Single and Combined Effects of Aged Polyethylene Microplastics and Cadmium on Nitrogen Species in Stormwater Filtration Systems: Perspectives from Treatment Efficiency, Key Microbial Communities, and Nitrogen Cycling Functional Genes
Abstract
1. Introduction
2. Results and Discussion
2.1. The Cd Takeaway Efficiency Under Aged PE Contamination in Filtration Systems
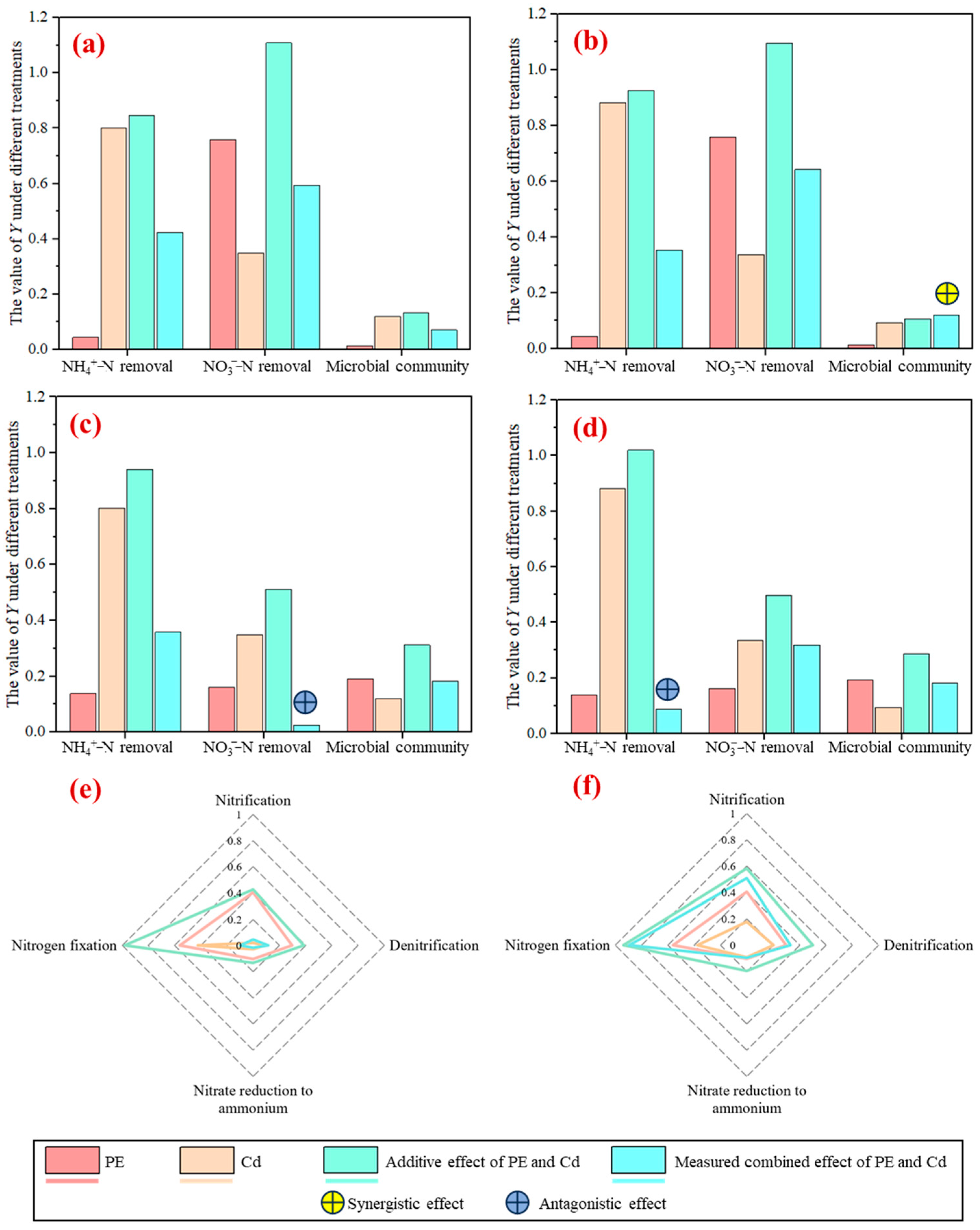
2.2. The Single and Combined Impact of PE and Cd on Nitrogen Removal
2.3. Microbial Communities Under Single and Combined Contamination of PE and Cd
2.4. Predicted Functional Genes in the Nitrogen Cycling in Filtration Systems
2.5. Synergistic and Antagonistic Effect Between PE and Cd
3. Materials and Methods
3.1. Stormwater Filtration System Setup and Contamination Scenarios
3.2. Nitrogen Removal Efficiency in Filtration Systems
3.3. Microbial Community Detection
3.4. Metagenomic Analysis
3.5. Analysis on the Interaction Between PE and Cd
4. Conclusions
Supplementary Materials
Author Contributions
Funding
Institutional Review Board Statement
Informed Consent Statement
Data Availability Statement
Acknowledgments
Conflicts of Interest
Abbreviations
| PE | Polyethylene microplastic |
| Cd | Cadmium |
| NH4+–N | Ammonium nitrogen |
| NO3−–N | Nitrate nitrogen |
| DNRA | Dissimilatory nitrate reduction to ammonium |
| ANRA | Assimilatory nitrate reduction to ammonium |
References
- Shahzad, H.; Myers, B.; Boland, J.; Hewa, G.; Johnson, T. Stormwater runoff reduction benefits of distributed curbside infiltration devices in an urban catchment. Water Res. 2022, 215, 118273. [Google Scholar]
- Zhang, K.; Parolari, A.J. Impact of stormwater infiltration on rainfall-derived inflow and infiltration: A physically based surface–subsurface urban hydrologic model. J. Hydrol. 2022, 610, 127938. [Google Scholar]
- Zhao, J.; Shu, L.; Wu, M.; Han, J.; Luo, S.; Tang, J. Stormwater runoff pollution control performance of permeable concrete pavement and constructed wetland combined system: Toward on-site reuse. Water Sci. Technol. 2023, 88, 1345–1357. [Google Scholar] [CrossRef]
- Shokri, M.; Kibler, K.M.; Hagglund, C.; Corrado, A.; Wang, D.; Beazley, M.; Wanielista, M. Hydraulic and nutrient removal performance of vegetated filter strips with engineered infiltration media for treatment of roadway runoff. J. Environ. Manag. 2021, 300, 113747. [Google Scholar]
- Fan, G.; Ning, R.; Huang, K.; Wang, S.; You, Y.; Du, B.; Yan, Z. Hydrologic characteristics and nitrogen removal performance by different formulated soil medium of bioretention system. J. Clean. Prod. 2021, 290, 125873. [Google Scholar] [CrossRef]
- Smyth, K.; Drake, J.; Li, Y.; Rochman, C.; Van Seters, T.; Passeport, E. Bioretention cells remove microplastics from urban stormwater. Water Res. 2021, 191, 116785. [Google Scholar]
- Lin, Y.; Wang, Y.; Ho, Y.W.; Fang, J.K.H.; Li, Y. Characterization and ecological risks of microplastics in urban road runoff. Sci. Total Environ. 2024, 954, 176590. [Google Scholar] [CrossRef]
- Lee, Y.K.; Yoo, H.Y.; Ko, K.S.; He, W.; Karanfil, T.; Hur, J. Tracing microplastic (MP)-derived dissolved organic matter in the infiltration of MP-contaminated sand system and its disinfection byproducts formation. Water Res. 2022, 221, 118806. [Google Scholar]
- Kang, W.; Sun, S.; Hu, X. Microplastics trigger the Matthew effect on nitrogen assimilation in marine diatoms at an environmentally relevant concentration. Water Res. 2023, 233, 119762. [Google Scholar]
- Liu, Z.; Cai, L.; Dong, Q.; Zhao, X.; Han, J. Effects of microplastics on water infiltration in agricultural soil on the Loess Plateau, China. Agric. Water Manag. 2022, 271, 107818. [Google Scholar]
- Men, C.; Ma, Y.; Liu, J.; Zhang, Y.; Li, Z.; Zuo, J. The difference between tire wear particles and polyethylene microplastics in stormwater filtration systems: Perspectives from aging process, conventional pollutants removal and microbial communities. Environ. Pollut. 2024, 361, 124736. [Google Scholar] [CrossRef]
- Jiang, X.; Chen, H.; Liao, Y.; Ye, Z.; Li, M.; Klobučar, G. Ecotoxicity and genotoxicity of polystyrene microplastics on higher plant Vicia faba. Environ. Pollut. 2019, 250, 831–838. [Google Scholar] [PubMed]
- Feng, H.; Xing, X.; Du, J.; Jiao, S.; Yu, M.; Wang, W. Concentration- and size-dependent influences of microplastics on soil hydraulic properties and water flow. Eur. J. Soil Sci. 2025, 76, 70049. [Google Scholar]
- Li, K.; Xiu, X.; Hao, W. Microplastics in soils: Production, behavior process, impact on soil organisms, and related toxicity mechanisms. Chemosphere 2024, 350, 141060. [Google Scholar] [PubMed]
- Yang, J.; Zhang, T.; Ma, S.; Shang, J.; Li, L.; Ning, Y.; Zhao, X. Enhancing microplastic removal and nitrogen mitigation in constructed wetlands: An earthworm-centric perspective. J. Hazard. Mater. 2025, 489, 137540. [Google Scholar]
- Zhou, Z.; Hua, J.; Xue, J.; Yu, C. Differential impacts of polyethylene microplastic and additives on soil nitrogen cycling: A deeper dive into microbial interactions and transformation mechanisms. Sci. Total Environ. 2024, 942, 173771. [Google Scholar]
- Liu, Y.; Chen, S.; Zhou, P.; Li, H.; Wan, Q.; Lu, Y.; Li, B. Differential impacts of microplastics on carbon and nitrogen cycling in plant-soil systems: A meta-analysis. Sci. Total Environ. 2024, 948, 174655. [Google Scholar]
- Zhao, Y.; Hu, Z.; Hao, Z.; Xie, H.; Liu, D.; Yan, P.; Xu, H.; Wu, H.; Zhang, J. Revealing the size effect mechanisms of micro(nano)plastics on nitrogen removal performance of constructed wetland. J. Hazard. Mater. 2024, 480, 136409. [Google Scholar]
- Göbel, P.; Dierkes, C.; Coldewey, W.G. Storm water runoff concentration matrix for urban areas. J. Contam. Hydrol. 2007, 91, 26–42. [Google Scholar]
- Yu, J.; Yu, H.; Fang, H.; Lei, M.; Li, S.; Chi, J. Pollution characteristics of lead, zinc, arsenic, and cadmium in short-term storm water roof runoff in a suburban area. Toxicol. Environ. Chem. 2014, 96, 1034–1046. [Google Scholar]
- Soltaninia, S.; Eskandaripour, M.; Ahmadi, Z.; Ahmadi, S.; Eslamian, S. The hidden threat of heavy metal leaching in urban runoff: Investigating the long-term consequences of land use changes on human health risk exposure. Environ. Res. 2024, 251, 118668. [Google Scholar] [PubMed]
- Muthanna, T.M.; Viklander, M.; Blecken, G.; Thorolfsson, S.T. Snowmelt pollutant removal in bioretention areas. Water Res. 2007, 41, 4061–4072. [Google Scholar] [PubMed]
- Elrys, A.S.; Wen, Y.; Feng, D.; El-Mekkawy, R.M.; Kong, M.; Qin, X.; Lu, Q.; Dan, X.; Zhu, Q.; Tang, S.; et al. Cadmium inhibits carbon and nitrogen cycling through soil microbial biomass and reduces soil nitrogen availability. J. Hazard. Mater. 2025, 489, 137524. [Google Scholar] [PubMed]
- Wang, G.; Yu, G.; Chi, T.; Li, Y.; Zhang, Y.; Wang, J.; Li, P.; Liu, J.; Yu, Z.; Wang, Q.; et al. Insights into the enhanced effect of biochar on cadmium removal in vertical flow constructed wetlands. J. Hazard. Mater. 2023, 443, 130148. [Google Scholar]
- Wu, S.; Cai, C.; Wang, W.; Bao, M.; Huang, J.; Dai, Y.; Wang, Y.; Cheng, S. The interaction of microplastic and heavy metal in bioretention cell: Contributions of water-soil-plant system. Environ. Pollut. 2024, 361, 124853. [Google Scholar]
- Jakubowicz, P.; Fitobor, K.; Gajewska, M.; Drewnowska, M. Detection and removal of priority substances and emerging pollutants from stormwater: Case study of the Kolobrzeska collector, Gdansk, Poland. Sustainability 2022, 14, 1105. [Google Scholar]
- Jiang, C.; Li, J.; Hu, Y.; Yao, Y.; Li, H. Construction of water-soil-plant system for rainfall vertical connection in the concept of sponge city: A review. J. Hydrol. 2022, 605, 127327. [Google Scholar]
- Xu, Z.; Bai, X.; Li, Y.; Weng, Y.; Li, F. New insights into the decrease in Cd2+ bioavailability in sediments by microplastics: Role of geochemical properties. J. Hazard. Mater. 2023, 442, 130103. [Google Scholar]
- Huang, F.; Chen, L.; Yang, X.; Jeyakumar, P.; Wang, Z.; Sun, S.; Qiu, T.; Zeng, Y.; Chen, J.; Huang, M.; et al. Unveiling the impacts of microplastics on cadmium transfer in the soil-plant-human system: A review. J. Hazard. Mater. 2024, 477, 135221. [Google Scholar]
- Guo, X.; Wang, J. Projecting the sorption capacity of heavy metal ions onto microplastics in global aquatic environments using artificial neural networks. J. Hazard. Mater. 2021, 402, 123709. [Google Scholar]
- Wang, Y.; Zhang, F.; Yang, L.; Zhang, G.; Wang, H.; Zhu, S.; Zhang, H.; Guo, T. Synergy of plastics and heavy metals weakened soil bacterial diversity by regulating microbial functions in the Qinghai-Tibet Plateau. J. Hazard. Mater. 2025, 487, 137241. [Google Scholar] [PubMed]
- Lan, T.; Dong, X.; Liu, S.; Zhou, M.; Li, Y.; Gao, X. Coexistence of microplastics and Cd alters soil N transformation by affecting enzyme activity and ammonia oxidizer abundance. Environ. Pollut. 2024, 342, 123073. [Google Scholar] [CrossRef] [PubMed]
- Wang, Q.Y.; Wang, Q.R.; Wang, T.Y.; Zhang, S.Q.; Yu, H.W. Impacts of polypropylene microplastics on the distribution of cadmium, enzyme activities, and bacterial community in black soil at the aggregate level. Sci. Total Environ. 2024, 917, 170541. [Google Scholar] [PubMed]
- Zeb, A.; Liu, W.; Meng, L.; Lian, J.; Wang, Q.; Lian, Y.; Chen, C.; Wu, J. Effects of polyester microfibers (PMFs) and cadmium on lettuce (Lactuca sativa) and the rhizospheric microbial communities: A study involving physio-biochemical properties and metabolomic profiles. J. Hazard. Mater. 2022, 424, 127405. [Google Scholar]
- Zhang, S.; Han, B.; Sun, Y.; Wang, F. Microplastics influence the adsorption and desorption characteristics of Cd in an agricultural soil. J. Hazard. Mater. 2020, 388, 121775. [Google Scholar]
- Meng, Z.; Wu, J.; Huang, S.; Xin, L.; Zhao, Q. Competitive adsorption behaviors and mechanisms of Cd, Ni, and Cu by biochar when coexisting with microplastics under single, binary, and ternary systems. Sci. Total Environ. 2024, 913, 169524. [Google Scholar]
- Qiu, Y.; Zhou, S.; Zhang, C.; Zhou, Y.; Qin, W. Soil microplastic characteristics and the effects on soil properties and biota: A systematic review and meta-analysis. Environ. Pollut. 2022, 313, 120183. [Google Scholar]
- Zhou, Z.; Hua, J.; Xue, J. Polyethylene microplastic and soil nitrogen dynamics: Unraveling the links between functional genes, microbial communities, and transformation processes. J. Hazard. Mater. 2023, 458, 131857. [Google Scholar] [CrossRef]
- Porter, S.K.; Scheckel, K.G.; Impellitteri, C.A.; Ryan, J.A. Toxic metals in the environment: Thermodynamic considerations for possible immobilization strategies for Pb, Cd, As, and Hg. Crit. Rev. Environ. Sci. Technol. 2004, 34, 495–604. [Google Scholar]
- Ding, W.; Qin, H.; Wang, F.; Xia, C. Leaching sources and mechanisms of different nitrogen species from bioretention systems. Water Res. 2024, 260, 121911. [Google Scholar]
- Yu, X.; Zhao, J.; Liu, X.; Sun, L.; Tian, J.; Wu, N. Cadmium pollution impact on the bacterial community structure of arable soil and the isolation of the cadmium resistant bacteria. Front. Microbiol. 2021, 12, 698834. [Google Scholar] [CrossRef] [PubMed]
- Liu, H.; Yang, Y.; Yang, Y.; Zhong, X.; Lv, J. Dynamics of fungal and bacterial communities in different types of soil ageing with different dosages of cadmium. Ecotoxicol. Environ. Saf. 2022, 242, 113860. [Google Scholar] [CrossRef] [PubMed]
- Sen, S.K.; Raut, S.; Dora, T.K.; Mohapatra, P.K. Contribution of hot spring bacterial consortium in cadmium and lead bioremediation through quadratic programming model. J. Hazard. Mater. 2014, 265, 47–60. [Google Scholar] [CrossRef] [PubMed]
- Matyar, F.; Kaya, A.; Dinçer, S. Antibacterial agents and heavy metal resistance in Gram-negative bacteria isolated from seawater, shrimp and sediment in Iskenderun Bay, Turkey. Sci. Total Environ. 2008, 407, 279–285. [Google Scholar] [CrossRef]
- Qiu, G.; Wang, Q.; Wang, Q.; Wang, T.; Kang, Z.; Zeng, Y.; Yang, X.; Song, N.; Zhang, S.; Han, X.; et al. Effects of polyethylene microplastics on properties, enzyme activities, and the succession of microbial community in Mollisol: At the aggregate level. Environ. Res. 2023, 237, 116976. [Google Scholar]
- Bajo, K.; Romano, R.; Kolvenbach, B.; Nazemi, S.A.; Shahgaldian, P.; Corvini, P.F.X.; Fava, F.; Raddadi, N. Biodegradation of untreated plasticizers-free linear low-density polyethylene films by marine bacteria. Mar. Pollut. Bull. 2024, 209, 117115. [Google Scholar] [CrossRef]
- Szumigaj, J.; Zakowska, Z.; Klimek, L. Exopolysaccharide production by Bacillus strains colonizing packaging foils. Pol. J. Microbiol. 2008, 57, 281–287. [Google Scholar]
- Gupta, K.K.; Sharma, K.K.; Chandra, H. Micrococcus luteus strain CGK112 isolated from cow dung demonstrated efficient biofilm-forming ability and degradation potential toward high-density polyethylene (HDPE). Arch. Microbiol. 2022, 204, 402. [Google Scholar] [CrossRef]
- Hong, J.; Ko, D.; Hwang, Y. Disulfide polymer grafted polypropylene/polyethylene filter media for selective cadmium removal. J. Hazard. Mater. 2020, 399, 123060. [Google Scholar] [CrossRef]
- Guo, J.J.; Li, F.; Xiao, H.C.; Liu, B.L.; Feng, L.N.; Yu, P.F.; Meng, C.; Zhao, H.M.; Feng, N.X.; Li, Y.W.; et al. Polyethylene and polypropylene microplastics reduce chemisorption of cadmium in paddy soil and increase its bioaccessibility and bioavailability. J. Hazard. Mater. 2023, 449, 130994. [Google Scholar] [CrossRef]
- Yu, H.; Zhang, Z.; Zhang, Y.; Fan, P.; Xi, B.; Tan, W. Metal type and aggregate microenvironment govern the response sequence of speciation transformation of different heavy metals to microplastics in soil. Sci. Total Environ. 2021, 752, 141956. [Google Scholar] [PubMed]
- Deng, R.; Huang, D.; Xue, W.; Lei, L.; Zhou, C.; Chen, S.; Wen, X.; Liu, X. How does the microenvironment change during the stabilization of cadmium in exogenous remediation sediment? J. Hazard. Mater. 2020, 398, 122836. [Google Scholar] [CrossRef] [PubMed]
- Tudi, M.; Yang, L.; Yu, J.; Wei, B.; Xue, Y.; Wang, F.; Li, L.; Yu, Q.J.; Ruan, H.D.; Li, Q.; et al. Leaching characteristics and potential risk of heavy metals from drip irrigation pipes and mulch substrate in agricultural ecosystems. Sci. Total Environ. 2023, 882, 163573. [Google Scholar] [PubMed]
- Xu, W.; Lam, C.; Wang, Y.; Wan, S.H.; Ho, P.H.; Myung, J.; Yung, C.C.M. Temporal succession of marine microbes drives plastisphere community convergence in subtropical coastal waters. Environ. Pollut. 2025, 367, 125572. [Google Scholar]
- Veach, A.M.; Zeglin, L.H. Historical drought affects microbial population dynamics and activity during soil drying and re-wet. Microb. Ecol. 2020, 79, 662–674. [Google Scholar]
- Zhu, H.; Li, W.; Chen, X.; Mu, H.; Hu, K.; Ren, S.; Peng, Y.; Zhao, R.; Wang, Y. Effects of sponge iron dosage on nitrogen removal performance and microbial community structure in sequencing batch reactors. Bioresour. Technol. 2023, 368, 128307. [Google Scholar] [CrossRef]
- Xue, Z.; Zhang, T.; Sun, Y.; Yin, T.; Cao, J.; Fang, F.; Feng, Q.; Luo, J. Integrated moving bed biofilm reactor with partial denitrification-anammox for promoted nitrogen removal: Layered biofilm structure formation and symbiotic functional microbes. Sci. Total Environ. 2022, 839, 156339. [Google Scholar]
- Miyakoshi, M.; Morita, T.; Kobayashi, A.; Berger, A.; Takahashi, H.; Gotoh, Y.; Hayashi, T.; Tanaka, K. Glutamine synthetase mRNA releases sRNA from its 3′UTR to regulate carbon/nitrogen metabolic balance in Enterobacteriaceae. eLife 2022, 11, e82411. [Google Scholar] [CrossRef]
- Dong, Y.; Zhang, X.; Zou, L.A.; Wang, Z.; Chen, F.; Li, L. Isolation and identification of a cold-tolerant and aerobic denitrifying bacterium Aeromonas sp. and optimization of denitrification conditions. Acta Microbiol. Sin. 2022, 62, 2038–2052. [Google Scholar]
- Ren, X.; Niu, H.; Yuan, J.; Duan, Y.; Fan, X. Construction of acid-resistant denitrifying mixed bacterial consortium and enhanced biological nitrogen removal. China Environ. Sci. 2024, 44, 6708–6720. [Google Scholar]
- Wang, F.; Zhang, X.; Zhang, S.; Zhang, S.; Adams, C.A.; Sun, Y. Effects of co-contamination of microplastics and Cd on plant growth and Cd accumulation. Toxics 2020, 8, 36. [Google Scholar] [CrossRef]
- Machado, A.A.d.S.; Lau, C.W.; Kloas, W.; Bergmann, J.; Bachelér, J.B.; Faltin, E.; Becker, R.; Goerlich, A.S.; Rillig, M.C. Microplastics can change soil properties and affect plant performance. Environ. Sci. Technol. 2019, 53, 6044–6052. [Google Scholar] [CrossRef] [PubMed]
- Zhu, D.; Ma, J.; Li, G.; Rillig, M.C.; Zhu, Y.G. Soil plastispheres as hotspots of antibiotic resistance genes and potential pathogens. ISME J. 2022, 16, 521–532. [Google Scholar] [CrossRef]
- Wang, C.; Wang, L.; Ok, Y.S.; Tsang, D.C.W.; Hou, D. Soil plastisphere: Exploration methods, influencing factors, and ecological insights. J. Hazard. Mater. 2022, 430, 128503. [Google Scholar] [CrossRef] [PubMed]
- Zhang, Y.; Zhao, S.Y.; Zhang, R.H.; Li, B.L.; Li, Y.Y.; Han, H.; Duan, P.F.; Chen, Z.J. Screening of plant growth-promoting rhizobacteria helps alleviate the joint toxicity of PVC+Cd pollution in sorghum plants. Environ. Pollut. 2024, 355, 124201. [Google Scholar] [CrossRef] [PubMed]
- Lu, X.; Guo, Y. Detection of trace cadmium in soil by potassium iodide-Cd(II)-Rhodamine B ion association spectrophotometry. Appl. Chem. Ind. 2018, 47, 2550–2553. [Google Scholar]
- Shafiq, M.; Iqbal, M.Z.; Arayne, M.S.; Athar, M. Biomonitoring of heavy metal contamination in Pongamia pinnata and Peltophorum pterocarpugrowing in the polluted environment of Karachi, Pakistan. J. Appl. Bot. Food Qual. 2012, 85, 120–125. [Google Scholar]
- You, Z.; Zhang, L.; Pan, S.Y.; Chiang, P.C.; Pei, S.; Zhang, S. Performance evaluation of modified bioretention systems with alkaline solid wastes for enhanced nutrient removal from stormwater runoff. Water Res. 2019, 161, 61–73. [Google Scholar] [CrossRef]
- Zhang, H.; Zhang, X.; Liu, J.; Zhang, L.; Li, G.; Zhang, Z.; Gong, Y.; Li, H.; Li, J. Coal gangue modified bioretention system for runoff pollutants removal and the biological characteristics. J. Environ. Manag. 2022, 314, 115044. [Google Scholar] [CrossRef]
- He, W.; Lin, X.; Shi, Z.; Yu, J.; Ke, S.; Lu, X.; Deng, Z.; Wu, Y.; Wang, L.; He, Q.; et al. Nutrient removal performance and microbial community analysis of amended bioretention column for rainwater runoff treatment. J. Clean. Prod. 2022, 374, 133974. [Google Scholar] [CrossRef]
- Wang, Y.; Hu, S.; Tu, J.; Zeng, Q.; Zhang, H.; Huang, X.; Gong, Y.; Zhang, H. Verification and evaluation of quantitative precipitation forecast for Guangdong Province during 2016–2020. J. Trop. Meteorol. 2021, 37, 154–165. [Google Scholar]
- Huang, C.; Zhang, W.; Shen, Z.; Li, M.; Yin, J.; Tang, Y.; Zhou, X.; Zhu, X.; Sun, Z. The association between alpha diversity of gut microbiota, neuroimaging markers and cognitive function in cerebral small vessel disease. Brain Res. 2024, 1827, 148757. [Google Scholar] [PubMed]







| Scenario | Chao1 | Shannon | Simpson | ||||||
|---|---|---|---|---|---|---|---|---|---|
| 10th Day | 20th Day | 30th Day | 10th Day | 20th Day | 30th Day | 10th Day | 20th Day | 30th Day | |
| Control | 754.06 | 673.55 | 784.70 | 7.08 | 5.94 | 7.06 | 0.98 | 0.90 | 0.98 |
| Cd50 | 493.08 | 487.36 | 661.23 | 6.10 | 5.61 | 6.55 | 0.94 | 0.93 | 0.96 |
| Cd250 | 401.37 | 501.00 | 778.57 | 5.71 | 6.30 | 7.38 | 0.91 | 0.95 | 0.98 |
| PE0.1 | 514.78 | 648.00 | 1006.28 | 5.75 | 6.79 | 7.75 | 0.88 | 0.97 | 0.98 |
| Cd50 + PE0.1 | 492.90 | 576.73 | 894.72 | 6.89 | 6.97 | 7.78 | 0.97 | 0.98 | 0.98 |
| Cd250 + PE0.1 | 374.59 | 810.94 | 463.53 | 5.39 | 7.18 | 5.81 | 0.87 | 0.98 | 0.94 |
| PE5 | 375.62 | 524.03 | 489.27 | 5.76 | 6.21 | 4.87 | 0.95 | 0.96 | 0.83 |
| Cd50 + PE5 | 497.09 | 491.50 | 376.26 | 6.27 | 6.25 | 4.66 | 0.96 | 0.96 | 0.88 |
| Cd250 + PE5 | 386.50 | 608.69 | 344.67 | 5.83 | 6.51 | 5.00 | 0.94 | 0.97 | 0.91 |
Disclaimer/Publisher’s Note: The statements, opinions and data contained in all publications are solely those of the individual author(s) and contributor(s) and not of MDPI and/or the editor(s). MDPI and/or the editor(s) disclaim responsibility for any injury to people or property resulting from any ideas, methods, instructions or products referred to in the content. |
© 2025 by the authors. Licensee MDPI, Basel, Switzerland. This article is an open access article distributed under the terms and conditions of the Creative Commons Attribution (CC BY) license (https://creativecommons.org/licenses/by/4.0/).
Share and Cite
Men, C.; Pan, Z.; Liu, J.; Miao, S.; Yuan, X.; Zhang, Y.; Yang, N.; Cheng, S.; Li, Z.; Zuo, J. Single and Combined Effects of Aged Polyethylene Microplastics and Cadmium on Nitrogen Species in Stormwater Filtration Systems: Perspectives from Treatment Efficiency, Key Microbial Communities, and Nitrogen Cycling Functional Genes. Molecules 2025, 30, 1464. https://doi.org/10.3390/molecules30071464
Men C, Pan Z, Liu J, Miao S, Yuan X, Zhang Y, Yang N, Cheng S, Li Z, Zuo J. Single and Combined Effects of Aged Polyethylene Microplastics and Cadmium on Nitrogen Species in Stormwater Filtration Systems: Perspectives from Treatment Efficiency, Key Microbial Communities, and Nitrogen Cycling Functional Genes. Molecules. 2025; 30(7):1464. https://doi.org/10.3390/molecules30071464
Chicago/Turabian StyleMen, Cong, Zixin Pan, Jiayao Liu, Sun Miao, Xin Yuan, Yanyan Zhang, Nina Yang, Shikun Cheng, Zifu Li, and Jiane Zuo. 2025. "Single and Combined Effects of Aged Polyethylene Microplastics and Cadmium on Nitrogen Species in Stormwater Filtration Systems: Perspectives from Treatment Efficiency, Key Microbial Communities, and Nitrogen Cycling Functional Genes" Molecules 30, no. 7: 1464. https://doi.org/10.3390/molecules30071464
APA StyleMen, C., Pan, Z., Liu, J., Miao, S., Yuan, X., Zhang, Y., Yang, N., Cheng, S., Li, Z., & Zuo, J. (2025). Single and Combined Effects of Aged Polyethylene Microplastics and Cadmium on Nitrogen Species in Stormwater Filtration Systems: Perspectives from Treatment Efficiency, Key Microbial Communities, and Nitrogen Cycling Functional Genes. Molecules, 30(7), 1464. https://doi.org/10.3390/molecules30071464

