Abstract
Two bis-ruthenium(II) complexes, namely N,N′-{5,17-diamino-4(24),6(10),12(16),18(22)-tetramethylenedioxy-2,8,14,20-tetrapentylresorcin[4]arene}-bis-[dichloro-(p-cymene)-ruthenium(II)] (1) and N,N′-{5,11-diamino-4(24),6(10),12(16), 18(22)-tetramethylenedioxy-2,8,14,20-tetrapentylresorcin[4]arene}-bis-[dichloro-(p-cymene)-ruthenium(II)] (2) were synthesized and tested as catalysts in the N-alkylation of primary amines with arylmethyl alcohol using the green “hydrogen borrowing” methodology. The catalytic results were compared with those obtained when the N-{5-amino-4(24),6(10),12(16),18(22)-tetramethylenedioxy-2,8,14,20-tetrapentyl-resorcin[4]arene}-[dichloro-(p-cymene)-ruthenium(II)] (3) complex was employed as catalyst. The rate of the N-alkylation of aniline with benzyl alcohol increased in the order 3 < 1 ≪ 2, which highlights the importance of the relative positioning of the two metal centers on the upper rim of the resorcin[4]arene. Theoretical investigations suggest that the grafting of the two “RuCl2(p-cymene)NH2” moieties on two distal aromatic rings of the cavitand allows a cooperative effect between a ruthenium atom and the coordinated amine of the second metal center.
1. Introduction
Resorcinarenes, first studied by Baeyer in the late 19th century [1], are a class of macrocycles obtained by the condensation of resorcinol and aldehyde in EtOH/H2O under acidic conditions. The thermodynamic product, which is usually obtained in high yields, comprises four units of resorcinol and aldehyde [2]. These macrocycles are flexible and exist in various conformations in equilibrium. However, they can be easily rigidified by linking neighboring hydroxyl groups with short methylene bridges, thus forming what Cram called cavitands [3,4].
Cavitands can be easily functionalized [5,6], and a large variety of coordinating functions can be introduced, in particular phosphorus or nitrogen derivatives and N-heterocyclic carbenes [7,8]. This preorganization platform has led to sophisticated catalysts [9,10,11,12,13] as demonstrated by Gibson and Rebek with their expanded cavitand A, which is able to form P,N-chelate (Figure 1) [14]. In the palladium-catalyzed allylic alkylation with dimethylmalonate, the partial entrapment of the substrate in the pocket formed by the cavitand favors nucleophilic attack on the less sterically carbon atom, exclusively leading to the formation of the linear products. Iwasawa and co-workers observed that in the gold-catalyzed hydration of 1-butynylbenzene with the cavitand B, which has phosphoramidite and phosphoramidate moieties, 98% of 1-phenyl-2-butanone was formed, with only 2% of 1-phenyl-1-butanone (Figure 1) [15]. Notably, in the test with cavitand devoid of phosphoramidate substituent, no conversion of the alkyne was observed. The authors confidently interpreted these results as an activation of the water molecule by the ideally positioned P=O group, which facilitates its addition to the alkyl bond. Chaplin and co-workers recently reported a tris-quinoxaline extended resorcin[4]arene on which a bis-phosphinated substituent (phosphite-phosphine) was grafted (C; Figure 1) for the rhodium-catalyzed hydroformylation of terminal alkenes [16]. The hydroformylation of octene under 20 bar of syngas at 60 °C with the [Rh(acac)C] (acac = acetylacetonate) complex resulted in a 5.9 times higher proportion of branched aldehyde than linear. The unusual regioselectivity was explained by the authors by the steric constraints imposed by the quinoxaline walls on the catalytic center. These constraints, during the insertion step of the olefin in the Rh-H bond, result in the formation of secondary alkyl intermediate, rather than the linear one.
Figure 1.
Selected examples of cavitands (A–C) able to influence the catalytic outcome.
In this context, we report on the synthesis of ruthenium complexes anchored on the upper rim of the cavitand, in which the metallic atoms are grafted on two distal (1) and proximal (2) aromatic rings. This results in complexes in which the two metal centers are close (ruthenium atoms on proximal aromatic rings—2) or distant (ruthenium atoms on distal aromatic rings—1). The catalytic results of these bis-ruthenium systems are ranked with the analogous mono-ruthenium complex 3 (Figure 2). As we have seen before with phosphinated calix[4]arenes [17] or resorcin[4]arene [18], the position of the phosphorus atoms on the macrocyclic platform has a significant impact on the coordination sphere of the metal and the resulting catalytic outcome. The aim of this study is to highlight the consequences of a structural modification in the active species, the change in the positioning of the metal centers on the macrocyclic platform and on the N-alkylation of primary amines with a primary alcohol through synergy between nearby catalytic centers. The C-N bond will be formed using the green “hydrogen borrowing” methodology. This consists, firstly, of alcohol dehydrogenation, which results in the corresponding aldehyde. In this step, two hydrogen atoms of the reactant are temporarily transferred to the active species. In the second step, the formed aldehyde condenses with the primary amine to generate the intermediate imine. Finally, the active species is regenerated by the hydrogenation of the C=N bond (transfer of the two hydrogen atoms from the catalytic intermediate to the organic substrate) to form the N-alkylated amine. This reaction can be carried out with cobalt, iridium, iron, manganese, palladium, platinum, rhodium, etc., catalysts; however, in the present study, we focus on ruthenium-based catalysts [19,20,21,22].
Figure 2.
Ruthenium complexes 1–3 used in the present study.
2. Results and Discussion
2.1. Synthesis of the Cavitands and Their Ruthenium Complexes
In the first step, we prepared the two cavitands, namely 5,17-diamino-4(24),6(10),12(16),18(22)-tetramethylenedioxy-2,8,14,20-tetrapentyl-resorcin[4]arene (4) and 5,11-diamino-4(24),6(10),12(16),18(22)-tetramethylenedioxy-2,8,14,20-tetrapentyl-resorcin[4]arene (5), substituted by two amine functions, in distal and proximal positions, respectively, in two steps from the corresponding bis-brominated resorcinarenes 7 and 8 (Scheme 1).
Scheme 1.
Synthesis of resorcinarenyl bis-amines 4 and 5.
The two cavitands were conveniently prepared according to the method reported earlier for 5-amino-4(24),6(10),12(16),18(22)-tetramethylenedioxy-2,8,14,20-tetrapentyl-resorcin[4]arene (6) [23]. The bis-brominated cavitands were converted into azide derivatives 9 and 10, in 84 and 82% yield, respectively. This was achieved through a halogen/lithium exchange followed by reaction with tosyl azide, which were then quantitatively reduced with Pd/C under 5 bar of hydrogen in bis-amines 4 and 5. Cavitands 4 and 5 have the same crude formula, but their 1H NMR spectra clearly differentiate them. The C2v-symmetry of 4 indicates the presence of a unique AB patterns at 5.79/4.42 ppm for the four OCH2O groups. In contrast, the Cs-symmetry of 5 is characterized by three AB patterns at 5.84/4.32, 5.79/4.41 and 5.74/4.51 ppm (intensity 1:2:1).
In the second step, the dimeric [RuCl2(p-cymene)]2 precursor reacts with anilines to form the corresponding [RuCl2(p-cymene)(H2NAr)] complexes, in which the ruthenium is coordinated to the nitrogen atom [24,25,26,27]. The ruthenium complexes 1–3 were obtained at a 68–72% yield by the reaction of the amino-cavitand and the [RuCl2(p-cymene)]2 precursor (Scheme 2). They were fully characterized using elemental analysis, NMR, and mass spectroscopy. The symmetry of the complexes is identical to that of the corresponding free ligands 4–6. Complex 3, with a single metal center, unquestionably displays two AB systems at 5.58/4.38 and 5.58/4.31 ppm for the four OCH2O groups. The 1H NMR spectra of the bis-metal complexes 1 and 2 are less well resolved than that of complex 3, which suggests that the presence of two “RuCl2(p-cymene)” moieties severely restrict free rotation. The mass spectra analysis of the three complexes confirmed the formation of the targeted complexes. Each organometallic compound has a peak, m/z = 1423.42 for 1 and 2 and 1102.45 for 3, corresponding to [M − Cl]+ cations with the expected isotopic profiles.
Scheme 2.
Synthesis of ruthenium complexes 1–3.
2.2. X-Ray Crystal Structure Analysis
Single crystals of ruthenium(II) complexes 1 (see Supplementary Materials) and 3 (Figure 3), which were suitable for X-ray analysis, unambiguously confirming the formation of the N-coordinated metal complexes. This complex 1 crystallizes in the triclinic space group P-1. The “RuCl2(p-cymene)” moiety is exo-oriented toward macrocyclic cavity, which hosts a molecule of CHCl3. The p-cymene ligand (C53-C62) is inclined relative to the aromatic ring of the cavitand with a dihedral angle of 24.58°. The aromatic ligand is disordered over two positions with a ratio of 0.85/0.15. Chloroform is positioned nearby in the minority position, contributing 0.15 molecules of chloroform to the structure. The ruthenium atom adopts a typical pseudo-octahedral geometry with the p-cymene occupying three adjacent sites of the octahedron with a Ru-centroid p-cymene length of 1.670 Å. The remaining three sites are occupied with two chloride atoms (bond lengths of Ru-Cl = 2.3958(6) and 2.4001(6) Å) and the amine of the cavitand (bond length of Ru-N = 2.1719(18) Å). These lengths are in line with those previously reported for [RuCl2(p-cymene)(H2NAr)] complexes, as in N-aniline-[dichloro-(p-cymene)-rutheni-um(II)] [24] or in N-(4-trifluoromethoxy)aniline-[dichloro-(p-cymene)-ruthenium(II)] [27] complexes.
Figure 3.
ORTEP drawing of ruthenium(II) complex 3, with a 50% probability thermal ellipsoids. For clarity, the 1.15 molecules of chloroform are not represented. Important bond lengths (°) and angles (◦): N1-Ru1 2.1719(18), Ru1-Cl1 2.3958(6), Ru1-Cl2 2.4001(6), N1-Ru1-Cl1 82.93(6), Cl1-Ru1-Cl2 86.75(3), and Cl2-Ru1-N1 83.28(5).
2.3. Catalytic Tests
The N-coordinated ruthenium complexes 1–3 were tested in the N-alkylation of amines (11) with alcohols (12) using the “hydrogen borrowing” method. In this catalytic reaction, in addition to the expected amine derivatives (14), intermediate imines (13) can be observed (Scheme 3).
Scheme 3.
Ruthenium-catalyzed N-alkylation of amines.
To determine optimum reaction conditions, tests were carried out with aniline and benzyl alcohol as a model reaction using 2 mol% of complex 3 for 3 h at 120 °C. Using tBuOK as base, three classical solvents [27] were tested, namely toluene, DMF (N,N-dimethylformamide), and 1,4-dioxane. The chromatogram analysis of the latter reaction mixtures clearly showed that a high proportion of imine (ratio amine/imine up to 6/94) was formed, especially when toluene was employed. The large formation of N,1-diphenylmethanimine implies that the last step in the catalytic cycle, the hydrogenation of the imine, did not occur (Table 1, entries 1–3). Repeating the run in solvent-free conditions drastically changed the chemoselectivity of the reaction. After 3 h at 120 °C, N-benzylaniline was formed with an amine/imine ratio of 92/8 (conversion of aniline of 40%; Table 1, entry 4). To maximize the formation of N-benzylaniline, the following reactions were carried out without solvent.
Table 1.
Ruthenium-catalyzed N-alkylation of aniline, search of the optimal conditions 1.
In a second series of runs, four widely utilized bases [27,28] (KOH, K2CO3, Cs2CO3, and NaOAc) were compared to tBuOK (Table 1, entries 5–9). After a heating period of 6 h, the results showed that the highest conversion of aniline was observed when K2CO3 was employed (75%; Table 1, entry 6). Unfortunately, under these conditions, the chemoselectivity was strongly in favor of the imine. The best compromise in terms of efficiency and chemoselectivity was achieved when tBuOK was used (60% conversion and amine/imine ratio of 93/7; Table 1, entry 9).
The three ruthenium complexes 1–3 were finally compared in the following tests, with a catalytic loading of 2 mol% of ruthenium atom (1 mol% of complexes 1 and 2; 2 mol% of complex 3). The three runs yielded a significant amount of N-benzylaniline, with amine/imine ratios ranging from 80/10 to 98/2. The conversions increased in the following order 3 < 1 << 2; this proved that the pre-catalysts with two metal centers (1 and 2) are more efficient than their mono-metallic homologue 3. We also observed that the positioning of the two metals on the macrocyclic platform is significant. The data clearly show that when the two catalytic centers are grafted onto proximal aromatic rings (complex 2), conversions are higher (82%) than in catalytic centers grafted onto distal aromatic rings (complex 1 and 65% of conversion). The conversion with the latter bis-ruthenium system is only slightly higher that observed in the mono-metallic complex 3 (Table 1, entries 9–11).
By comparison, using a pre-catalyst similar to our complex 2, the N-(4-trifluoromethoxy)aniline-[dichloro-(p-cymene)-ruthenium(II)] complex (D), Vyas and co-workers observed after 6 h at 110 °C only the formation of N-benzylaniline (conversion of 78%); however, a significant proportion of benzaldehyde (22%) was also formed [27] (Table 1, entry 12). We demonstrated that the use of N-heterocyclic carbene ligands, the dichloro-[1-(3,3-dimethylallyl)benzimidazole]-(p-cymene)-ruthenium(II) (E) [28] and dichloro-{1-[2-(2-ethoxyphenoxy)ethyl]-3-(3,5-dimethylbenzyl)benzimidazol-2-ylidene}(p-cymene)-ruthenium(II) (F) [29] complexes, leads to product distributions similar to those observed with complex 2 either with (toluene) or without solvent (Table 1, entries 13 and 14).
Having obtained the optimal catalytic conditions and the more efficient pre-catalyst 2, we studied the influence of the steric hindrance of the substrates (Table 2). The following tests were conducted using four arylamines (aniline, o-toluidine, o-anisidine, and p-anisidine) and two arylmethyl alcohols (benzyl alcohol and 2-methoxybenzyl alcohol).
Table 2.
Ruthenium-catalyzed N-alkylation of arylamines with arylmethyl alcohol 1.
After 24 h at 120 °C, the reaction between non-sterically hindrance aniline and benzyl alcohol had reached quasi-full conversion. The chemoselectivity against N-benzylaniline was 99% (Table 2, entry 1). Repeating the run with o-toluidine resulted in a significantly reduced conversion, with only 17% of o-toluidine converted. The chemoselectivity of the reaction was slightly affected, as shown in entry 2 of Table 2. Surprisingly, the substitution of benzyl alcohol with the more sterically hindrance 2-methoxybenzyl alcohol increased the rate of the reaction to a conversion of 24% (Table 2, entry 3). The use of methoxy (positive mesomeric effect +M) instead of methyl (inductive electron donor effect +I) as the substituent on the aniline greatly increased the reactivity of the catalytic system; in this case, a conversion of 64% was observed (Table 2, entry 4). As anticipated, modifying the position of the methoxy substituent on the amine aryl substrate (p-anisidine) enables near total conversion, regardless of the alcohol used (Table 2, entries 5 and 6).
2.4. Mechanistic Computation
The catalytic tests demonstrate that the relative position of the two metal centers on the resorcin[4]arene platform directly affects the rate of the catalytic reaction, as illustrated by the superior performance of complex 2, where the two ruthenium atoms are attached to two proximal aromatic rings. DFT calculations on the N-alkylation of aniline with benzyl alcohol were carried out using complex 3 as the pre-catalyst. This catalytic reaction can be divided into three steps: (i) the activation of the pre-catalyst and the oxidation of benzyl alcohol into benzaldehyde, (ii) the formation of N-benzylideneaniline from benzaldehyde and aniline, and (iii) the reduction of the imine into N-benzylaniline [30]. As is typically observed with amine or carbonyl function ligands, an outer-sphere pathway is a viable option [26,31].
To validate these three steps, control experiments were carried out using complex 3 (2 mol%) and tBuOK as a base at 120 °C for 6 h (Scheme 4). As expected, in the absence of a base, no reaction was observed (Scheme 4, Equation a) [28]. The dehydrogenation of benzyl alcohol using the ruthenium catalyst generates benzaldehyde with a conversion of 71% (Scheme 4, Equation b). Subsequently, an excess of benzaldehyde reacts with aniline without catalyst to quantitatively obtain the N-benzylideneaniline intermediate (Scheme 4, Equation c). Note that in the presence of ruthenium complex 3, the full conversion of aniline into imine was also observed. Furthermore, in the presence of benzyl alcohol, the imine is reduced into the N-benzylaniline (29% of conversion) with the formation of benzaldehyde (Scheme 4, Equation d).
Scheme 4.
Control experiments.
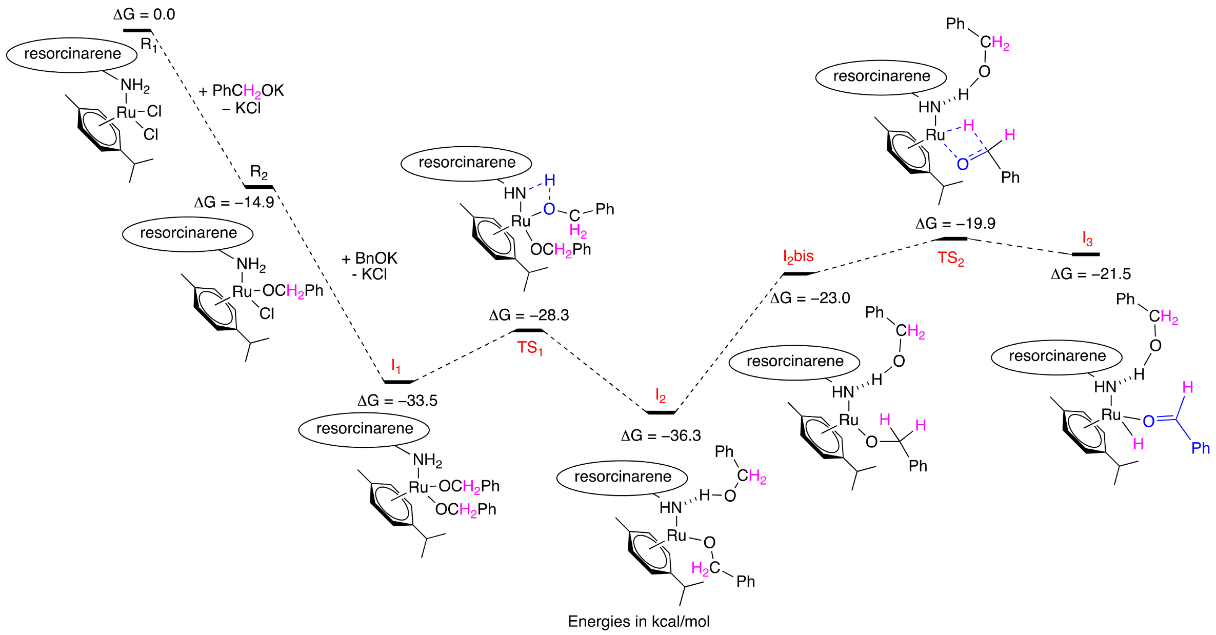
In order to clarify the mechanistic aspects, a computational study using the ruthenium complex 3 was carried out. First, we investigated the activation of the ruthenium complex by substituting the two chloride ligands with potassium benzoate. This process occurs in two steps, leading to the more stable intermediate I1 (ΔG = −33.5 kcal/mol). The formation of aldehyde then proceeds via the release of a benzoate ligand as benzyl alcohol, which remains in the metal coordination sphere through an interaction with the amine. The intermediate of ruthenium(II) I2 (ΔG = −36.3 kcal/mol) is generated via the transition state TS1, in which a proton from the amine is transferred to the benzoate ligand (ΔG = −28.3 kcal/mol). A rearrangement of the coordination sphere of the complex is necessary (less stable I2bis intermediate, ΔG = −23.0 kcal/mol) before the abstraction of the hydrogen atom of the benzoate ligand to form, via the transition step TS2 (ΔG = −19.9 kcal/mol), the benzaldehyde, which remains coordinated to the ruthenium atom (intermediate I3 with ΔG = −21.5 kcal/mol) (Figure 4).
Figure 4.
Free energy profiles for the formation of aldehyde (step 1).
After the benzyl alcohol/aniline ligand exchange (intermediate I3bis), the C-N bond was formed between the amine and the benzaldehyde. This new bond was formed via the 6-membered ring transition state TS3 with a high barrier of ΔG = −4.5 kcal/mol. A proton from the aniline was transferred to the amine of the cavitand. The resulting intermediate I4 (ΔG = −25.6 kcal/mol) was rearranged into I4bis (ΔG = −20.3 kcal/mol) before the generation of the phenyl(phenylamino)methanol. This step occurred via TS4 (ΔG = −12.6 kcal/mol) and the transfer of a hydrogen atom of the amine to the alcoholate. The formed aminoalcohol was maintained in the coordination sphere of the ruthenium through interactions between the primary amine of cavitand and the hydrogen of the secondary amine of the product (intermediates I5 and I5bis; ΔG = −15.9 and −20.5 kcal/mol, respectively). The final step was the dehydration of the aminoalcohol, which required the high-energy transition state TS7 (ΔG = −4.3 kcal/mol), in which a hydrogen atom and the hydroxyl moiety were transferred to the amines of the cavitand and the ruthenium atom, respectively. The resulting imine remained in the coordination sphere of the metal through interaction between the macrocyclic amine and the nitrogen atom of the imine (I6, ΔG = −24.5 kcal/mol) (Figure 5).
Figure 5.
Free energy profiles for the formation of imine (step 2).
The reduction of imine into amine occurred via the elimination of H2O and the coordination of the imine as an L-type ligand to the ruthenium atom (intermediate I6bis, ΔG = −19.2 kcal/mol). The formation of the C-H bond results from the breaking of the Ru-H bond in TS6 (ΔG = −18.4 kcal/mol) creating intermediate I7 (ΔG = −19.7 kcal/mol). In this intermediate, the nitrogen atom of the substrate is coordinated to the metal as a X-type ligand. The coordination of the H2O molecule to the ruthenium atom (I7bis, ΔG = −25.0 kcal/mol) allowed the formation of the N-H bond of the amine product via the low-energy transition state TS7 (ΔG = −25.2 kcal/mol). The resulting catalytic product was kept in the coordination sphere of the ruthenium atom (intermediate I8, ΔG = −31.2 kcal/mol) (Figure 6).
Figure 6.
Free energy profiles for the formation of amine (step 3).
Finally, starting from the intermediate I8, it is possible to regenerate the active species I1 via a series of ligand exchanges and the transfer of one proton from the benzyl alcohol to the amine of the macrocycle (Figure 7). This sequence is exothermic with the final structure, which comprises the formation of water molecule and the release amine at −39.4 kcal/mol (slightly more stable than I1 in Figure 4). It should be noted that in the fullly computed mechanism, the ruthenium cation remains at the oxidative state of +II.
Figure 7.
Free energy profiles for the regeneration of the active species.
The comparison of catalytic systems (complexes 1–3 in Table 1, entries 9–11) irrefutably demonstrates that the most effective system is the one where the two metal centers are grafted on proximal aromatic rings of the resorcinarenyl preorganization platform (complex 2). It is notable that the second bis-ruthenium complex 1, in which the metals are positioned on the distal aromatics of the macrocycle, results in a catalytic system that is almost identical to that of the mono-metal pre-catalyst 3. This latter comparison seems to indicate that for complex 1, resorcinarene is substituted by two totally independent active centers, similar to the mono-ruthenium complex 3.
The simulation of complex 2 shows that this molecule is more stable when one ruthenium atom is oriented towards the cavity axis of the resorcin[4]arene, with the second atom adopting an exo-orientation (ΔG = G(exo-Ru)-G(endo-Ru) = −3.4 kcal/mol; Figure 8). The endo-orientation of the ruthenium complex was maintained thanks to CH•••π interactions between the CH of the p-cymene ligand and aromatic rings of the macrocycle (H•••C lengths in the range 2.618 to 3.659 Å) [32]. With the p-cymene ligand trapped in the resorcinarenic cavity, the distance between the endo-oriented ruthenium atom and the NH2 moiety coordinated to the exo-oriented ruthenium is 5.811 Å, which is close enough to permit cooperation between the catalytic center and the amine of the second metallic atom.
Figure 8.
Simulation of complex 2 with ruthenium atoms (in green) adopting an octahedral coordination geometry.
Of course, it is quite conceivable that for the complexes 1 and 3, a “Ru(p-cymene)” moiety should be trapped by the resorcinarene cavity, ΔG = G(exo-Ru)-G(endo-Ru) = −2.0 and −2.5 kcal/mol, respectively, for 1 and 3. However, the endo-orientation of a metal center in complex 1 could not promote a cooperative effect between the endo-ruthenium atom and the second NH2 moiety, since the distance between the two NH2 moieties is too long (9.132 Å).
The theoretical study of the mechanism of N-alkylation of aniline with benzylic alcohol requires two transition states high in energy TS3 and TS5 with ΔG = −4.5 and −4.3 kcal/mol, respectively. Given the spatial proximity between the catalytic center and the amine of the second metal, it is reasonable to conclude that an interaction between the latter amine and the nitrogen atom of the aniline (TS3) and the aminoalcohol (TS5) is possible. This should decrease the energy of these two transition states, in which the two hydrogen atoms of aniline are transferred to the amine of the cavitand.
Furthermore, the catalytic tests showed that the rate of the reaction is contingent upon the nature of the substituent of aniline. Indeed, the steric hindrance generated by the methyl moiety in o-toluidine makes cooperation with the second amine of the cavitand more difficult, with TS3 and TS5 being high in energy. Conversely the presence of a methoxy substituent on aniline (o-anisidine) allows for the movement of a proton between the aniline or aminoalcohol and the coordinated amine of the metal center. The energies of the two transition states, TS3 and TS5, should be lowered or they will be slightly affected by the sterically hindered methoxy group in ortho position of the anisidine.
3. Materials and Methods
General Remarks: All manipulations were carried out in Schlenk-type flasks under dry argon. Solvents were dried by conventional methods and were distilled immediately before use. Routine 1H and 13C{1H} spectra were recorded with AC 300 and 500 Bruker FT instruments. Chemical shifts and coupling constants are reported in ppm and Hz, respectively. 1H and 13C{1H} NMR spectra were recorded in CDCl3 or C6D6 and they referenced residual protonated solvent (δ = 7.26 or 7.16 and 77.16 or 128.06 ppm, respectively). Infrared spectra were recorded on a Bruker ATR FT-IR Alpha-P spectrometer. Elemental analyses were carried out by the Service de Microanalyse, Institut de Chimie, Université de Strasbourg. The catalytic solutions were analyzed with a Varian 3900 gas chromatograph fitted with a WCOT fused silica column (25 m × 0.25 mm, 0.25 μm film thickness). 5,17-Dibromo-4(24),6(10),12(16),18(22)-tetramethylenedioxy-2,8,14,20-tetra-pentyl-resorcin[4]arene (7) [10], 5,11-dibromo-4(24),6(10),12(16),18(22)-tetramethylene-dioxy-2,8,14,20-tetrapentyl-resorcin[4]arene (8) [10], tosyl azide [33], and 5-amino-4(24),6(10),12(16),18(22)-tetramethylenedioxy-2,8,14,20-tetrapentyl-resorcin[4] arene (6) [23] were prepared according to an adapted published procedure.
3.1. Synthesis
3.1.1. General Procedure for the Synthesis of 5,X-Diazido-4(24),6(10),12(16),18(22)-tetra-methyl-enedioxy-2,8,14,20-tetrapentyl-resorcin[4]arene (X = 11 or 17)
n-Butyllithium (1.6 M in hexane; 4.96 mL, 7.94 mmol) was slowly added to a solution of dibromo-cavitand (3.000 g, 3.31 mmol) in THF (150 mL) at −78 °C. After 1 h, the resulting anion was quenched with tosyl azide (1.560 g, 7.94 mmol) and the mixture was stirred at room temperature for 24 h. The reaction mixture was washed three times with brine (3 × 100 mL). The solvent was evaporated under reduced pressure, and the crude product was purified by column chromatography (Et2O/petroleum ether).
5,17-Diazido-4(24),6(10),12(16),18(22)-tetramethylenedioxy-2,8,14,20-tetrapentyl-resorcin[4]arene (9): Yield: 2.973 g (84%). FT-IR: ν(N3) 2102 and 1283 cm−1. 1H NMR (500 MHz, CDCl3): 1H NMR (300 MHz, CDCl3): δ = 7.08 (s, 2H, arom. CH), 6.87 (s, 2H, arom. CH), 6.55 (s, 2H, arom. CH), 5.79 and 4.42 (AB spin system, 8H, OCH2O, 2JHH = 7.2 Hz), 4.73 (t, 4H, CHCH2, 3JHH = 8.1 Hz), 2.25–2.14 (m, 8H, CHCH2), 1.44–1.31 (m, 24H CH2CH2CH2CH3), 0.92 (t, 12H, CH2CH3, 3JHH = 7.0 Hz); 13C{1H} NMR (126 MHz, CDCl3): δ = 155.11–115.44 (arom. C’s), 100.05 (s, OCH2O), 36.75 (s, CHCH2), 32.10 (s, CH2CH2CH3), 29.90 (s, CHCH2), 27.65 (s, CHCH2CH2), 22.82 (s, CH2CH3), 14.23 (s, CH2CH3) ppm. Elemental analysis (%): calcd for C52H62O8N6 (899.08): C: 69.47; H: 6.95; N: 9.35; found C: 69.62; H: 7.04 N: 9.28.
5,11-Diazido-4(24),6(10),12(16),18(22)-tetramethylenedioxy-2,8,14,20-tetrapentyl-resorcin[4]arene (10): Yield: 2.432 g (82%). FT-IR: ν(N3) 2103 and 1285 cm−1. 1H NMR (300 MHz, CDCl3): δ = 7.09 (s, 2H, arom. CH), 6.87 (s, 2H, arom. CH), 6.51 (s, 2H, arom. CH), 5.81 and 4.42 (AB spin system, 2H, OCH2O, 2JHH = 6.9 Hz), 5.79 and 4.42 (AB spin system, 4H, OCH2O, 2JHH = 6.9 Hz), 5.77 and 4.40 (AB spin system, 2H, OCH2O, 2JHH = 7.2 Hz), 4.73 (t, 4H, CHCH2, 3JHH = 8.1 Hz), 2.24–2.14 (m, 8H, CHCH2), 1.45–1.30 (m, 24H CH2CH2CH2CH3), 0.92 (t, 12H, CH2CH3, 3JHH = 6.9 Hz); 13C{1H} NMR (126 MHz, CDCl3): δ = 155.15–115.67 (arom. C’s), 100.18 (s, OCH2O), 100.02 (s, OCH2O), 99.78 (s, OCH2O), 37.00 (s, CHCH2), 36.75 (s, CHCH2), 36.50 (s, CHCH2), 32.14 (s, CH2CH2CH3), 32.10 (s, CH2CH2CH3), 32.06 (s, CH2CH2CH3), 29.95 (s, CHCH2), 29.91 (s, CHCH2), 29.86 (s, CHCH2), 27.67 (s, CHCH2CH2), 27.65 (s, CHCH2CH2), 27.62 (s, CHCH2CH2), 22.83 (s, CH2CH3), 22.80 (s, CH2CH3), 22.79 (s, CH2CH3), 14.27 (s, CH2CH3), 14.23 (s, CH2CH3) ppm. Elemental analysis (%): calcd for C52H62O8N6 (899.08): C: 69.47; H: 6.95; N: 9.35; found C: 69.55; H: 7.02 N: 9.31.
3.1.2. General Procedure for the Synthesis of 5,X-Diamino-4(24),6(10),12(16),18(22)-te-tramethylenedioxy-2,8,14,20-tetrapentyl-resorcin[4]arene (X = 11 or 17)
The hydrogenation experiment was carried out in a glass-lined stainless steel autoclave (100 mL) containing a magnetic stirrer bar. Palladium-on-carbon (10% Pd w/w, 0.200 g) was added. The autoclave was closed, flushed twice with hydrogen, a solution of diazide-cavitand (1.500 g, 1.66 mmol) in CH2Cl2 (15 mL) was added, the autoclave pressurized to 5 bar, and the reaction mixture was stirred at room temperature for 24 h. The autoclave was depressurized, the solution was passed through a plug of Celite, and the solvent was evaporated under reduced pressure.
5,17-Diamino-4(24),6(10),12(16),18(22)-tetramethylenedioxy-2,8,14,20-tetrapentyl-resorcin[4]arene (4): Yield 1.395 g (100%). 1H NMR (300 MHz, CDCl3): δ = 7.08 (s, 2H, arom. CH), 6.48 (s, 2H, arom. CH), 6.47 (s, 2H, arom. CH), 5.79 and 4.42 (AB spin system, 8H, OCH2O, 2JHH = 6.9 Hz), 4.68 (t, 4H, CHCH2, 3JHH = 8.1 Hz), 3.77 (s, 4H, NH2), 2.24–2.12 (m, 8H, CHCH2), 1.44–1.31 (m, 24H CH2CH2CH2CH3), 0.91 (t, 12H, CH2CH3, 3JHH = 7.0 Hz); 13C{1H} NMR (126 MHz, CDCl3): δ = 154.80–107.32 (arom. C’s), 99.28 (s, OCH2O), 36.77 (s, CHCH2), 32.23 (s, CH2CH2CH3), 29.93 (s, CHCH2), 27.79 (s, CHCH2CH2), 22.85 (s, CH2CH3), 14.27 (s, CH2CH3) ppm. Elemental analysis (%): calcd for C52H66O8N2 (847.09): C: 73.73; H: 7.85; N: 3.31; found C: 73.67; H: 7.78 N: 3.24.
5,11-Diamino-4(24),6(10),12(16),18(22)-tetramethylenedioxy-2,8,14,20-tetrapentyl-resorcin[4]arene (5): Yield: 1.412 g (100%). 1H NMR (300 MHz, CDCl3): δ = 7.09 (s, 2H, arom. CH), 6.50 (s, 2H, arom. CH), 6.48 (s, 2H, arom. CH), 5.84 and 4.32 (AB spin system, 2H, OCH2O, 2JHH = 6.9 Hz), 5.79 and 4.41 (AB spin system, 4H, OCH2O, 2JHH = 6.9 Hz), 5.74 and 4.51 (AB spin system, 2H, OCH2O, 2JHH = 7.2 Hz), 4.71 (t, 1H, CHCH2, 3JHH = 8.4 Hz), 4.68 (t, 2H, CHCH2, 3JHH = 8.1 Hz), 4.65 (t, 1H, CHCH2, 3JHH = 8.1 Hz), 3.75 (s br, 4H NH2), 2.25–2.11 (m, 8H, CHCH2), 1.44–1.31 (m, 24H CH2CH2CH2CH3), 0.91 (t, 12H, CH2CH3, 3JHH = 7.2 Hz); 13C{1H} NMR (126 MHz, CDCl3): δ = 154.97–107.77 (arom. C’s), 99.61 (s, OCH2O), 99.29 (s, OCH2O), 98.95 (s, OCH2O), 37.02 (s, CHCH2), 36.77 (s, CHCH2), 36.51 (s, CHCH2), 32.27 (s, CH2CH2CH3), 32.23 (s, CH2CH2CH3), 32.18 (s, CH2CH2CH3), 30.02 (s, CHCH2), 29.93 (s, CHCH2), 29.82 (s, CHCH2), 27.84 (s, CHCH2CH2), 27.79 (s, CHCH2CH2), 27.73 (s, CHCH2CH2), 22.86 (s, CH2CH3), 22.85 (s, CH2CH3), 22.84 (s, CH2CH3), 14.28 (s, CH2CH3), 14.26 (s, CH2CH3), 14.25 (s, CH2CH3) ppm. Elemental analysis (%): calcd for C52H66O8N2 (847.09): C: 73.73; H: 7.85; N: 3.31; found C: 73.62; H: 7.74 N: 3.26.
3.1.3. General Procedure for the Synthesis of Ruthenium Complexes (1–3)
A solution of [RuCl2(p-cymene)2]2 (0.5 or 1 equiv./amino-cavitand) in CH2Cl2 (10 mL) was added to a stirred solution (CH2Cl2, 5 mL) of amino-cavitand (0.36 mmol) and was stirred at room temperature for 24 h. The reaction mixture was concentrated at ca. 1 mL, after which Et2O (50 mL) was added. The red precipitate was separated by filtration and dried under vacuum.
N,N′-{5,17-Diamino-4(24),6(10),12(16),18(22)-tetramethylenedioxy-2,8,14,20-tetra-pentylresorcin[4]arene}-bis-[dichloro-(p-cymene)-ruthenium(II)] (1): Yield: 0.362 g (71%). 1H NMR (300 MHz, CDCl3): δ = 7.08 (s, 2H, arom. CH of resorcinarene), 6.97 (s, 2H, arom. CH of resorcinarene), 6.59 (s, 2H, arom. CH of resorcinarene), 29 (br s, 1H, arom. CH of resorcinarene), 5.93 (A part of the AB spin system, 4H, OCH2O, 2JHH = 6.3 Hz), 5.47 and 5.34 (AA’BB’ spin system, 4H, arom. CH of p-cymene, 3JHH = 6.0 Hz), 4.84–4.55 (m, 16H, arom. CH of p-cymene, B part of the AB spin system of OCH2O, NH2 and CHCH2), 2.94–2.83 (m, 2H, CH(CH3)2), 2.44–2.30 (m, 4H, CHCH2CH2), 2.23–2.13 (m, 4H, CHCH2CH2), 2.19 (s, 3H, CH3 of p-cymene), 2.15 (s, 3H, CH3 of p-cymene), 1.48–1.32 (m, 24H CH2CH2CH2CH3), 1.27 (d, 6H, CH(CH3)2, 3JHH = 7.2 Hz), 1.24 (d, 6H, CH(CH3)2, 3JHH = 6.6 Hz), 0.91 (t, 12H, CH2CH3, 3JHH = 6.9 Hz); 13C{1H} NMR (126 MHz, CDCl3): δ = 154.86–115.11 (arom. C’s), 104.82 (s, Cquart. of p-cymene), 101.37 (s, Cquart. of p-cymene), 100.28 (s, OCH2O), 96.89 (s, Cquart. of p-cymene), 94.11 (s, Cquart. of p-cymene), 83.44 (s, arom. CH of p-cymene), 81.45 (s, arom. CH of p-cymene), 80.68 (s, arom. CH of p-cymene), 77.99 (s, arom. CH of p-cymene), 36.63 (s, CHCH2), 31.98 (s, CH2CH2CH3), 30.76 (s, CH(CH3)2), 30.55 (s, CH(CH3)2), 29.86 (s, CHCH2), 27.77 (s, CHCH2CH2), 22.89 (s, CH2CH3), 22.28 (s, CH(CH3)2), 22.03 (s, CH(CH3)2), 19.06 (s, CH3 of p-cymene), 18.43 (s, CH3 of p-cymene), 14.24 (s, CH2CH3) ppm. MS (ESI-TOF): m/z = 1423.42 [M − Cl]+ (expected isotopic profile). Elemental analysis (%): calcd for C72H94O8N2Cl4Ru2 (1459.47): C: 59.25; H: 6.49; N: 1.92; found C: 59.37; H: 6.55 N: 1.87.
N,N′-{5,11-Diamino-4(24),6(10),12(16),18(22)-tetramethylenedioxy-2,8,14,20-tetra-pentylresorcin[4]arene}-bis-[dichloro-(p-cymene)-ruthenium(II)] (2): Yield: 0.347 g (68%). 1H NMR (300 MHz, CDCl3): δ = 7.10 (s, 2H, arom. CH of resorcinarene), 6.97 (br s, 2H, arom. CH of resorcinarene), 6.53 (s, 2H, arom. CH of resorcinarene), 6.09–5.47 (m, 3H, A part of the AB spin system of OCH2O), 5.73 (A part of the AB spin system, 1H, OCH2O, 2JHH = 6.9 Hz), 5.48 and 5.34 (AA’BB’ spin system, 8H, arom. CH of p-cymene, 3JHH = 6.0 Hz), 4.85–4.30 (m, 12H, B part of the AB spin system of OCH2O, NH2 and CHCH2), 2.97–2.83 (m, 2H, CH(CH3)2), 2.41–2.18 (m, 8H, CHCH2CH2), 2.17 (s, 3H, CH3 of p-cymene), 2.16 (s, 3H, CH3 of p-cymene), 1.58–1.31 (m, 24H CH2CH2CH2CH3), 1.28 (d, 12H, CH(CH3)2, 3JHH = 6.9 Hz), 0.92 (t, 9H, CH2CH3, 3JHH = 7.0 Hz), 0.85 (t, 3H, CH2CH3, 3JHH = 7.2 Hz) ppm; 13C{1H} NMR (126 MHz, C6D6): δ = 155.70–117.26 (arom. C’s), 100.34 (s, Cquart. of p-cymene), 99.63 (s, OCH2O), 99.47 (s, OCH2O), 99.46 (s, OCH2O), 96.37 (s, Cquart. of p-cymene), 81.19 (s, arom. CH of p-cymene), 80.48 (s, arom. CH of p-cymene), 37.36 (s, CHCH2), 37.17 (s, CHCH2), 36.96 (s, CHCH2), 32.32 (s, CH2CH2CH3), 32.29 (s, CH2CH2CH3), 30.82 (s, CH(CH3)2), 30.41 (s, CHCH2), 30.37 (s, CHCH2), 30.30 (s, CHCH2), 28.17 (s, CHCH2CH2), 28.09 (s, CHCH2CH2), 27.98 (s, CHCH2CH2), 23.15 (s, CH2CH3), 23.10 (s, CH2CH3), 23.05 (s, CH2CH3), 22.11 (s, CH(CH3)2), 18.82 (s, CH3 of p-cymene), 14.29 (s, CH2CH3) ppm. MS (ESI-TOF): m/z = 1458.38 [M]+ and 1423.42 [M − Cl]+ (expected isotopic profile). Elemental analysis (%): calcd for C72H94O8N2Cl4Ru2 (1459.47): C: 59.25; H: 6.49; N: 1.92; found C: 59.12; H: 6.28 N: 1.85.
N-{5-Amino-4(24),6(10),12(16),18(22)-tetramethylenedioxy-2,8,14,20-tetrapentyl-re-sorcin[4]arene}-[dichloro-(p-cymene)-ruthenium(II)] (3): Yield: 0.295 g (72%). 1H NMR (300 MHz, C6D6): δ = 7.53 (s, 1H, arom. CH of resorcinarene), 7.49 (s, 2H, arom. CH of resorcinarene), 6.96 (s, 1H, arom. CH of resorcinarene), 6.69 (s, 1H, arom. CH of resorcinarene), 6.36 (s, 2H, arom. CH of resorcinarene), 5.58 and 4.38 (AB spin system, 4H, OCH2O, 2JHH = 7.2 Hz), 5.58 and 4.31 (AB spin system, 4H, OCH2O, 2JHH = 6.9 Hz), 5.15 (t, 2H, CHCH2, 3JHH = 7.8 Hz), 5.13 (t, 2H, CHCH2, 3JHH = 7.8 Hz), 5.01 and 4.83 (AA’BB’ spin system, 4H, arom. CH of p-cymene, 3J = 5.7 Hz), 3.55 (s br, 2H NH2), 2.84 (hept, 1H, CH(CH3)2, 3JHH = 6.9 Hz), 2.40–2.23 (m, 8H, CHCH2CH2), 1.83 (s, 3H, CH3 of p-cymene), 1.42–1.20 (m, 24H CH2CH2CH2CH3), 1.04 (d, 6H, CH(CH3)2, 3JHH = 6.9 Hz), 0.89 (t, 3H, CH2CH3, 3JHH = 6.6 Hz), 0.83 (t, 9H, CH2CH3, 3JHH = 7.0 Hz); 13C{1H} NMR (126 MHz, C6D6): δ = 155.63–116.96 (arom. C’s), 100.27 (s, arom. Cquart. of p-cymene), 99.45 (s, OCH2O), 99.20 (s, OCH2O), 96.38 (s, arom. Cquart. of p-cymene), 81.19 (s, arom. CH of p-cymene), 80.45 (s, arom. CH of p-cymene), 37.19 (s, CHCH2), 36.97 (s, CHCH2), 32.34 (s, CH2CH2CH3), 32.30 (s, CH2CH2CH3), 31.96 (s, CH2CH2CH3), 30.81 (s, CH(CH3)2), 30.39 (s, CH(CH3)2), 28.08 (s, CHCH2CH2), 27.98 (s, CHCH2CH2), 23.08 (s, CH2CH3), 23.04 (s, CH2CH3), 22.10 (s, CH(CH3)2), 18.86 (s, CH3 of p-cymene), 14.28 (s, CH2CH3), 14.27 (s, CH2CH3) ppm. MS (ESI-TOF): m/z = 1138.43 [M + H]+ and 1102.45 [M − Cl]+ (expected isotopic profile). Elemental analysis (%): calcd for C62H79O8NCl2Ru (1138.27): C: 65.42; H: 7.00; N: 1.23; found C: 65.37; H: 6.94 N: 1.19.
3.2. X-Ray Crystal Structure Analysis
Single crystals of ruthenium(II) complex 3, suitable for X-ray analysis, were obtained through the slow diffusion of Et2O into a CHCl3 solution of the complex. The samples were studied on a Bruker PHOTON-III CPAD, using Mo-Kα radiation (λ = 0.71073 Å) at T = 120(2) K. The structures were solved with SHELXT-2018/2 [34], which revealed the non-hydrogen atoms of the molecule. After anisotropic refinement, all of the hydrogen atoms were found with a Fourier difference map. The structure was refined with SHELXL-2019/3 [35] using the full-matrix least-square technique (use of F square magnitude; x, y, z, and βij for C, Cl, N, O, and Ru atoms; x, y, and z in riding mode for H atoms) (Table 3). CCDC 2409059 contains the supplementary crystallographic data for this paper. The data can be obtained free of charge from the Cambridge Crystallographic Data Centre via www.ccdc.cam.ac.uk/structures (accessed on 13 January 2024).
Table 3.
Crystal data and structure refinement parameters for the ruthenium complex 3.
3.3. Catalytic Tests
In a Schlenk tube in an argon atmosphere, a solvent free solution of aniline (1.0 mmol), alcohol (2 mmol), base (1.0 mmol), and ruthenium catalyst (0.02 mmol, 2 mol%, based on ruthenium atom) was stirred at 120 °C for 24 h. After cooling to room temperature, the reaction mixture was diluted with CH2Cl2 (2 mL) and passed through a Millipore filter and analyzed by GC. All products were unambiguously identified by NMR spectroscopy (1H and 13C{1H}) after their isolation.
3.4. Computational Details
All calculations were performed with GAUSSIAN 09 (version D01) [36] at the DFT level of theory with a ωB97XD functional [37]. All atoms except the ruthenium were described by the 6-31+G** basis set [38]. The metal cation was described by the SDD pseudopotential and associated basis set [39]. All calculations were performed in solution using a PCM for aniline [40]. All structures were fully optimized, and the nature of the encountered stationary point was determined by a frequency calculation. Minima were characterized by a full set of real frequencies and the transition state by one imaginary frequency. Gibbs free energies were extracted from this calculation.
4. Conclusions
Here, we described the synthesis of three ruthenium(II) complexes, in which one or two “RuCl2(p-cymene)NH2” moieties were grafted onto the upper rim of resorcin[4]arene. The catalytic results of the N-alkylation of primary amines with arylmethyl alcohol using the green “hydrogen borrowing” methodology clearly demonstrated that the rate of the catalytic reaction is more important when bis-metallic pre-catalysts are employed, especially when the two metal centers were grafted onto proximal aromatic rings of the cavitand. The proximity between the ruthenium atom and the amine of the secondary grafted metallic center unquestionably explains the superior performance of this catalyst through a decrease in the two transition states higher in energies calculated for the hydrogen atoms transferred from the aniline and the aminoalcohol to the amine linked to the ruthenium. Future work will focus on the development of the resorcin[4]arene as a preorganization platform to study the synergy between a catalytic center and an amine function in a carbon–heteroatom bond formation.
Supplementary Materials
The following supporting information can be downloaded at: https://www.mdpi.com/article/10.3390/molecules30040951/s1. Characterizing data of 5,17-diazido-4(24),6(10),12(16),18(22)-tetramethyl-enedioxy-2,8,14,20-tetrapentyl-resorcin[4]arene (9), Figure S1. FT-IR spectrum, Figure S2. 1H NMR spectrum, Figure S3. 13C{1H} NMR spectrum; characterizing data of 5,11-diazido-4(24),6(10),12(16),18(22)-tetramethylenedioxy-2,8,14,20-tetrapentyl-resorcin[4]arene (10), Figure S4. FT-IR spectrum, Figure S5. 1H NMR spectrum, Figure S6. 13C{1H} NMR spectrum; characterizing data of 5,17-diamino-4(24),6(10),12(16),18(22)-tetramethylenedioxy-2,8,14,20-tetra-pentyl-resorcin[4]arene (4), Figure S7. FT-IR spectrum, Figure S8. 1H NMR spectrum, Figure S9. 13C{1H} NMR spectrum; characterizing data of 5,11-diamino-4(24),6(10),12(16),18(22)-tetramethyl-enedioxy-2,8,14,20-tetrapentyl-resorcin[4]arene (5), Figure S10. FT-IR spectrum, Figure S11. 1H NMR spectrum, Figure S12. 13C{1H} NMR spectrum; characterizing data of N,N′-{5,17-diamino-4(24),6(10),12(16),18(22)-tetramethylenedioxy-2,8,14,20-tetrapentylresorcin[4] arene}-bis-[dichloro-(p-cymene)-ruthenium(II)] (1), Figure S13. FT-IR spectrum, Figure S14. 1H NMR spectrum, Figure S15. 13C{1H} NMR spectrum, Figure S16. Mass spectrum (ESI-TOF) and X-Ray Crystal Structure Analysis of complex 1, Table S1. Crystal data and structure refinement parameters for the ruthenium complex 1, Figure S17. ORTEP drawing of ruthenium(II) complex 1; characterizing data of N,N′-{5,11-diamino-4(24),6(10),12(16),18(22)-tetramethylenedioxy-2,8,14,20-tetrapentylresorcin[4]arene}-bis-[dichloro-(p-cymene)-ruthenium(II)] (2), Figure S18. FT-IR spectrum, Figure S19. 1H NMR spectrum, Figure S20. 13C{1H} NMR spectrum, Figure S21. Mass spectrum (ESI-TOF); characterizing data of N-{5-amino-4(24),6(10),12(16),18(22)-tetramethylenedioxy-2,8,14,20-tetrapentyl-resorcin[4]arene}-[dichloro-(p-cymene)-ruthenium(II)] (3), Figure S22. FT-IR spectrum, Figure S23. 1H NMR spectrum, Figure S24. 13C{1H} NMR spectrum, Figure S25. Mass spectrum (ESI-TOF), Figure S26. Mass spectrum (ESI-TOF); NMR description of the catalytic products.
Author Contributions
Conceptualization, N.Ş. and D.S.; methodology, N.Ş., C.G. and D.S.; calculations, C.G.; validation, N.Ş., C.G. and D.S.; formal analysis, N.Ş.; investigation, N.Ş. and C.G.; resources, C.G. and D.S.; data curation, N.Ş., C.G. and D.S.; writing—original draft preparation, N.Ş.; writing—review and editing, D.S. All authors have read and agreed to the published version of the manuscript.
Funding
This research received no external funding.
Institutional Review Board Statement
Not applicable.
Informed Consent Statement
Not applicable.
Data Availability Statement
The data presented in this study are available upon request from the corresponding authors.
Acknowledgments
The authors thank İsmail Özdemir of İnönü University for his help and the many enriching discussions throughout this work. N.Ş. thanks the Scientific and Technological Research of Turkey (TÜBITAK-2219—International Postdoctoral Research Scholarship Program) for the research fellowship. C.G. thanks the HPC of Strasbourg for computational times.
Conflicts of Interest
The authors declare no conflicts of interest.
References
- Baeyer, A. Ueber die Verbindungen der Aldehyde mit den Phenolen. Ber. Dtsch. Chem. Ges. 1872, 5, 280–282. [Google Scholar] [CrossRef]
- Jain, V.K.; Kanaiya, P.H. Chemistry of calix[4]resorcinarenes. Russ. Chem. Rev. 2011, 80, 75–102. [Google Scholar] [CrossRef]
- Moran, J.R.; Karbach, S.; Cram, D.J. Cavitands: Synthetic molecular vessels. J. Am. Chem. Soc. 1982, 104, 5826–5828. [Google Scholar] [CrossRef]
- Cram, D.J. Cavitands: Organic hosts with enforced cavities. Science 1983, 219, 1177–1183. [Google Scholar] [CrossRef]
- Gajjar, J.A.; Vekariya, R.H.; Parekh, H.M. Recent advances in upper rim functionalization of resorcin[4]arene derivatives: Synthesis and applications. Synth. Commun. 2020, 50, 2545–2571. [Google Scholar] [CrossRef]
- Liu, J.-L.; Sun, M.; Shi, Y.-H.; Zhou, X.-M.; Zhang, P.-Z.; Jia, A.-Q.; Zhang, Q.-F. Functional modification, self-assembly and application of calix[4]resorcinarenes. J. Incl. Phenom. Macrocycl. Chem. 2022, 102, 201–233. [Google Scholar] [CrossRef]
- Natarajan, N.; Brenner, E.; Sémeril, D.; Matt, D.; Harrowfield, J. The use of resorcinarene cavitands in metal-based catalysis. J. Eur. J. Org. Chem. 2017, 6100–6113. [Google Scholar] [CrossRef]
- Wang, K.; Liu, Q.; Zhou, L.; Sun, H.; Yao, X.; Hu, X.-Y. State-of-the-art and recent progress in resorcinarene-based cavitand. Chin. Chem. Lett. 2023, 34, 108559. [Google Scholar] [CrossRef]
- Eisler, D.J.; Puddephatt, R.J. Structures and conformational dynamics of gold(I) halide complexes of resorcinarene tetraphosphinite ligands. Inorg. Chem. 2003, 42, 6352–6365. [Google Scholar] [CrossRef]
- El Moll, H.; Sémeril, D.; Matt, D.; Toupet, L. Regioselective grafting of two -CH2P(X)Ph2 units (X = O, lone pair) onto a resorcin[4]arene-derived cavitand. Eur. J. Org. Chem. 2010, 1158–1168. [Google Scholar] [CrossRef]
- El Moll, H.; Sémeril, D.; Matt, D.; Toupet, L. Resorcin[4]arene-derived mono- and diphosphines in Suzuki cross-coupling. Adv. Synth. Catal. 2010, 352, 901–908. [Google Scholar] [CrossRef]
- Şahin, N.; Sémeril, D.; Brenner, E.; Matt, D.; Özdemir, İ.; Kaya, C. Resorcinarene-functionalised imidazolium salts as ligand precursors for palladium-catalysed Suzuki-Miyaura cross-couplings. ChemCatChem 2013, 5, 1116–1125. [Google Scholar] [CrossRef]
- Ngodwana, L.; Bose, S.; Smith, V.; van Otterlo, W.A.L.; Arnott, G.E. A bidentate resorcinarene-based palladium carbene complex. Eur. J. Inorg. Chem. 2017, 1923–1929. [Google Scholar] [CrossRef]
- Gibson, C.; Rebek, J., Jr. Recognition and catalysis in allylic alkylations. Org. Lett. 2002, 4, 1887–1890. [Google Scholar] [CrossRef] [PubMed]
- Endo, N.; Inoue, M.; Iwasawa, T. Rational design of a metallocatalytic cavitand for regioselective hydration of specific alkynes. Eur. J. Org. Chem. 2018, 1136–1140. [Google Scholar] [CrossRef]
- Smart, J.E.; Emerson-King, J.; Jeans, R.J.; Hood, T.M.; Lau, S.; Bara-Estaún, A.; Hintermair, U.; Pringle, P.G.; Chaplin, A.B. A resorcin[4]arene-based phosphite-phosphine ligand for the branched-selective hydroformylation of alkyl alkenes. ACS Catal. 2024, 14, 11803–11807. [Google Scholar] [CrossRef] [PubMed]
- Hkiri, S.; Sémeril, D. How do positions of phosphito units on a calix[4]arene platform affect the enantioselectivity of a catalytic reaction? Organics 2022, 3, 470–480. [Google Scholar] [CrossRef]
- Inoue, M.; Kamiguchi, S.; Ugawa, K.; Hkiri, S.; Bouffard, J.; Sémeril, D.; Iwasawa, T. Evaluation of the catalytic capability of cis- and trans-diquinoxaline spanned cavitands. Eur. J. Org. Chem. 2019, 6261–6268. [Google Scholar] [CrossRef]
- Nixon, T.D.; Whittlesey, M.K.; Williams, J.M.J. Transition metal catalysed reactions of alcohols using borrowing hydrogen methodology. Dalton Trans. 2009, 753–762. [Google Scholar] [CrossRef]
- Bähn, S.; Imm, S.; Neubert, L.; Zhang, M.; Neumann, H.; Beller, M. The catalytic amination of alcohols. ChemCatChem 2011, 3, 1853–1864. [Google Scholar] [CrossRef]
- Corma, A.; Navas, J.; Sabater, M.J. Advances in one-pot synthesis through borrowing hydrogen catalysis. Chem. Rev. 2018, 118, 1410–1459. [Google Scholar] [CrossRef]
- Reed-Berendt, B.G.; Latham, D.E.; Dambatta, M.B.; Morrill, L.C. Borrowing hydrogen for organic synthesis. ACS Cent. Sci. 2021, 7, 570–585. [Google Scholar] [CrossRef] [PubMed]
- Natarajan, N.; Chavagnan, T.; Sémeril, D.; Brenner, E.; Matt, D.; Ramesh, R.; Toupet, L. Cavitand chemistry: Nickel half-sandwich complexes with imidazolylidene ligands bearing one or two resorcinarenyl substituents. Eur. J. Inorg. Chem. 2018, 890–896. [Google Scholar] [CrossRef]
- Binnani, C.; Tyagi, D.; Rai, R.K.; Mobin, S.M.; Singh, S.K. C-H Bond activation/arylation catalyzed by arene-ruthenium-aniline complexes in water. Chem. Asian J. 2016, 11, 3022–3031. [Google Scholar] [CrossRef]
- Tyagi, D.; Binnani, C.; Rai, R.K.; Dwivedi, A.D.; Gupta, K.; Li, P.-Z.; Zhao, Y.; Singh, S.K. Ruthenium-catalyzed oxidative homocoupling of arylboronic acids in water: Ligand tuned reactivity and mechanistic study. Inorg. Chem. 2016, 55, 6332–6343. [Google Scholar] [CrossRef]
- Martínez-Peña, F.; Pizarro, A.M. Control of reversible activation dynamics of [Ru{η6:κ1-C6H5(C6H4)NH2}(XY)]n+ and the effect of chelating-ligand variation. Chem. Eur. J. 2017, 23, 16231–16241. [Google Scholar] [CrossRef]
- Patel, B.; Ranjan, R.; Chauhan, N.R.; Mukhopadhyay, S.; Choudhuryc, A.R.; Vyas, K.M. N-coordinated Ru(II) catalyzed solvent free N-alkylation of primary amines with alcohols through borrowing hydrogen strategy. New J. Chem. 2023, 47, 8305–8317. [Google Scholar] [CrossRef]
- Şahin, N.; Özdemir, N.; Gürbüz, N.; Özdemir, İ. Novel N-alkylbenzimidazole-ruthenium (II) complexes: Synthesis and catalytic activity of N-alkylating reaction under solvent-free medium. Appl. Organometal. Chem. 2019, 33, e4704. [Google Scholar] [CrossRef]
- Kaloğlu, M.; Gürbüz, N.; Sémeril, D.; Özdemir, İ. Ruthenium(II)-(p-cymene)-N-heterocyclic carbene complexes for the N-alkylation of amine using the green hydrogen borrowing methodology. Eur. J. Inorg. Chem. 2018, 1236–1243. [Google Scholar] [CrossRef]
- Hamid, M.H.S.A.; Slatford, P.A.; Williams, J.M.J. Borrowing hydrogen in the activation of alcohols. Adv. Synth. Catal. 2007, 349, 1555–1575. [Google Scholar] [CrossRef]
- Chakrabarti, K.; Paul, B.; Maji, M.; Roy, B.C.; Shee, S.; Kundu, S. Bifunctional Ru(II) complex catalysed carbon-carbon bond formation: An eco-friendly hydrogen borrowing strategy. Org. Biomol. Chem. 2016, 14, 10988–10997. [Google Scholar] [CrossRef] [PubMed]
- Tucker, J.A.; Knobler, C.B.; Trueblood, K.N.; Cram, D.J. Host-guest complexation. 49. Cavitands containing two binding cavities. J. Am. Chem. Soc. 1989, 111, 3688–3699. [Google Scholar] [CrossRef]
- Hwang, H.; Kim, J.; Jeong, J.; Chang, S. Regioselective introduction of heteroatoms at the C-8 position of quinoline N-oxides: Remote C-H activation using N-oxide as a stepping stone. J. Am. Chem. Soc. 2014, 136, 10770–10776. [Google Scholar] [CrossRef]
- Sheldrick, G.M. SHELXT—Integrated space-group and crystal structure determination. Acta Crystallogr. Sect. A 2015, A71, 3–8. [Google Scholar] [CrossRef] [PubMed]
- Sheldrick, G.M. Crystal structure refinement with SHELXL. Acta Crystallogr. Sect. C 2015, C71, 3–8. [Google Scholar]
- Frisch, M.J.; Trucks, G.W.; Schlegel, H.B.; Scuseria, G.E.; Robb, M.A.; Cheeseman, J.R.; Scalmani, G.; Barone, V.; Petersson, G.A.; Nakatsuji, H.; et al. Gaussian 09, Revision D.01; Gaussian, Inc.: Wallingford, CT, USA, 2016. [Google Scholar]
- Chai, J.-D.; Head-Gordon, M. Long-range corrected hybrid density functionals with damped atom-atom dispersion corrections. Phys. Chem. Chem. Phys. 2008, 10, 6615–6620. [Google Scholar] [CrossRef]
- Ditchfield, R.; Hehre, W.J.; Pople, J.A. Self-consistent molecular orbital methods. 9. Extended gaussian-type basis for molecular-orbital studies of organic molecules. J. Chem. Phys. 1971, 54, 724–728. [Google Scholar] [CrossRef]
- Fuentealba, P.; Preuss, H.; Stoll, H.; Szentpály, L.V. A proper account of core-polarization with pseudopotentials—Single valence-electron alkali compounds. Chem. Phys. Lett. 1982, 89, 418–422. [Google Scholar] [CrossRef]
- Miertuš, S.; Scrocco, E.; Tomasi, J. Electrostatic interaction of a solute with a continuum. A direct utilization of ab initio molecular potentials for the prevision of solvent effects. Chem. Phys. 1981, 55, 117–129. [Google Scholar] [CrossRef]
Disclaimer/Publisher’s Note: The statements, opinions and data contained in all publications are solely those of the individual author(s) and contributor(s) and not of MDPI and/or the editor(s). MDPI and/or the editor(s) disclaim responsibility for any injury to people or property resulting from any ideas, methods, instructions or products referred to in the content. |
© 2025 by the authors. Licensee MDPI, Basel, Switzerland. This article is an open access article distributed under the terms and conditions of the Creative Commons Attribution (CC BY) license (https://creativecommons.org/licenses/by/4.0/).























