Abstract
Cancer is the second leading cause of death in the world, with scientific evidence indicating that the enzymes aromatase and cyclooxygenase 2 are upregulated in several types of cancer. Over the past 30 years, natural compounds have played a crucial role in cancer chemotherapy, and to date, many phytocompounds have been reported to interact with these enzymes, inhibiting their activity. Notably, several phytocompounds found in Rosmarinus officinalis L., a medicinal plant native to the Mediterranean region and cultivated around the world, have shown the ability to interact with these enzymes. This review examines the role of the main compounds contained in Rosmarinus officinalis L. as potential anticancer agents acting on aromatase and cyclooxygenase-2.
1. Introduction
Rosmarinus officinalis L., rosemary, is an aromatic plant belonging to the Lamiaceae family and native to the Mediterranean area; however, it can be found all over the world [1,2]. Rosemary’s historical significance as a plant is particularly fascinating, as it has been recognized as one of the most well-known plants since ancient times.
For instance, ancient Egyptians used rosemary-based oils and lotions to protect themselves from desert heat and extreme temperatures, and the Egyptian pharaohs’ journeys to the underworld were perfumed with rosemary bunches placed in their tombs [3]. The evidence of the arrival of rosemary in China dates back to around 220 BC [3].
In reference to its ability to tone up a tired body, via a topical application, Dioscorides (40–90 BC) named rosemary Libanotis coronaria (pre-Linnaean nomenclature) [3], and De Materia Medica, the precursor of contemporary pharmacopeias, states that rosemary was used as an insecticide and in aromatherapy to perfume rooms. Additionally, ointments containing rosemary flowers and leaves macerated in olive oil were used as a vulnerary to treat wounds and as a remedy for joint discomfort by the founders of ancient medicine such as Hippocrates, Avicenna, and Galen [3].
The genus Rosmarinus includes several species. Notably, Rosmarinus officinalis L. (rosemary) is a species of Mediterranean origin and cultivated worldwide for its aromatic properties. It is a small perennial shrub with fragrant evergreen needle-shaped leaves and white, pink, purple, or blue flowers [4].
The fresh and dried leaves are often used in traditional Mediterranean cooking and folk medicine. Chemical constituents include bitter principle, resin, tannic acid, volatile oils, and flavonoids [3,5]. The volatile oil consists of borneol, bornyl acetate, camphene, cineol, pinene, and camphor.
Nowadays, it is well known for its hepatoprotective, antimicrobial, antithrombotic, anti-atherosclerotic, diuretic, antidiabetic, hypolipidemic, hypocholesterolemic, anti-inflammatory, antioxidant, and anticancer activity [6,7,8,9]. The essential oil is useful for arthritis, gout, muscle pain, neuralgia, wounds, and premature baldness. Species of the genus Rosmarinus are also used in veterinary medicine for their anthelmintic and acaricidal uses, for example, against Varroa destructor, which commonly affects the Western honeybee (Apis mellifera) [10].
Regarding anticancer activity, it has been reported that the bioactive compounds of rosemary have either direct or indirect epigenetic targets in cancer chemoprevention and chemotherapy. Accordingly, rosemary extracts and their isolated components show inhibitory effects on the growth of breast, liver, prostate, lung, and leukemia cells [11,12,13].
The biological activities of Rosmarinus officinalis L. have been associated with the presence of pharmacologically active constituents belonging to phenolic diterpenes and triterpenes; phenolic acids; and flavonoids such as carnosic acid, carnosol, rosmarinic acid, betulinic acid, ursolic acid, and kaempferol (Figure 1) [2,7,14]. Thus, rosemary represents an exceptionally rich source of bioactive compounds [11,13,14,15].
Figure 1.
Two-dimensional representation of compounds contained in Rosmarinus officinalis L. discussed in this review.
Cancer is a multifactorial disease, and despite numerous discoveries over time, most of its types remain incurable [16,17]. By 2020, in fact, 19 million new cases and 10 million deaths were reported worldwide [18], and it is estimated that at least one out of every two people will be diagnosed with a type of cancer by the age of 85 and that there has been a two-fold increase in mortality in women and a three-fold increase in men over the past 40 years [19].
To date, more than 200 types of cancer are known; the most prevalent are breast, colorectal, lung, prostate, liver, stomach, endometrial, thyroid, and the different types of leukemia [20], and each of these presents different characteristics among the various forms of each class, starting with etiology, risk factors, and the genetic component.
The altered activity of various enzymes plays a critical role in the advancement of cancer, influencing processes such as cell growth, angiogenesis, apoptosis, and metastasis progression. In this context, pivotal roles are attributed to enzymes such as aromatase and cyclooxygenase-2 (COX-2) that contribute significantly to the development and progression of cancer [21,22,23,24,25,26,27].
Recognizing their significant contributions provides avenues for targeted therapeutic interventions to modulate these enzyme activities and potentially impede cancer development and progression [28,29,30,31,32,33].
Thus, the purpose of this review is to summarize the anticancer activity of some of the bioactive constituents of Rosmarinus officinalis L., with particular attention on carnosic acid (CA), rosmarinic acid (RA), carnosol (CS), betulinic acid (BA), oleanolic acid (OA), ursolic acid (UA), rosmanol (RO), and kaempferol (KA), highlighting their abilities to interfere with at least one of the mentioned targets.
1.1. Aromatase
Aromatase, also known as estrogen synthase, is a member of the cytochrome P450 monooxygenase superfamily. It is the only enzyme in vertebrates known to catalyze, with high specificity, the synthesis of estrogens from their androgenic precursors through the demethylation of androgen carbon 19-producing 18-carbon phenolic estrogens [34,35].
In detail, aromatase with high specificity converts androstenedione and testosterone into estrone (E1) and 17β-estradiol (E2), respectively, through the aromatization of the A-ring (Figure 2). Moreover, other androgens with the same backbone, such as the ones with 15α/16α hydroxylation, are also aromatized by this enzyme [36,37,38].
Figure 2.
Biosynthesis of estrogen by aromatase. Created with ChemDraw 23.1.2 software [39].
Aromatase is a 57.9 kDa integral membrane protein of the endoplasmic reticulum, anchored to the membrane by its N-terminal transmembrane domain. The functional human enzyme consists of 503 amino acids organized into twelve α-helices, ten β-strands, and an Fe-heme group (Figure 3) [34,36,38,40]. Specifically, aromatase is localized in the plasma membrane of the endoplasmic reticulum of estrogen-producing cells, such as adipose tissue, skin, and skeletal muscle, and plays a role in development, reproduction, sexual differentiation, behavior, bone and lipid metabolism, and brain function [35,37,40].
Figure 3.
Three-dimensional representation of aromatase in complex with 4-androstene-3,17-dione. The enzyme is depicted as a slate cartoon; the heme group, 4-androstene-3,17-dione, and key residues of the binding site are represented as orange, pink, and slate sticks, respectively. Atomic coordinates were obtained from PDB model 3S79 [34]; the figure was built using Chimera 1.18 software [41].
Estrogens play a key role in the regulation of important physiological functions, such as regulating the menstrual cycle, modulating bone density, and maintaining vessels and skin. Furthermore, higher levels of estrogen, especially 17-β-estradiol (E2), are involved in the physiopathology of hormone-dependent cancers such as breast, ovary, and endometrial cancer [24]. Considering the crucial role of aromatase in catalyzing the biosynthesis of estrogens from androgens, its inhibition has become the standard treatment for postmenopausal estrogen-dependent breast cancers [34,35,36,37,40].
To date, three generations of aromatase inhibitors (AIs) have been approved by the Food and Drug Administration (FDA). The first generation of AIs, which included aminoglutethimide and testolactone, acted as a model for the later generations of AIs, which are characterized by better selectivity and lower toxicity. Fadrozole and formestane are classified as second-generation AIs. Fadrozole contains an imidazole group, and it is more selective and potent than aminoglutethimide, but unfortunately, it affects the biosynthesis of corticosterone, progesterone, and aldosterone. Formestane is a steroidal analog, and it was the first selective AI to reach clinical trials in the 1990s [36]. Lastly, the third generation of AIs comprises the triazole derivatives anastrozole and letrozole and one steroidal analog, exemestane, and they are recommended by the FDA as first-line drugs for the treatment of breast carcinoma [36].
Although AIs represent the gold standard for endocrine therapy, treatment with AIs may sometimes be not sufficient or compromised due to the development of therapeutic resistance and/or a lack of potency; thus, there is a constant need for the development of new potential drugs able to interfere with aromatase activity characterized by reduced toxicity and side effects.
1.2. Cyclooxygenase-2
The cyclooxygenases are iron-containing enzymes located at the luminal side of the endoplasmic reticulum and the nuclear membrane that catalyze prostaglandin biosynthesis from arachidonic acid [42,43] (Figure 4). Three COX isoforms, cyclooxygenase-1 (COX1), cyclooxygenase-2 (COX-2), and cyclooxygenase-3 (COX-3), are known. COX-1 is a constitutive ubiquitously isoenzyme, and the prostaglandins produced by COX-1 have protective effects on the gastrointestinal tract [44]. COX-3 can be considered a variant of COX-1, mainly within the central nervous system [42], and COX-2 is an inducible enzyme that acts as the most important source of prostaglandins, so it is always regarded as a pathologic enzyme [43,44].
Figure 4.
The arachidonic acid cascade. Created with ChemDraw 23.1.2 software [39].
COX-2, or prostaglandin endoperoxide synthase-2 (PGES-2), is a membrane-bound heme-containing glycoprotein, inducible isoform, that catalyzes the initial step of arachidonic acid’s metabolic transformation into prostanoids (Figure 4) [45,46].
COX-2 is detectable in certain tissues due to a stimulus connected to the anti-inflammatory response; in fact, it can be rapidly upregulated in response to growth factors and cytokines. It is responsible for pain, inflammation, tumorigenesis, proliferation, apoptosis, metastasis, reproductive processes, and circulatory homeostasis.
From a structural point of view, COX-2 is a homodimeric protein of 604 amino acids and presents several functional domains within the N-terminus and C-terminus of each monomer that regulate COX-2’s cellular localization, membrane anchoring, and catalytic activity [45]. The COX-2 globular catalytic domain constitutes the bulk of the protein and is formed by two distinct interconnected lobes that contain the cyclooxygenase active site and the peroxidase active site, which are separated by the heme prosthetic group (Figure 5) [45].
Figure 5.
Three-dimensional representation of COX-2 in complex with Rofecoxib. The enzyme is depicted as a green cartoon; the heme group, Rofecoxib, and key residues are represented as orange, pink, and green carbon sticks, respectively. Atomic coordinates were obtained from PDB model 5KIR [47]; the figure was built using the Chimera 1.18 software [41].
It is widely known that COX-2 is overexpressed in different types of cancers, such as pancreatic, breast, stomach, and lung carcinoma, as well as in several hematological malignancies. Thus, the implications of COX-2 in tumorigenesis have opened a new frontier in cancer treatment [45,48].
Indeed, nonsteroidal anti-inflammatory drugs (NSAIDs) are frequently used for the management of cancer-related pain and inflammation [48].
Interestingly, the selective COX-2 inhibitor, celecoxib, has shown anticancer properties against some cancers, such as ovarian cancer and adenomas [48]. Furthermore, COX-2 inhibitors have also shown the ability to overcome multidrug resistance, reducing the expression of efflux pumps [48]. Therefore, according to the pivotal and characteristic role of COX-2 in tumorigenesis, it has emerged as a novel possible target for the development of new anticancer drugs [45,48].
2. Rosmarinus officinalis L.: A Focus on Some of the Most Active Phytocompounds
2.1. Carnosic Acid
Carnosic acid (CA) (Table 1) is a natural chemical compound that was initially discovered in Salvia officinalis L. and subsequently found in various plants, including Rosmarinus officinalis L., Oreganum, Thymus, Lepechinia, and Ocimum. Rosmarinus officinalis L. is particularly recognized as a rich source of carnosic acid, constituting 4–10% of the weight basis of air-dried leaves [49]. The variability in content is influenced by factors such as variety, climate, environmental conditions, and nutrition [50,51,52]. Carnosic acid is predominantly present in the leaves, petals, and sepals of the Rosmarinus officinalis L. plant [52]. Its abundance in these plant parts makes Rosmarinus officinalis L. a key source for extracting this compound, which is known for its various biological activities and potential health benefits (Table 1).
Table 1.
Two-dimensional structure and biological activity of carnosic acid.
By modulating the activity of the COX-2 enzyme, carnosic acid can potentially lead to anticancer effects. In their study, Barni et al. [60] demonstrated that CA inhibits the proliferation and migration capacity of human colorectal cancer cells in three different cell lines: Caco-2 (p53m), LoVo (p53wt), and HT29 (p53wt). The authors proved that CA downregulates the expression of COX-2 at both the mRNA and protein levels. The reduction in COX-2 protein expression was significant, approximately 2–3-fold, and displayed a dose-dependent inhibition of Caco-2 cell migration. Notably, a strong inhibitory effect on COX-2 expression at both the protein and mRNA levels was observed at 96 µM of CA, suggesting that CA could act as a COX-2 inhibitor. Importantly, COX-1 mRNA levels remained unaffected by CA [60].
In 2022, Khella et al. [56] evaluated the anticancer activity of CA in breast cancer cells (MCF-7) and colon cancer cells (Caco-2) by measuring the cell viability, apoptosis rate, and gene expression of key biomarkers such as GCLC, COX-2, and BCL-2. First, in their work, the authors, in order to overcome the challenges of the low water solubility and poor bioavailability of CA, proposed a novel formulation involving the encapsulation of CA in nanoparticles. Then, the antitumor activity of the encapsulated CA was evaluated by measuring the cell viability, apoptosis rate, and gene expression of GCLC, COX-2, and BCL-2 in MCF-7 and Caco-2 [56]. This work revealed a downregulation of COX-2 and BCL-2 expression and an upregulation of GCLC expression. The impact of CA on the expression of GCLC, COX-2, and BCL-2 may help explain the mechanism behind its antitumor activity [56].
2.2. Carnosol
Carnosol (Table 2), first isolated from Salvia pachyphylla Epling ex Munz, is also found in Rosmarinus officinalis L. Carnosol is an ortho-diphenolic diterpene that contains an abietane carbon skeleton with hydroxyl groups at positions C-11 and C-12 and a lactone moiety across the B ring (Table 2) [64]. Notably, carnosol is a naturally occurring polyphenol that is produced by the oxidative degradation of carnosic acid [54,64]. Carnosol possesses a spectrum of biological effects that have been harnessed in both ancient and modern medicine (Table 2).
Table 2.
Two-dimensional structure and biological activity of carnosol.
In their study, Subbaramaiah et al. reported the ability of carnosol to inhibit COX-2 expression in human mammary epithelial cells and the phorbol ester (PMA)-mediated induction of activator protein-1 (AP-1) activity [68]. In detail, in their study, the authors attributed the inhibition of COX-2 induction to the blocking of PKC signaling and, thus, to the binding of AP-1 to the CRE of the COX-2 promoter [68].
2.3. Rosmarinic Acid
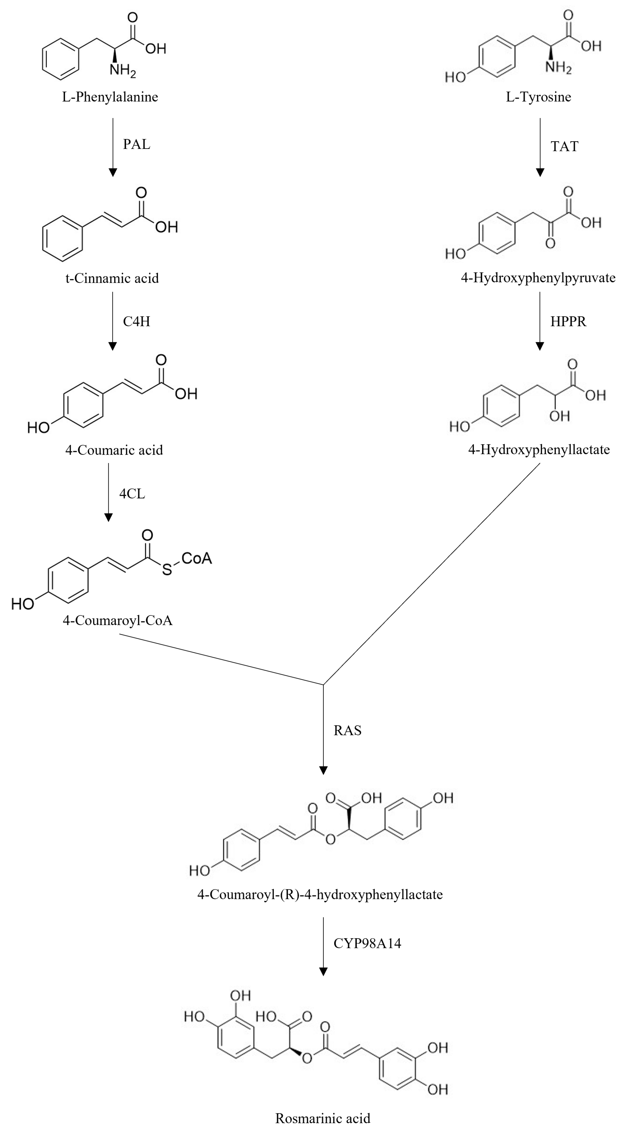
Rosmarinic acid (RA) (Table 3) is a water-soluble phenolic compound found abundantly in medicinal plants such as Rosmarinus officinalis L., Origanum vulgare, Salvia officinalis, Melissa officinalis, Origanum majorana, and Mentha spicata belonging to the Lamiaceae family [71]. RA was first isolated as a pure compound by two Italian chemists, Scarpati and Oriente (1958), who named the compound rosmarinic acid according to the plant it was isolated from, Rosmarinus officinalis. Additionally, it is present in traditional Chinese medicine plants like Perilla frutescens (L.) Britton and Salvia miltiorrhiza Bunge [72]. It has been shown that, in plants, two amino acids are separately involved in the RA biosynthesis pathways (Figure 6) [71,72].
Table 3.
Two-dimensional structure and biological activity of rosmarinic acid.
Figure 6.
Biosynthetic pathway of rosmarinic acid. (PAL, phenylalanine ammonia-lyase; C4H, cinnamic acid 4 hydrolase; 4CL, 4-coumaryl-CoA ligase; TAT, tyrosine amminotransferase; HPPR, hydroxyphenylpiruvate reductase; RAS, rosmarinic acid synthase; CYP98A14, cytocrome P450-dependent monooxygenase).
Rosmarinic acid presents a wide variety of biological activities, as reported in Table 3. In their study, Scheckel et al. [80] examined the effects of RA on COX-2 expression in colon and breast cancer cells, as well as in non-malignant mammary epithelial cells. They reported that RA may exert anti-inflammatory and anticarcinogenic effects by antagonizing the AP-1-dependent activation of COX-2 gene expression. In detail, the authors reported that the cotreatment of HT-29 colon cancer cells with RA reduced TPA-induced COX-2 promoter activity and protein levels; furthermore, RA antagonized the AP-1-dependent activation of COX-2 transcription [80]. Thus, given the role of COX-2 in inflammation and carcinogenesis and the role of AP-1 in proliferation and transformation, the ability of RA to regulate AP-1 activity and COX-2 gene expression implies that RA might serve as a promising preventative agent against COX-2 activation, both in cancerous and nonmalignant mammary epithelial cells.
In 2015, Karthikkumar et al. [79] investigated the potential anticarcinogenic effects of RA in 1,2-dimethylhydrazine (DMH)-induced rat colon carcinogenesis, in which the expression of COX-2 mRNA was upregulated in the colon mucosa. The findings revealed that RA supplementation played a crucial role in downregulating COX-2 expression; in fact, after supplementing DMH-exposed rats with RA, the expression of COX-2 was downregulated in the entire treatment period regimen as compared to unsupplemented DMH-treated rats [79].
In a study conducted by Tao et al. [81], the authors demonstrated the ability of RA and other phenolcarboxylic acids to target COX-2 and, therefore, exert potential antitumor activity. Specifically, the authors performed computational modeling studies highlighting the ability of RA to interact with the enzyme with a good theoretical binding affinity, establishing several interactions with the key residues of the COX-2 binding site. The experimental data further validated the theoretical prediction, revealing that RA effectively inhibits COX-2 activity in the micromolar range and reduces A549 cell proliferation in non-small cell lung cancer (NSCLC) [81].
2.4. Betulinic Acid
Betulinic acid (BA) (Table 4) is a hydrophobic pentacyclic lupane-type triterpene found in Rosmarinus officinalis L. and various plant families, including Platanaceae, Dilleniaceae, Rhamnaceae, and Rosaceae [93,94].
Table 4.
Two-dimensional structure and biological activity of betulinic acid.
Like other phytochemicals isolated from Rosmarinus officinalis L., betulinic acid manifests a range of biological activities, including anti-inflammatory, antimalarial, antiviral, and anticancer properties (Table 4).
BA has excellent biological activities, and its anticancer properties especially deserve attention. In 2021, Ferreira et al. reported the protective effect of BA on doxorubicin (DXR)-induced genotoxicity and 1,2-dimethylhydrazine (DMH)-induced colon carcinogenesis in rodents [95]. The authors investigated the anticarcinogenic activity of BA, highlighting its chemoprotective effect related to a reduction in the level of COX-2 and PCNA expression. In detail, their study underlines that BA modulates the activation of the NF-kB complex, inhibiting COX-2 and consequently blocking cell proliferation [95]. These findings suggest that BA could be a promising compound in anticancer therapies, particularly for colorectal cancer.
2.5. Ursolic Acid
Ursolic acid (UA) (Table 5), a phytocomponent of Rosmarinus officinalis L., was initially discovered in the epicuticular waxes of apples and later found in various medicinal plants, including Origanum majorana, Ilex paraguariensis, Origanum vulgare, Salvia officinalis, Thymus vulgaris, Lavandula angustifolia, Eucalyptus, Sambucus nigra, Crataegus spp., and Coffea arabica, as well as the wax layers of numerous edible fruits [102].
UA can exist in either a free acid form or as an aglycone of saponins [103]. Structurally, UA—3β-hydroxy-urs-12-en-28oic acid—(Table 5) is a pentacyclic triterpenoid with a molecular weight of 456.7 g/mol [102].
Rosmarinus officinalis L. is rich in this compound, and it possesses anticancer, anti-inflammatory, antioxidant, antimicrobial, antiviral, antidiabetic, and neuroprotective properties (Table 5). Notably, UA has aroused great interest because of its anticancer properties, exerted through the modulation of proliferation, apoptosis, metastasis, and angiogenesis via various mechanisms [13,104].
Table 5.
Two-dimensional structure and biological activity of ursolic acid.
Table 5.
Two-dimensional structure and biological activity of ursolic acid.
| Ursolic Acid | ||
|---|---|---|
| 2D | Biological Activity | References |
![]() | Anticancer | [105,106,107,108,109,110] |
| Anti-inflammatory | [111,112,113,114] | |
| Antidiabetic | [115,116] | |
| Hypolipidemic | [116,117] | |
| Hepatoprotective | [118] | |
Liu et al. [119], in their study, reported the ability of UA to downregulate the expression of COX-2, leading to a reduction in the proliferation of a hepatocellular carcinoma cell line. Through their work, the authors proved that UA possesses anticancer properties, particularly through the inhibition of COX-2, leading the HepG2 cancer cells into an over-oxidative environment, causing apoptosis, and retarding cell proliferation [119].
The structural resemblance between UA and androstenedione suggests that UA’s configuration enables it to interact with the aromatase active site, hindering substrate aromatization. Indeed, different studies have suggested that UA has the potential to inhibit aromatase activity [120,121].
Gnoatto et al. [122], in their work, reported the inhibitory potency of UA in aromatase enzyme activity. The authors noticed efficient and dose-dependent aromatase inhibition (an IC50 value of 32 μM). Through a structure–inhibitory potency relationship study, the pivotal role of C3-OH, C17-COOH, and the size of cycle A of ursolic acid was defined in the inhibition of the enzyme. These data emphasize that the presence of cycle A, along with the free hydroxyl group at C-3 and/or the carboxyl group at C-17 of UA, seems to be necessary for aromatase inhibition, as the esterification of one of these functions led to a significant decrease in inhibitory potency [122]. Thus, the configuration of UA is undoubtedly appropriate for recognizing the active site of the enzyme and hampering substrate aromatization. The structural homology between UA and the aromatase substrate androstenedione further supports this hypothesis.
Moving forward, in 2022, Ma et al. [123] conducted studies demonstrating that UA could interfere with aromatase activity, inhibiting the growth of gastric cancer cells. Through molecular docking simulations, it was found that UA fits into the aromatase binding pocket, forming different hydrophobic interactions and a pi–cation interaction with the amino acids of the binding pocket. The data obtained revealed the specificity of UA in binding aromatase, which resulted in enzyme silencing and gastric cancer (GCa) cell growth suppression [123].
2.6. Kaempferol
Kaempferol (KA) is a flavanol present in various plant parts, including seeds, flowers, leaves, and fruits, with a notable abundance in endemic plants of the Mediterranean region. Specifically, kaempferol has been isolated from a range of plant species such as Rosmarinus officinalis L., Aloe vera, Coccinia grandis, Equisetum arvense, Ginkgo biloba, Glycine max, Laurus nobilis, Hypericum perforatum, Pinus sylvestris, Moringa oleifera, and Sambucus nigra [124].
From a chemical perspective, kaempferol (Table 6) is a tetrahydroxyflavone featuring hydroxy groups located at positions 3, 5, 7, and 4′ [125], and it is a yellow compound. In plants, kaempferol is commonly found in glycosidic form, being conjugated with various sugars such as rutinose, rhamnose, glucose, and galactose [124].
Kaempferol, along with the myriad of other phytochemicals present in rosemary, exhibits a diverse range of biological activities (Table 6). Notably, these include antioxidant, anti-inflammatory, antimicrobial, antitumoral, and antidiabetic properties.
Table 6.
Two-dimensional structure and biological activity of kaempferol.
Table 6.
Two-dimensional structure and biological activity of kaempferol.
| Kaempferol | ||
|---|---|---|
| 2D | Biological Activity | References |
![]() | Antioxidant | [126,127] |
| Anticancer | [128,129,130,131] | |
| Anti-inflammatory | [132,133,134] | |
| Antidiabetic | [135,136] | |
| Antibacterial | [137,138,139] | |
| Antidepressant | [140] |
Mutoh et al., in their study, tested 14 natural compounds, among them, KA, and noticed that their cancer chemoprotective activity can be linked to the suppression of COX-2 promoter activity in colon cancer cells [141]. Their data suggest that the ability of KA to inhibit COX-2 promoter activity is related to the resorcin moiety [141].
In 2019, Imran et al. [125] reported the antiproliferative activity of KA in human gastric cancer cells (MKN28 and SGC7901) related to promoting autophagy, cell cycle arrest at the G2/M phase, and cell death. The authors linked the induced autophagic cell death to the ability of KA to interfere with different mechanisms, among these, the downregulation of COX-2 [125].
Moving forward, in a study by Song et al. [142], the inhibitory effects of KA on the proliferation of various gastric cancer (GC) cell lines were examined. The study showed that in vitro treatment with KA significantly reduced the expression levels of COX-2, p-AKT, and p-ERK in MKN28 and SGC7901 GC cell lines.
Finally, the ability of KA to inhibit COX-2 activity was also reported by Kaur et al. [143]. In their study, the authors highlighted that KA exhibited inhibitory activity against COX-2, with a remarkable 97.08% inhibition at a concentration of 10 μM and 51.94% at 1 μM.
Lu et al., in their study [144], investigated the effects of daily consumed flavonoids, including KA, on estrogen biosynthesis and their ability to interfere with aromatase, providing significant information. In detail, the authors focused on the effects of kaempferol on cell viability and estrogen biosynthesis in human ovarian granulosa-derived cells (KGNs) correlated with the suppression of aromatase. The results of their investigation revealed that treatment with KA at concentrations of 10 and 50 μM led to significant inhibition of 17-β-estradiol biosynthesis. Specifically, the authors highlighted a 30% aromatase inhibition rate with 10 μM of kaempferol and a 50% aromatase inhibition rate with 50 μM of kaempferol. These data show that KA can directly inhibit the catalytic activity of aromatase in placental microsomes or purified aromatase [144,145]. The authors concluded that the consumption of fruits and vegetables rich in flavonoids such as KA can help to reduce endogenous estrogen levels, aiding in the prevention of estrogen-dependent diseases such as breast cancer [144,145].
3. Conclusions
The global rise in cancer incidence highlights an urgent need for the discovery of new anticancer drugs. Despite the availability of several treatments for different types of cancer, no drug has yet been found that is both completely effective and safe. The primary issue stems from the toxicity associated with existing drugs. Nature remains a valuable source of active compounds effective against cancer cells even today. Natural compounds can target different enzymes overexpressed in cancer cells. Given their pivotal role in cancer progression, this review summarizes the most recent advances in the search for natural products acting on aromatase and COX-2.
Throughout history, Rosmarinus officinalis L. has been well known as a wide source of phytochemical constituents responsible for several biological activities. Thus, this review aimed to highlight the anticancer properties of some of the phytochemicals contained in Rosmarinus officinalis L. We focused on the anticancer properties of carnosic acid, carnosol, rosmarinic acid, betulinic acid, ursolic acid, and kaempferol, which exert their anticancer effects through the modulation of aromatase and COX-2 enzyme activity. The natural compounds mentioned in this review demonstrate promising anticancer activity by acting directly or indirectly on aforementioned enzymes, as evidenced by the reported studies.
In conclusion, this review highlights the potential of the natural constituents of Rosmarinus officinalis L. in the search for natural anticancer compounds. Given their remarkable properties, these compounds could serve as a crucial starting point for hit identification and the development of more potent and active derivatives.
Author Contributions
Conceptualization, A.G. and F.A.A.; data curation, A.G. and F.A.A.; writing—original draft preparation, A.G., F.A.A. and C.L.; writing—review and editing, I.G., A.G. and F.A.A.; supervision, S.A.; project administration, S.A.; funding acquisition, S.A. All authors have read and agreed to the published version of the manuscript.
Funding
This research was funded by PON RI 2014-2020 D.M. 1061/2021 DOT13C5773 (to A.G.) and co-founded by CRISEA within PNRR D.M. 630/2024 DOT225MWJ4 (to I.G.).
Institutional Review Board Statement
Not applicable.
Informed Consent Statement
Not applicable.
Data Availability Statement
The data are contained within the article.
Conflicts of Interest
The authors declare no conflicts of interest.
References
- Allegra, A.; Tonacci, A.; Pioggia, G.; Musolino, C.; Gangemi, S. Anticancer Activity of Rosmarinus officinalis L.: Mechanisms of Action and Therapeutic Potentials. Nutrients 2020, 12, 1739. [Google Scholar] [CrossRef] [PubMed]
- de Oliveira, J.R.; Camargo, S.E.A.; de Oliveira, L.D. Rosmarinus officinalis L. (Rosemary) as Therapeutic and Prophylactic Agent. J. Biomed. Sci. 2019, 26, 5. [Google Scholar] [CrossRef] [PubMed]
- González-Minero, F.J.; Bravo-Díaz, L.; Ayala-Gómez, A. Rosmarinus officinalis L. (Rosemary): An Ancient Plant with Uses in Personal Healthcare and Cosmetics. Cosmetics 2020, 7, 77. [Google Scholar] [CrossRef]
- Begum, A.; Sandhya, S.; Shaff ath Ali, S.; Ravindran Vinod, K.; Reddy, S.; Banji, D. An In-Depth Review on the Medicinal Flora Rosmarinus officinalis (Lamiaceae). Acta Sci. Pol. Technol. Aliment. 2013, 12, 61–74. [Google Scholar]
- Ribeiro-Santos, R.; Carvalho-Costa, D.; Cavaleiro, C.; Costa, H.S.; Albuquerque, T.G.; Castilho, M.C.; Ramos, F.; Melo, N.R.; Sanches-Silva, A. A Novel Insight on an Ancient Aromatic Plant: The Rosemary (Rosmarinus officinalis L.). Trends Food Sci. Technol. 2015, 45, 355–368. [Google Scholar] [CrossRef]
- Mersin, B.; İşcan, G.S. Rosmarinus officinalis L. In Novel Drug Targets with Traditional Herbal Medicines: Scientific and Clinical Evidence, 1st ed.; Gürağaç Dereli, F.T., Ilhan, M., Belwal, T., Eds.; Springer: Cham, Switzerland, 2022; pp. 525–541. [Google Scholar]
- Hassani, F.V.; Shirani, K.; Hosseinzadeh, H. Rosemary (Rosmarinus officinalis) as a Potential Therapeutic Plant in Metabolic Syndrome: A Review. Naunyn Schmiedebergs Arch. Pharmacol. 2016, 389, 931–949. [Google Scholar] [CrossRef]
- Bozin, B.; Mimica-Dukic, N.; Samojlik, I.; Jovin, E. Antimicrobial and Antioxidant Properties of Rosemary and Sage (Rosmarinus officinalis L. and Salvia officinalis L., Lamiaceae) Essential Oils. J. Agric. Food Chem. 2007, 55, 7879–7885. [Google Scholar] [CrossRef]
- Haloui, M.; Louedec, L.; Michel, J.B.; Lyoussi, B. Experimental Diuretic Effects of Rosmarinus officinalis and Centaurium erythraea. J. Ethnopharmacol. 2000, 71, 465–472. [Google Scholar] [CrossRef]
- Bava, R.; Castagna, F.; Lupia, C.; Ruga, S.; Musella, V.; Conforti, F.; Marrelli, M.; Argentieri, M.P.; Britti, D.; Statti, G.; et al. Chemical Profile of Essential Oils of Selected Lamiaceae Plants and In Vitro Activity for Varroosis Control in Honeybees (Apis Mellifera). Vet. Sci. 2023, 10, 701. [Google Scholar] [CrossRef]
- Andrade, J.M.; Faustino, C.; Garcia, C.; Ladeiras, D.; Reis, C.P.; Rijo, P. Rosmarinus officinalis L.: An Update Review of Its Phytochemistry and Biological Activity. Future Sci. OA 2018, 4, FSO283. [Google Scholar] [CrossRef]
- Nieto, G.; Ros, G.; Castillo, J. Antioxidant and Antimicrobial Properties of Rosemary (Rosmarinus officinalis, L.): A Review. Medicines 2018, 5, 98. [Google Scholar] [CrossRef] [PubMed]
- de Macedo, L.M.; Dos Santos, É.M.; Militão, L.; Tundisi, L.L.; Ataide, J.A.; Souto, E.B.; Mazzola, P.G. Rosemary (Rosmarinus officinalis L., Syn Salvia rosmarinus Spenn.) and Its Topical Applications: A Review. Plants 2020, 9, 651. [Google Scholar] [CrossRef] [PubMed]
- Borrás-Linares, I.; Stojanović, Z.; Quirantes-Piné, R.; Arráez-Román, D.; Švarc-Gajić, J.; Fernández-Gutiérrez, A.; Segura-Carretero, A. Rosmarinus officinalis Leaves as a Natural Source of Bioactive Compounds. Int. J. Mol. Sci. 2014, 15, 20585–20606. [Google Scholar] [CrossRef] [PubMed]
- Maruca, A.; Catalano, R.; Bagetta, D.; Mesiti, F.; Ambrosio, F.A.; Romeo, I.; Moraca, F.; Rocca, R.; Ortuso, F.; Artese, A.; et al. The Mediterranean Diet as Source of Bioactive Compounds with Multi-Targeting Anti-Cancer Profile. Eur. J. Med. Chem. 2019, 181, 111579. [Google Scholar] [CrossRef]
- Meier, P.; Legrand, A.J.; Adam, D.; Silke, J. Immunogenic Cell Death in Cancer: Targeting Necroptosis to Induce Antitumour Immunity. Nat. Rev. Cancer 2024, 24, 299–315. [Google Scholar] [CrossRef]
- Pan, C.; Winkler, F. Insights and Opportunities at the Crossroads of Cancer and Neuroscience. Nat. Cell Biol. 2022, 24, 1454–1460. [Google Scholar] [CrossRef]
- Mao, J.J.; Pillai, G.G.; Andrade, C.J.; Ligibel, J.A.; Basu, P.; Cohen, L.; Khan, I.A.; Mustian, K.M.; Puthiyedath, R.; Dhiman, K.S.; et al. Integrative Oncology: Addressing the Global Challenges of Cancer Prevention and Treatment. CA Cancer J. Clin. 2022, 72, 144–164. [Google Scholar] [CrossRef]
- Lewandowska, A.; Rudzki, M.; Rudzki, S.; Lewandowski, T.; Laskowska, B. Environmental Risk Factors for Cancer—Review Paper. Ann. Agric. Environ. Med. 2019, 26, 1–7. [Google Scholar] [CrossRef]
- Cancer Topics. Available online: https://www.iarc.who.int/cancer-topics/ (accessed on 20 September 2022).
- Blanke, C. Role of COX-2 Inhibitors in Cancer Therapy. Cancer Investig. 2004, 22, 271–282. [Google Scholar] [CrossRef]
- Brodie, A.M.; Lu, Q.; Long, B.J.; Fulton, A.; Chen, T.; Macpherson, N.; DeJong, P.C.; Blankenstein, M.A.; Nortier, J.W.; Slee, P.H.; et al. Aromatase and COX-2 Expression in Human Breast Cancers. J. Steroid Biochem. Mol. Biol. 2001, 79, 41–47. [Google Scholar] [CrossRef]
- Molehin, D.; Rasha, F.; Rahman, R.L.; Pruitt, K. Regulation of Aromatase in Cancer. Mol. Cell. Biochem. 2021, 476, 2449–2464. [Google Scholar] [CrossRef] [PubMed]
- Gonçalves, R.M.; Delgobo, M.; Agnes, J.P.; das Neves, R.N.; Falchetti, M.; Casagrande, T.; Garcia, A.P.V.; Vieira, T.C.; Somensi, N.; Bruxel, M.A.; et al. COX-2 Promotes Mammary Adipose Tissue Inflammation, Local Estrogen Biosynthesis, and Carcinogenesis in High-Sugar/Fat Diet Treated Mice. Cancer Lett. 2021, 502, 44–57. [Google Scholar] [CrossRef] [PubMed]
- Li, S.; Jiang, M.; Wang, L.; Yu, S. Combined Chemotherapy with Cyclooxygenase-2 (COX-2) Inhibitors in Treating Human Cancers: Recent Advancement. Biomed. Pharmacother. 2020, 129, 110389. [Google Scholar] [CrossRef] [PubMed]
- Aliabadi, A.; Khanniri, E.; Mahboubi-Rabbani, M.; Bayanati, M. Dual COX-2/15-LOX Inhibitors: A New Avenue in the Prevention of Cancer. Eur. J. Med. Chem. 2023, 261, 115866. [Google Scholar] [CrossRef]
- Brueggemeier, R.W.; Su, B.; Sugimoto, Y.; Díaz-Cruz, E.S.; Davis, D.D. Aromatase and COX in Breast Cancer: Enzyme Inhibitors and Beyond. J. Steroid Biochem. Mol. Biol. 2007, 106, 16–23. [Google Scholar] [CrossRef]
- Brueggemeier, R.W.; Richards, J.A.; Petrel, T.A. Aromatase and Cyclooxygenases: Enzymes in Breast Cancer. J. Steroid Biochem. Mol. Biol. 2003, 86, 501–507. [Google Scholar] [CrossRef]
- Díaz-Cruz, E.S.; Shapiro, C.L.; Brueggemeier, R.W. Cyclooxygenase Inhibitors Suppress Aromatase Expression and Activity in Breast Cancer Cells. J. Clin. Endocrinol. Metab. 2005, 90, 2563–2570. [Google Scholar] [CrossRef]
- Mukae, Y.; Miyata, Y.; Nakamura, Y.; Araki, K.; Otsubo, A.; Yuno, T.; Mitsunari, K.; Matsuo, T.; Ohba, K.; Sakai, H. Pathological Roles of C-Met in Bladder Cancer: Association with Cyclooxygenase-2, Heme Oxygenase-1, Vascular Endothelial Growth Factor-A and Programmed Death Ligand1. Oncol. Lett. 2020, 20, 135–144. [Google Scholar] [CrossRef]
- Miyata, Y.; Kanda, S.; Mitsunari, K.; Asai, A.; Sakai, H. Heme Oxygenase-1 Expression Is Associated with Tumor Aggressiveness and Outcomes in Patients with Bladder Cancer: A Correlation with Smoking Intensity. Transl. Res. 2014, 164, 468–476. [Google Scholar] [CrossRef]
- Kim, D.-H.; Kim, J.-H.; Kim, E.-H.; Na, H.-K.; Cha, Y.-N.; Chung, J.H.; Surh, Y.-J. 15-Deoxy-Δ 12,14 -Prostaglandin J 2 Upregulates the Expression of Heme Oxygenase-1 and Subsequently Matrix Metalloproteinase-1 in Human Breast Cancer Cells: Possible Roles of Iron and ROS. Carcinogenesis 2009, 30, 645–654. [Google Scholar] [CrossRef]
- Kim, E.-H.; Kim, S.-J.; Na, H.-K.; Han, W.; Kim, N.-J.; Suh, Y.-G.; Surh, Y.-J. 15-Deoxy-Δ12,14-Prostaglandin J2 Upregulates VEGF Expression via NRF2 and Heme Oxygenase-1 in Human Breast Cancer Cells. Cells 2021, 10, 526. [Google Scholar] [CrossRef] [PubMed]
- Ghosh, D.; Lo, J.; Morton, D.; Valette, D.; Xi, J.; Griswold, J.; Hubbell, S.; Egbuta, C.; Jiang, W.; An, J.; et al. Novel Aromatase Inhibitors by Structure-Guided Design. J. Med. Chem. 2012, 55, 8464–8476. [Google Scholar] [CrossRef] [PubMed]
- Boszkiewicz, K.; Piwowar, A.; Petryszyn, P. Aromatase Inhibitors and Risk of Metabolic and Cardiovascular Adverse Effects in Breast Cancer Patients—A Systematic Review and Meta-Analysis. J. Clin. Med. 2022, 11, 3133. [Google Scholar] [CrossRef]
- Shoombuatong, W.; Schaduangrat, N.; Nantasenamat, C. Towards Understanding Aromatase Inhibitory Activity via QSAR Modeling. EXCLI J. 2018, 17, 688–708. [Google Scholar]
- Sohl, C.D.; Guengerich, F.P. Kinetic Analysis of the Three-Step Steroid Aromatase Reaction of Human Cytochrome P450 19A1. J. Biol. Chem. 2010, 285, 17734–17743. [Google Scholar] [CrossRef]
- Ghosh, D. Structures and Functions of Human Placental Aromatase and Steroid Sulfatase, Two Key Enzymes in Estrogen Biosynthesis. Steroids 2023, 196, 109249. [Google Scholar] [CrossRef]
- ChemDraw 23.1. 2024. Available online: https://revvitysignals.com/products/research/chemdraw (accessed on 15 January 2025).
- Ghosh, D.; Griswold, J.; Erman, M.; Pangborn, W. Structural Basis for Androgen Specificity and Oestrogen Synthesis in Human Aromatase. Nature 2009, 457, 219–223. [Google Scholar] [CrossRef]
- Pettersen, E.F.; Goddard, T.D.; Huang, C.C.; Couch, G.S.; Greenblatt, D.M.; Meng, E.C.; Ferrin, T.E. UCSF Chimera A Visualization System for Exploratory Research and Analysis. J. Comput. Chem. 2004, 25, 1605–1612. [Google Scholar] [CrossRef]
- Sheng, J.; Sun, H.; Yu, F.B.; Li, B.; Zhang, Y.; Zhu, Y.-T. The Role of Cyclooxygenase-2 in Colorectal Cancer. Int. J. Med. Sci. 2020, 17, 1095–1101. [Google Scholar] [CrossRef]
- Sahu, A.; Raza, K.; Pradhan, D.; Jain, A.K.; Verma, S. Cyclooxygenase-2 as a Therapeutic Target against Human Breast Cancer: A Comprehensive Review. WIREs Mech. Dis. 2023, 15, e1596. [Google Scholar] [CrossRef]
- Ju, Z.; Li, M.; Xu, J.; Howell, D.C.; Li, Z.; Chen, F.-E. Recent Development on COX-2 Inhibitors as Promising Anti-Inflammatory Agents: The Past 10 Years. Acta Pharm. Sin. B 2022, 12, 2790–2807. [Google Scholar] [CrossRef] [PubMed]
- Rizzo, M.T. Cyclooxygenase-2 in Oncogenesis. Clin. Chim. Acta 2011, 412, 671–687. [Google Scholar] [CrossRef] [PubMed]
- Simmons, D.L.; Botting, R.M.; Hla, T. Cyclooxygenase Isozymes: The Biology of Prostaglandin Synthesis and Inhibition. Pharmacol. Rev. 2004, 56, 387–437. [Google Scholar] [CrossRef] [PubMed]
- Orlando, B.J.; Malkowski, M.G. Substrate-Selective Inhibition of Cyclooxygeanse-2 by Fenamic Acid Derivatives Is Dependent on Peroxide Tone. J. Biol. Chem. 2016, 291, 15069–15081. [Google Scholar] [CrossRef]
- Mohsin, N.U.A.; Aslam, S.; Ahmad, M.; Irfan, M.; Al-Hussain, S.A.; Zaki, M.E.A. Cyclooxygenase-2 (COX-2) as a Target of Anticancer Agents: A Review of Novel Synthesized Scaffolds Having Anticancer and COX-2 Inhibitory Potentialities. Pharmaceuticals 2022, 15, 1471. [Google Scholar] [CrossRef]
- Richheimer, S.L.; Bernart, M.W.; King, G.A.; Kent, M.C.; Beiley, D.T. Antioxidant Activity of Lipid-soluble Phenolic Diterpenes from Rosemary. J. Am. Oil Chem. Soc. 1996, 73, 507–514. [Google Scholar] [CrossRef]
- Cheung, S.; Tai, J. Anti-Proliferative and Antioxidant Properties of Rosemary Rosmarinus officinalis. Oncol. Rep. 2007, 17, 1525. [Google Scholar] [CrossRef]
- Wellwood, C.R.L.; Cole, R.A. Relevance of Carnosic Acid Concentrations to the Selection of Rosemary, Rosmarinus officinalis (L.), Accessions for Optimization of Antioxidant Yield. J. Agric. Food Chem. 2004, 52, 6101–6107. [Google Scholar] [CrossRef]
- Birtić, S.; Dussort, P.; Pierre, F.-X.; Bily, A.C.; Roller, M. Carnosic Acid. Phytochemistry 2015, 115, 9–19. [Google Scholar] [CrossRef]
- Posadas, S.J.; Caz, V.; Largo, C.; De la Gándara, B.; Matallanas, B.; Reglero, G.; De Miguel, E. Protective Effect of Supercritical Fluid Rosemary Extract, Rosmarinus officinalis, on Antioxidants of Major Organs of Aged Rats. Exp. Gerontol. 2009, 44, 383–389. [Google Scholar] [CrossRef]
- Jordán, M.J.; Lax, V.; Rota, M.C.; Lorán, S.; Sotomayor, J.A. Relevance of Carnosic Acid, Carnosol, and Rosmarinic Acid Concentrations in the in Vitro Antioxidant and Antimicrobial Activities of Rosmarinus officinalis (L.) Methanolic Extracts. J. Agric. Food Chem. 2012, 60, 9603–9608. [Google Scholar] [CrossRef] [PubMed]
- Su, K.; Wang, C.; Zhang, Y.; Cai, Y.; Zhang, Y.; Zhao, Q. The Inhibitory Effects of Carnosic Acid on Cervical Cancer Cells Growth by Promoting Apoptosis via ROS-Regulated Signaling Pathway. Biomed. Pharmacother. 2016, 82, 180–191. [Google Scholar] [CrossRef] [PubMed]
- Khella, K.F.; Abd El Maksoud, A.I.; Hassan, A.; Abdel-Ghany, S.E.; Elsanhoty, R.M.; Aladhadh, M.A.; Abdel-Hakeem, M.A. Carnosic Acid Encapsulated in Albumin Nanoparticles Induces Apoptosis in Breast and Colorectal Cancer Cells. Molecules 2022, 27, 4102. [Google Scholar] [CrossRef] [PubMed]
- Abd El-Hamid, I.S.; Mouselhy, Y.Y.; El-Shafei, M.M.; Sayed, M.M.; Mohamed, A.F.; Farag, D.B. COX-2 Docking Structural Analysis with Phytochemical Extracts of Rosemary: A Possible Cytotoxicity on Head and Neck Squamous Cell Carcinoma Cell Line (HEp-2). Anticancer Agents Med. Chem. 2019, 19, 1473–1480. [Google Scholar] [CrossRef]
- Munné-Bosch, S.; Schwarz, K.; Alegre, L. Response of Abietane Diterpenes to Stress in Rosmarinus officinalis L.: New Insights into the Function of Diterpenes in Plants. Free Radic. Res. 1999, 31, 107–112. [Google Scholar] [CrossRef]
- Rajasekaran, D.; Manoharan, S.; Silvan, S.; Vasudevana, K.; Baskaran, N.; Palanimuthu, D. Proapoptotic, Anti-Cell Proliferative, Anti-Inflammatory And Antiangiogenic Potential Of Carnosic Acid During 7,12 Dimethylbenz[A]Anthracene-Induced Hamster Buccal Pouch Carcinogenesis. Afr. J. Tradit. Complement. Altern. Med. 2012, 10, 102–112. [Google Scholar] [CrossRef]
- Barni, M.V.; Carlini, M.J.; Cafferata, E.G.; Puricelli, L.; Moreno, S. Carnosic Acid Inhibits the Proliferation and Migration Capacity of Human Colorectal Cancer Cells. Oncol. Rep. 2012, 27, 1041–1048. [Google Scholar] [CrossRef]
- Wang, L.-C.; Wei, W.-H.; Zhang, X.-W.; Liu, D.; Zeng, K.-W.; Tu, P.-F. An Integrated Proteomics and Bioinformatics Approach Reveals the Anti-Inflammatory Mechanism of Carnosic Acid. Front. Pharmacol. 2018, 9, 370. [Google Scholar] [CrossRef]
- Gaya, M.; Repetto, V.; Toneatto, J.; Anesini, C.; Piwien-Pilipuk, G.; Moreno, S. Antiadipogenic Effect of Carnosic Acid, a Natural Compound Present in Rosmarinus officinalis, Is Exerted through the C/EBPs and PPARγ Pathways at the Onset of the Differentiation Program. Biochim. Biophys. Acta 2013, 1830, 3796–3806. [Google Scholar] [CrossRef]
- Wang, H.; Wang, J.; Liu, Y.; Ji, Y.; Guo, Y.; Zhao, J. Interaction Mechanism of Carnosic Acid against Glycosidase (α-Amylase and α-Glucosidase). Int. J. Biol. Macromol. 2019, 138, 846–853. [Google Scholar] [CrossRef]
- O’Neill, E.J.; Den Hartogh, D.J.; Azizi, K.; Tsiani, E. Anticancer Properties of Carnosol: A Summary of In Vitro and In Vivo Evidence. Antioxidants 2020, 9, 961. [Google Scholar] [CrossRef] [PubMed]
- del Baño, M.J.; Lorente, J.; Castillo, J.; Benavente-García, O.; del Río, J.A.; Ortuño, A.; Quirin, K.-W.; Gerard, D. Phenolic Diterpenes, Flavones, and Rosmarinic Acid Distribution during the Development of Leaves, Flowers, Stems, and Roots of Rosmarinus officinalis. Antioxidant Activity. J. Agric. Food Chem. 2003, 51, 4247–4253. [Google Scholar] [CrossRef] [PubMed]
- Johnson, J.J. Carnosol: A Promising Anti-Cancer and Anti-Inflammatory Agent. Cancer Lett. 2011, 305, 1–7. [Google Scholar] [CrossRef] [PubMed]
- Poeckel, D.; Greiner, C.; Verhoff, M.; Rau, O.; Tausch, L.; Hörnig, C.; Steinhilber, D.; Schubert-Zsilavecz, M.; Werz, O. Carnosic Acid and Carnosol Potently Inhibit Human 5-Lipoxygenase and Suppress pro-Inflammatory Responses of Stimulated Human Polymorphonuclear Leukocytes. Biochem. Pharmacol. 2008, 76, 91–97. [Google Scholar] [CrossRef]
- Subbaramaiah, K.; Cole, P.A.; Dannenberg, A.J. Retinoids and Carnosol Suppress Cyclooxygenase-2 Transcription by CREB-Binding Protein/P300-Dependent and-Independent Mechanisms. Cancer Res. 2002, 62, 2522–2530. [Google Scholar]
- Khan, I.; Ahmad, W.; Karim, N.; Ahmad, M.; Khan, M.; Tariq, S.A.; Sultana, N.; Shah, R.; Khan, A.; Abdelhalim, A. Antidiabetic Activity and Histopathological Analysis of Carnosol Isolated from Artemisia Indica Linn in Streptozotocin-Induced Diabetic Rats. Med. Chem. Res. 2017, 26, 335–343. [Google Scholar] [CrossRef]
- Pavić, V.; Jakovljević, M.; Molnar, M.; Jokić, S. Extraction of Carnosic Acid and Carnosol from Sage (Salvia officinalis L.) Leaves by Supercritical Fluid Extraction and Their Antioxidant and Antibacterial Activity. Plants 2019, 8, 16. [Google Scholar] [CrossRef]
- Petersen, M.; Simmonds, M.S.J. Rosmarinic Acid. Phytochemistry 2003, 62, 121–125. [Google Scholar] [CrossRef]
- Guan, H.; Luo, W.; Bao, B.; Cao, Y.; Cheng, F.; Yu, S.; Fan, Q.; Zhang, L.; Wu, Q.; Shan, M. A Comprehensive Review of Rosmarinic Acid: From Phytochemistry to Pharmacology and Its New Insight. Molecules 2022, 27, 3292. [Google Scholar] [CrossRef]
- Lu, C.; Zou, Y.; Liu, Y.; Niu, Y. Rosmarinic Acid Counteracts Activation of Hepatic Stellate Cells via Inhibiting the ROS-Dependent MMP-2 Activity: Involvement of Nrf2 Antioxidant System. Toxicol. Appl. Pharmacol. 2017, 318, 69–78. [Google Scholar] [CrossRef]
- Bayomy, N.A.; Elbakary, R.H.; Ibrahim, M.A.A.; Abdelaziz, E.Z. Effect of Lycopene and Rosmarinic Acid on Gentamicin Induced Renal Cortical Oxidative Stress, Apoptosis, and Autophagy in Adult Male Albino Rat. Anat. Rec. 2017, 300, 1137–1149. [Google Scholar] [CrossRef] [PubMed]
- Shang, A.J.; Yang, Y.; Wang, H.-Y.; Tao, B.Z.; Wang, J.; Wang, Z.F.; Zhou, D.B. Spinal Cord Injury Effectively Ameliorated by Neuroprotective Effects of Rosmarinic Acid. Nutr. Neurosci. 2017, 20, 172–179. [Google Scholar] [CrossRef] [PubMed]
- Oğuz, A.; Böyük, A.; Ekinci, A.; Alabalik, U.; Türkoğlu, A.; Tuncer, M.C.; Ekingen, A.; Deveci, E.; Gültürk, B.; Aday, U. Investigation of Antioxidant Effects of Rosmarinic Acid on Liver, Lung and Kidney in Rats: A Biochemical and Histopathological Study. Folia Morphol. 2020, 79, 288–295. [Google Scholar] [CrossRef] [PubMed]
- Saiko, P.; Steinmann, M.T.; Schuster, H.; Graser, G.; Bressler, S.; Giessrigl, B.; Lackner, A.; Grusch, M.; Krupitza, G.; Bago-Horvath, Z.; et al. Epigallocatechin Gallate, Ellagic Acid, and Rosmarinic Acid Perturb DNTP Pools and Inhibit de Novo DNA Synthesis and Proliferation of Human HL-60 Promyelocytic Leukemia Cells: Synergism with Arabinofuranosylcytosine. Phytomedicine 2015, 22, 213–222. [Google Scholar] [CrossRef]
- Jang, Y.G.; Hwang, K.-A.; Choi, K.-C. Rosmarinic Acid, a Component of Rosemary Tea, Induced the Cell Cycle Arrest and Apoptosis through Modulation of HDAC2 Expression in Prostate Cancer Cell Lines. Nutrients 2018, 10, 1784. [Google Scholar] [CrossRef]
- Karthikkumar, V.; Sivagami, G.; Viswanathan, P.; Nalini, N. Rosmarinic Acid Inhibits DMH-Induced Cell Proliferation in Experimental Rats. J. Basic Clin. Physiol. Pharmacol. 2015, 26, 185–200. [Google Scholar] [CrossRef]
- Scheckel, K.A.; Degner, S.C.; Romagnolo, D.F. Rosmarinic Acid Antagonizes Activator Protein-1–Dependent Activation of Cyclooxygenase-2 Expression in Human Cancer and Nonmalignant Cell Lines. J. Nutr. 2008, 138, 2098–2105. [Google Scholar] [CrossRef]
- Tao, L.; Wang, S.; Zhao, Y.; Sheng, X.; Wang, A.; Zheng, S.; Lu, Y. Phenolcarboxylic Acids from Medicinal Herbs Exert Anticancer Effects through Disruption of COX-2 Activity. Phytomedicine 2014, 21, 1473–1482. [Google Scholar] [CrossRef]
- Ferreira, L.G.; Celotto, A.C.; Capellini, V.K.; Albuquerque, A.A.S.; de Nadai, T.R.; de Carvalho, M.T.M.; Evora, P.R.B. Does Rosmarinic Acid Underestimate as an Experimental Cardiovascular Drug? Acta Cir. Bras. 2013, 28, 83–87. [Google Scholar] [CrossRef]
- Hur, Y.-G.; Suh, C.-H.; Kim, S.; Won, J. Rosmarinic Acid Induces Apoptosis of Activated T Cells from Rheumatoid Arthritis Patients via Mitochondrial Pathway. J. Clin. Immunol. 2007, 27, 36–45. [Google Scholar] [CrossRef]
- Youn, J.; Lee, K.H.; Won, J.; Huh, S.J.; Yun, H.S.; Cho, W.G.; Paik, D.J. Beneficial Effects of Rosmarinic Acid on Suppression of Collagen Induced Arthritis. J. Rheumatol. 2003, 30, 1203–1207. [Google Scholar] [PubMed]
- Zhao, L.; Zhang, Y.; Liu, G.; Hao, S.; Wang, C.; Wang, Y. Black Rice Anthocyanin-Rich Extract and Rosmarinic Acid, Alone and in Combination, Protect against DSS-Induced Colitis in Mice. Food Funct. 2018, 9, 2796–2808. [Google Scholar] [CrossRef] [PubMed]
- Lee, J.; Jung, E.; Koh, J.; Kim, Y.S.; Park, D. Effect of Rosmarinic Acid on Atopic Dermatitis. J. Dermatol. 2008, 35, 768–771. [Google Scholar] [CrossRef] [PubMed]
- Ekambaram, S.; Perumal, S.; Balakrishnan, A.; Marappan, N.; Gajendran, S.; Viswanathan, V. Antibacterial Synergy between Rosmarinic Acid and Antibiotics against Methicillin Resistant Staphylococcus Aureus. J. Intercult. Ethnopharmacol. 2016, 5, 358–363. [Google Scholar] [CrossRef]
- Inui, A.; Cheng, K.-C.; Asakawa, A.; Amitani, H.; Amitani, M.; Morinaga, A.; Takimoto, Y.; Kairupan, B.H.R.; Runtuwene, J. Rosmarinic Acid Ameliorates Hyperglycemia and Insulin Sensitivity in Diabetic Rats, Potentially by Modulating the Expression of PEPCK and GLUT4. Drug Des. Devel. Ther. 2016, 10, 2193–2202. [Google Scholar] [CrossRef]
- Tsukamoto, Y.; Ikeda, S.; Uwai, K.; Taguchi, R.; Chayama, K.; Sakaguchi, T.; Narita, R.; Yao, W.-L.; Takeuchi, F.; Otakaki, Y.; et al. Rosmarinic Acid Is a Novel Inhibitor for Hepatitis B Virus Replication Targeting Viral Epsilon RNA-Polymerase Interaction. PLoS ONE 2018, 13, e0197664. [Google Scholar] [CrossRef]
- Swarup, V.; Ghosh, J.; Ghosh, S.; Saxena, A.; Basu, A. Antiviral and Anti-Inflammatory Effects of Rosmarinic Acid in an Experimental Murine Model of Japanese Encephalitis. Antimicrob. Agents Chemother. 2007, 51, 3367–3370. [Google Scholar] [CrossRef]
- Hase, T.; Shishido, S.; Yamamoto, S.; Yamashita, R.; Nukima, H.; Taira, S.; Toyoda, T.; Abe, K.; Hamaguchi, T.; Ono, K.; et al. Rosmarinic Acid Suppresses Alzheimer’s Disease Development by Reducing Amyloid β Aggregation by Increasing Monoamine Secretion. Sci. Rep. 2019, 9, 8711. [Google Scholar] [CrossRef]
- Lee, A.Y.; Wu, T.T.; Hwang, B.R.; Lee, J.; Lee, M.-H.; Lee, S.; Cho, E.J. The Neuro-Protective Effect of the Methanolic Extract of Perilla Frutescens Var. Japonica and Rosmarinic Acid against H2O2-Induced Oxidative Stress in C6 Glial Cells. Biomol. Ther. 2016, 24, 338–345. [Google Scholar] [CrossRef]
- Amiri, S.; Dastghaib, S.; Ahmadi, M.; Mehrbod, P.; Khadem, F.; Behrouj, H.; Aghanoori, M.-R.; Machaj, F.; Ghamsari, M.; Rosik, J.; et al. Betulin and Its Derivatives as Novel Compounds with Different Pharmacological Effects. Biotechnol. Adv. 2020, 38, 107409. [Google Scholar] [CrossRef]
- Tuli, H.S.; Sak, K.; Gupta, D.S.; Kaur, G.; Aggarwal, D.; Chaturvedi Parashar, N.; Choudhary, R.; Yerer, M.B.; Kaur, J.; Kumar, M.; et al. Anti-Inflammatory and Anticancer Properties of Birch Bark-Derived Betulin: Recent Developments. Plants 2021, 10, 2663. [Google Scholar] [CrossRef] [PubMed]
- Ferreira, N.H.; Cunha, N.L.; de Melo, M.R.S.; Fernandes, F.S.; de Freitas, K.S.; do Nascimento, S.; Ribeiro, A.B.; de A E Silva, M.L.; Cunha, W.R.; Tavares, D.C. Betulinic Acid Exerts Antigenotoxic and Anticarcinogenic Activities via Inhibition of COX-2 and PCNA in Rodents. J. Biochem. Mol. Toxicol. 2021, 35, e22917. [Google Scholar] [CrossRef] [PubMed]
- Karan, B.N.; Maity, T.K.; Pal, B.C.; Singha, T.; Jana, S. Betulinic Acid, the First Lupane-Type Triterpenoid Isolated via Bioactivity-Guided Fractionation, and Identified by Spectroscopic Analysis from Leaves of Nyctanthes arbor-tristis: Its Potential Biological Activities in Vitro Assays. Nat. Prod. Res. 2019, 33, 3287–3292. [Google Scholar] [CrossRef] [PubMed]
- Zdzisińska, B.; Rzeski, W.; Paduch, R.; Szuster-Ciesielska, A.; Kaczor, J.; Wejksza, K.; Kandefer-Szerszeń, M. Differential Effect of Betulin and Betulinic Acid on Cytokine Production in Human Whole Blood Cell Cultures. Pol. J. Pharmacol. 2003, 55, 235–238. [Google Scholar]
- Viji, V.; Helen, A.; Luxmi, V.R. Betulinic Acid Inhibits Endotoxin-stimulated Phosphorylation Cascade and Pro-inflammatory Prostaglandin E2 Production in Human Peripheral Blood Mononuclear Cells. Br. J. Pharmacol. 2011, 162, 1291–1303. [Google Scholar] [CrossRef]
- do Carmo, D.F.M.; Amaral, A.C.F.; Machado, M.; Lopes, D.; Echevarria, A.; Rosário, V.E.; Silva, J.R. Evaluation of Antiplasmodial Activity of Extracts and Constituents from Ampelozizyphus amazonicus. Pharmacogn. Mag. 2015, 11, S244. [Google Scholar]
- Theo, A.; Masebe, T.; Suzuki, Y.; Kikuchi, H.; Wada, S.; Obi, C.L.; Bessong, P.O.; Usuzawa, M.; Oshima, Y.; Hattori, T. Peltophorum Africanum, a Traditional South African Medicinal Plant, Contains an Anti HIV-1 Constituent, Betulinic Acid. Tohoku J. Exp. Med. 2009, 217, 93–99. [Google Scholar] [CrossRef]
- Lin, C.; Tseng, C.; Chen, K.; Wu, S.; Liaw, C.; Lee, J. Betulinic Acid Exerts Anti-hepatitis C Virus Activity via the Suppression of NF-κ B-and MAPK-ERK 1/2-mediated COX-2 Expression. Br. J. Pharmacol. 2015, 172, 4481–4492. [Google Scholar] [CrossRef]
- Feng, X.M.; Su, X.L. Anticancer Effect of Ursolic Acid via Mitochondria-dependent Pathways. Oncol. Lett. 2019, 17, 4761–4767. [Google Scholar] [CrossRef]
- Kashyap, D.; Tuli, H.S.; Sharma, A.K. Ursolic Acid (UA): A Metabolite with Promising Therapeutic Potential. Life Sci. 2016, 146, 201–213. [Google Scholar] [CrossRef]
- Chan, E.W.C.; Soon, C.Y.; Tan, J.B.L.; Wong, S.K.; Hui, Y.W. Ursolic Acid: An Overview on Its Cytotoxic Activities against Breast and Colorectal Cancer Cells. J. Integr. Med. 2019, 17, 155–160. [Google Scholar] [CrossRef] [PubMed]
- Lewinska, A.; Adamczyk-Grochala, J.; Kwasniewicz, E.; Deregowska, A.; Wnuk, M. Ursolic Acid-Mediated Changes in Glycolytic Pathway Promote Cytotoxic Autophagy and Apoptosis in Phenotypically Different Breast Cancer Cells. Apoptosis 2017, 22, 800–815. [Google Scholar] [CrossRef] [PubMed]
- Yeh, C.; Wu, C.; Yen, G. Ursolic Acid, a Naturally Occurring Triterpenoid, Suppresses Migration and Invasion of Human Breast Cancer Cells by Modulating C-Jun N-terminal Kinase, Akt and Mammalian Target of Rapamycin Signaling. Mol. Nutr. Food Res. 2010, 54, 1285–1295. [Google Scholar] [CrossRef]
- Jiang, K.; Chi, T.; Li, T.; Zheng, G.; Fan, L.; Liu, Y.; Chen, X.; Chen, S.; Jia, L.; Shao, J. A Smart PH-Responsive Nano-Carrier as a Drug Delivery System for the Targeted Delivery of Ursolic Acid: Suppresses Cancer Growth and Metastasis by Modulating P53/MMP-9/PTEN/CD44 Mediated Multiple Signaling Pathways. Nanoscale 2017, 9, 9428–9439. [Google Scholar] [CrossRef]
- Huang, H.; Huang, C.; Lin Shiau, S.; Lin, J. Ursolic Acid Inhibits IL-1β or TNF-α-induced C6 Glioma Invasion through Suppressing the Association ZIP/P62 with PKC-ζ and Downregulating the MMP-9 Expression. Mol. Carcinog. 2009, 48, 517–531. [Google Scholar] [CrossRef]
- Cha, H.-J.; Park, M.-T.; Chung, H.-Y.; Kim, N.D.; Sato, H.; Seiki, M.; Kim, K.-W. Ursolic Acid-Induced down-Regulation of MMP-9 Gene Is Mediated through the Nuclear Translocation of Glucocorticoid Receptor in HT1080 Human Fibrosarcoma Cells. Oncogene 1998, 16, 771–778. [Google Scholar] [CrossRef]
- Zhang, R.-X.; Li, Y.; Tian, D.-D.; Liu, Y.; Nian, W.; Zou, X.; Chen, Q.-Z.; Zhou, L.-Y.; Deng, Z.-L.; He, B.-C. Ursolic Acid Inhibits Proliferation and Induces Apoptosis by Inactivating Wnt/β-Catenin Signaling in Human Osteosarcoma Cells. Int. J. Oncol 2016, 49, 1973–1982. [Google Scholar] [CrossRef]
- Santos Rosa, C.; García Gimenez, M.D.; Saenz Rodriguez, M.T.; De la Puerta Vazquez, R. Antihistaminic and Antieicosanoid Effects of Oleanolic and Ursolic Acid Fraction from Helichrysum Picardii. Pharmazie 2007, 62, 459–462. [Google Scholar]
- Xu, T.; Wang, X.; Zhong, B.; Nurieva, R.I.; Ding, S.; Dong, C. Ursolic Acid Suppresses Interleukin-17 (IL-17) Production by Selectively Antagonizing the Function of RORγt Protein. J. Biol. Chem. 2011, 286, 22707–22710. [Google Scholar] [CrossRef]
- Ringbom, T.; Segura, L.; Noreen, Y.; Perera, P.; Bohlin, L. Ursolic Acid from Plantago Major, a Selective Inhibitor of Cyclooxygenase-2 Catalyzed Prostaglandin Biosynthesis. J. Nat. Prod. 1998, 61, 1212–1215. [Google Scholar] [CrossRef]
- Checker, R.; Sandur, S.K.; Sharma, D.; Patwardhan, R.S.; Jayakumar, S.; Kohli, V.; Sethi, G.; Aggarwal, B.B.; Sainis, K.B. Potent Anti-Inflammatory Activity of Ursolic Acid, a Triterpenoid Antioxidant, Is Mediated through Suppression of NF-ΚB, AP-1 and NF-AT. PLoS ONE 2012, 7, e31318. [Google Scholar] [CrossRef] [PubMed]
- Poongunran, J.; Perera, H.K.I.; Jayasinghe, L.; Fernando, I.T.; Sivakanesan, R.; Araya, H.; Fujimoto, Y. Bioassay-Guided Fractionation and Identification of α-Amylase Inhibitors from Syzygium cumini Leaves. Pharm. Biol. 2017, 55, 206–211. [Google Scholar] [CrossRef] [PubMed]
- Lee, J.; Lee, H.-I.; Seo, K.-I.; Cho, H.W.; Kim, M.-J.; Park, E.-M.; Lee, M.-K. Effects of Ursolic Acid on Glucose Metabolism, the Polyol Pathway and Dyslipidemia in Non-Obese Type 2 Diabetic Mice. Indian J. Exp. Biol. 2014, 52, 683–691. [Google Scholar] [PubMed]
- Wang, Y.L.; Wang, Z.J.; Shen, H.L.; Yin, M.; Tang, K.X. Effects of Artesunate and Ursolic Acid on Hyperlipidemia and Its Complications in Rabbit. Eur. J. Pharm. Sci. 2013, 50, 366–371. [Google Scholar] [CrossRef]
- Sundaresan, A.; Radhiga, T.; Pugalendi, K.V. Effect of Ursolic Acid and Rosiglitazone Combination on Hepatic Lipid Accumulation in High Fat Diet-Fed C57BL/6J Mice. Eur. J. Pharmacol. 2014, 741, 297–303. [Google Scholar] [CrossRef]
- Liu, L.; Zhang, J.; Li, M.; Zhang, X.; Zhang, J.; Li, Z.; Wang, L.; Wu, J.; Luo, C. Inhibition of HepG2 Cell Proliferation by Ursolic Acid and Polysaccharides via the Downregulation of Cyclooxygenase-2. Mol. Med. Rep. 2014, 9, 2505–2511. [Google Scholar] [CrossRef]
- Jeong, H.-J.; Chang, L.C.; Kim, H.-K.; Kim, I.-H.; Kinghorn, A.D.; Pezzuto, J.M. Aromatase Inhibitors From Isodon Excisus Var.Coreanus. Arch. Pharm. Res. 2000, 23, 243–245. [Google Scholar] [CrossRef]
- Ganßer, D.; Spiteller, G. Aromatase Inhibitors from Urtica Dioica Roots. Planta Med. 1995, 61, 138–140. [Google Scholar] [CrossRef]
- Gnoatto, S.C.B.; Dassonville-Klimpt, A.; Da Nascimento, S.; Galéra, P.; Boumediene, K.; Gosmann, G.; Sonnet, P.; Moslemi, S. Evaluation of Ursolic Acid Isolated from Ilex Paraguariensis and Derivatives on Aromatase Inhibition. Eur. J. Med. Chem. 2008, 43, 1865–1877. [Google Scholar] [CrossRef]
- Ma, W.; Chang, N.; Yu, Y.; Su, Y.; Chen, G.; Cheng, W.; Wu, Y.; Li, C.; Chang, W.; Yang, J. Ursolic Acid Silences CYP19A1/Aromatase to Suppress Gastric Cancer Growth. Cancer Med. 2022, 11, 2824–2835. [Google Scholar] [CrossRef]
- Calderon-Montano, J.M.; Burgos-Moron, E.; Perez-Guerrero, C.; Lopez-Lazaro, M. A Review on the Dietary Flavonoid Kaempferol. Mini Rev. Med. Chem. 2011, 11, 298–344. [Google Scholar] [CrossRef] [PubMed]
- Imran, M.; Salehi, B.; Sharifi-Rad, J.; Aslam Gondal, T.; Saeed, F.; Imran, A.; Shahbaz, M.; Tsouh Fokou, P.V.; Umair Arshad, M.; Khan, H.; et al. Kaempferol: A Key Emphasis to Its Anticancer Potential. Molecules 2019, 24, 2277. [Google Scholar] [CrossRef] [PubMed]
- Zhou, M.; Ren, H.; Han, J.; Wang, W.; Zheng, Q.; Wang, D. Protective Effects of Kaempferol against Myocardial Ischemia/Reperfusion Injury in Isolated Rat Heart via Antioxidant Activity and Inhibition of Glycogen Synthase Kinase-3β. Oxidative Med. Cell. Longev. 2015, 2015, 481405. [Google Scholar] [CrossRef] [PubMed]
- Saw, C.L.L.; Guo, Y.; Yang, A.Y.; Paredes-Gonzalez, X.; Ramirez, C.; Pung, D.; Kong, A.-N.T. The Berry Constituents Quercetin, Kaempferol, and Pterostilbene Synergistically Attenuate Reactive Oxygen Species: Involvement of the Nrf2-ARE Signaling Pathway. Food Chem. Toxicol. 2014, 72, 303–311. [Google Scholar] [CrossRef]
- Leung, H.W.C.; Lin, C.J.; Hour, M.J.; Yang, W.H.; Wang, M.Y.; Lee, H.Z. Kaempferol Induces Apoptosis in Human Lung Non-Small Carcinoma Cells Accompanied by an Induction of Antioxidant Enzymes. Food Chem. Toxicol. 2007, 45, 2005–2013. [Google Scholar] [CrossRef]
- Li, S.; Yan, T.; Deng, R.; Jiang, X.; Xiong, H.; Wang, Y.; Yu, Q.; Wang, X.; Chen, C.; Zhu, Y. Low Dose of Kaempferol Suppresses the Migration and Invasion of Triple-Negative Breast Cancer Cells by Downregulating the Activities of RhoA and Rac1. OncoTargets Ther. 2017, 10, 4809–4819. [Google Scholar] [CrossRef]
- Jeong, J.C.; Kim, M.S.; Kim, T.H.; Kim, Y.K. Kaempferol Induces Cell Death Through ERK and Akt-Dependent Down-Regulation of XIAP and Survivin in Human Glioma Cells. Neurochem. Res. 2009, 34, 991–1001. [Google Scholar] [CrossRef]
- Cho, H.J.; Park, J.H.Y. Kaempferol Induces Cell Cycle Arrest in HT-29 Human Colon Cancer Cells. J. Cancer Prev. 2013, 18, 257–263. [Google Scholar] [CrossRef]
- Hämäläinen, M.; Nieminen, R.; Vuorela, P.; Heinonen, M.; Moilanen, E. Anti-Inflammatory Effects of Flavonoids: Genistein, Kaempferol, Quercetin, and Daidzein Inhibit STAT-1 and NF-ΚB Activations, Whereas Flavone, Isorhamnetin, Naringenin, and Pelargonidin Inhibit Only NF-ΚB Activation along with Their Inhibitory Effect on INOS Expression and NO Production in Activated Macrophages. Mediat. Inflamm. 2007, 2007, 45673. [Google Scholar]
- Tang, X.; Liu, J.; Dong, W.; Li, P.; Li, L.; Hou, J.; Zheng, Y.; Lin, C.; Ren, J. Protective Effect of Kaempferol on LPS plus ATP-Induced Inflammatory Response in Cardiac Fibroblasts. Inflammation 2015, 38, 94–101. [Google Scholar] [CrossRef]
- Nam, S.-Y.; Jeong, H.-J.; Kim, H.-M. Kaempferol Impedes IL-32-Induced Monocyte-Macrophage Differentiation. Chem. Biol. Interact. 2017, 274, 107–115. [Google Scholar] [CrossRef] [PubMed]
- Peng, X.; Zhang, G.; Liao, Y.; Gong, D. Inhibitory Kinetics and Mechanism of Kaempferol on α-Glucosidase. Food Chem. 2016, 190, 207–215. [Google Scholar] [CrossRef] [PubMed]
- Hoang, M.-H.; Jia, Y.; Mok, B.; Jun, H.; Hwang, K.-Y.; Lee, S.-J. Kaempferol Ameliorates Symptoms of Metabolic Syndrome by Regulating Activities of Liver X Receptor-β. J. Nutr. Biochem. 2015, 26, 868–875. [Google Scholar] [CrossRef]
- Wu, T.; Zang, X.; He, M.; Pan, S.; Xu, X. Structure–Activity Relationship of Flavonoids on Their Anti-Escherichia Coli Activity and Inhibition of DNA Gyrase. J. Agric. Food Chem. 2013, 61, 8185–8190. [Google Scholar] [CrossRef]
- Huang, Y.H.; Huang, C.-C.; Chen, C.-C.; Yang, K.J.; Huang, C.Y. Inhibition of Staphylococcus Aureus PriA Helicase by Flavonol Kaempferol. Protein J. 2015, 34, 169–172. [Google Scholar] [CrossRef]
- Escandón, R.A.; del Campo, M.; López-Solis, R.; Obreque-Slier, E.; Toledo, H. Antibacterial Effect of Kaempferol and (−)-Epicatechin on Helicobacter Pylori. Eur. Food Res. Technol. 2016, 242, 1495–1502. [Google Scholar] [CrossRef]
- Gidaro, M.C.; Astorino, C.; Petzer, A.; Carradori, S.; Alcaro, F.; Costa, G.; Artese, A.; Rafele, G.; Russo, F.M.; Petzer, J.P.; et al. Kaempferol as Selective Human MAO-A Inhibitor: Analytical Detection in Calabrian Red Wines, Biological and Molecular Modeling Studies. J. Agric. Food Chem. 2016, 64, 1394–1400. [Google Scholar] [CrossRef]
- Mutoh, M. Suppression of Cyclooxygenase-2 Promoter-Dependent Transcriptional Activity in Colon Cancer Cells by Chemopreventive Agents with a Resorcin-Type Structure. Carcinogenesis 2000, 21, 959–963. [Google Scholar] [CrossRef]
- Song, H.; Bao, J.; Wei, Y.; Chen, Y.; Mao, X.; Li, J.; Yang, Z.; Xue, Y. Kaempferol Inhibits Gastric Cancer Tumor Growth: An in Vitro and in Vivo Study. Oncol. Rep. 2015, 33, 868–874. [Google Scholar] [CrossRef]
- Kaur, P.; Kaur, S.; Kumar, S.; Singh, P. Glycyrrhiza glabra L. Medicinal Plants as Potential Source of COX-2 Inhibitors. Am. J. Biomed. Sci. 2010, 2, 108–120. [Google Scholar] [CrossRef]
- Lu, D.; Yang, L.; Wang, F.; Zhang, G. Inhibitory Effect of Luteolin on Estrogen Biosynthesis in Human Ovarian Granulosa Cells by Suppression of Aromatase (CYP19). J. Agric. Food Chem. 2012, 60, 8411–8418. [Google Scholar] [CrossRef] [PubMed]
- Balunas, M.; Kinghorn, A. Natural Compounds with Aromatase Inhibitory Activity: An Update. Planta Med. 2010, 76, 1087–1093. [Google Scholar] [CrossRef]
Disclaimer/Publisher’s Note: The statements, opinions and data contained in all publications are solely those of the individual author(s) and contributor(s) and not of MDPI and/or the editor(s). MDPI and/or the editor(s) disclaim responsibility for any injury to people or property resulting from any ideas, methods, instructions or products referred to in the content. |
© 2025 by the authors. Licensee MDPI, Basel, Switzerland. This article is an open access article distributed under the terms and conditions of the Creative Commons Attribution (CC BY) license (https://creativecommons.org/licenses/by/4.0/).











