Molecular Dynamics of a Polymer Blend Model on a Solid Substrate
Abstract
1. Introduction
2. Materials and Methods
2.1. The Model
2.2. Simulation Details
3. Resultsand Discussion
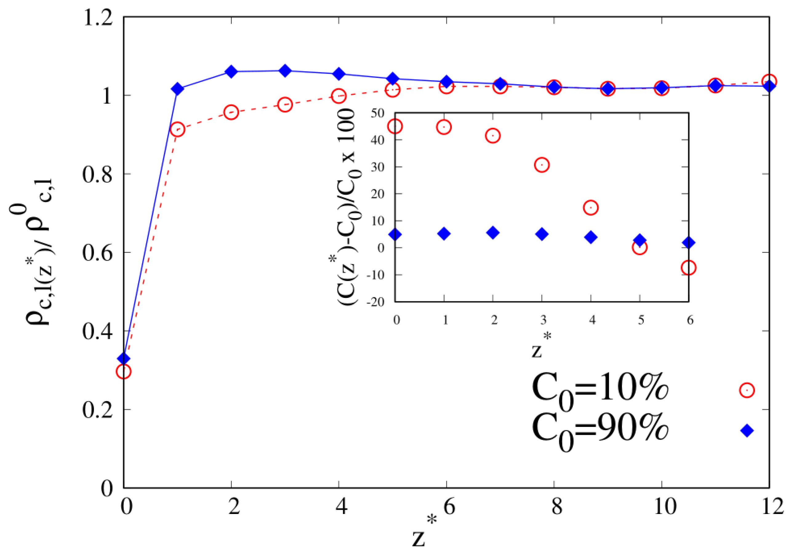
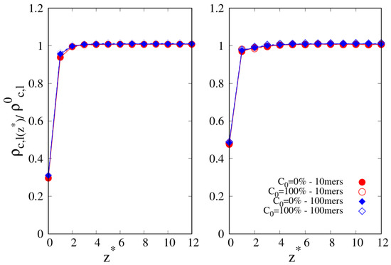
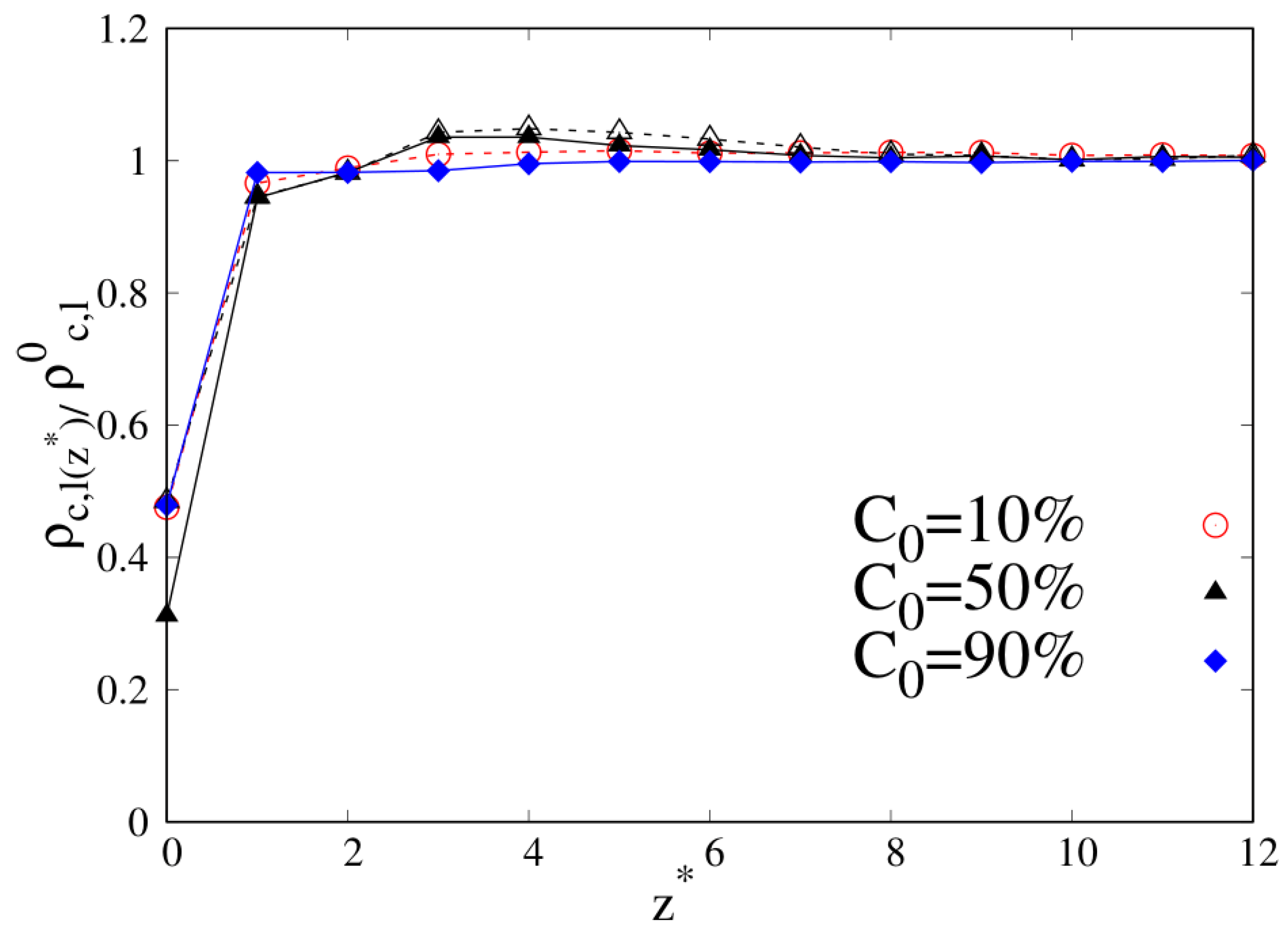
3.1. Density and Local Composition
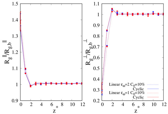
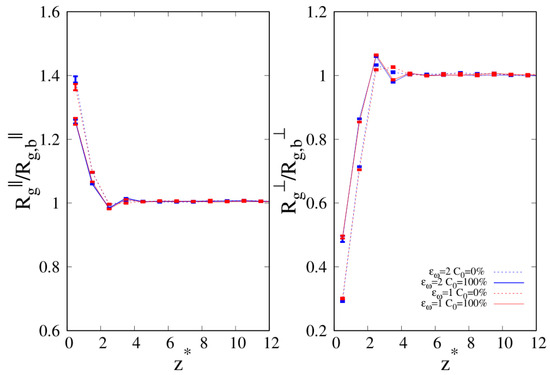
3.2. Radius of Gyration
3.3. Energy
3.4. Diffusion Coefficients
4. Conclusions
Author Contributions
Funding
Institutional Review Board Statement
Informed Consent Statement
Data Availability Statement
Acknowledgments
Conflicts of Interest
References
- Raos, G.; Zappone, B. Polymer Adhesion: Seeking New Solutions for an Old Problem. Macromolecules 2021, 54, 10617–10644. [Google Scholar] [CrossRef]
- Pocius, A.V. Adhesion and Adhesives Technology, 3rd ed.; Hanser: Munich, Germany, 2012. [Google Scholar]
- Baldan, A. Adhesively-bonded joints and repairs in metallic alloys, polymers, and composite materials: Adhesives, adhesion theories, and surface pretreatment. J. Mater. Sci. 2004, 39, 1–49. [Google Scholar] [CrossRef]
- Theodorou, D.N.; Vogiatzis, G.G.; Kritikos, G. Self-consistent-field study of adsorption and desorption kinetics of polyethylene melts on graphite and comparison with atomistic simulations. Macromolecules 2014, 47, 6964–6981. [Google Scholar] [CrossRef]
- Müller, M. Polymers at Interfaces and Surfaces and in Confined Geometries. In Polymer Science: A Comprehensive Reference; Matyjaszewski, K., Möller, M., Eds.; Elsevier: Amsterdam, The Netherlands, 2012; pp. 387–416. [Google Scholar]
- Rahman, M.U.; Xi, Y.; Li, H.; Chen, F.; Liu, D.; Wei, J. Dynamics and structure formation of confined polymer thin films supported on solid substrates. Polymers 2021, 13, 1621. [Google Scholar] [CrossRef] [PubMed]
- Hariharan, A.; Kumar, S.K.; Russell, T.P. Reversal of the isotopic effect in the surface behaviour of binary polymer blends. J. Chem. Phys. 1993, 98, 4163–4173. [Google Scholar] [CrossRef]
- Choi, J.H.; Kwon, T.-Y.; Sung, B.J. Relative chain flexibility determines the spatial arrangement and the diffusion of a single ring chain in linear chain films. Macromolecules 2021, 54, 11018. [Google Scholar] [CrossRef]
- Yethiraj, A. Entropic and Enthalpic Surface Segregation from Blends of Branched and Linear Polymers. Phys. Rev. Lett. 1995, 74, 2018–2021. [Google Scholar] [CrossRef]
- Alatas, P.V.; Tsalikis, D.G.; Mavrantzas, V.G. Detailed Molecular Dynamics Simulation of the Structure and Self-Diffusion of Linear and Cyclic n-Alkanes in Melt and Blends. Macromol. Theory Simul. 2016, 25, 550–567. [Google Scholar] [CrossRef]
- He, Q.; Wang, S.F.; Hu, R.; Akgun, B.; Tormey, C.; Peri, S.; Wu, D.T.; Foster, M.D. Evidence and Limits of Universal Topological Surface Segregation of Cyclic Polymers. Phys. Rev. Lett. 2017, 118, 167801–167805. [Google Scholar] [CrossRef]
- Wang, S.-F.; Li, X.; Agapov, R.L.; Wesdemiotis, C.; Foster, M.D. Probing Surface Concentration of Cyclic/Linear Blend Films Using Surface Layer MALDI-TOF Mass Spectrometry. ACS Macro Lett. 2012, 1, 1024–1027. [Google Scholar] [CrossRef]
- Kremer, K.; Grest, G.S. Dynamics of entangled linear polymer melts: A molecular-dynamics simulation. J. Chem. Phys. 1990, 92, 5057–5086. [Google Scholar] [CrossRef]
- Everaers, R.; Karimi-Varzaneh, H.A.; Fleck, F.; Hojdis, N.; Svaneborg, C. Kremer–Grest Models for Commodity Polymer Melts: Linking Theory, Experiment, and Simulation at the Kuhn Scale. Macromolecules 2020, 53, 1901–1916. [Google Scholar] [CrossRef]
- Karatrantos, A.; Clarke, N.; Kröger, M. Modeling of Polymer Structure and Conformations in Polymer Nanocomposites from Atomistic to Mesoscale: A Review. Polym. Rev. 2016, 56, 385–428. [Google Scholar] [CrossRef]
- Pellicane, G.; Megnidio-Tchoukouegno, M.; Mola, G.T.; Tsige, M. Surface enrichment driven by polymer topology. Phys. Rev. E 2016, 93, 050501. [Google Scholar] [CrossRef]
- Megnidio-Tchoukouegno, M.; Gaitho, F.M.; Mola, G.T.; Tsige, M.; Pellicane, G. Unravelling the Surface Composition of Symmetric Linear-Cyclic Polymer Blends. Fluid Phase Equilib. 2017, 441, 33–42. [Google Scholar] [CrossRef]
- Hagita, K.; Murashima, T.; Ogino, M.; Omiya, M.; Ono, K.; Deguchi, T.; Kawakatsu, T. Efficient Compressed Database of Equilibrated Configurations of Ring-Linear Polymer Blends for MD Simulations. Sci. Data 2022, 9, 40. [Google Scholar] [CrossRef]
- Wu, D.T.; Fredrickson, G.H. Effect of Architecture in the Surface Segregation of Polymer Blends. Macromolecules 1996, 29, 7919–7930. [Google Scholar] [CrossRef]
- Xu, W.; Douglas, J.F.; Freed, K.F. Influence of cohesive energy on the thermodynamic properties of a model glass-forming polymer melt. Macromolecules 2016, 49, 8341–8354. [Google Scholar] [CrossRef]
- Li, Z.; Cao, D.; Wu, J. Layering, Condensation, and Evaporation of Short Chains in Narrow Slit Pores. J. Chem. Phys. 2005, 122, 224701. [Google Scholar] [CrossRef]
- Müller, M.; MacDowell, L.G.; Yethiraj, A. Short Chains at Surfaces and Interfaces: A Quantitative Comparison Between Density-Functional Theories and Monte Carlo Simulations. J. Chem. Phys. 2003, 118, 2929–2940. [Google Scholar] [CrossRef]
- Bryk, P.; Bucior, K.; Sokołowski, S.; Zukociński, G. Phase Transition of Short Linear Molecules Adsorbed on Solid Surfaces from a Density Functional Approach. J. Phys. Chem. B 2005, 109, 2977–2984. [Google Scholar] [CrossRef]
- Bryk, P.; Sokołowski, S. Short Chains at Solid Surfaces: Wetting Transition from a Density Functional Approach. J. Chem. Phys. 2004, 121, 11314–11321. [Google Scholar] [CrossRef] [PubMed]
- Lee, W.B.; Kremer, K. Entangled polymer melts: Relation between plateau modulus and stress autocorrelation function. Macromolecules 2009, 42, 6270–6276. [Google Scholar] [CrossRef]
- Moscato, P.; Haque, M.N. New alternatives to the Lennard-Jones potential. Sci. Rep. 2024, 14, 1. [Google Scholar] [CrossRef] [PubMed]
- Lima, N.W.; Gutierres, L.I.; González, R.I.; Müller, S.; Thomaz, R.S.; Bringa, E.M.; Papaléo, R.M. Molecular dynamics simulation of polymerlike thin films irradiated by fast ions: A comparison between FENE and Lennard-Jones potentials. Phys. Rev. B 2016, 94, 195417. [Google Scholar] [CrossRef]
- Steele, W.A. The Physical Interaction of Gases with Crystalline Solids: I. Gas-Solid Energies and Properties of Isolated Adsorbed Atoms. Surf. Sci. 1973, 36, 317–352. [Google Scholar] [CrossRef]
- Yu, S.; Chu, R.; Wu, G.; Meng, X. A novel fractional Brownian dynamics method for simulating the dynamics of confined bottle-brush polymers in viscoelastic solution. Polymers 2024, 16, 524. [Google Scholar] [CrossRef]
- Singh, R.; Kundu, P.P. Studies on rheological, thermal, and morphological properties of methylcellulose gel in aqueous medium. Polym. Eng. Sci. 2019, 59, 2024–2031. [Google Scholar] [CrossRef]
- Thompson, A.P.; Aktulga, H.M.; Berger, R.; Bolintineanu, D.S.; Brown, W.M.; Crozier, P.S.; Kohlmeyer, A.; Moore, S.G.; Nguyen, T.D.; Shan, R.; et al. LAMMPS—A flexible simulation tool for particle-based materials modeling at the atomic, meso, and continuum scales. Comput. Phys. Commun. 2022, 271, 10817. [Google Scholar] [CrossRef]
- Fujii, Y.; Yang, Z.; Leach, J.; Atarashi, H.; Tanaka, K.; Tsui, O.K.C. Affinity of Polystyrene Films to Hydrogen-Passivated Silicon and Its Relevance to the Tg of the Films. Macromolecules 2009, 42, 7418. [Google Scholar] [CrossRef]
- Gin, P.; Jiang, N.; Liang, C.; Taniguchi, T.; Akgun, B.; Satija, S.K.; Endoh, M.K.; Koga, T. Characterization of Adsorbed Polymer Layers: Preparation, Determination of the Adsorbed Amount and Investigation of the Kinetics of Irreversible Adsorption. Phys. Rev. Lett. 2012, 109, 265501. [Google Scholar] [CrossRef] [PubMed]
- Napolitano, S.; Wübbenhorst, M. The Lifetime of the Deviations from Bulk Behaviour in Polymers Confined at the Nanoscale. Nat. Commun. 2011, 2, 260. [Google Scholar] [CrossRef]
- Castro, F.; da Silva, N.R.; Silvério, S.C.; Ballesteros, L.F.; Teixeira, J.A. Unit operations for extraction and purification of biological products. In Current Developments in Biotechnology and Bioengineering—Advances in Bioprocess Engineering; Elsevier: Amsterdam, The Netherlands, 2022; pp. 455–495. [Google Scholar] [CrossRef]
- Staňo, R.; Likos, C.N.; Smrek, J. To thread or not to thread? Effective potentials and threading interactions between asymmetric ring polymers. Soft Matter 2023, 19, 17–30. [Google Scholar] [CrossRef]
- Hagita, K.; Murashima, T.; Ogino, M.; Omiya, M.; Ono, K.; Deguchi, T.; Kawakatsu, T. Current challenges and opportunities in microstructure-related properties of advanced high-strength steels. Metall. Mater. Trans. 2020, 51, 5517–5586. [Google Scholar] [CrossRef]
- Singh, M.; Dong, M.; Wu, W.; Nejat, R.; Tran, D.K.; Pradhan, N.; Raghavan, D.; Douglas, J.F.; Wooley, K.L.; Karim, A. Enhanced dielectric strength and capacitive energy density of cyclic polystyrene films. ACS Polym. Au 2022, 2, 324–332. [Google Scholar] [CrossRef]
- Gaitho, F.; Tsige, M.; Mola, G.T.; Pellicane, G. Surface segregation of cyclic chains in binary melts of thin polymer films: The influence of constituent concentration. Polymers 2018, 10, 324. [Google Scholar] [CrossRef]
- Staniscia, F.; Guzman, H.V.; Kanduč, M. Tuning contact angles of aqueous droplets on hydrophilic and hydrophobic surfaces by surfactants. J. Phys. Chem. B 2022, 126, 3374–3384. [Google Scholar] [CrossRef] [PubMed]
- Mah, A.H.; Laws, T.; Li, W.; Mei, H.; Brown, C.C.; Ievlev, A.; Kumar, R.; Verduzco, R.; Stein, G.E. Entropic and enthalpic effects in thin film blends of homopolymers and bottlebrush polymers. Macromolecules 2019, 52, 1526–1535. [Google Scholar] [CrossRef]
- Van der Gucht, J.; Besseling, N.A.M.; Fleer, G.J. Equilibrium polymers at interfaces: Analytical self-consistent-field theory. Macromolecules 2004, 37, 3026–3036. [Google Scholar] [CrossRef]
- Zeng, Y.; Wang, S.; Xu, Z.; Gan, Z.; Dong, X.-H. Discrete cyclic polymers with uniform chain length. Macromolecules 2024, 57, 9379–9385. [Google Scholar] [CrossRef]
- Vakarin, E.; Duda, Y.U.; Holovko, M.F. Polymers near a solid surface. Fused hard-sphere chain model. J. Mol. Liq. 1998, 75, 77–95. [Google Scholar] [CrossRef]
- Bryk, P.; MacDowell, L.G. Self-consistent field/density functional study of conformational properties of polymers at interfaces: Role of intramolecular interactions. J. Chem. Phys. 2008, 129, 104901. [Google Scholar] [CrossRef]
- Wakihara, T.; Sasaki, Y.; Kato, H.; Ikuhara, Y.; Okubo, T. Investigation of the Surface Structure of Zeolite A. Phys. Chem. Chem. Phys. 2005, 7, 3416–3418. [Google Scholar] [CrossRef] [PubMed]
- Bačová, P.; Li, W.; Behbahani, A.F.; Burkhart, C.; Polińska, P.; Doxastakis, M.; Harmandaris, V. Coupling between polymer conformations and dynamics near amorphous silica surfaces: A direct insight from atomistic simulations. Nanomaterials 2021, 11, 2075. [Google Scholar] [CrossRef] [PubMed]
- Lee, E.; Jung, Y.J. Segregated structures of ring polymer melts near the surface: A molecular dynamics simulation study. Soft Matter 2015, 11, 6018–6028. [Google Scholar] [CrossRef]
- Minnikanti, V.S.; Archer, L.A. Entropic attraction of polymers toward surfaces and its relationship to surface tension. Macromolecules 2006, 39, 7718–7728. [Google Scholar] [CrossRef]
- Stein, G.E.; Laws, T.S.; Verduzco, R. Tailoring the attraction of polymers toward surfaces. Macromolecules 2019, 52, 4787–4802. [Google Scholar] [CrossRef]
- Müller-Gronbach, T.; Novak, E.; Ritter, K. Monte Carlo-Algorithmen; Springer: Berlin/Heidelberg, Germany, 2012; pp. x+324. [Google Scholar] [CrossRef]


















| 10:0% | − | |
| 10:10% | ||
| 10:50% | ||
| 10:90% | ||
| 10:100% | − | |
| 40:10% | ||
| 40:90% | ||
| 100:0% | − | |
| 100:10% | ||
| 100:50% | ||
| 100:90% | ||
| 100:100% | − |
| % Cyclic Concentration | 100-mers | 40-mers | 10-mers | |||
|---|---|---|---|---|---|---|
| Linear():():() | Cyclic():():() | Linear():():() | Cyclic():():() | Linear():():() | Cyclic():():() | |
| 10 | 5.1(1):3.54(1):2.8(1) | 3.8(2):2.97(1):2.1(2) | 3.13(8):2.52(4):1.7(1) | 2.36(1):1.91(1):1.33(5) | 1.45:2.05(2):0.79(1) | 1.14:0.92:0.64 |
| 50 | 5.3(1):4.06(6):2.8(1) | 3.60(4):2.92(2):2.02(5) | 1.45:1.16:0.79(2) | 1.14:0.92:0.64 | ||
| 90 | 6.0(4):4.24(2):2.8(3) | 3.51(3):2.84(2):1.97(4) | 3.07:4.34(3):1.68(4) | 2.29:1.82(1):1.29(2) | 1.49(1):1.16(2):0.78(1) | 1.14:0.92(1):0.64 |
| % Cyclic Concentration | 100-mers | 10-mers | ||
|---|---|---|---|---|
| Linear():():() | Cyclic():():() | Linear():():() | Cyclic():():() | |
| 10 | 5.2(1):4.07(6):2.80(9) | 3.8(1):3.05(7):2.1(1) | 1.45:1.16:0.79 | 1.13(7):0.92(4):0.63(4) |
| 50 | 5.1(2):4.24(2):2.8(2) | 3.62(6):2.94(4):2.03(8) | 1.44:1.16:0.79 | 1.14:0.92:0.64 |
| 90 | 6.0(5):4.24(2):2.8(2) | 3.51(3):2.86(2):1.96(3) | 1.45:1.16:0.79 | 1.14:0.92:0.64 |
| % Cyclic Concentration | 100-mers | 40-mers | 10-mers | |||
|---|---|---|---|---|---|---|
| Linear():() | Cyclic():() | Linear():() | Cyclic():() | Linear:():() | Cyclic:():() | |
| 10 | 0.02 : 0.02 | 0.01 : 0.01 | 0.05 : 0.05 | 0.03 : 0.03 | 0.20 : 0.20 | 0.10 : 0.11 |
| 90 | 0.05 : 0.06 | 0.01 : 0.01 | 0.11 : 0.09(2) | 0.03 : 0.03 | 0.20 : 0.21 | 0.10 : 0.10 |
| % Cyclic Concentration | 100-mers | 10-mers | ||
|---|---|---|---|---|
| Linear():() | Cyclic():() | Linear():() | Cyclic():() | |
| 10 | 0.02 : 0.02 | 0.01 : 0.01 | 0.20 : 0.20 | 0.11 : 0.11 |
| 90 | 0.08 : 0.06(2) | 0.01 : 0.01 | 0.20 : 0.20 | 0.10 : 0.10 |
Disclaimer/Publisher’s Note: The statements, opinions and data contained in all publications are solely those of the individual author(s) and contributor(s) and not of MDPI and/or the editor(s). MDPI and/or the editor(s) disclaim responsibility for any injury to people or property resulting from any ideas, methods, instructions or products referred to in the content. |
© 2025 by the authors. Licensee MDPI, Basel, Switzerland. This article is an open access article distributed under the terms and conditions of the Creative Commons Attribution (CC BY) license (https://creativecommons.org/licenses/by/4.0/).
Share and Cite
Ayo-Ojo, O.E.; Tsige, M.; Mola, G.T.; Rotondo, A.; La Torre, G.L.; Pellicane, G. Molecular Dynamics of a Polymer Blend Model on a Solid Substrate. Molecules 2025, 30, 1734. https://doi.org/10.3390/molecules30081734
Ayo-Ojo OE, Tsige M, Mola GT, Rotondo A, La Torre GL, Pellicane G. Molecular Dynamics of a Polymer Blend Model on a Solid Substrate. Molecules. 2025; 30(8):1734. https://doi.org/10.3390/molecules30081734
Chicago/Turabian StyleAyo-Ojo, O. E., M. Tsige, G. T. Mola, A. Rotondo, G. L. La Torre, and G. Pellicane. 2025. "Molecular Dynamics of a Polymer Blend Model on a Solid Substrate" Molecules 30, no. 8: 1734. https://doi.org/10.3390/molecules30081734
APA StyleAyo-Ojo, O. E., Tsige, M., Mola, G. T., Rotondo, A., La Torre, G. L., & Pellicane, G. (2025). Molecular Dynamics of a Polymer Blend Model on a Solid Substrate. Molecules, 30(8), 1734. https://doi.org/10.3390/molecules30081734

