Insights on the Mechanisms of the Protective Action of Naringenin, Naringin and Naringin Dihydrochalcone on Blood Cells in Terms of Their Potential Anti-Atherosclerotic Activity
Abstract
1. Introduction
2. Results
2.1. Determination of the Partition Coefficient Between 1-Octanol and Water (logPo/w) of Flavonoids and Their Solubility in Water
2.2. Antiradical Activity of Flavonoids
2.3. Interaction of Flavonoids with Human Erythrocytes
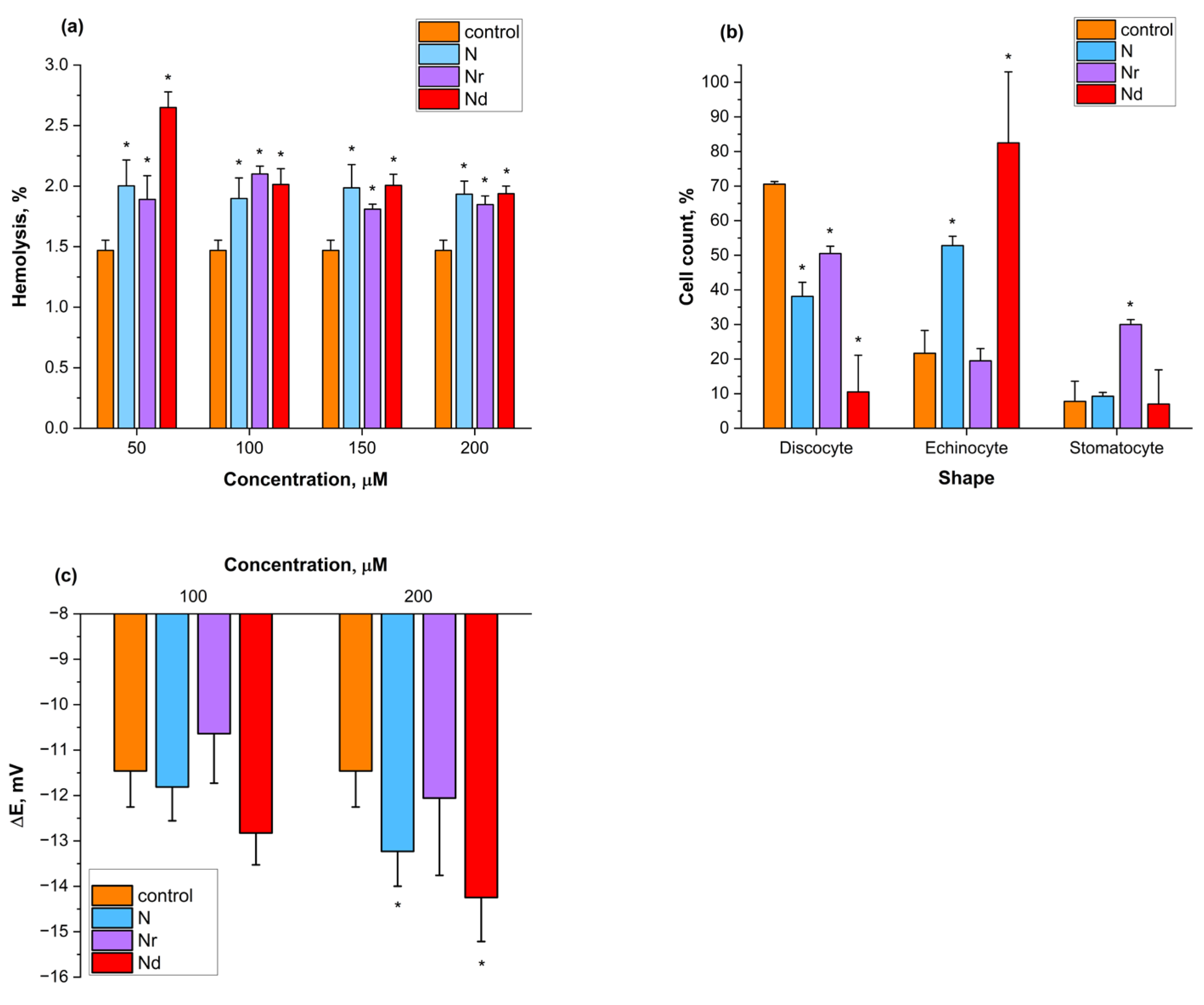
2.3.1. Hemolytic Activity of Flavonoids and Their Impact on the Osmotic Resistance of the Erythrocytes
2.3.2. Changes in the Shape of the Erythrocytes Induced by Flavonoids
2.3.3. Effect of Flavonoids on the Trans-Membrane Potential of the Erythrocytes
2.3.4. Inhibition of Free Radical-Induced Hemolysis by Flavonoids
2.3.5. Ability of Flavonoids to Prevent the Glutathione Oxidation in Human Erythrocytes
2.4. Effect of Flavonoids on the Mitochondrial Activity of the Human Peripheral Blood Mononuclear Cells (PBMCs) and Human Platelets
2.5. Interactions of Flavonoids with Human Platelets
2.5.1. Ability of Flavonoids to Induce Apoptosis and Necrosis in Platelets
2.5.2. Antiplatelet Activity of Flavonoids
2.6. Interactions of Flavonoids with Model Lipid Membrane
2.6.1. Effect of Flavonoids on the Hydrodynamic Diameter (HD) and Polydispersity Index (PDI) of the Liposomes
2.6.2. Effect of Flavonoids on Liposomes’ Dipole Potential (ψd)
3. Discussion
4. Materials and Methods
4.1. Materials
4.1.1. Compounds and Chemical Reagents
4.1.2. Biological Material
4.2. Methods
4.2.1. Determination of the Partition Coefficient Between 1-Octanol and Water (logPo/w) of Flavonoids
4.2.2. Antiradical Activity of Flavonoids
4.2.3. Cell Isolation
4.2.4. Interaction of the Flavonoids with Human Erythrocytes
Hemolytic Activity of the Flavonoids and Their Impact on the Osmotic Resistance of the Erythrocytes
Changes in the Shape of the Erythrocytes Induced by Flavonoids
Effect of Flavonoids on the Trans-Membrane Potential of the Erythrocytes
Inhibition of Free Radical-Induced Hemolysis by Flavonoids
Ability of Flavonoids to Prevent the Glutathione Oxidation in Human Erythrocytes
4.2.5. Effect of Flavonoids on the Mitochondrial Activity of the Human Peripheral Blood Mononuclear Cells (PBMCs) and Human Platelets
4.2.6. Interactions of Flavonoids with Human Platelets
Ability of Flavonoids to Induce Apoptosis and Necrosis in Platelets
Antiplatelet Activity of Flavonoids
4.2.7. Interactions of Flavonoids with Model Lipid Membrane
Preparation of Liposomes from the Extracted Lipids from Human Erythrocyte Membranes
Effect of Flavonoids on the Hydrodynamic Diameter (HD) and Polydispersity Index (PDI) of the Liposomes
Effect of Flavonoids on Liposomes’ Dipole Potential (ψd)
4.2.8. Statistical Analysis
5. Conclusions
Supplementary Materials
Author Contributions
Funding
Institutional Review Board Statement
Informed Consent Statement
Data Availability Statement
Conflicts of Interest
References
- Roth, G.A.; Mensah, G.A.; Johnson, C.O.; Addolorato, G.; Ammirati, E.; Baddour, L.M.; Barengo, N.C.; Beaton, A.Z.; Benjamin, E.J.; Benziger, C.P.; et al. Global Burden of Cardiovascular Diseases and Risk Factors, 1990–2019: Update From the GBD 2019 Study. J. Am. Coll. Cardiol. 2020, 76, 2982–3021. [Google Scholar] [CrossRef] [PubMed]
- Główny Urząd Statystyczny, Departament Badań Demograficznych. Trwanie Życia w Zdrowiu w 2022 r. 2022. Available online: https://stat.gov.pl/obszary-tematyczne/ludnosc/trwanie-zycia/trwanie-zycia-w-zdrowiu-w-2022-r-,5,3.html (accessed on 1 January 2022).
- Bäck, M.; Hansson, G. Basic Mechanisms of Atherosclerosis. In Chronic Coronary Artery Disease; Elsevier: Amsterdam, The Netherlands, 2018; pp. 45–54. [Google Scholar] [CrossRef]
- Kaźmierczak, T.; Bonarska-Kujawa, D.; Męczarska, K.; Cyboran-Mikołajczyk, S.; Oszmiański, J.; Kapusta, I. Analysis of the Polyphenolic Composition of Vaccinium L. Extracts and Their Protective Effect on Red Blood Cell Membranes. Membranes 2023, 13, 589. [Google Scholar] [CrossRef]
- Alam, M.A.; Subhan, N.; Rahman, M.M.; Uddin, S.J.; Reza, H.M.; Sarker, S.D. Effect of Citrus Flavonoids, Naringin and Naringenin, on Metabolic Syndrome and Their Mechanisms of Action. Adv. Nutr. 2014, 5, 404–417. [Google Scholar] [CrossRef]
- Sharma, K.; Mahato, N.; Lee, Y.R. Extraction, Characterization and Biological Activity of Citrus Flavonoids. Rev. Chem. Eng. 2019, 35, 265–284. [Google Scholar] [CrossRef]
- Chtourou, Y.; Slima, A.B.; Makni, M.; Gdoura, R.; Fetoui, H. Naringenin Protects Cardiac Hypercholesterolemia-Induced Oxidative Stress and Subsequent Necroptosis in Rats. Pharmacol. Rep. 2015, 67, 1090–1097. [Google Scholar] [CrossRef]
- Zhao, R.; Xiao, H.; Jin, T.; Xu, F.; Li, Y.; Li, H.; Zhang, Z.; Zhang, Y. Naringenin Promotes Cell Autophagy to Improve High-Fat-Diet-Induced Atherosclerosis in ApoE-/- Mice. Braz. J. Med. Biol. Res. 2021, 54, e9764. [Google Scholar] [CrossRef]
- Wang, J.; Yang, Z.; Lin, L.; Zhao, Z.; Liu, Z.; Liu, X. Protective Effect of Naringenin Against Lead-Induced Oxidative Stress in Rats. Biol. Trace Elem. Res. 2012, 146, 354–359. [Google Scholar] [CrossRef]
- Bodet, C.; La, V.D.; Epifano, F.; Grenier, D. Naringenin Has Anti-inflammatory Properties in Macrophage and Ex Vivo Human Whole-blood Models. J. Periodontal Res. 2008, 43, 400–407. [Google Scholar] [CrossRef]
- Yu, H.Y.; Park, S.W.; Chung, I.M.; Jung, Y.-S. Anti-Platelet Effects of Yuzu Extract and Its Component. Food Chem. Toxicol. 2011, 49, 3018–3024. [Google Scholar] [CrossRef]
- Chen, R.; Qi, Q.-L.; Wang, M.-T.; Li, Q.-Y. Therapeutic Potential of Naringin: An Overview. Pharm. Biol. 2016, 54, 3203–3210. [Google Scholar] [CrossRef]
- Bharti, S.; Rani, N.; Krishnamurthy, B.; Arya, D. Preclinical Evidence for the Pharmacological Actions of Naringin: A Review. Planta Medica 2014, 80, 437–451. [Google Scholar] [CrossRef] [PubMed]
- Xiao, Y.; Li, L.-L.; Wang, Y.-Y.; Guo, J.-J.; Xu, W.-P.; Wang, Y. Naringin Administration Inhibits Platelet Aggregation and Release by Reducing Blood Cholesterol Levels and the Cytosolic Free Calcium Concentration in Hyperlipidemic Rabbits. Exp. Ther. Med. 2014, 8, 968–972. [Google Scholar] [CrossRef] [PubMed]
- Gerçek, E.; Zengin, H.; Erişir, F.E.; Yılmaz, Ö. Biochemical Changes and Antioxidant Capacity of Naringin and Naringenin against Malathion Toxicity in Saccharomyces cerevisiae. Comp. Biochem. Physiol. Part C Toxicol. Pharmacol. 2021, 241, 108969. [Google Scholar] [CrossRef]
- Hirai, S.; Kim, Y.-I.; Goto, T.; Kang, M.-S.; Yoshimura, M.; Obata, A.; Yu, R.; Kawada, T. Inhibitory Effect of Naringenin Chalcone on Inflammatory Changes in the Interaction between Adipocytes and Macrophages. Life Sci. 2007, 81, 1272–1279. [Google Scholar] [CrossRef]
- Wang, R.; You, W.; Lin, H.; Cao, Y.; Xu, C.; Chen, K.; Liu, Y.; Li, X. Naringin, Neohesperidin and Their Corresponding Dihydrochalcones as Bioactive Substances: A Symphony of Bitter–Sweet. Food Qual. Saf. 2023, 7, fyad036. [Google Scholar] [CrossRef]
- Tian, M.; Li, S.; Qi, J.; Zhang, L.; Yu, X. Extraction of Naringin Dihydrochalcone and Its Effect on Reducing Blood Lipid Levels in Vitro. bioRxiv 2024. [Google Scholar] [CrossRef]
- Chen, L.; Teng, H.; Xie, Z.; Cao, H.; Cheang, W.S.; Skalicka-Woniak, K.; Georgiev, M.I.; Xiao, J. Modifications of Dietary Flavonoids towards Improved Bioactivity: An Update on Structure–Activity Relationship. Crit. Rev. Food Sci. Nutr. 2018, 58, 513–527. [Google Scholar] [CrossRef]
- Daina, A.; Michielin, O.; Zoete, V. SwissADME: A Free Web Tool to Evaluate Pharmacokinetics, Drug-Likeness and Medicinal Chemistry Friendliness of Small Molecules. Sci. Rep. 2017, 7, 42717. [Google Scholar] [CrossRef]
- Baluja, S.; Kulshrestha, A.; Movalia, J. 1-Octanol-Water Partition Coefficient of Some Cyanopyridine and Chalcone Compounds. Rev. Colomb. Cienc. Quím.-Farm. 2017, 46, 342–356. [Google Scholar] [CrossRef][Green Version]
- Rothwell, J.A.; Day, A.J.; Morgan, M.R.A. Experimental Determination of Octanol-Water Partition Coefficients of Quercetin and Related Flavonoids. J. Agric. Food Chem. 2005, 53, 4355–4360. [Google Scholar] [CrossRef]
- Nakamura, Y.; Watanabe, S.; Miyake, N.; Kohno, H.; Osawa, T. Dihydrochalcones: Evaluation as Novel Radical Scavenging Antioxidants. J. Agric. Food Chem. 2003, 51, 3309–3312. [Google Scholar] [CrossRef] [PubMed]
- Gulcin, İ.; Alwasel, S.H. DPPH Radical Scavenging Assay. Processes 2023, 11, 2248. [Google Scholar] [CrossRef]
- Bors, W.; Heller, W.; Michel, C.; Saran, M. Radical Chemistry of Flavonoid Antioxidants. In Advances in Experimental Medicine and Biology; Springer: Gateway East, Singapore, 1990; Volume 264, pp. 165–170. [Google Scholar] [CrossRef]
- Platzer, M.; Kiese, S.; Herfellner, T.; Schweiggert-Weisz, U.; Eisner, P. How Does the Phenol Structure Influence the Results of the Folin-Ciocalteu Assay? Antioxidants 2021, 10, 811. [Google Scholar] [CrossRef] [PubMed]
- González, E.A.; Nazareno, M.A. Antiradical Action of Flavonoid–Ascorbate Mixtures. LWT-Food Sci. Technol. 2011, 44, 558–564. [Google Scholar] [CrossRef]
- Cavia-Saiz, M.; Busto, M.D.; Pilar-Izquierdo, M.C.; Ortega, N.; Perez-Mateos, M.; Muñiz, P. Antioxidant Properties, Radical Scavenging Activity and Biomolecule Protection Capacity of Flavonoid Naringenin and Its Glycoside Naringin: A Comparative Study. J. Sci. Food Agric. 2010, 90, 1238–1244. [Google Scholar] [CrossRef]
- Bors, W.; Michel, C.; Stettmaier, K. Structure-Activity Relationships Governing Antioxidant Capacities of Plant Polyphenols. In Methods in Enzymology; Elsevier: Amsterdam, The Netherlands, 2001; Volume 335, pp. 166–180. [Google Scholar] [CrossRef]
- Brodowska, K.; Sykuła, A.; Garribba, E.; Łodyga-Chruścińska, E.; Sójka, M. Naringenin Schiff Base: Antioxidant Activity, Acid–Base Profile, and Interactions with DNA. Transit. Met. Chem. 2016, 41, 179–189. [Google Scholar] [CrossRef]
- Podsiedlik, M.; Markowicz-Piasecka, M.; Sikora, J. Erythrocytes as Model Cells for Biocompatibility Assessment, Cytotoxicity Screening of Xenobiotics and Drug Delivery. Chem. Biol. Interact. 2020, 332, 109305. [Google Scholar] [CrossRef]
- Deuticke, B. Properties and Structural Basis of Simple Diffusion Pathways in the Erythrocyte Membrane. Rev. Physiol. Biochem. Pharmacol. 1977, 78, 1–97. [Google Scholar] [CrossRef]
- Bessis, M. Red Cell Shapes. An Illustrated Classification and Its Rationale. Nouv. Rev. Fr. D’hematologie 1972, 12, 721–745. [Google Scholar]
- Bessis, M.; Weed, R.I. The Structure of Normal and Pathologic Erythrocytes. In Advances in Biological and Medical Physics; Elsevier: Amsterdam, The Netherlands, 1973; Volume 14, pp. 35–91. [Google Scholar] [CrossRef]
- Stasiuk, M.; Kijanka, G.; Kozubek, A. Transformations of erythrocytes shape and its regulation. Postepy Biochem. 2009, 55, 425–433. [Google Scholar]
- Deuticke, B. Transformation and Restoration of Biconcave Shape of Human Erythrocytes Induced by Amphiphilic Agents and Changes of Ionic Environment. Biochim. Biophys. Acta BBA-Biomembr. 1968, 163, 494–500. [Google Scholar] [CrossRef] [PubMed]
- Ajdzanovic, V.; Jakovljevic, V.; Milenkovic, D.; Konic-Ristic, A.; Zivanovic, J.; Jaric, I.; Milosevic, V. Positive Effects of Naringenin on Near-Surface Membrane Fluidity in Human Erythrocytes. Acta Physiol. Hung. 2015, 102, 131–136. [Google Scholar] [CrossRef] [PubMed]
- Selvaraj, S.; Krishnaswamy, S.; Devashya, V.; Sethuraman, S.; Krishnan, U.M. Investigations on the Membrane Interactions of Naringin and Its Complexes with Copper and Iron: Implications for Their Cytotoxicity. RSC Adv. 2014, 4, 46407–46417. [Google Scholar] [CrossRef]
- Zavodnik, I.B.; Piasecka, A.; Szosland, K.; Bryszewska, M. Human Red Blood Cell Membrane Potential and Fluidity in Glucose Solutions. Scand. J. Clin. Lab. Investig. 1997, 57, 59–63. [Google Scholar] [CrossRef]
- Zavodnik, I.B.; Lapshina, E.A.; Palecz, D.; Bryszewska, M. The Effects of Palmitate on Human Erythrocyte Membrane Potential and Osmotic Stability. Scand. J. Clin. Lab. Investig. 1996, 56, 401–407. [Google Scholar] [CrossRef]
- Gedde, M.M.; Huestis, W.H. Membrane Potential and Human Erythrocyte Shape. Biophys. J. 1997, 72, 1220–1233. [Google Scholar] [CrossRef]
- Shaik, N.; Zbidah, M.; Lang, F. Inhibition of Ca2+ Entry and Suicidal Erythrocyte Death by Naringin. Cell. Physiol. Biochem. 2012, 30, 678–686. [Google Scholar] [CrossRef]
- Cyboran-Mikołajczyk, S.; Pasławski, R.; Pasławska, U.; Nowak, K.; Płóciennik, M.; Męczarska, K.; Oszmiański, J.; Bonarska-Kujawa, D.; Kowalczyk, P.; Wawrzyńska, M. Comparison of Osmotic Resistance, Shape and Transmembrane Potential of Erythrocytes Collected from Healthy and Fed with High Fat-Carbohydrates Diet (HF-CD) Pigs—Protective Effect of Cistus incanus L. Extracts. Mater. 2021, 14, 1050. [Google Scholar] [CrossRef]
- Peyrat-Maillard, M.N.; Cuvelier, M.E.; Berset, C. Antioxidant Activity of Phenolic Compounds in 2,2′-Azobis (2-Amidinopropane) Dihydrochloride (AAPH)-Induced Oxidation: Synergistic and Antagonistic Effects. J. Am. Oil Chem. Soc. 2003, 80, 1007. [Google Scholar] [CrossRef]
- Brot, N.; Weissbach, H. Biochemistry and Physiological Role of Methionine Sulfoxide Residues in Proteins. Arch. Biochem. Biophys. 1983, 223, 271–281. [Google Scholar] [CrossRef]
- Zhang, X.; Li, M.; Wu, H.; Fan, W.; Zhang, J.; Su, W.; Wang, Y.; Li, P. Naringenin Attenuates Inflammation, Apoptosis, and Ferroptosis in Silver Nanoparticle-Induced Lung Injury through a Mechanism Associated with Nrf2/HO-1 Axis: In Vitro and in Vivo Studies. Life Sci. 2022, 311, 121127. [Google Scholar] [CrossRef] [PubMed]
- Xie, Y.; Hou, W.; Song, X.; Yu, Y.; Huang, J.; Sun, X.; Kang, R.; Tang, D. Ferroptosis: Process and Function. Cell Death Differ. 2016, 23, 369–379. [Google Scholar] [CrossRef] [PubMed]
- Cai, Y.-Z.; Sun, M.; Xing, J.; Luo, Q.; Corke, H. Structure–Radical Scavenging Activity Relationships of Phenolic Compounds from Traditional Chinese Medicinal Plants. Life Sci. 2006, 78, 2872–2888. [Google Scholar] [CrossRef]
- Maridonneau-Parini, I.; Braquet, P.; Garay, R.P. Heterogenous Effect of Flavonoids on K+ Loss and Lipid Peroxidation Induced by Oxygen-Free Radicals in Human Red Cells. Pharmacol. Res. Commun. 1986, 18, 61–72. [Google Scholar] [CrossRef]
- Kumar, M.S.; Unnikrishnan, M.K.; Patra, S.; Murthy, K.; Srinivasan, K.K. Naringin and Naringenin Inhibit Nitrite-Induced Methemoglobin Formation. Die Pharm.-Int. J. Pharm. Sci. 2003, 58, 564–566. [Google Scholar]
- Halliwell, B.; Gutteridge, J.M.C. Free Radicals in Biology and Medicine; Oxford University Press: New York, NY, USA, 2015. [Google Scholar]
- Akerboom, T.P.; Bilzer, M.; Sies, H. The Relationship of Biliary Glutathione Disulfide Efflux and Intracellular Glutathione Disulfide Content in Perfused Rat Liver. J. Biol. Chem. 1982, 257, 4248–4252. [Google Scholar] [CrossRef]
- Cadenas, E.; Sies, H. Oxidative Stress: Excited Oxygen Species and Enzyme Activity. Adv. Enzym. Regul. 1985, 23, 217–237. [Google Scholar] [CrossRef]
- Sies, H.; Cadenas, E. Oxidative Stress: Damage to Intact Cells and Organs. Philos. Trans. R. Soc. B Biol. Sci. 1997, 311, 617–631. [Google Scholar] [CrossRef]
- Harisa, G.I. Naringin Mitigates Erythrocytes Aging Induced by Paclitaxel: An In Vitro Study. J. Biochem. Mol. Toxicol. 2014, 28, 129–136. [Google Scholar] [CrossRef]
- Galati, G.; Chan, T.; Wu, B.; O’Brien, P.J. Glutathione-Dependent Generation of Reactive Oxygen Species by the Peroxidase-Catalyzed Redox Cycling of Flavonoids. Chem. Res. Toxicol. 1999, 12, 521–525. [Google Scholar] [CrossRef]
- Galati, G.; Moridani, M.Y.; Chan, T.S.; O’Brien, P.J. Peroxidative Metabolism of Apigenin and Naringenin versus Luteolin and Quercetin: Glutathione Oxidation and Conjugation. Free Radic. Biol. Med. 2001, 30, 370–382. [Google Scholar] [CrossRef] [PubMed]
- Kocyigit, A.; Koyuncu, I.; Taskin, A.; Dikilitas, M.; Bahadori, F.; Turkkan, B. Antigenotoxic and Antioxidant Potentials of Newly Derivatized Compound Naringenin-Oxime Relative to Naringenin on Human Mononuclear Cells. Drug Chem. Toxicol. 2016, 39, 66–73. [Google Scholar] [CrossRef] [PubMed]
- Torcasio, R.; Cantafio, M.E.G.; Veneziano, C.; De Marco, C.; Ganino, L.; Valentino, I.; Occhiuzzi, M.A.; Perrotta, I.D.; Mancuso, T.; Conforti, F.; et al. Targeting of Mitochondrial Fission through Natural Flavanones Elicits Anti-Myeloma Activity. J. Transl. Med. 2024, 22, 208. [Google Scholar] [CrossRef] [PubMed]
- Vermes, I.; Haanen, C.; Steffens-Nakken, H.; Reutellingsperger, C. A Novel Assay for Apoptosis Flow Cytometric Detection of Phosphatidylserine Expression on Early Apoptotic Cells Using Fluorescein Labelled Annexin V. J. Immunol. Methods 1995, 184, 39–51. [Google Scholar] [CrossRef]
- Eray, M.; Mättö, M.; Kaartinen, M.; Andersson, L.C.; Pelkonen, J. Flow Cytometric Analysis of Apoptotic Subpopulations with a Combination of Annexin V-FITC, Propidium Iodide, and SYTO 17. J. Quant. Cell Sci. 2001, 43, 134–142. [Google Scholar] [CrossRef]
- Vogler, M.; Hamali, H.A.; Sun, X.-M.; Bampton, E.T.W.; Dinsdale, D.; Snowden, R.T.; Dyer, M.J.S.; Goodall, A.H.; Cohen, G.M. BCL2/BCL-X(L) Inhibition Induces Apoptosis, Disrupts Cellular Calcium Homeostasis, and Prevents Platelet Activation. Blood 2011, 117, 7145–7154. [Google Scholar] [CrossRef]
- Balykina, A.; Naida, L.; Kirkgöz, K.; Nikolaev, V.O.; Fock, E.; Belyakov, M.; Whaley, A.; Whaley, A.; Shpakova, V.; Rukoyatkina, N.; et al. Antiplatelet Effects of Flavonoid Aglycones Are Mediated by Activation of Cyclic Nucleotide-Dependent Protein Kinases. Int. J. Mol. Sci. 2024, 25, 4864. [Google Scholar] [CrossRef]
- Huo, Y.; Ley, K.F. Role of Platelets in the Development of Atherosclerosis. Trends Cardiovasc. Med. 2004, 14, 18–22. [Google Scholar] [CrossRef]
- Monagle, P. (Ed.) Haemostasis: Methods and Protocols; Methods in Molecular Biology; Humana Press: Totowa, NJ, USA, 2013; Volume 992. [Google Scholar] [CrossRef]
- Zaragozá, C.; Monserrat, J.; Mantecón, C.; Villaescusa, L.; Zaragozá, F.; Álvarez-Mon, M. Antiplatelet Activity of Flavonoid and Coumarin Drugs. Vasc. Pharmacol. 2016, 87, 139–149. [Google Scholar] [CrossRef]
- Wright, B.; Moraes, L.A.; Kemp, C.F.; Mullen, W.; Crozier, A.; Lovegrove, J.A.; Gibbins, J.M. A Structural Basis for the Inhibition of Collagen-stimulated Platelet Function by Quercetin and Structurally Related Flavonoids. Br. J. Pharmacol. 2010, 159, 1312–1325. [Google Scholar] [CrossRef]
- Guo, C.; Liu, S.; Yimeng, G.; Yin, Y.; Lin, J.; Chen, X.; Sun, M.-Z. Comparative function-structural analysis of antiplatelet and antiradical activities of flavonoid phytochemicals. J. Anim. Plant Sci. 2014, 24, 926–935. [Google Scholar]
- Danaei, M.; Dehghankhold, M.; Ataei, S.; Hasanzadeh Davarani, F.; Javanmard, R.; Dokhani, A.; Khorasani, S.; Mozafari, M.R. Impact of Particle Size and Polydispersity Index on the Clinical Applications of Lipidic Nanocarrier Systems. Pharmaceutics 2018, 10, 57. [Google Scholar] [CrossRef] [PubMed]
- Cyboran-Mikołajczyk, S.; Matczak, K.; Olchowik-Grabarek, E.; Sękowski, S.; Nowicka, P.; Krawczyk-Łebek, A.; Kostrzewa-Susłow, E. The Influence of the Chlorine Atom on the Biological Activity of 2′-Hydroxychalcone in Relation to the Lipid Phase of Biological Membranes—Anticancer and Antimicrobial Activity. Chem. Biol. Interact. 2024, 398, 111082. [Google Scholar] [CrossRef]
- Efimova, S.S.; Malev, V.V.; Ostroumova, O.S. Effects of Dipole Potential Modifiers on Heterogenic Lipid Bilayers. J. Membr. Biol. 2016, 249, 97–106. [Google Scholar] [CrossRef]
- Efimova, S.S.; Ostroumova, O.S. Modulation of the Dipole Potential of Model Lipid Membranes with Phytochemicals: Molecular Mechanisms, Structure–Activity Relationships, and Implications in Reconstituted Ion Channels. Membranes 2023, 13, 453. [Google Scholar] [CrossRef]
- Efimova, S.S.; Ostroumova, O.S. Effect of Dipole Modifiers on the Magnitude of the Dipole Potential of Sterol-Containing Bilayers. Langmuir 2012, 28, 9908–9914. [Google Scholar] [CrossRef]
- Goupy, P.; Dufour, C.; Loonis, M.; Dangles, O. Quantitative Kinetic Analysis of Hydrogen Transfer Reactions from Dietary Polyphenols to the DPPH Radical. J. Agric. Food Chem. 2003, 51, 615–622. [Google Scholar] [CrossRef]
- Kluska, M.; Juszczak, M.; Wysokiński, D.; Żuchowski, J.; Stochmal, A.; Woźniak, K. Kaempferol Derivatives Isolated from Lens culinaris Medik. Reduce DNA Damage Induced by Etoposide in Peripheral Blood Mononuclear Cells. Toxicol. Res. 2019, 8, 896–907. [Google Scholar] [CrossRef]
- Cyboran, S.; Strugała, P.; Włoch, A.; Oszmiański, J.; Kleszczyńska, H. Concentrated Green Tea Supplement: Biological Activity and Molecular Mechanisms. Life Sci. 2015, 126, 1–9. [Google Scholar] [CrossRef]
- Bonarska-Kujawa, D.; Cyboran-Mikołajczyk, S.; Kleszczyńska, H. Molecular Mechanism of Action of Chlorogenic Acid on Erythrocyte and Lipid Membranes. Mol. Membr. Biol. 2015, 32, 46–54. [Google Scholar] [CrossRef]
- An, F.; Cao, X.; Qu, H.; Wang, S. Attenuation of Oxidative Stress of Erythrocytes by the Plant-Derived Flavonoids Vitexin and Apigenin. Die Pharm.-Int. J. Pharm. Sci. 2015, 70, 724–732. [Google Scholar]
- Ellman, G.L. Tissue Sulfhydryl Groups. Arch. Biochem. Biophys. 1959, 82, 70–77. [Google Scholar] [CrossRef] [PubMed]
- Dodge, J.T.; Mitchell, C.; Hanahan, D.J. The Preparation and Chemical Characteristics of Hemoglobin-Free Ghosts of Human Erythrocytes. Arch. Biochem. Biophys. 1963, 100, 119–130. [Google Scholar] [CrossRef] [PubMed]
- Maddy, A.H. The Properties of the Protein of the Plasma Membrane of Ox Erythrocytes. Biochim. Biophys. Acta BBA-Gen. Subj. 1966, 117, 193–200. [Google Scholar] [CrossRef]
- Hammer, O.; Harper, D.; Ryan, P. PAST: Paleontological Statistics Software Package for Education and Data Analysis. Palaeontol. Electron. 2001, 4, 178kb. [Google Scholar]




| Partition Coefficient | Solubility in Water | DPPH Reduction | |||
|---|---|---|---|---|---|
| Compound | logPo/w ± SD | Consensus logP | milogP | Consensus logS | % ± SD |
| N | 1.54 ± 0.21 | 1.84 | 2.12 | −3.63 | 9.3 ± 0.1 |
| Nr | 0.26 ± 0.01 | −0.87 | −1.58 | −2.43 | 14.1 ± 0.2 |
| Nd | 0.88 ± 0.09 | −0.93 | −1.04 | −2.53 | 27.7 ± 0.7 |
| Flavonoid | Apoptotic Cells, % ± SD | Necrotic Cells, % ± SD |
|---|---|---|
| control | 3.9 ± 1.9 | 1.0 ± 0.7 |
| N | 1.4 ± 0.1 | 0.2 ± 0.1 |
| Nr | 2.6 ± 0.3 | 0.2 ± 0.1 |
| Nd | 1.6 ± 0.4 | 0.2 ± 0.2 |
Disclaimer/Publisher’s Note: The statements, opinions and data contained in all publications are solely those of the individual author(s) and contributor(s) and not of MDPI and/or the editor(s). MDPI and/or the editor(s) disclaim responsibility for any injury to people or property resulting from any ideas, methods, instructions or products referred to in the content. |
© 2025 by the authors. Licensee MDPI, Basel, Switzerland. This article is an open access article distributed under the terms and conditions of the Creative Commons Attribution (CC BY) license (https://creativecommons.org/licenses/by/4.0/).
Share and Cite
Kaźmierczak, T.; Cyboran-Mikołajczyk, S.; Trochanowska-Pauk, N.; Walski, T.; Nowicka, P.; Bonarska-Kujawa, D. Insights on the Mechanisms of the Protective Action of Naringenin, Naringin and Naringin Dihydrochalcone on Blood Cells in Terms of Their Potential Anti-Atherosclerotic Activity. Molecules 2025, 30, 547. https://doi.org/10.3390/molecules30030547
Kaźmierczak T, Cyboran-Mikołajczyk S, Trochanowska-Pauk N, Walski T, Nowicka P, Bonarska-Kujawa D. Insights on the Mechanisms of the Protective Action of Naringenin, Naringin and Naringin Dihydrochalcone on Blood Cells in Terms of Their Potential Anti-Atherosclerotic Activity. Molecules. 2025; 30(3):547. https://doi.org/10.3390/molecules30030547
Chicago/Turabian StyleKaźmierczak, Teresa, Sylwia Cyboran-Mikołajczyk, Natalia Trochanowska-Pauk, Tomasz Walski, Paulina Nowicka, and Dorota Bonarska-Kujawa. 2025. "Insights on the Mechanisms of the Protective Action of Naringenin, Naringin and Naringin Dihydrochalcone on Blood Cells in Terms of Their Potential Anti-Atherosclerotic Activity" Molecules 30, no. 3: 547. https://doi.org/10.3390/molecules30030547
APA StyleKaźmierczak, T., Cyboran-Mikołajczyk, S., Trochanowska-Pauk, N., Walski, T., Nowicka, P., & Bonarska-Kujawa, D. (2025). Insights on the Mechanisms of the Protective Action of Naringenin, Naringin and Naringin Dihydrochalcone on Blood Cells in Terms of Their Potential Anti-Atherosclerotic Activity. Molecules, 30(3), 547. https://doi.org/10.3390/molecules30030547

