Synthesis of 2-Amino-4, 5-Diarylthiazole Derivatives and Evaluation of Their Anti-Candida Albicans Activity
Abstract
1. Introduction
2. Results and Discussion
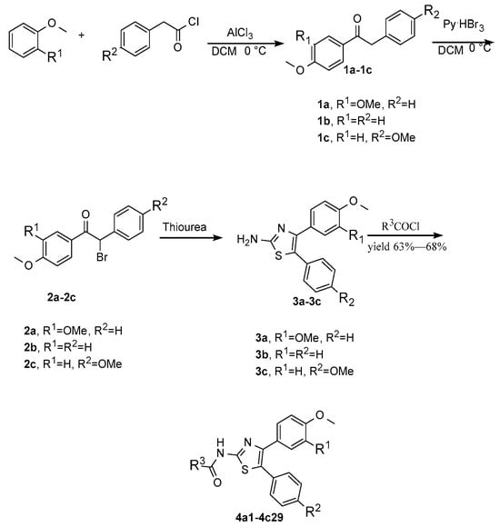
2.1. Synthetic Results
2.2. Antifungal Activity Against Candida Albicans
![]() | |
| 4a1, R1 = OCH3, R2 = H, R3 = CH3CH3CH2- | 4a2, R1 = OCH3, R2 = H, R3 = CH3(CH2)3CH2- |
| 4a3, R1 = OCH3, R2 = H, R3 = CH3(CH2)5CH2- | 4a4, R1 = OCH3, R2 = H, R3 = C6H4- |
| 4a5, R1 = OCH3, R2 = H, R3 = PhCH2CH2- | 4a6, R1 = OCH3, R2 = H, R3 = 2-Me-C6H4- |
| 4a7, R1 = OCH3, R2 = H, R3 = 3-MeC6H4- | 4a8, R1 = OCH3, R2 = H, R3 = 4-Me-C6H4- |
| 4a9, R1 = OCH3, R2 = H, R3 = 2-MeO-C6H4- | 4a10, R1 = OCH3, R2 = H, R3 = 4-MeO-C6H4- |
| 4a11, R1 = OCH3, R2 = H, R3 = 2-F-C6H4- | 4a12, R1 = OCH3, R2 = H, R3 = 3-F-C6H4- |
| 4a13, R1 = OCH3, R2 = H, R3 = 3-Cl-C6H4- | 4a14, R1 = OCH3, R2 = H, R3 = 4-Cl-C6H4- |
| 4a15, R1 = OCH3, R2 = H, R3 = 4-I-C6H4- | 4a16, R1 = OCH3, R2 = H, R3 = 4-CF3-C6H4- |
| 4a17, R1 = OCH3, R2 = H, R3 = 2-thiophenyl- | 4a18, R1 = OCH3, R2 = H, R3 = 6-Cl-nicotinoy- |
| 4b19, R1 = R2 = H, R3 = 2-MeO-C6H4- | 4b20, R1 = R2 = H, R3 = 3-Cl-C6H4- |
| 4b21, R1 = R2 = H, R3 = 4-Cl-C6H4- | 4b22, R1 = R2 = H, R3 = 6-Cl-nicotinoy- |
| 4b23, R1 = R2 = H, R3 = 1-Naphthyl- | 4c24, R1 = H, R2 = OCH3, R3 = 3-F-C6H4- |
| 4c25, R1 = H, R2 =OCH3, R3 = 4-F-C6H4- | 4c26, R1 = H, R2 = OCH3, R3 = 3-Cl-C6H4- |
| 4c27, R1 = H, R2 = OCH3, R3 = 4-Cl-C6H4- | 4c28, R1 = H, R2 = OCH3, R3 = 3-CF3-C6H4- |
| 4c29, R1 = H, R2 = OCH3, R3 = 4-CF3-C6H4- | |
2.3. Molecular Docking Against Different Proteins
2.3.1. GFAT as the Target
2.3.2. CYP51 as Target
2.3.3. Yck2 as Target
2.3.4. Hsp90 as Target
3. Materials and Methods
3.1. 1-(3,4-Dimethoxyphenyl)-2-phenylethan-1-one 1a
3.2. 2-Bromo-1-(3,4-dimethoxyphenyl)-2-phenylethan-1-one 2a
3.3. 4-(3,4-Dimethoxyphenyl)-5-phenylthiazol-2-amine 3a
3.4. N-(4-(3,4-dimethoxyphenyl)-5-phenylthiazol-2-yl)butyramide 4a1
3.5. N-(4-(3,4-dihydroxyphenyl)-5-phenylthiazol-2-yl)-4-methylbenzamide 5a8
3.6. Antifungal Activity In Vitro
Determination of MIC80 and MFC Values
4. Conclusions
Supplementary Materials
Author Contributions
Funding
Institutional Review Board Statement
Informed Consent Statement
Data Availability Statement
Acknowledgments
Conflicts of Interest
References
- Brown, G.D.; Denning, D.W.; Gow, N.A.R.; Levitz, S.M.; Netea, M.G.; White, T.C. Hidden Killers: Human Fungal Infections. Sci. Transl. Med. 2012, 4, rv113–rv165. [Google Scholar] [CrossRef]
- Brown, G.D.; Denning, D.W.; Levitz, S.M. Tackling Human Fungal Infections. Science 2012, 336, 647. [Google Scholar] [CrossRef] [PubMed]
- Perfect, J.R. The antifungal pipeline: A reality check. Nat. Rev. Drug Discov. 2017, 16, 603–616. [Google Scholar] [CrossRef]
- Lockhart, S.R.; Guarner, J. Emerging and reemerging fungal infections. Semin. Diagn. Pathol. 2019, 36, 177–181. [Google Scholar] [CrossRef]
- Yapar, N. Epidemiology and risk factors for invasive Candidiasis. Ther. Clin. Risk Manag. 2014, 10, 95–105. [Google Scholar] [CrossRef] [PubMed]
- Spampinato, C.; Leonardi, D. Candida Infections, Causes, Targets, and Resistance Mechanisms: Traditional and Alternative Antifungal Agents. BioMed Res. Int. 2013, 2013, 204237. [Google Scholar] [CrossRef]
- Nguyen, W.; Grigori, L.; Just, E.; Santos, C.; Seleem, D. The in vivo anti-Candida albicans activity of flavonoids. J. Oral Biosci. 2021, 63, 120–128. [Google Scholar] [CrossRef]
- Drummond, R.A.; Desai, J.V.; Ricotta, E.E.; Swamydas, M.; Deming, C.; Conlan, S.; Quinones, M.; Matei-Rascu, V.; Sherif, L.; Lecky, D.; et al. Long-term antibiotic exposure promotes mortality after systemic fungal infection by driving lymphocyte dysfunction and systemic escape of commensal bacteria. Cell Host Microbe 2022, 30, 1020–1033.e1026. [Google Scholar] [CrossRef] [PubMed]
- Kennedy, C.C.; Pennington, K.M.; Beam, E.; Razonable, R.R. Fungal Infection in Lung Transplantation. Semin. Respir. Crit. Care Med. 2021, 42, 471–482. [Google Scholar] [CrossRef]
- Fisher, M.C.; Alastruey-Izquierdo, A.; Berman, J.; Bicanic, T.; Bignell, E.M.; Bowyer, P.; Bromley, M.; Brüggemann, R.; Garber, G.; Cornely, O.A.; et al. Tackling the emerging threat of antifungal resistance to human health. Nat. Rev. Microbiol. 2022, 20, 557–571. [Google Scholar] [CrossRef]
- Goffeau, A. The fight against fungi. Nature 2008, 452, 541–542. [Google Scholar] [CrossRef]
- Iwata, K. Drug resistance in human pathogenic fungi. Nat. Rev. Microbiol. 1992, 8, 407–421. [Google Scholar] [CrossRef]
- Lockhart, S.R.; Chowdhary, A.; Gold, J.A.W. The rapid emergence of antifungal-resistant human-pathogenic fungi. Nat. Rev. Microbiol. 2023, 21, 818–832. [Google Scholar] [CrossRef] [PubMed]
- Campoy, S.; Adrio, J.L. Antifungals. Biochem. Pharmacol. 2017, 133, 86–96. [Google Scholar] [CrossRef] [PubMed]
- Singh, R.P.; Narang, R.K.; Singh, A. Recent Progression in Nanocarrier based Techniques to Address Fungal Infections and Patent Status in Drug Development Process. Recent Pat. Nanotech. 2024, 18, 183–204. [Google Scholar] [CrossRef] [PubMed]
- Ma, Z.; Wang, X.; Li, C. Strategies of Drug Delivery for Deep Fungal Infection: A Review. Pharm. Nanotechnol. 2020, 8, 372–390. [Google Scholar] [CrossRef]
- Petrou, A.; Fesatidou, M.; Geronikaki, A. Thiazole Ring—A Biologically Active Scaffold. Molecules 2021, 26, 3166. [Google Scholar] [CrossRef]
- Long, S.S. Cefixime. Pediatr. Ann. 1993, 22, 177–186. [Google Scholar] [CrossRef]
- Shah, N.P. Dasatinib. Drugs Today 2007, 43, 5–12. [Google Scholar] [CrossRef]
- Parashar, A.; Arya, R. Nitazoxanide. Indian Pediatr. 2005, 42, 1161–1165. [Google Scholar]
- Kirchgessner, M.S. Meloxicam. J. Exot. Pet Med. 2006, 15, 281–283. [Google Scholar] [CrossRef]
- Reinel, D. Dermatomycoses, diagnostic and therapeutic procedures—Presentation during YORK PHARMA: ’Abafungin, leading substance of a new era of topical antifungal therapy’. Mycoses 2008, 51, 404–405. [Google Scholar]
- Vehreschild, M. Isavuconazole. Mycoses 2017, 60, 49. [Google Scholar]
- Borelli, C.; Schaller, M.; Niewerth, M.; Nocker, K.; Baasner, B.; Berg, D.; Tiemann, R.; Tietjen, K.; Fugmann, B.; Lang-Fugmann, S.; et al. Modes of Action of the New Arylguanidine Abafungin beyond Interference with Ergosterol Biosynthesis and in vitro Activity against Medically Important Fungi. Chemotherapy 2008, 54, 245–259. [Google Scholar] [CrossRef]
- Gann, P.H.; Neva, F.A.; Gam, A.A. A randomized trial of single-dose and 2-dose ivermectin versus thiabendazole for treatment of strongyloidiasis. J. Infect. Dis. 1994, 169, 1076–1079. [Google Scholar] [CrossRef]
- Devereux, M.; Shea, D.O.; Kellett, A.; McCann, M.; Walsh, M.; Egan, D.; Deegan, C.; Kgdziora, K.; Rosair, G.; Mülller-Bunz, H. Synthesis, X-ray crystal structures and biomimetic and anticancer activities of novel copper(II)benzoate complexes incorporating 2-(4′-thiazolyl)benzimidazole (thiabendazole), 2-(2-pyridyl)benzimidazole and 1,10-phenanthroline as chelating nitrogen donor ligands. J. Inorg. Biochem. 2007, 101, 881–892. [Google Scholar] [CrossRef] [PubMed]
- Bikobo, D.S.N.; Vodnar, D.C.; Stana, A.; Tiperciuc, B.; Nastasă, C.; Douchet, M.; Oniga, O. Synthesis of 2-phenylamino-thiazole derivatives as antimicrobial agents. J. Saudi Chem. Soc. 2017, 21, 861–868. [Google Scholar] [CrossRef]
- Lino, C.I.; de Souza, I.G.; Borelli, B.M.; Matos, T.T.S.; Teixeira, I.N.S.; Ramos, J.P.; de Souza Fagundes, E.M.; de Oliveira Fernandes, P.; Maltarollo, V.G.; Johann, S.; et al. Synthesis, molecular modeling studies and evaluation of antifungal activity of a novel series of thiazole derivatives. Eur. J. Med. Chem. 2018, 151, 248–260. [Google Scholar] [CrossRef]
- Kamat, V.; Santosh, R.; Poojary, B.; Nayak, S.P.; Kumar, B.K.; Sankaranarayanan, M.; Faheem; Khanapure, S.; Barretto, D.A.; Vootla, S.K.; et al. Pyridine- and Thiazole-Based Hydrazides with Promising Anti-inflammatory and Antimicrobial Activities along with Their In Silico Studies. ACS Omega 2020, 5, 25228–25239. [Google Scholar] [CrossRef]
- Arora, P.; Narang, R.; Bhatia, S.; Nayak, S.K.; Singh, S.K.; Narasimhan, B. Synthesis, molecular docking and QSAR studies of 2, 4-disubstituted thiazoles as antimicrobial agents. J. Appl. Pharm. Sci. 2015, 5, 28–42. [Google Scholar] [CrossRef]
- Pricopie, A.-I.; Focșan, M.; Ionuț, I.; Marc, G.; Vlase, L.; Găină, L.-I.; Vodnar, D.C.; Simon, E.; Barta, G.; Pîrnău, A.; et al. Novel 2,4-Disubstituted-1,3-Thiazole Derivatives:Synthesis, Anti-CandidaActivity Evaluation and Interaction with Bovine Serum Albumine. Molecules 2020, 25, 1079. [Google Scholar] [CrossRef] [PubMed]
- Caplan, T.; Lorente-Macías, Á.; Stogios, P.J.; Evdokimova, E.; Hyde, S.; Wellington, M.A.; Liston, S.; Iyer, K.R.; Puumala, E.; Shekhar-Guturja, T.; et al. Overcoming Fungal Echinocandin Resistance through Inhibition of the Non-essential Stress Kinase Yck2. Cell Chem. Biol. 2020, 27, 269–282.e265. [Google Scholar] [CrossRef] [PubMed]
- Liu, N.; Tu, J.; Huang, Y.; Yang, W.; Wang, Q.; Li, Z.; Sheng, C. Target- and prodrug-based design for fungal diseases and cancer-associated fungal infections. Adv. Drug Deliv. Rev. 2023, 197, 114819. [Google Scholar] [CrossRef]
- Fan, M.; Feng, Q.; Yang, W.; Peng, Z.; Wang, G. Thiazole-benzamide derivatives as α-glucosidase inhibitors: Synthesis, kinetics study, molecular docking, and in vivo evaluation. J. Mol. Struct. 2023, 1291, 136011. [Google Scholar] [CrossRef]
- Greene, T.W.; Wuts, P.G.M. Protection for the Hydroxyl Group, Including 1,2- and 1,3-Diols. In Protective Groups in Organic Synthesis; John Wiley and Sons, Inc.: Hoboken, NJ, USA, 1999; pp. 17–245. [Google Scholar]
- Espinel-Ingroff, A.; Canton, E.; Peman, J.; Rinaldi, M.G.; Fothergill, A.W. Comparison of 24-Hour and 48-Hour Voriconazole Mics as Determined by the Clinical and Laboratory Standards Institute Broth Microdilution Method (M27-A3 Document) in Three Laboratories: Results Obtained with 2162 Clinical Isolates of Candida spp. and Other Yeasts. J. Clin. Microbiol. 2009, 47, 2766–2771. [Google Scholar]
- Iqbal, N.J.; Boey, A.; Park, B.J.; Brandt, M.E. Determination of in Vitro Susceptibility of Ocular Fusarium spp. Isolates from Keratitis Cases and Comparison of Clinical and Laboratory Standards Institute M38-A2 and E Test Methods. Diagn. Icrobiol. Infect. Dis. 2008, 62, 348–350. [Google Scholar]
- Zhu, P.; Zheng, J.; Yan, J.; Li, Z.; Li, X.; Geng, H. Design, Synthesis, and Biological Evaluation of N′-Phenylhydrazides as Potential Antifungal Agents. Int. J. Mol. Sci. 2023, 24, 15120. [Google Scholar] [CrossRef]








| Compound | FLC-Sensitive Strain | FLC-Resistant Strains | |||
|---|---|---|---|---|---|
| 186382 | 4935 | 5122 | 5172 | 5272 | |
| 4a1 | 167 | >334 | >334 | >334 | 334 |
| 4a8 | 37 | 148 | 74 | 296 | 148 |
| 4b19 | 76 | 307 | >307 | >307 | >307 |
| 4b23 | 73 | >292 | 292 | 146 | 292 |
| FLC | 7 | 26 | 52 | 14 | 52 |
| Compound | FLC-Sensitive Strain | FLC-Resistant Strains | |||
|---|---|---|---|---|---|
| 186382 | 4935 | 5122 | 5172 | 4935 | |
| 5a8 | 9 | 19 | 39 | 39 | 39 |
| FLC | 7 | 26 | 52 | 14 | 52 |
Disclaimer/Publisher’s Note: The statements, opinions and data contained in all publications are solely those of the individual author(s) and contributor(s) and not of MDPI and/or the editor(s). MDPI and/or the editor(s) disclaim responsibility for any injury to people or property resulting from any ideas, methods, instructions or products referred to in the content. |
© 2025 by the authors. Licensee MDPI, Basel, Switzerland. This article is an open access article distributed under the terms and conditions of the Creative Commons Attribution (CC BY) license (https://creativecommons.org/licenses/by/4.0/).
Share and Cite
Gao, D.; Shi, L.; Huang, Y.; Lv, Y.; Yang, X.; Du, Z. Synthesis of 2-Amino-4, 5-Diarylthiazole Derivatives and Evaluation of Their Anti-Candida Albicans Activity. Molecules 2025, 30, 1643. https://doi.org/10.3390/molecules30071643
Gao D, Shi L, Huang Y, Lv Y, Yang X, Du Z. Synthesis of 2-Amino-4, 5-Diarylthiazole Derivatives and Evaluation of Their Anti-Candida Albicans Activity. Molecules. 2025; 30(7):1643. https://doi.org/10.3390/molecules30071643
Chicago/Turabian StyleGao, Dongmei, Lele Shi, Yuhang Huang, Yingmei Lv, Xuan Yang, and Zhenting Du. 2025. "Synthesis of 2-Amino-4, 5-Diarylthiazole Derivatives and Evaluation of Their Anti-Candida Albicans Activity" Molecules 30, no. 7: 1643. https://doi.org/10.3390/molecules30071643
APA StyleGao, D., Shi, L., Huang, Y., Lv, Y., Yang, X., & Du, Z. (2025). Synthesis of 2-Amino-4, 5-Diarylthiazole Derivatives and Evaluation of Their Anti-Candida Albicans Activity. Molecules, 30(7), 1643. https://doi.org/10.3390/molecules30071643


