Serum Starvation Enhances the Antitumor Activity of Natural Matrices: Insights into Bioactive Molecules from Dromedary Urine Extracts
Abstract
1. Introduction
2. Results
2.1. Impact of FBS Concentration on Renal Cell Viability
2.2. Impact of Hyperosmotic Stress on Renal Cell Viability in Low-Serum Conditions
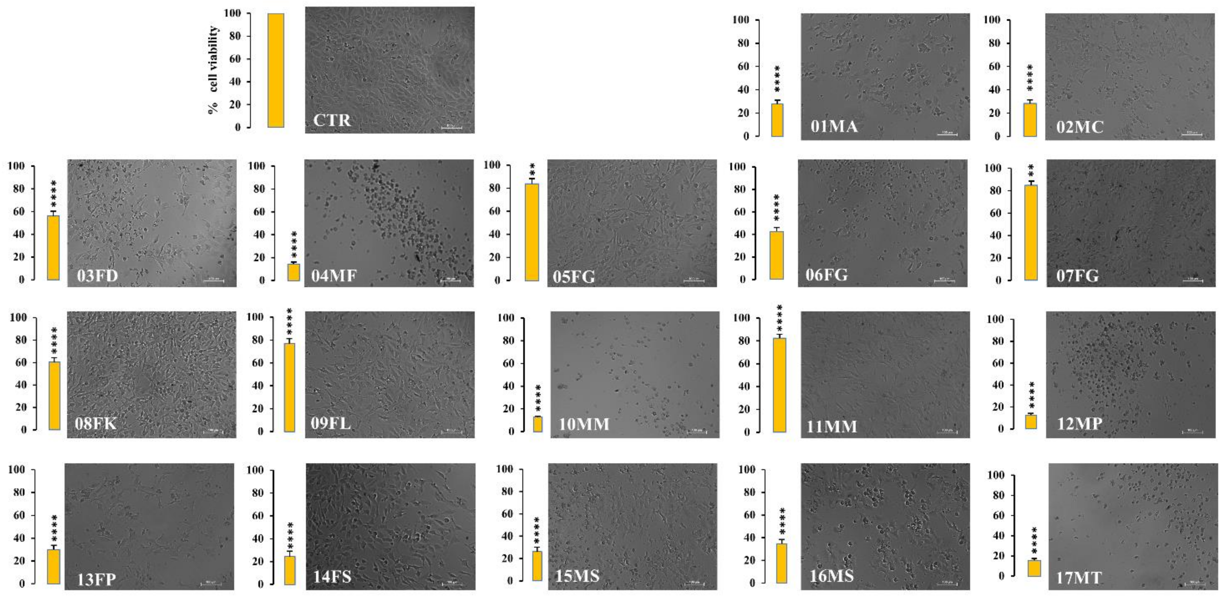
2.3. Impact of Dromedary Urine Solutions on Renal Cell Viability
2.4. Dromedary Urine Extracts Induce Apoptosis in Tumor Renal Cells
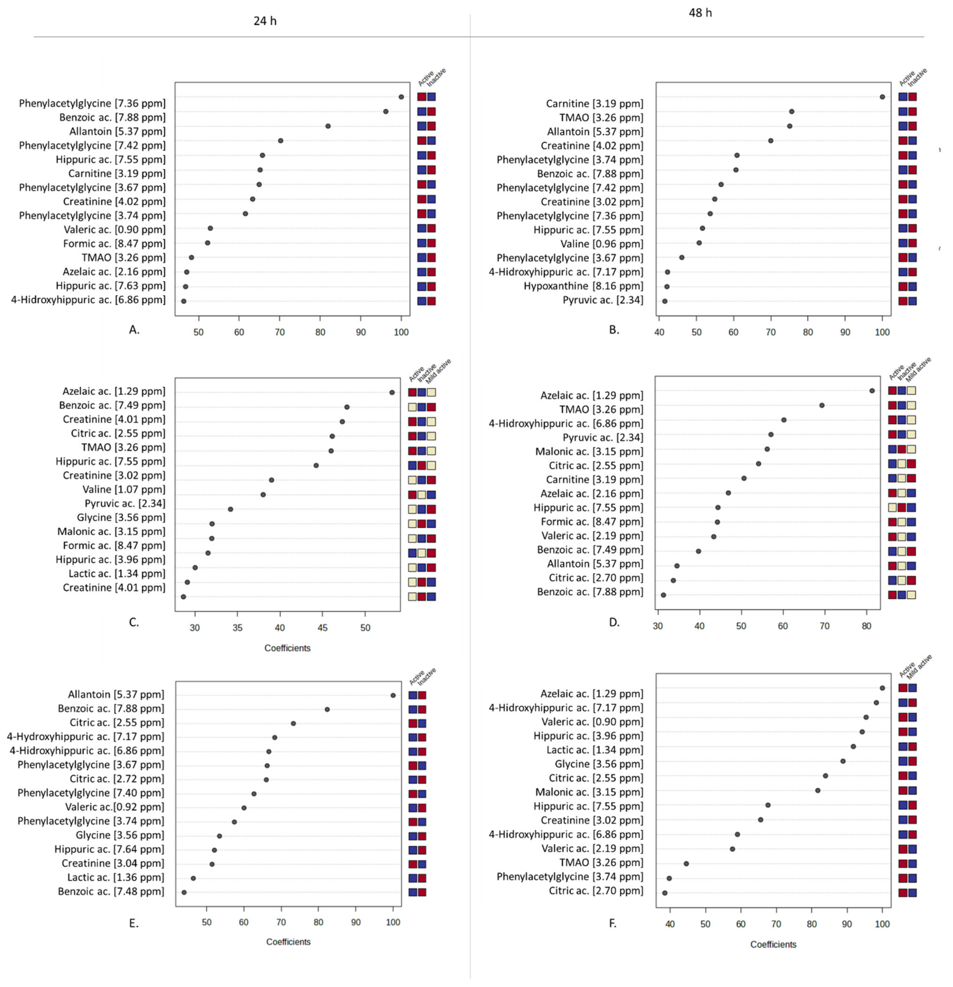
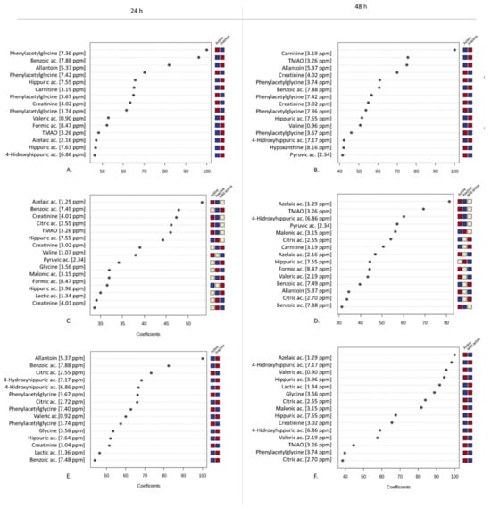
2.5. NMR Metabolic Characterization of Dromedary Urine Samples
3. Discussion
4. Materials and Methods
4.1. Urine Collection and Processing for In Vitro Assays
4.2. Assessment of Osmolarity in Dromedary Urine Samples
4.3. Cell Cultures
4.4. Preparation of Hyperosmolar Solutions
4.5. Preparation of Urine Samples for In Vitro Bioactivity Test
4.6. Cell Viability Assay
4.7. Annexin V-FITC/Propidium Iodide Double Staining
4.8. Nuclear Magnetic Resonance (NMR) Analysis
4.9. Chemometric Analysis
4.10. Statistical Analysis
5. Conclusions
Supplementary Materials
Author Contributions
Funding
Institutional Review Board Statement
Informed Consent Statement
Data Availability Statement
Acknowledgments
Conflicts of Interest
References
- Mathur, S.; Hoskins, C. Drug development: Lessons from nature (Review). Biomed. Rep. 2017, 6, 612–614. [Google Scholar] [CrossRef] [PubMed]
- Harvey, A.L.; Edrada-Ebel, R.; Quinn, R.J. The re-emergence of natural products for drug discovery in the genomics era. Nat. Rev. Drug Discov. 2015, 14, 111–129. [Google Scholar] [CrossRef]
- Iglesias Pastrana, C.; Delgado Bermejo, J.V.; Sgobba, M.N.; Navas Gonzalez, F.J.; Guerra, L.; Pinto, D.C.; Gil, A.M.; Duarte, I.F.; Lentini, G.; Ciani, E. Camel (Camelus spp.) Urine Bioactivity and Metabolome: A Systematic Review of Knowledge Gaps, Advances, and Directions for Future Research. Int. J. Mol. Sci. 2022, 23, 15024. [Google Scholar] [CrossRef] [PubMed]
- Al-Abdalall, A. The inhibitory effect of camels urine on mycotoxins and fungal growth. Afr. J. Agric. Res. 2010, 5, 1331–1337. [Google Scholar]
- Amina, R.; Habiba, R.; Abouddihaj, B. Camel urine as a potential source of bioactive molecules showing their efficacy against pathogens: A systematic review. Saudi J. Biol. Sci. 2024, 31, 103966. [Google Scholar] [CrossRef]
- Salamt, N.; Idrus, R.B.H.; Kashim, M.I.A.M.; Mokhtar, M.H. Anticancer, antiplatelet, gastroprotective and hepatoprotective effects of camel urine: A scoping review. Saudi Pharm. J. 2021, 29, 740–750. [Google Scholar] [CrossRef]
- Abdel Gader, A.G.M.; Alhaider, A.A. The unique medicinal properties of camel products: A review of the scientific evidence. J. Taibah Univ. Med. Sci. 2016, 11, 98–103. [Google Scholar] [CrossRef]
- Al-Yousef, N.; Gaafar, A.; Al-Otaibi, B.; Al-Jammaz, I.; Al-Hussein, K.; Aboussekhra, A. Camel urine components display anti-cancer properties in vitro. J. Ethnopharmacol. 2012, 143, 819–825. [Google Scholar] [CrossRef]
- Attas, A.; Khorshid, F.; Kao, M.; Bahieldin, A. Antiviral activity of extracted fraction from camel urine against corona and influenza a (H1N1) viruses. Appl. Ecol. Environ. Res. 2020, 17. [Google Scholar] [CrossRef]
- Pastrana, C.I.; Sgobba, M.N.; González, F.J.N.; Bermejo, J.V.D.; Pierri, C.L.; Lentini, G.; Musio, B.; Osman, T.K.S.; Gallo, V.; Duarte, I.F.; et al. Factors influencing the bioactivity of natural matrices: The case of osmolarity-dependent modulation of cell viability by different dilutions of camel urines. Res. Vet. Sci. 2024, 180, 105419. [Google Scholar] [CrossRef]
- Todisco, S.; Musio, B.; Pesce, V.; Cavalluzzi, M.M.; Petrosillo, G.; La Piana, G.; Sgobba, M.N.; Schlosserová, N.; Beltrame, L.C.; Di Lorenzo, R.; et al. Targeting mitochondrial impairment for the treatment of cardiovascular diseases: From hypertension to ischemia-reperfusion injury, searching for new pharmacological targets. Biochem. Pharmacol. 2023, 208, 115405. [Google Scholar] [CrossRef] [PubMed]
- Alkhamees, O.A.; Alsanad, S.M. A Review of the Therapeutic Characteristics of Camel Urine. Afr. J. Tradit. Complement. Altern. Med. 2017, 14, 120–126. [Google Scholar] [CrossRef]
- Gaughan, J. Which physiological adaptation allows camels to tolerate high heat load—And what more can we learn? J. Camelid Sci. 2011, 4, 85–88. [Google Scholar]
- Atanasov, A.G.; Zotchev, S.B.; Dirsch, V.M.; Supuran, C.T. Natural products in drug discovery: Advances and opportunities. Nat. Rev. Drug Discov. 2021, 20, 200–216. [Google Scholar] [CrossRef]
- Hirsch, C.; Schildknecht, S. In Vitro Research Reproducibility: Keeping Up High Standards. Front. Pharmacol. 2019, 10, 01484. Available online: https://www.frontiersin.org/journals/pharmacology/articles/10.3389/fphar.2019.01484/full (accessed on 29 November 2024). [CrossRef]
- Liu, S.; Yang, W.; Li, Y.; Sun, C. Fetal bovine serum, an important factor affecting the reproducibility of cell experiments. Sci. Rep. 2023, 13, 1942. [Google Scholar] [CrossRef]
- Santos, L.M.; Cardoso, P.e.S.; Diniz, E.A.; Rahhal, J.G.; Sipert, C.R. Different concentrations of fetal bovine serum affect cytokine modulation in Lipopolysaccharide-activated apical papilla cells in vitro. J. Appl. Oral. Sci. 2023, 31, e20230020. [Google Scholar] [CrossRef]
- Chelladurai, K.S.; Christyraj, J.D.S.; Rajagopalan, K.; Yesudhason, B.V.; Venkatachalam, S.; Mohan, M.; Vasantha, N.C.; Christyraj, J.R.S.S. Alternative to FBS in Animal Cell Culture—An Overview and Future Perspective. Heliyon 2021, 7, e07686. Available online: https://www.cell.com/heliyon/abstract/S2405-8440(21)01789-8 (accessed on 1 December 2024).
- Hestermann, E.V.; Stegeman, J.J.; Hahn, M.E. Serum Alters the Uptake and Relative Potencies of Halogenated Aromatic Hydrocarbons in Cell Culture Bioassays. Toxicol. Sci. 2000, 53, pp. 316–325. Available online: https://academic.oup.com/toxsci/article-abstract/53/2/316/1650421?redirectedFrom=fulltext (accessed on 1 December 2024).
- Fischer, F.C.; Abele, C.; Droge, S.T.; Henneberger, L.; König, M.; Schlichting, R.; Scholz, S.; Escher, B.I. Cellular Uptake Kinetics of Neutral and Charged Chemicals in in Vitro Assays Measured by Fluorescence Microscopy. Chem. Res. Toxicol. 2018, 31, 646–657. [Google Scholar] [CrossRef]
- Abdalla, M.A. Anatomical Features in the Kidney Involved in Water Conservation Through Urine Concentration in Dromedaries (Camelus dromedarius). Heliyon 2020, 6, e03139. Available online: https://www.cell.com/heliyon/abstract/S2405-8440(19)36798-2 (accessed on 23 August 2022). [CrossRef]
- Kültz, D. Hyperosmolality triggers oxidative damage in kidney cells. Proc. Natl. Acad. Sci. USA 2004, 101, 9177–9178. [Google Scholar] [CrossRef]
- Hosseiniyan Khatibi, S.M.; Zununi Vahed, F.; Sharifi, S.; Ardalan, M.; Mohajel Shoja, M.; Zununi Vahed, S. Osmolytes resist against harsh osmolarity: Something old something new. Biochimie 2019, 158, 156–164. [Google Scholar] [CrossRef] [PubMed]
- Chen, X.; Zhou, C.; Yan, C.; Ma, J.; Zheng, W. Hyperosmotic stress induces cisplatin sensitivity in ovarian cancer cells by stimulating aquaporin-5 expression. Exp. Ther. Med. 2015, 10, 2055–2062. [Google Scholar] [CrossRef] [PubMed][Green Version]
- Grauso, M.; Lan, A.; Andriamihaja, M.; Bouillaud, F.; Blachier, F. Hyperosmolar environment and intestinal epithelial cells: Impact on mitochondrial oxygen consumption, proliferation, and barrier function in vitro. Sci. Rep. 2019, 9, 11360. [Google Scholar] [CrossRef]
- Bálint, Z.; Krizbai, I.A.; Wilhelm, I.; Farkas, A.E.; Párducz, A.; Szegletes, Z.; Váró, G. Changes induced by hyperosmotic mannitol in cerebral endothelial cells: An atomic force microscopic study. Eur. Biophys. J. 2007, 36, 113–120. [Google Scholar] [CrossRef]
- Atanasov, A.G.; Waltenberger, B.; Pferschy-Wenzig, E.M.; Linder, T.; Wawrosch, C.; Uhrin, P.; Temml, V.; Wang, L.; Schwaiger, S.; Heiss, E.H.; et al. Discovery and resupply of pharmacologically active plant-derived natural products: A review. Biotechnol. Adv. 2015, 33, 1582–1614. [Google Scholar] [CrossRef]
- Zheng, X.; Baker, H.; Hancock, W.S.; Fawaz, F.; McCaman, M.; Pungor, E., Jr. Proteomic Analysis for the Assessment of Different Lots of Fetal Bovine Serum as a Raw Material for Cell Culture. Part IV. Application of Proteomics to the Manufacture of Biological Drugs. Biotechnol. Prog. 2006, 22, 1294–1300. [Google Scholar] [CrossRef]
- Baker, M. Reproducibility: Respect your cells! Nature 2016, 537, 433–435. [Google Scholar] [CrossRef] [PubMed]
- Wang, W.T.; Catto, J.W.F.; Meuth, M. Differential response of normal and malignant urothelial cells to CHK1 and ATM inhibitors. Oncogene 2015, 34, 2887–2896. [Google Scholar] [CrossRef] [PubMed]
- Zhao, P.; Chen, X.; Wang, Q.; Zou, H.; Xie, Y.; Liu, H.; Zhou, Y.; Liu, P.; Dai, H. Differential toxicity mechanism of gold nanoparticles in HK-2 renal proximal tubular cells and 786-0 carcinoma cells. Nanomedicine 2020, 15, 1079–1096. [Google Scholar] [CrossRef]
- Ohana, G.; Bar-Yehuda, S.; Barer, F.; Fishman, P. Differential effect of adenosine on tumor and normal cell growth: Focus on the A3 adenosine receptor. J. Cell Physiol. 2001, 186, 19–23. [Google Scholar] [CrossRef]
- SeSeashore-Ludlow, B.; Rees, M.G.; Cheah, J.H.; Cokol, M.; Price, E.V.; Coletti, M.E.; Jones, V.; Bodycombe, N.E.; Soule, C.K.; Gould, J.; et al. Harnessing Connectivity in a Large-Scale Small-Molecule Sensitivity Dataset. Cancer Discov. 2015, 5, 1210–1223. [Google Scholar] [CrossRef] [PubMed]
- Yao, F.; Madani Tonekaboni, S.A.; Safikhani, Z.; Smirnov, P.; El-Hachem, N.; Freeman, M.; Manem, V.S.; Haibe-Kains, B. Tissue specificity of in vitro drug sensitivity. J. Am. Med. Inform. Assoc. 2017, 25, 158–166. [Google Scholar] [CrossRef] [PubMed]
- Zhang, L.; Zhang, J.; Ye, Z.W.; Muhammad, A.; Li, L.; Culpepper, J.W.; Townsend, D.M.; Tew, K.D. Adaptive changes in tumor cells in response to reductive stress. Biochem. Pharmacol. 2024, 219, 115929. [Google Scholar] [CrossRef] [PubMed]
- Mfotie Njoya, E.; Ndemangou, B.; Akinyelu, J.; Munvera, A.M.; Chukwuma, C.I.; Mkounga, P.; Mashele, S.S.; Makhafola, T.J.; McGaw, L.J. In Vitro Antiproliferative, Anti-Inflammatory Effects and Molecular Docking Studies of Natural Compounds Isolated from Sarcocephalus pobeguinii (Hua ex Pobég). Front. Pharmacol. 2023, 14, 1205414. Available online: https://www.frontiersin.org/journals/pharmacology/articles/10.3389/fphar.2023.1205414/full (accessed on 30 January 2025). [CrossRef]
- Nakahara, R.; Maeda, K.; Aki, S.; Osawa, T. Metabolic adaptations of cancer in extreme tumor microenvironments. Cancer Sci. 2023, 114, 1200–1207. [Google Scholar] [CrossRef]
- Ismail, M.; Hassan, M.H.; Mohamed, E.I.; Azmy, A.F.; Moawad, A.; Mohammed, R.; Zaki, M.A. New insights into the anti-inflammatory and anti-melanoma mechanisms of action of azelaic acid and other Fusarium solani metabolites via in vitro and in silico studies. Sci. Rep. 2024, 14, 14370. [Google Scholar] [CrossRef]
- Breathnach, A.S. Azelaic acid: Potential as a general antitumoural agent. Med. Hypotheses. 1999, 52, 221–226. [Google Scholar] [CrossRef]
- Dongdong, Z.; Jin, Y.; Yang, T.; Yang, Q.; Wu, B.; Chen, Y.; Luo, Z.; Liang, L.; Liu, Y.; Xu, A.; et al. Antiproliferative and Immunoregulatory Effects of Azelaic Acid Against Acute Myeloid Leukemia via the Activation of Notch Signaling Pathway. Front. Pharmacol. 2019, 10, 1396. [Google Scholar] [CrossRef]
- Pan, Y.; Liu, D.; Wei, Y.; Su, D.; Lu, C.; Hu, Y.; Zhou, F. Azelaic Acid Exerts Antileukemic Activity in Acute Myeloid Leukemia. Front. Pharmacol. 2017, 8. Available online: https://www.frontiersin.org/journals/pharmacology/articles/10.3389/fphar.2017.00359/full (accessed on 2 December 2024). [CrossRef]
- Passi, S.; Picardo, M.; Zompetta, C.; Luca C de Breathnach, A.S.; Nazzaro-porro, M. The Oxyradical-Scavenging Activity of Azelaic Acid in Biological Systems. Free Radic. Res. Commun. 1991, 15, 17–28. [Google Scholar] [CrossRef]
- Perez-Dominguez, F.; Carrillo-Beltrán, D.; Blanco, R.; Muñoz, J.P.; Leon-Cruz, G.; Corvalan, A.H.; Urzua, U.; Calaf, G.M.; Aguayo, F. Role of Pirin, an Oxidative Stress Sensor Protein, in Epithelial Carcinogenesis. Biology 2021, 10, 116. [Google Scholar] [CrossRef] [PubMed]
- Pirin is an Iron-Dependent Redox Regulator of NF-κB. Available online: https://www.pnas.org/doi/10.1073/pnas.1221743110 (accessed on 1 December 2024).
- Jayab, N.A.; Abed, A.; Talaat, I.M.; Hamoudi, R. The molecular mechanism of NF-κB dysregulation across different subtypes of renal cell carcinoma. J. Adv. Res. 2024. Available online: https://www.sciencedirect.com/science/article/pii/S209012322400314X (accessed on 1 December 2024).
- Artemov, A.V.; Zhigalova, N.; Zhenilo, S.; Mazur, A.M.; Prokhortchouk, E.B. VHL inactivation without hypoxia is sufficient to achieve genome hypermethylation. Sci. Rep. 2018, 8, 10667. [Google Scholar] [CrossRef] [PubMed]
- Hu, J.; Tan, P.; Ishihara, M.; Bayley, N.A.; Schokrpur, S.; Reynoso, J.G.; Zhang, Y.; Lim, R.J.; Dumitras, C.; Yang, L.; et al. Tumor heterogeneity in VHL drives metastasis in clear cell renal cell carcinoma. Signal Transduct. Target. Ther. 2023, 8, 155. [Google Scholar] [CrossRef]
- Jiao, M.; Hu, M.; Pan, D.; Liu, X.; Bao, X.; Kim, J.; Li, F.; Li, C.Y. VHL loss enhances antitumor immunity by activating the anti-viral DNA-sensing pathway. iScience 2024, 27, 110285. Available online: https://www.cell.com/iscience/abstract/S2589-0042(24)01510-4 (accessed on 2 December 2024). [CrossRef]
- Xu, X.; Lu, W.J.; Shi, J.Y.; Su, Y.L.; Liu, Y.C.; Wang, L.; Xiao, C.X.; Chen, C.; Lu, Q. The gut microbial metabolite phenylacetylglycine protects against cardiac injury caused by ischemia/reperfusion through activating β2AR. Arch. Biochem. Biophys. 2021, 697, 108720. [Google Scholar] [CrossRef]
- Hu, W.; Kuang, X.; Zhang, Y.; Luo, Y.; Zhang, L. Neuroprotective effects of phenylacetylglycine via β2AR on cerebral ischemia/reperfusion injury in rats. Saudi Pharm. J. 2024, 32, 102210. [Google Scholar] [CrossRef]
- Arif, E.; Nihalani, D. Beta2-adrenergic receptor in kidney biology: A current prospective. Nephrology 2019, 24, 497–503. [Google Scholar] [CrossRef]
- Albiñana, V.; Gallardo-Vara, E.; de Rojas-P, I.; Recio-Poveda, L.; Aguado, T.; Canto-Cano, A.; Aguirre, D.T.; Serra, M.M.; González-Peramato, P.; Martínez-Piñeiro, L.; et al. Targeting β2-Adrenergic Receptors Shows Therapeutical Benefits in Clear Cell Renal Cell Carcinoma from Von Hippel–Lindau Disease. J. Clin. Med. 2020, 9, 2740. [Google Scholar] [CrossRef]
- Albiñana, V.; Recio-Poveda, L.; González-Peramato, P.; Martinez-Piñeiro, L.; Botella, L.M.; Cuesta, A.M. Blockade of β2-Adrenergic Receptor Reduces Inflammation and Oxidative Stress in Clear Cell Renal Cell Carcinoma. Int. J. Mol. Sci. 2022, 23, 1325. [Google Scholar] [CrossRef]
- Kamiar, A.; Yousefi, K.; Dunkley, J.C.; Webster, K.A.; Shehadeh, L.A. β2-Adrenergic receptor agonism as a therapeutic strategy for kidney disease. Am. J. Physiol. Regul. Integr. Comp. Physiol. 2021, 320, R575–R587. [Google Scholar] [CrossRef]
- Nakamura, A.; Niimi, R.; Yanagawa, Y. Renal β2-adrenoceptor Modulates the Lipopolysaccharide Transport System in Sepsis-induced Acute Renal Failure. Inflammation 2009, 32, 12–19. [Google Scholar] [CrossRef] [PubMed]
- Emwas, A.H.; Roy, R.; McKay, R.T.; Ryan, D.; Brennan, L.; Tenori, L.; Luchinat, C.; Gao, X.; Zeri, A.C.; Gowda, G.N.; et al. Recommendations and Standardization of Biomarker Quantification Using NMR-Based Metabolomics with Particular Focus on Urinary Analysis. J. Proteome Res. 2016, 15, 360–373. [Google Scholar] [CrossRef] [PubMed]
- Ryan, M.J.; Johnson, G.; Kirk, J.; Fuerstenberg, S.M.; Zager, R.A.; Torok-Storb, B. HK-2: An immortalized proximal tubule epithelial cell line from normal adult human kidney. Kidney Int. 1994, 45, 48–57. [Google Scholar] [CrossRef] [PubMed]
- Glube, N.; Giessl, A.; Wolfrum, U.; Langguth, P. Caki-1 Cells Represent an in vitro Model System for Studying the Human Proximal Tubule Epithelium. Nephron Exp. Nephrol. 2007, 107, e47–e56. [Google Scholar] [CrossRef]
- Caratozzolo, M.F.; Valletti, A.; Gigante, M.; Aiello, I.; Mastropasqua, F.; Marzano, F.; Ditonno, P.; Carrieri, G.; Simonnet, H.; D’Erchia, A.M.; et al. TRIM8 anti-proliferative action against chemo-resistant renal cell carcinoma. Oncotarget 2014, 5, 7446–7457. [Google Scholar] [CrossRef]
- Mevik, B.H.; Wehrens, R. The pls Package: Principal Component and Partial Least Squares Regression in R. J. Stat. Softw. 2007, 18, 1–23. [Google Scholar] [CrossRef]
- Kuhn, M. Building Predictive Models in R Using the caret Package. J. Stat. Softw. 2008, 28, 1–26. [Google Scholar] [CrossRef]
- Bijlsma, S.; Bobeldijk, I.; Verheij, E.R.; Ramaker, R.; Kochhar, S.; Macdonald, I.A.; Van Ommen, B.; Smilde, A.K. Large-Scale Human Metabolomics Studies: A Strategy for Data (Pre-) Processing and Validation. Anal. Chem. 2006, 78, 567–574. [Google Scholar] [CrossRef]









| Dromedary ID | Sex, Age (years) | Urine Osmolarity (mOsm/L) |
|---|---|---|
| 01MA | Male, 15 | 1112 |
| 02MC | Male, 13 | 1648 |
| 03FD | Female, 36 | 1000 |
| 04MF | Male, 2.5 | 1725 |
| 05FG | Female, 12.5 | 541 |
| 06FG | Female, 6 | 784 |
| 07FG | Female, 5 | 691 |
| 08FK | Female, 1.5 | 1095 |
| 09FL | Female, 12 | 1653 |
| 10MM | Male, 30 | 1727 |
| 11MM | Male, 14 | 424 |
| 12MP | Male, 34 | 1417 |
| 13FP | Female, 5 | 1917 |
| 14FS | Female, 20 | 1465 |
| 15MS | Male, 31 | 1513 |
| 16MS | Male, 5 | 1976 |
| 17MT | Male, 21 | 1915 |
| Metabolite | δ (ppm) and Multiplicity Details a |
|---|---|
| Valine | 0.96 (d, 7.0 Hz); 1.07 (d, 7.0 Hz) |
| Lactic ac. | 1.34 (d, 6.9 Hz); 4.14 (q) |
| Acetic ac. | 1.93 (s) |
| Pyruvic ac. | 2.34 (s) |
| Azelaic ac. | 1.29 (m); 1.54 (m); 2.16 (t, 3.2 Hz) |
| Valeric ac. | 0.9 (t, overlap); 1.31 (m); 1.53 (m); 2.19 (t, overlap)) |
| Creatinine | 3.02 (s); 4.01 (s) |
| Malonic ac. | 3.15 (s) |
| Carnitine | 3.19 (s) |
| Trimethylamine N-oxide (TMAO) | 3.26 (s) |
| Glycine | 3.56 (s) |
| Allantoin | 5.37 (s) |
| Citric ac. | 2.55 (d, 15.8 Hz); 2.70 (d, 15.7 Hz) |
| Phenylacetyl-glycine | 3.67 (s); 3.74 (s); 7.36 (m); 7.42 (m) |
| Hippuric acid | 7.55 (m); 7.63 (m); 7.83 (m); 3.96 (s) |
| 4-Hydroxyhippuric ac. | 6.86 (d, 8.5 Hz); 7.17 (d, 8.5 Hz) |
| Benzoic acid | 7.88 (m); 7.56 (m); 7.49 (m) |
| Hypoxanthine | 8.14 (s); 8.16(s) |
| Formic ac. | 8.47 (s) |
Disclaimer/Publisher’s Note: The statements, opinions and data contained in all publications are solely those of the individual author(s) and contributor(s) and not of MDPI and/or the editor(s). MDPI and/or the editor(s) disclaim responsibility for any injury to people or property resulting from any ideas, methods, instructions or products referred to in the content. |
© 2025 by the authors. Licensee MDPI, Basel, Switzerland. This article is an open access article distributed under the terms and conditions of the Creative Commons Attribution (CC BY) license (https://creativecommons.org/licenses/by/4.0/).
Share and Cite
Sgobba, M.N.; Musio, B.; Pastrana, C.I.; Todisco, S.; Schlosserovà, N.; Mastropirro, F.; Favia, M.; Radesco, A.; Duarte, I.F.; De Grassi, A.; et al. Serum Starvation Enhances the Antitumor Activity of Natural Matrices: Insights into Bioactive Molecules from Dromedary Urine Extracts. Molecules 2025, 30, 821. https://doi.org/10.3390/molecules30040821
Sgobba MN, Musio B, Pastrana CI, Todisco S, Schlosserovà N, Mastropirro F, Favia M, Radesco A, Duarte IF, De Grassi A, et al. Serum Starvation Enhances the Antitumor Activity of Natural Matrices: Insights into Bioactive Molecules from Dromedary Urine Extracts. Molecules. 2025; 30(4):821. https://doi.org/10.3390/molecules30040821
Chicago/Turabian StyleSgobba, Maria Noemi, Biagia Musio, Carlos Iglesias Pastrana, Stefano Todisco, Nikola Schlosserovà, Federica Mastropirro, Maria Favia, Antonio Radesco, Iola F. Duarte, Anna De Grassi, and et al. 2025. "Serum Starvation Enhances the Antitumor Activity of Natural Matrices: Insights into Bioactive Molecules from Dromedary Urine Extracts" Molecules 30, no. 4: 821. https://doi.org/10.3390/molecules30040821
APA StyleSgobba, M. N., Musio, B., Pastrana, C. I., Todisco, S., Schlosserovà, N., Mastropirro, F., Favia, M., Radesco, A., Duarte, I. F., De Grassi, A., Volpicella, M., Gallo, V., Pierri, C. L., Ciani, E., & Guerra, L. (2025). Serum Starvation Enhances the Antitumor Activity of Natural Matrices: Insights into Bioactive Molecules from Dromedary Urine Extracts. Molecules, 30(4), 821. https://doi.org/10.3390/molecules30040821

