Oxidation of Soot by Cerium Dioxide Synthesized Under Different Hydrothermal Conditions
Abstract
1. Introduction
2. Experiment
2.1. Material and Sample Preparation
2.2. Characterizations
2.3. Catalyst Activity Tests and Data Analysis
3. Analysis and Discussion of Results
3.1. Characterization of CeNPs Catalysts Under Different Hydrothermal Conditions
3.1.1. XRD Analysis of CeNPs Samples
3.1.2. Morphological Analysis of CeNPs Samples
3.2. Activity Test Results of CeNPs Catalysts at Different Hydrothermal Temperatures
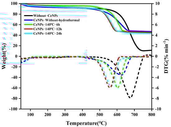
3.3. Activity Test of CeNPs Catalysts with Different Hydrothermal Times at a Hydrothermal Temperature of 140 °C
4. Conclusions
Author Contributions
Funding
Institutional Review Board Statement
Informed Consent Statement
Data Availability Statement
Conflicts of Interest
References
- Luo, Y.; Shi, Y.; Zhuang, K.; Ji, R.; Chen, X.; Huang, Y.; Wang, Z.; Cai, Y.; Li, X. Study on the Evolution of Physicochemical Properties of Carbon Black at Different Regeneration Stages of Diesel Particulate Filters Regenerated by Non-Thermal Plasma. Processes 2024, 12, 1113. [Google Scholar] [CrossRef]
- Chen, X.; Shi, Y.; Cai, Y.; Xie, J.; Yang, Y.; Hou, D.; Fan, Y. Effect of non-thermal plasma injection flow rate on diesel particulate filter regeneration at room temperature. Carbon Lett. 2024, 34, 1075–1089. [Google Scholar] [CrossRef]
- Hu, J.; Liao, J.; Hu, Y.; Lei, J.; Zhang, M.; Zhong, J.; Yan, F.; Cai, Z. Experimental investigation on emission characteristics of non-road diesel engine equipped with integrated DOC + CDPF + SCR aftertreatment. Fuel 2021, 305, 121586. [Google Scholar] [CrossRef]
- Farhan, S.M.; Wang, P. Post-injection strategies for performance improvement and emissions reduction in DI diesel engines—A review. Fuel Process. Technol. 2022, 228, 107145. [Google Scholar] [CrossRef]
- Yi, C.; Fang, J.; Xu, X.; Wang, K.; Zuo, Z.; Han, Z. Effect of ash participation on the catalytic activity of as-prepared catalysts to promote diesel soot combustion. J. Energy Inst. 2023, 111, 101407. [Google Scholar] [CrossRef]
- Yang, Y.; Fang, J.; Meng, Z.; Pu, P.; Zhang, Q.; Yi, C.; Pan, S.; Li, Y. Catalytic activity and influence factors of Mn-Ce mixed oxides by hydrothermal method on diesel soot combustion. Mol. Catal. 2022, 524, 112334. [Google Scholar] [CrossRef]
- Fang, J.; Qin, Z.; Meng, Z.; Jiang, Y.; Liu, J.; Zhang, Q.; Tan, J. Performance of diesel soot oxidation in the presence of ash species. Energy Fuels 2020, 34, 2185–2192. [Google Scholar] [CrossRef]
- Zheng, C.; Bao, S.; Mao, D.; Xu, Z.; Zheng, S. Insight into phase structure-dependent soot oxidation activity of K/MnO2 catalyst. J. Environ. Sci. 2023, 126, 668–682. [Google Scholar] [CrossRef]
- Kim, M.J.; Han, G.-H.; Lee, S.H.; Jung, H.W.; Choung, J.W.; Kim, C.H.; Lee, K.-Y. CeO2 promoted Ag/TiO2 catalyst for soot oxidation with improved active oxygen generation and delivery abilities. J. Hazard. Mater. 2020, 384, 121341. [Google Scholar] [CrossRef]
- Wang, X.; Jin, B.; Feng, R.; Liu, W.; Weng, D.; Wu, X.; Liu, S. A robust core-shell silver soot oxidation catalyst driven by Co3O4: Effect of tandem oxygen delivery and Co3O4-CeO2 synergy. Appl. Catal. B Environ. 2019, 250, 132–142. [Google Scholar] [CrossRef]
- Fang, J.; Meng, Z.; Li, J.; Du, Y.; Qin, Y.; Jiang, Y.; Bai, W.; Chase, G.G. The effect of operating parameters on regeneration characteristics and particulate emission characteristics of diesel particulate filters. Appl. Therm. Eng. 2019, 148, 860–867. [Google Scholar] [CrossRef]
- Wang, P.; Li, Z.; Ao, C.; Zhang, L. Interactive effects of NOx synergistic and hydrothermal aging on soot catalytic combustion in Ce-based catalysts. Combust. Flame 2022, 245, 112289. [Google Scholar] [CrossRef]
- Zhou, K.; Yang, Z.; Yang, S. Highly reducible CeO2 nanotubes. Chem. Mater. 2007, 19, 1215–1217. [Google Scholar] [CrossRef]
- Zhang, D.; Du, X.; Shi, L.; Gao, R. Shape-controlled synthesis and catalytic application of ceria nanomaterials. Dalton Trans. 2012, 41, 14455–14475. [Google Scholar] [CrossRef]
- Kullgren, J.; Hermansson, K.; Broqvist, P. Supercharged low-temperature oxygen storage capacity of ceria at the nanoscale. J. Phys. Chem. Lett. 2013, 4, 604–608. [Google Scholar] [CrossRef]
- Imagawa, H.; Suda, A.; Yamamura, K.; Sun, S. Monodisperse CeO2 nanoparticles and their oxygen storage and release properties. J. Phys. Chem. C 2011, 115, 1740–1745. [Google Scholar] [CrossRef]
- Wang, X.; Li, S.; Adeosun, A.; Li, Y.; Vujanović, M.; Tan, H.; Duić, N. Effect of potassium-doping and oxygen concentration on soot oxidation in O2/CO2 atmosphere: A kinetics study by thermogravimetric analysis. Energy Convers. Manag. 2017, 149, 686–697. [Google Scholar] [CrossRef]
- Guillén-Hurtado, N.; Giménez-Mañogil, J.; Martínez-Munuera, J.C.; Bueno-López, A.; Garcia-Garcia, A. Study of Ce/Pr ratio in ceria-praseodymia catalysts for soot combustion under different atmospheres. Appl. Catal. A Gen. 2020, 590, 117339. [Google Scholar] [CrossRef]
- Liang, Q.; Wu, X.; Wu, X.; Weng, D. Role of surface area in oxygen storage capacity of ceria–zirconia as soot combustion catalyst. Catal. Lett. 2007, 119, 265–270. [Google Scholar] [CrossRef]
- Umar, A.; Kumar, R.; Akhtar, M.; Kumar, G.; Kim, S. Growth and properties of well-crystalline cerium oxide (CeO2) nanoflakes for environmental and sensor applications. J. Colloid Interface Sci. 2015, 454, 61–68. [Google Scholar] [CrossRef]
- Tong, X.; Luo, T.; Meng, X.; Wu, H.; Li, J.; Liu, X.; Ji, X.; Wang, J.; Chen, C.; Zhan, Z. Shape-dependent activity of ceria for hydrogen electro-oxidation in reduced-temperature solid oxide fuel cells. Small 2015, 11, 5581–5588. [Google Scholar] [CrossRef]
- Zhou, K.; Wang, X.; Sun, X.; Peng, Q.; Li, Y. Enhanced catalytic activity of ceria nanorods from well-defined reactive crystal planes. J. Catal. 2005, 229, 206–212. [Google Scholar] [CrossRef]
- Gao, Y.; Li, R.; Chen, S.; Luo, L.; Cao, T.; Huang, W. Morphology-dependent interplay of reduction behaviors, oxygen vacancies and hydroxyl reactivity of CeO 2 nanocrystals. Phys. Chem. Chem. Phys. 2015, 17, 31862–31871. [Google Scholar] [CrossRef] [PubMed]
- Aneggi, E.; Wiater, D.; De Leitenburg, C.; Llorca, J.; Trovarelli, A. Shape-dependent activity of ceria in soot combustion. ACS Catal. 2014, 4, 172–181. [Google Scholar] [CrossRef]
- Miceli, P.; Bensaid, S.; Russo, N.; Fino, D. CeO2-based catalysts with engineered morphologies for soot oxidation to enhance soot-catalyst contact. Nanoscale Res. Lett. 2014, 9, 1–10. [Google Scholar] [CrossRef]
- Hernández-Arteaga, J.; Ojeda-Galván, H.J.; Alanis, J.; Rodríguez-Aranda, M.; Villabona-Leal, E.; Mendoza-Mendoza, E.; Ulloa-Castillo, N.A.; Quintana, M.; Navarro-Contreras, H.R.; Rodríguez, A. Thermal tuning of the morphology of hydrothermally synthesized CeO2 nanotubes for photocatalytic applications. Ceram. Int. 2022, 48, 17802–17815. [Google Scholar] [CrossRef]
- Eaimsumang, S.; Chollacoop, N.; Luengnaruemitchai, A.; Taylor, S.H. Relationship between hydrothermal temperatures and structural properties of CeO2 and enhanced catalytic activity of propene/toluene/CO oxidation by Au/CeO2 catalysts. Front. Chem. 2022, 10, 959152. [Google Scholar] [CrossRef]
- Dos Santos, A.; Dantas, T.; Costa, J.; Souza, L.; Soares, J.; Caldeira, V.; Araújo, A.; Santos, A. Formation of CeO2 nanotubes through different conditions of hydrothermal synthesis. Surf. Interfaces 2020, 21, 100746. [Google Scholar] [CrossRef]
- Zhang, Y.; Lu, J.; Zhang, L.; Fu, T.; Zhang, J.; Zhu, X.; Gao, X.; He, D.; Luo, Y.; Dionysiou, D.D. Investigation into the catalytic roles of oxygen vacancies during gaseous styrene degradation process via CeO2 catalysts with four different morphologies. Appl. Catal. B Environ. 2022, 309, 121249. [Google Scholar] [CrossRef]
- De Oliveira, R.C.; Amoresi, R.A.C.; Marana, N.L.; Zaghete, M.A.; Ponce, M.; Chiquito, A.J.; Sambrano, J.R.; Longo, E.; Simões, A.Z. Influence of synthesis time on the morphology and properties of CeO2 nanoparticles: An experimental–theoretical study. Cryst. Growth Des. 2020, 20, 5031–5042. [Google Scholar] [CrossRef]
- Zheng, X.; Li, Y.; Zhang, L.; Shen, L.; Xiao, Y.; Zhang, Y.; Au, C.; Jiang, L. Insight into the effect of morphology on catalytic performance of porous CeO2 nanocrystals for H2S selective oxidation. Appl. Catal. B Environ. 2019, 252, 98–110. [Google Scholar] [CrossRef]
- Lee, J.H.; Jo, D.Y.; Choung, J.W.; Kim, C.H.; Ham, H.C.; Lee, K.-Y. Roles of noble metals (M= Ag, Au, Pd, Pt and Rh) on CeO2 in enhancing activity toward soot oxidation: Active oxygen species and DFT calculations. J. Hazard. Mater. 2021, 403, 124085. [Google Scholar] [CrossRef] [PubMed]
- Luo, S.; Wu, X.; Jin, B.; Liu, S.; Ran, R.; Si, Z.; Weng, D. Size effect of Pt nanoparticles in acid-assisted soot oxidation in the presence of NO. J. Environ. Sci. 2020, 94, 64–71. [Google Scholar] [CrossRef]
- Lapuerta, M.; Rodríguez–Fernández, J.; Sánchez-Valdepeñas, J. Soot reactivity analysis and implications on diesel filter regeneration. Prog. Energy Combust. Sci. 2020, 78, 100833. [Google Scholar] [CrossRef]
- Wang, W.; Liu, Y.; Wang, L.; Zhan, W.; Guo, Y.; Guo, Y. Soot combustion over Ag catalysts supported on shape-controlled CeO2. Catal. Today 2021, 376, 9–18. [Google Scholar] [CrossRef]
- Niu, X.; Li, M.; Wu, B.; Li, H. Controlled synthesis and magnetic properties of thin CeO2 nanotubes by a facile template-free hydrothermal method. J. Mater. Sci. Mater. Electron. 2016, 27, 10198–10206. [Google Scholar] [CrossRef]
- Mao, M.; Lv, H.; Li, Y.; Yang, Y.; Zeng, M.; Li, N.; Zhao, X. Metal support interaction in Pt nanoparticles partially confined in the mesopores of microsized mesoporous CeO2 for highly efficient purification of volatile organic compounds. ACS Catal. 2016, 6, 418–427. [Google Scholar] [CrossRef]
- Aneggi, E.; Trovarelli, A. Potential of ceria-zirconia-based materials in carbon soot oxidation for gasoline particulate filters. Catalysts 2020, 10, 768. [Google Scholar] [CrossRef]
- Sudarsanam, P.; Kuntaiah, K.; Reddy, B.M. Promising ceria–samaria-based nano-oxides for low temperature soot oxidation: A combined study of structure–activity properties. New J. Chem. 2014, 38, 5991–6001. [Google Scholar] [CrossRef]
- Katta, L.; Sudarsanam, P.; Thrimurthulu, G.; Reddy, B.M. Doped nanosized ceria solid solutions for low temperature soot oxidation: Zirconium versus lanthanum promoters. Appl. Catal. B Environ. 2010, 101, 101–108. [Google Scholar] [CrossRef]
- Lee, E.J.; Kim, M.J.; Choung, J.W.; Kim, C.H.; Lee, K.-Y. NOx-assisted soot oxidation based on Ag/MnOx-CeO2 mixed oxides. Appl. Catal. A Gen. 2021, 627, 118396. [Google Scholar] [CrossRef]
- Anzorena, R.S.; Muñoz, F.F.; Bonelli, P.; Cukierman, A.L.; Larrondo, S.A. Hierarchical, template-free self-assembly morphologies in CeO2 synthesized via urea-hydrothermal method. Ceram. Int. 2020, 46, 11776–11785. [Google Scholar] [CrossRef]
- Fang, J.; Yi, C.; Pu, P.; Chen, C.; Yang, Y.; Wang, J.; Lin, B. Experimental study on Ag-modified CeO2 as the catalyst for soot oxidation. J. Therm. Anal. Calorim. 2023, 148, 12311–12320. [Google Scholar] [CrossRef]
- Kastrinaki, G.; Lorentzou, S.; Konstandopoulos, A.G. Soot oxidation kinetics of different ceria nanoparticle catalysts. Emiss. Control Sci. Technol. 2015, 1, 247–253. [Google Scholar] [CrossRef]
- Yi, C.; Fang, J.; Pu, P.; Yang, Y.; Chen, Z.; Zuo, Z.; Han, Z. Insight into catalytic activity of K-Ce catalysts and K-Ce based mixed catalysts on diesel soot combustion. Mol. Catal. 2023, 535, 112905. [Google Scholar] [CrossRef]
- Chand, P.; Gaur, A.; Kumar, A.; Gaur, U.K. Effect of NaOH molar concentration on optical and ferroelectric properties of ZnO nanostructures. Appl. Surf. Sci. 2015, 356, 438–446. [Google Scholar] [CrossRef]












| Soot | Diameter (nm) | Oil Absorption (mL/100 g) | BET Surface Area (m2/g) | Ash Content (%) |
|---|---|---|---|---|
| PU | 25 | 115 | 92 | 0.02 |
| Serial Number | Catalyst/Soot | Ts (°C) | Tp (°C) | Te (°C) | Wmean (%·min−1) | Wmax (%·min−1) | S × 108 (%2 min−2°C−3) | Rw (105) |
|---|---|---|---|---|---|---|---|---|
| 1–2 | Soot only | 611.7 ± 3 | 676.9 ± 2 | 717.8 ± 3 | 1.55 ± 0.02 | 31.96 ± 0.15 | 18.51 ± 0.32 | 66.28 ± 5.32 |
| 3–4 | CeNPs-no hydrothermal | 527.4 ± 1 | 615.5 ± 0 | 662.9 ± 5 | 1.43 ± 0.03 | 6.56 ± 0.35 | 5.11 ± 0.22 | 17.36 ± 6.61 |
| 5–6 | CeNPs-100 °C—6 h | 512.2 ± 5 | 563.4 ± 2 | 607.8 ± 4 | 1.43 ± 0.01 | 12.24 ± 0.32 | 11.33 ± 0.02 | 36.44 ± 7.73 |
| 7–8 | CeNPs-120 °C—6 h | 516.6 ± 2 | 565.4 ± 1 | 609.4 ± 0 | 1.44 ± 0.01 | 12.35 ± 0.25 | 11.01 ± 0.01 | 36.34 ± 2.15 |
| 9–10 | CeNPs-140 °C— 6 h | 504.1 ± 3 | 554.8 ± 4 | 600.8 ± 2 | 1.45 ± 0.01 | 26.77 ± 0.34 | 25.51 ± 0.04 | 82.21 ± 2.11 |
| 11–12 | CeNPs-160 °C—6 h | 511.0 ± 0 | 562.0 ± 1 | 610.1 ± 3 | 1.42 ± 0.02 | 10.99 ± 0.21 | 9.80 ± 0.02 | 28.34 ± 2.56 |
| 13–14 | CeNPs-100 °C—12 h | 572.6 ± 7 | 653.0 ± 5 | 670.5 ± 3 | 1.44 ± 0.01 | 7.50 ± 0.13 | 4.91 ± 0.00 | 17.22 ± 4.67 |
| 15–16 | CeNPs-120 °C—12 h | 503.3 ± 0 | 554.1 ± 2 | 603.2 ± 1 | 1.45 ± 0.01 | 10.12 ± 1.38 | 9.62 ± 0.10 | 31.19 ± 1.65 |
| 17–18 | CeNPs-140 °C—12 h | 505.4 ± 3 | 552 ± 0 | 596.5 ± 5 | 1.44 ± 0.02 | 29.48 ± 0.30 | 27.97 ± 0.01 | 90.76 ± 3.16 |
| 19–20 | CeNPs-160 °C—12 h | 518.0 ± 1 | 573.3 ± 2 | 621.5 ± 0 | 1.44 ± 0.01 | 9.51 ± 0.23 | 8.23 ± 0.02 | 27.51 ± 3.07 |
| 21–22 | CeNPs-100 °C—24 h | 510.9 ± 3 | 560.8 ± 2 | 609.2 ± 5 | 1.44 ± 0.01 | 9.57 ± 0.17 | 8.67 ± 0.03 | 28.69 ± 4.78 |
| 23–24 | CeNPs-120 °C—24 h | 510.8 ± 0 | 563.1 ± 4 | 610.1 ± 6 | 1.43 ± 0.01 | 10.42 ± 0.58 | 9.37 ± 0.01 | 31.12 ± 8.72 |
| 25–26 | CeNPs-140 °C—24 h | 509.9 ± 4 | 559 ± 8 | 648.1 ± 0 | 1.44 ± 0.01 | 27.46 ± 0.24 | 23.58 ± 0.05 | 82.74 ± 7.30 |
| 27–28 | CeNPs-160 °C—24 h | 521.4 ± 0 | 572.2 ± 4 | 625.0 ± 2 | 1.46 ± 0.01 | 7.91 ± 0.04 | 5.49 ± 0.04 | 18.99 ± 2.84 |
| Parameters | Value |
|---|---|
| balance sensitivity (μg) | 0.1 |
| heating rate (°C/min) | 0.001–100 |
| range of temperature (°C) | 45–1000 |
| size of the crucible (mm) | Φ 6.8 |
| measuring dynamic range (g) | 0–2 |
| Catalysts | 2θ(°) | lattice Parameter (Å) | Lattice Size (nm) | SBET (m2·g−1) |
|---|---|---|---|---|
| CeO2-Ref | 28.62 | 5.3968 | 21.94 | — |
| CeNPs-100 °C−6 h | 28.61 | 5.3990 | 14.28 | 7.94 |
| CeNPs-120 °C−6 h | 28.60 | 5.4007 | 15.22 | 12.69 |
| CeNPs-140 °C−6 h | 28.53 | 5.4132 | 10.84 | 17.36 |
| CeNPs-140 °C−12 h | 28.54 | 5.4121 | 10.42 | 19.15 |
| CeNPs-140 °C−24 h | 28.55 | 5.4095 | 12.40 | 17.07 |
| CeNPs-160 °C−6 h | 28.556 | 5.4097 | 12.42 | 16.77 |
Disclaimer/Publisher’s Note: The statements, opinions and data contained in all publications are solely those of the individual author(s) and contributor(s) and not of MDPI and/or the editor(s). MDPI and/or the editor(s) disclaim responsibility for any injury to people or property resulting from any ideas, methods, instructions or products referred to in the content. |
© 2025 by the authors. Licensee MDPI, Basel, Switzerland. This article is an open access article distributed under the terms and conditions of the Creative Commons Attribution (CC BY) license (https://creativecommons.org/licenses/by/4.0/).
Share and Cite
Fang, J.; Wang, K.; Chen, P.; Xu, X.; Zhang, C.; Wu, Y.; Yan, Y.; Zuo, Z. Oxidation of Soot by Cerium Dioxide Synthesized Under Different Hydrothermal Conditions. Molecules 2025, 30, 1161. https://doi.org/10.3390/molecules30051161
Fang J, Wang K, Chen P, Xu X, Zhang C, Wu Y, Yan Y, Zuo Z. Oxidation of Soot by Cerium Dioxide Synthesized Under Different Hydrothermal Conditions. Molecules. 2025; 30(5):1161. https://doi.org/10.3390/molecules30051161
Chicago/Turabian StyleFang, Jia, Kejian Wang, Peng Chen, Xilong Xu, Chengzhuang Zhang, Yi Wu, Yan Yan, and Zinong Zuo. 2025. "Oxidation of Soot by Cerium Dioxide Synthesized Under Different Hydrothermal Conditions" Molecules 30, no. 5: 1161. https://doi.org/10.3390/molecules30051161
APA StyleFang, J., Wang, K., Chen, P., Xu, X., Zhang, C., Wu, Y., Yan, Y., & Zuo, Z. (2025). Oxidation of Soot by Cerium Dioxide Synthesized Under Different Hydrothermal Conditions. Molecules, 30(5), 1161. https://doi.org/10.3390/molecules30051161

