeAlO3 and Ce1−xRxAlO3 (R = La, Nd) solid solutions: Crystal structure, thermal expansion and phase transitions. J. Solid State Chem. 2007, 180, 1277–1290. [Google Scholar] [CrossRef]
- Errandonea, D.; Santamaria-Perez, D.; Martinez-Garcia, D.; Gomis, O.; Shukla, R.; Achary, S.N.; Tyagi, A.K.; Popescu, C. Pressure impact on the stability and distortion of the crystal structure of CeScO3. Inorg. Chem. 2017, 56, 8363–8371. [Google Scholar] [CrossRef]
- Cao, Y.M.; Cao, S.X.; Ren, W.; Feng, Z.J.; Yuan, S.J.; Kang, B.J.; Lu, B.; Zhang, J.C. Magnetization switching of rare earth orthochromite CeCrO3. Appl. Phys. Lett. 2014, 104, 232405. [Google Scholar] [CrossRef]
- Yuan, S.J.; Cao, Y.M.; Li, L.; Qi, T.F.; Cao, S.X.; Zhang, J.C.; DeLong, L.E.; Cao, G. First-order spin reorientation transition and specific-heat anomaly in CeFeO3. J. Appl. Phys. 2013, 114, 113909. [Google Scholar] [CrossRef]
- Yamada, I.; Etani, H.; Murakami, M.; Hayashi, N.; Kawakami, T.; Mizumaki, M.; Ueda, S.; Abe, H.; Liss, K.D.; Studer, A.J.; et al. Charge-order melting in charge-disproportionated perovskite CeCu3Fe4O12. Inorg. Chem. 2014, 53, 11794–11801. [Google Scholar] [CrossRef] [PubMed]
- Sánchez-Benítez, J.; Martínez-Lope, M.J.; Alonso, J.A. Preparation at moderate pressures, crystal and magnetic structure and magnetotransport of the ferrimagnetic CeCu3Mn4O12 perovskite. J. Appl. Phys. 2010, 107, 103904. [Google Scholar] [CrossRef]
- Kadyrova, N.I.; Zainulin, Y.G.; Tyutyunnik, A.P.; Kellerman, D.G.; Mel’nikova, N.V. Preparation specifics and properties of AMn3V4O12 (A = Ca, Ce, and Sm) high-pressure phases. Russ. J. Inorg. Chem. 2017, 62, 103–110. [Google Scholar] [CrossRef]
- Belik, A.A.; Katsuya, Y.; Tanaka, M.; Yamaura, K. Crystal structure and magnetic properties of A-site-ordered quadruple perovskite CeCu3Cr4O12. J. Alloys Compd. 2019, 793, 42–48. [Google Scholar] [CrossRef]
- Brese, N.E.; O’Keeffe, M. Bond-valence parameters for solids. Acta Crystallogr. Sect. B Struct. Sci. 1991, 47, 192–197. [Google Scholar] [CrossRef]
- Roulhac, P.L.; Palenik, G.J. Bond valence sums in coordination chemistry. The calculation of the oxidation state of cerium in complexes containing cerium bonded only to oxygen. Inorg. Chem. 2003, 42, 118–121. [Google Scholar] [CrossRef] [PubMed]
- Shannon, R.D. Revised effective ionic radii and systematic studies of interatomic distances in halides and chalcogenides. Acta Crystallogr. Sect. A Cryst. Phys. Diffr. Theor. Gen. Crystallogr. 1976, 32, 751–767. [Google Scholar] [CrossRef]
- Pernet, M.; Joubert, J.C.; Ferrand, B. Etude par diffraction neutronique de l’ilmenite ferrimagnetique NiMnO3. Solid State Commun. 1975, 16, 503–508. [Google Scholar] [CrossRef]
- Kittel, C.; McEuen, P. Introduction to Solid State Physics; John Wiley & Sons, Inc.: New York, NY, USA, 2005. [Google Scholar]
- Kawaguchi, S.; Takemoto, M.; Osaka, K.; Nishibori, E.; Moriyoshi, C.; Kubota, Y.; Kuroiwa, Y.; Sugimoto, K. High-throughput powder diffraction measurement system consisting of multiple MYTHEN detectors at beamline BL02B2 of SPring-8. Rev. Sci. Instrum. 2017, 88, 085111. [Google Scholar] [CrossRef]
- Kawaguchi, S.; Takemoto, M.; Tanaka, H.; Hiraide, S.; Sugimoto, K.; Kubota, Y. Fast continuous measurement of synchrotron powder diffraction synchronized with controlling gas and vapour pressures at beamline BL02B2 of SPring-8. J. Synchrotron Rad. 2020, 27, 616–624. [Google Scholar] [CrossRef]
- Izumi, F.; Ikeda, T. A Rietveld-analysis programm RIETAN-98 and its applications to zeolites. Mater. Sci. Forum 2000, 321–324, 198–205. [Google Scholar] [CrossRef]








| Site | WP | g | x | y | z | Biso (Å2) |
|---|---|---|---|---|---|---|
| Ho | 2a | 1 | 0.25 | 0.25 | 0.25 | 0.685(6) |
| MnSQ | 6d | 1 | 0.25 | 0.75 | 0.75 | 0.507(9) |
| Ni1/Mn1 | 4b | 0.815(12)Ni + 0.185Mn | 0 | 0 | 0 | 0.31(3) |
| Mn2/Ni2 | 4c | 0.815Mn + 0.185Ni | 0.5 | 0.5 | 0.5 | 0.29(3) |
| O | 24h | 1 | 0.2578(4) | 0.4242(2) | 0.5567(2) | 0.56(3) |
| R | Bi | Ce |
|---|---|---|
| Wavelength (Å) | 0.4137875 | 0.6200666 |
| Used d-space range (Å) | 0.3122–11.855 | 0.4678–7.108 |
| a (Å) | 7.37294(1) | 7.37071(1) |
| V (Å3) | 400.7949(11) | 400.4314(7) |
| Biso(R) (Å2) | 2.095(9) | 0.565(9) |
| Biso(MnSQ) (Å2) | 0.624(12) | 0.521(12) |
| Biso(Ni/Mn) (Å2) | 0.436(8) | 0.280(9) |
| x(O) | 0.31118(22) | 0.31053(20) |
| y(O) | 0.17728(24) | 0.17562(22) |
| Biso(O) (Å2) | 0.83(4) | 0.62(3) |
| Rwp (%) | 7.54 (6.22) | 8.48 (6.76) |
| Rp (%) | 5.37 (4.56) | 5.73 (4.96) |
| RI (%) | 3.37 (3.49) | 2.87 (3.67) |
| RF (%) | 5.99 (6.03) | 1.58 (2.59) |
| Impurities: | ||
| NiO | 1.9 wt. % | 2.5 wt. % |
| Bi2O2CO3 | 1.4 wt. % | - |
| NiMnO3 | 2.0 wt. % | 5.7 wt. % |
| CeO2 | - | 3.4 wt. % |
| GdFeO3-type | 0.5 wt. % | - |
| R (Symmetry) | TN (K) | μeff (μB/f.u.) | μcalc (μB/f.u.) | θ (K) | MS (μB/f.u.) |
|---|---|---|---|---|---|
| Bi (Im-3) | 36 | 10.899(2) | 10.863 | −55.9(3) | 2.76 |
| Ce (Im-3) | 27, 33 | 11.169(1) | 11.125 | −40.8(2) | 5.42 |
| Ho (Pn-3) | 10, 36 | 15.164(2) | 15.178 | −21.1(1) | 11.66 |
Disclaimer/Publisher’s Note: The statements, opinions and data contained in all publications are solely those of the individual author(s) and contributor(s) and not of MDPI and/or the editor(s). MDPI and/or the editor(s) disclaim responsibility for any injury to people or property resulting from any ideas, methods, instructions or products referred to in the content. |
© 2025 by the author. Licensee MDPI, Basel, Switzerland. This article is an open access article distributed under the terms and conditions of the Creative Commons Attribution (CC BY) license (https://creativecommons.org/licenses/by/4.0/).
Share and Cite
Belik, A.A. A Site-Ordered Quadruple Perovskites, RMn3Ni2Mn2O12 with R = Bi, Ce, and Ho, with Different Degrees of B Site Ordering. Molecules 2025, 30, 1749. https://doi.org/10.3390/molecules30081749
Belik AA. A Site-Ordered Quadruple Perovskites, RMn3Ni2Mn2O12 with R = Bi, Ce, and Ho, with Different Degrees of B Site Ordering. Molecules. 2025; 30(8):1749. https://doi.org/10.3390/molecules30081749
Chicago/Turabian StyleBelik, Alexei A. 2025. "A Site-Ordered Quadruple Perovskites, RMn3Ni2Mn2O12 with R = Bi, Ce, and Ho, with Different Degrees of B Site Ordering" Molecules 30, no. 8: 1749. https://doi.org/10.3390/molecules30081749
APA StyleBelik, A. A. (2025). A Site-Ordered Quadruple Perovskites, RMn3Ni2Mn2O12 with R = Bi, Ce, and Ho, with Different Degrees of B Site Ordering. Molecules, 30(8), 1749. https://doi.org/10.3390/molecules30081749

