Synthesis and Characterization of Activated Biocarbons Produced from Avocado Seeds Using the Non-Toxic and Environmentally Friendly Activating Agent K2CO3 for CO2 Capture
Abstract
1. Introduction
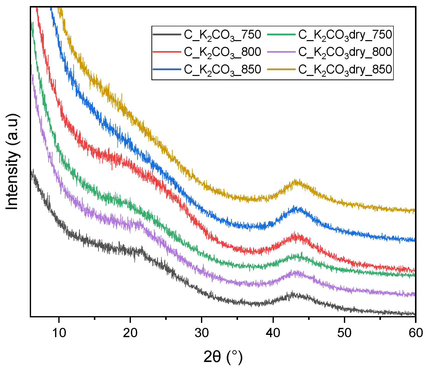
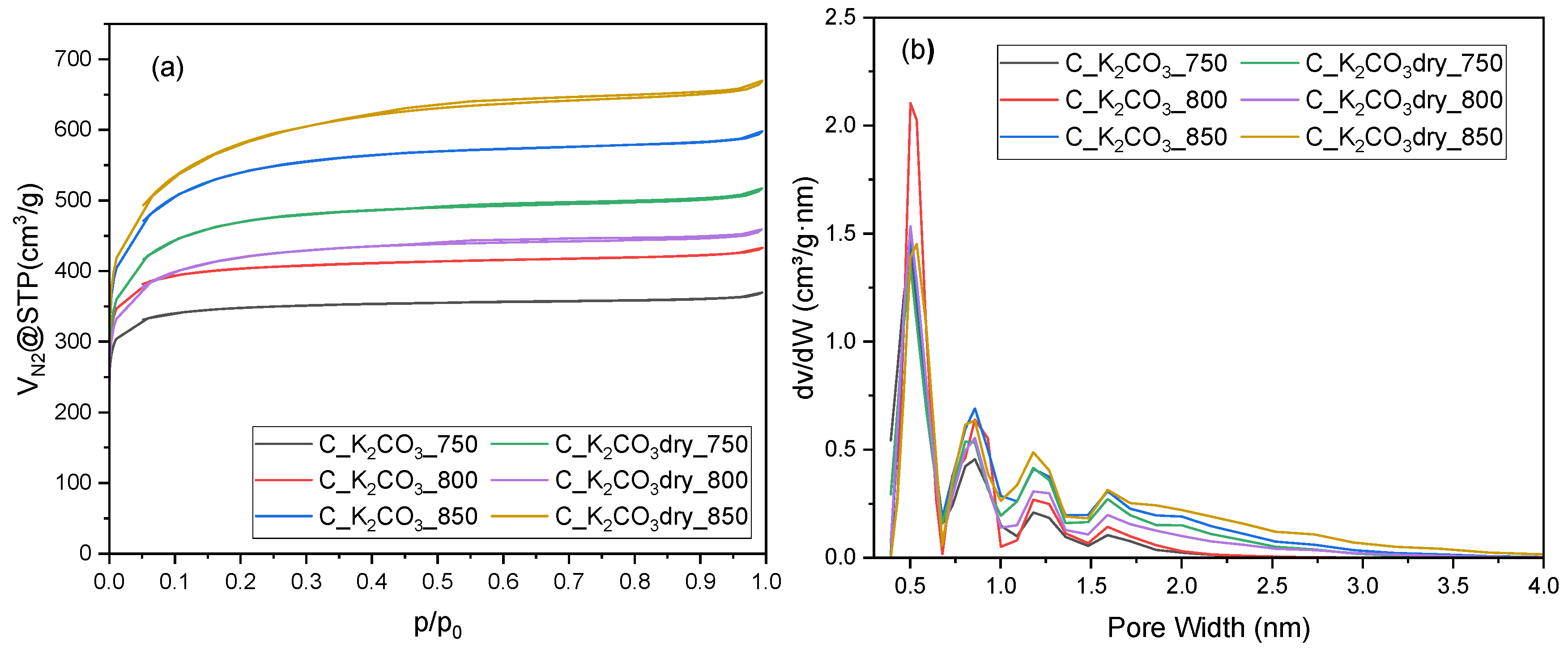
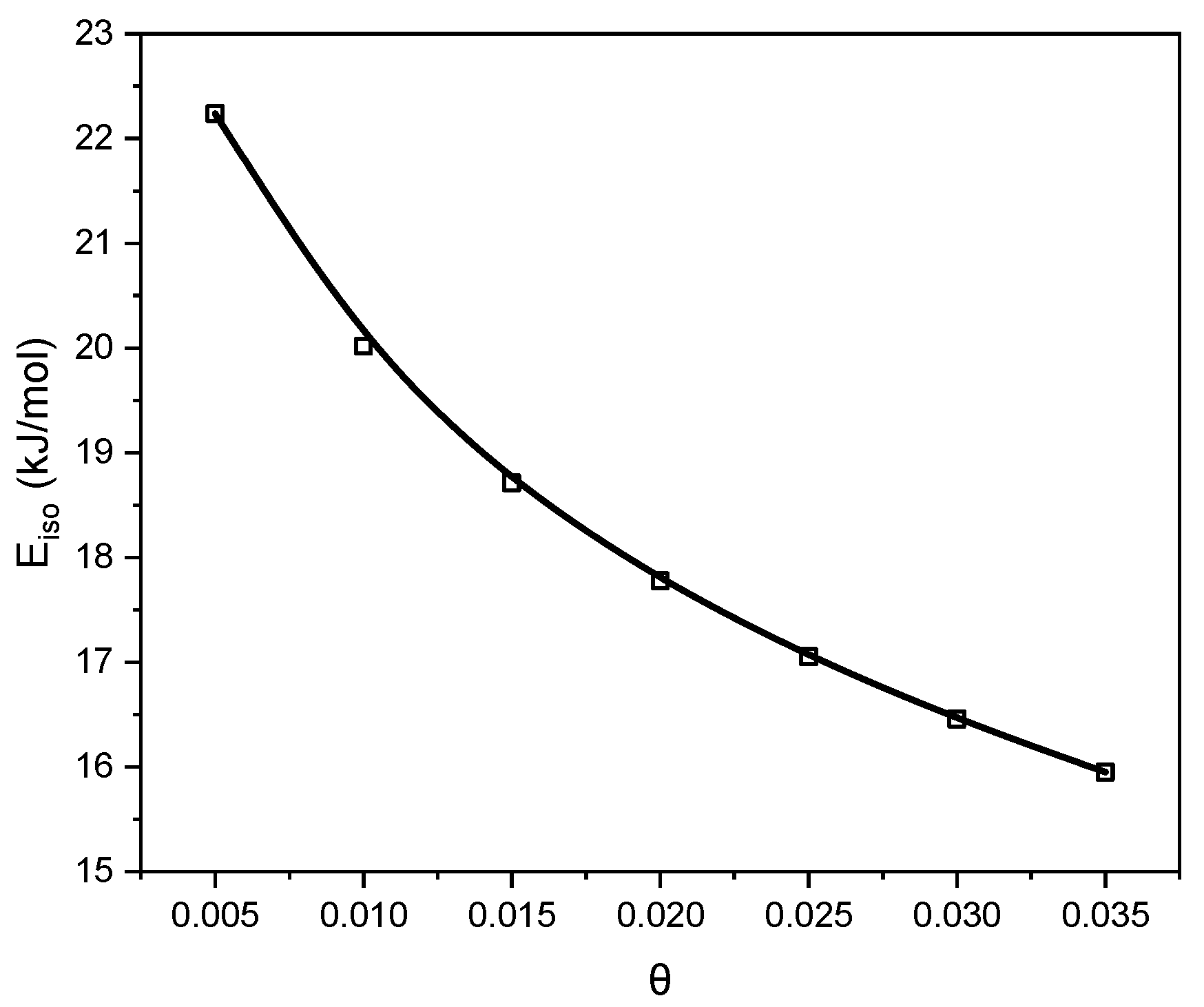
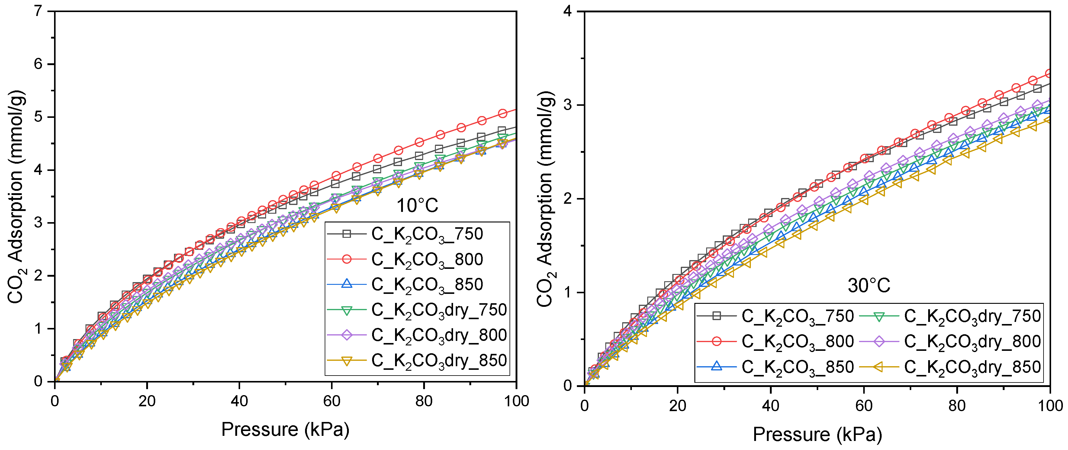
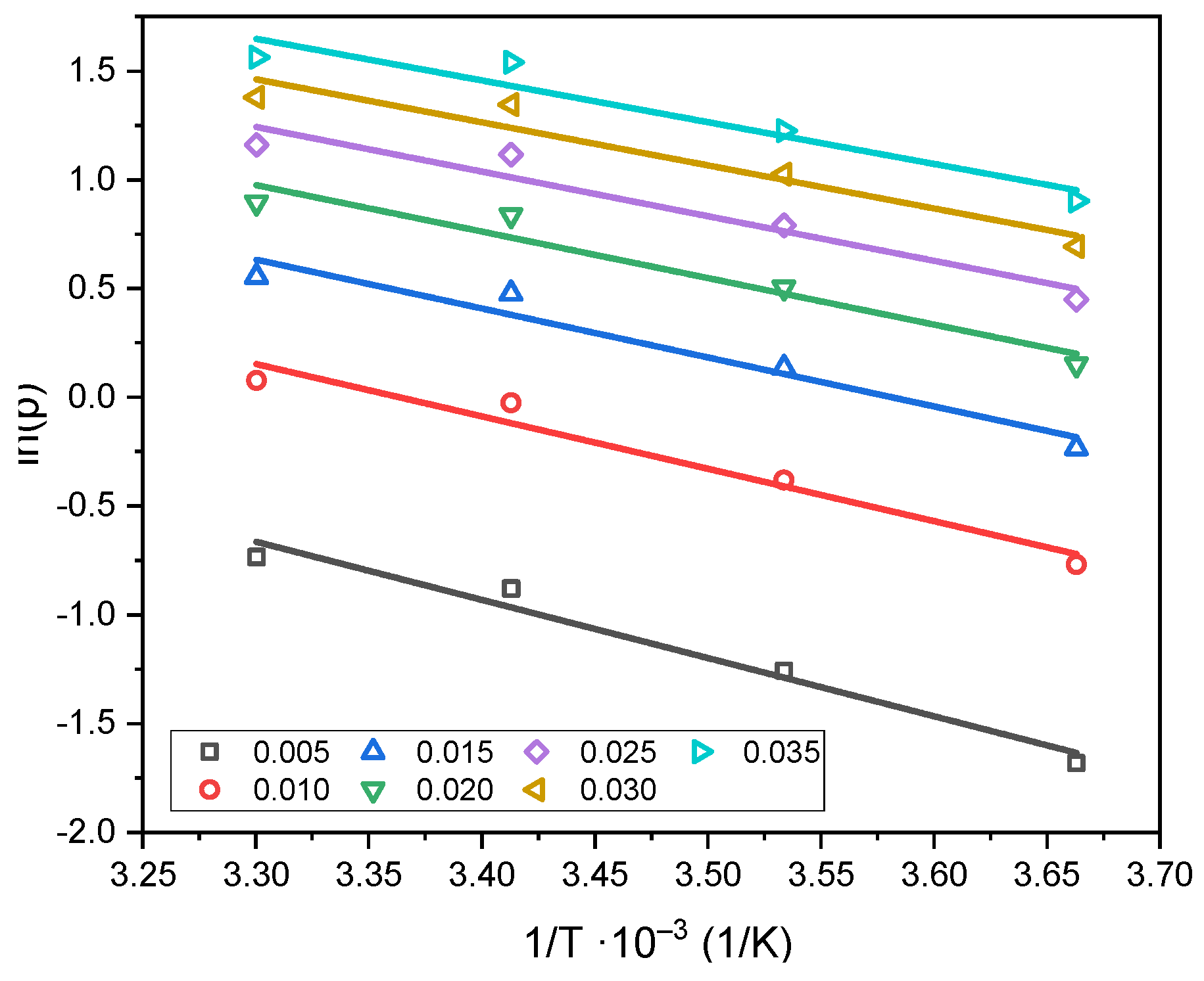
2. Results and Discussion

3. Materials and Methods
3.1. Materials
3.2. Synthesis of Activated Carbons
3.3. Sample Characterization
4. Conclusions
Supplementary Materials
Author Contributions
Funding
Institutional Review Board Statement
Informed Consent Statement
Data Availability Statement
Conflicts of Interest
References
- Ma, H.; Fu, H.; Tong, Y.; Umar, A.; Hung, Y.M.; Wang, X. Advances in CO2 Capture and Separation Materials: Emerging Trends, Challenges, and Prospects for Sustainable Applications. Carbon Capture Sci. Technol. 2025, 15, 100441. [Google Scholar] [CrossRef]
- Veluturla, S.; Singh, S.; Fatima, S. A Comprehensive Review of Carbon Dioxide Sequestration: Exploring Diverse Methods for Effective Post Combustion CO2 Capture, Transport, and Storage. Environ. Eng. Res. 2024, 30, 230452. [Google Scholar] [CrossRef]
- Jedli, H.; Almonnef, M.; Rabhi, R.; Mbarek, M.; Abdessalem, J.; Slimi, K. Activated Carbon as an Adsorbent for CO2 Capture: Adsorption, Kinetics, and RSM Modeling. ACS Omega 2024, 9, 2080–2087. [Google Scholar] [CrossRef] [PubMed]
- Abd, A.A.; Othman, M.R.; Kim, J. A Review on Application of Activated Carbons for Carbon Dioxide Capture: Present Performance, Preparation, and Surface Modification for Further Improvement. Environ. Sci. Pollut. Res. 2021, 28, 43329–43364. [Google Scholar] [CrossRef]
- Serafin, J.; Dziejarski, B. Activated Carbons—Preparation, Characterization and Their Application in CO2 Capture: A Review. Environ. Sci. Pollut. Res. 2023, 31, 40008–40062. [Google Scholar] [CrossRef]
- Singh, G.; Lakhi, K.S.; Sil, S.; Bhosale, S.V.; Kim, I.; Albahily, K.; Vinu, A. Biomass Derived Porous Carbon for CO2 Capture. Carbon N. Y. 2019, 148, 164–186. [Google Scholar] [CrossRef]
- Kundu, S.; Khandaker, T.; Anik, M.A.-A.M.; Hasan, M.K.; Dhar, P.K.; Dutta, S.K.; Latif, M.A.; Hossain, M.S. A Comprehensive Review of Enhanced CO2 Capture Using Activated Carbon Derived from Biomass Feedstock. RSC Adv. 2024, 14, 29693–29736. [Google Scholar] [CrossRef]
- Bai, R.; Yang, M.; Hu, G.; Xu, L.; Hu, X.; Li, Z.; Wang, S.; Dai, W.; Fan, M. A New Nanoporous Nitrogen-Doped Highly-Efficient Carbonaceous CO2 Sorbent Synthesized with Inexpensive Urea and Petroleum Coke. Carbon N. Y. 2015, 81, 465–473. [Google Scholar] [CrossRef]
- Yang, M.; Guo, L.; Hu, G.; Hu, X.; Chen, J.; Shen, S.; Dai, W.; Fan, M. Adsorption of CO2 by Petroleum Coke Nitrogen-Doped Porous Carbons Synthesized by Combining Ammoxidation with KOH Activation. Ind. Eng. Chem. Res. 2016, 55, 757–765. [Google Scholar] [CrossRef]
- Wei, H.; Deng, S.; Hu, B.; Chen, Z.; Wang, B.; Huang, J.; Yu, G. Granular Bamboo-Derived Activated Carbon for High CO2 Adsorption: The Dominant Role of Narrow Micropores. ChemSusChem 2012, 5, 2354–2360. [Google Scholar] [CrossRef]
- Deng, S.; Wei, H.; Chen, T.; Wang, B.; Huang, J.; Yu, G. Superior CO2 Adsorption on Pine Nut Shell-Derived Activated Carbons and the Effective Micropores at Different Temperatures. Chem. Eng. J. 2014, 253, 46–54. [Google Scholar] [CrossRef]
- Sevilla, M.; Valle-Vigón, P.; Fuertes, A.B. N-Doped Polypyrrole-Based Porous Carbons for CO2 Capture. Adv. Funct. Mater. 2011, 21, 2781–2787. [Google Scholar] [CrossRef]
- Meng, L.-Y.; Park, S.-J. Effect of ZnCl2 Activation on CO2 Adsorption of N-Doped Nanoporous Carbons from Polypyrrole. J. Solid. State Chem. 2014, 218, 90–94. [Google Scholar] [CrossRef]
- Sun, Y.; Webley, P.A. Preparation of Activated Carbons with Large Specific Surface Areas from Biomass Corncob and Their Adsorption Equilibrium for Methane, Carbon Dioxide, Nitrogen, and Hydrogen. Ind. Eng. Chem. Res. 2011, 50, 9286–9294. [Google Scholar] [CrossRef]
- Lillo-Ródenas, M.; Lozano-Castelló, D.; Cazorla-Amorós, D.; Linares-Solano, A. Preparation of Activated Carbons from Spanish Anthracite: II. Activation by NaOH. Carbon N. Y. 2001, 39, 751–759. [Google Scholar] [CrossRef]
- Lozano-Castelló, D.; Lillo-Ródenas, M.A.; Cazorla-Amorós, D.; Linares-Solano, A. Preparation of Activated Carbons from Spanish Anthracite: I. Activation by KOH. Carbon N. Y. 2001, 39, 741–749. [Google Scholar] [CrossRef]
- Yue, L.; Xia, Q.; Wang, L.; Wang, L.; DaCosta, H.; Yang, J.; Hu, X. CO2 Adsorption at Nitrogen-Doped Carbons Prepared by K2CO3 Activation of Urea-Modified Coconut Shell. J. Colloid. Interface Sci. 2018, 511, 259–267. [Google Scholar] [CrossRef]
- Hui, T.S.; Zaini, M.A.A. Potassium Hydroxide Activation of Activated Carbon: A Commentary. Carbon Lett. 2015, 16, 275–280. [Google Scholar] [CrossRef]
- Kim, M.-J.; Choi, S.W.; Kim, H.; Mun, S.; Lee, K.B. Simple Synthesis of Spent Coffee Ground-Based Microporous Carbons Using K2CO3 as an Activation Agent and Their Application to CO2 Capture. Chem. Eng. J. 2020, 397, 125404. [Google Scholar] [CrossRef]
- Dziejarski, B.; Serafin, J.; Hernández-Barreto, D.F.; Naumovska, E.; Sreńscek-Nazzal, J.; Klomkliang, N.; Tam, E.; Krzyżyńska, R.; Andersson, K.; Knutsson, P. Tailoring Highly Surface and Microporous Activated Carbons (ACs) from Biomass via KOH, K2C2O4 and KOH/K2C2O4 Activation for Efficient CO2 Capture and CO2/N2 Selectivity: Characterization, Experimental and Molecular Simulation Insights. Chem. Eng. J. 2025, 524, 169677. [Google Scholar] [CrossRef]
- Sevilla, M.; Fuertes, A.B. Sustainable Porous Carbons with a Superior Performance for CO2 Capture. Energy Environ. Sci. 2011, 4, 1765. [Google Scholar] [CrossRef]
- Sethia, G.; Sayari, A. Comprehensive Study of Ultra-Microporous Nitrogen-Doped Activated Carbon for CO2 Capture. Carbon N. Y. 2015, 93, 68–80. [Google Scholar] [CrossRef]
- Balahmar, N.; Mitchell, A.C.; Mokaya, R. Generalized Mechanochemical Synthesis of Biomass-Derived Sustainable Carbons for High Performance CO2 Storage. Adv. Energy Mater. 2015, 5, 1500867. [Google Scholar] [CrossRef]
- Siemak, J.; Michalkiewicz, B. Enhancement of CO2 Adsorption on Activated Carbons Produced from Avocado Seeds by Combined Solvothermal Carbonization and Thermal KOH Activation. Environ. Sci. Pollut. Res. 2023, 31, 40133–40141. [Google Scholar] [CrossRef]
- Jang, E.; Choi, S.W.; Hong, S.-M.; Shin, S.; Lee, K.B. Development of a Cost-Effective CO2 Adsorbent from Petroleum Coke via KOH Activation. Appl. Surf. Sci. 2018, 429, 62–71. [Google Scholar] [CrossRef]
- Liu, J.; Liu, X.; Sun, Y.; Sun, C.; Liu, H.; Stevens, L.A.; Li, K.; Snape, C.E. High Density and Super Ultra-Microporous-Activated Carbon Macrospheres with High Volumetric Capacity for CO2 Capture. Adv. Sustain. Syst. 2018, 2, 1700115. [Google Scholar] [CrossRef]
- Wang, S.; Lee, Y.-R.; Won, Y.; Kim, H.; Jeong, S.-E.; Wook Hwang, B.; Ra Cho, A.; Kim, J.-Y.; Cheol Park, Y.; Nam, H.; et al. Development of High-Performance Adsorbent Using KOH-Impregnated Rice Husk-Based Activated Carbon for Indoor CO2 Adsorption. Chem. Eng. J. 2022, 437, 135378. [Google Scholar] [CrossRef]
- Choi, S.W.; Tang, J.; Pol, V.G.; Lee, K.B. Pollen-Derived Porous Carbon by KOH Activation: Effect of Physicochemical Structure on CO2 Adsorption. J. CO2 Util. 2019, 29, 146–155. [Google Scholar] [CrossRef]
- Liu, J.; Sun, N.; Sun, C.; Liu, H.; Snape, C.; Li, K.; Wei, W.; Sun, Y. Spherical Potassium Intercalated Activated Carbon Beads for Pulverised Fuel CO2 Post-Combustion Capture. Carbon N. Y. 2015, 94, 243–255. [Google Scholar] [CrossRef]
- Yahia, E.H.; Serafin, J.; Román-Martínez, M.C.; Sreńscek-Nazzal, J.; Dziejarski, B.; Saidi, M.; Ouzzine, M. Preparation of Activated Carbon from Moroccan Argan Press Cake Using KOH Activation and Its Application for CO2 Adsorption. Fuel 2025, 393, 134922. [Google Scholar] [CrossRef]
- Tahmasebpoor, M.; Iranvandi, M.; Heidari, M.; Azimi, B.; Pevida, C. Development of Novel Waste Tea-Derived Activated Carbon Promoted with SiO2 Nanoparticles as Highly Robust and Easily Fluidizable Sorbent for Low-Temperature CO2 Capture. J. Environ. Chem. Eng. 2023, 11, 110437. [Google Scholar] [CrossRef]
- Xu, Y.; Zhang, D.; Liu, Y.; Xu, Y.; Meng, W.; Zhong, J.; Hu, R.; Wu, Z. Elucidating the Role of Moderate K2CO3 Activation in Tuning Microporous Architecture of Bamboo-Derived Carbon for Superior CO2 Capture. Biomass Bioenergy 2025, 201, 108140. [Google Scholar] [CrossRef]
- Wu, W.; Wu, C.; Liu, J.; Yan, H.; Li, G.; Zhao, Y.; Bei, K.; Zhang, G. Synergistic Effects of Heteroatom Doping and Narrow Micropores on Carbon Dioxide Capture in Bamboo Shoot Shell-Based Porous Carbon. Sep. Purif. Technol. 2024, 339, 126690. [Google Scholar] [CrossRef]
- Lu, Y.; Dong, J.; Guo, G.; Wang, Z.; You, X.; Wang, C.; Yao, Z. High-Performance Fibrous Porous Carbon from Defatted Cotton Waste via Mild K2CO3 Activation for Efficient CO2 Capture. J. Environ. Chem. Eng. 2025, 13, 117348. [Google Scholar] [CrossRef]
- Xu, Y.; Liu, Y.; Zhan, W.; Zhang, D.; Liu, Y.; Xu, Y.; Wu, Z. Enhancing CO2 Capture with K2CO3-Activated Carbon Derived from Peanut Shell. Biomass Bioenergy 2024, 183, 107148. [Google Scholar] [CrossRef]
- Kueasook, R.; Wang, P.; Chen, H.; He, P.; Zeng, Z.; Xu, X.; Li, L. Solvent-Free One-Step Simple Synthesis of N, O-Doped Microporous Carbon Using K2CO3 as an Activation Agent and Their Application to CO2 Capture: Synergistic Effect of Pore Structure and Nitrogen–Oxygen Functional Groups. Chem. Eng. Sci. 2025, 311, 121615. [Google Scholar] [CrossRef]
- Serafin, J.; Dziejarski, B. Application of Isotherms Models and Error Functions in Activated Carbon CO2 Sorption Processes. Microporous Mesoporous Mater. 2023, 354, 112513. [Google Scholar] [CrossRef]
- Myers, A.L.; Prausnitz, J.M. Thermodynamics of Mixed-gas Adsorption. AIChE J. 1965, 11, 121–127. [Google Scholar] [CrossRef]
- Yang, H.; Xu, Z.; Fan, M.; Gupta, R.; Slimane, R.B.; Bland, A.E.; Wright, I. Progress in Carbon Dioxide Separation and Capture: A Review. J. Environ. Sci. 2008, 20, 14–27. [Google Scholar] [CrossRef]
- Rouquerol, J.; Llewellyn, P.; Rouquerol, F. Is the Bet Equation Applicable to Microporous Adsorbents? In Studies in Surface Science and Catalysis; Elsevier: Amsterdam, The Netherlands, 2007; pp. 49–56. [Google Scholar]









| Feedstock | Activator | Adsorption | Reference |
|---|---|---|---|
| avocado seeds | KOH | 6.47 | [24] |
| petroleum coke | KOH | 6.08 | [25] |
| coal tar pitch | KOH | 6.00 | [26] |
| rice husk | KOH | 5.70 | [27] |
| pollens | KOH | 5.63 | [28] |
| nitrogen-free phenolic resin | KOH | 5.07 | [29] |
| argan paste cakes | KOH | 4.58 | [30] |
| waste tea | KOH | 2.32 | [31] |
| bamboo powder | K2CO3 | 6.08 | [32] |
| bamboo shoot | K2CO3 | 5.93 | [33] |
| cotton waste | K2CO3 | 5.37 | [34] |
| peanut shell | K2CO3 | 5.21 | [35] |
| coconut shell | K2CO3 | 5.12 | [17] |
| sugarcane | K2CO3 | 4.90 | [36] |
| Sample Name | CO2 Adsorption (mmol/g) |
|---|---|
| C_K2CO3_750 | 5.75 |
| C_K2CO3_800 | 6.26 |
| C_K2CO3_850 | 5.83 |
| C_K2CO3dry_750 | 5.81 |
| C_K2CO3dry_800 | 5.60 |
| C_K2CO3dry_850 | 6.08 |
| C_K2CO3_0.5_850 | 5.87 |
| C_K2CO3_1.5_850 | 6.03 |
| C_K2CO3_2_850 | 5.85 |
| C_K2CO3dry_0.5_850 | 5.73 |
| C_K2CO3dry_1.5_850 | 5.54 |
| C_K2CO3dry_2_850 | 5.84 |
| Activated Carbon | BET (m2/g) | Vtot (cm3/g) | Vmicro (cm3/g) |
|---|---|---|---|
| C_K2CO3_750 | 1365 | 0.572 | 0.460 |
| C_K2CO3_800 | 1573 | 0.534 | 0.670 |
| C_K2CO3_850 | 1951 | 0.925 | 0.658 |
| C_K2CO3dry_750 | 1738 | 0.800 | 0.585 |
| C_K2CO3dry_800 | 1562 | 0.710 | 0.528 |
| C_K2CO3dry_850 | 2076 | 1.036 | 0.670 |
| C_K2CO3_750 | C_K2CO3_800 | C_K2CO3_850 | C_K2CO3dry_750 | C_K2CO3dry_800 | C_K2CO3dry_850 | |
|---|---|---|---|---|---|---|
| 0 °C | ||||||
| qm | 13.012 | 16.358 | 22.012 | 20.601 | 16.640 | 28.778 |
| b | 0.025 | 0.018 | 0.009 | 0.012 | 0.017 | 0.007 |
| n | 0.750 | 0.765 | 0.791 | 0.748 | 0.742 | 0.780 |
| HYBRID | 0.0072 | 0.0065 | 0.0052 | 0.0078 | 0.0046 | 0.0086 |
| 10 °C | ||||||
| qm | 11.490 | 14.711 | 17.455 | 16.408 | 13.454 | 20.184 |
| b | 0.020 | 0.014 | 0.008 | 0.011 | 0.014 | 0.007 |
| n | 0.781 | 0.796 | 0.815 | 0.782 | 0.777 | 0.818 |
| HYBRID | 0.0052 | 0.0037 | 0.0061 | 0.0048 | 0.0063 | 0.0043 |
| 30 °C | ||||||
| qm | 7.782 | 10.017 | 11.243 | 9.387 | 8.876 | 11.654 |
| b | 0.014 | 0.009 | 0.006 | 0.009 | 0.010 | 0.006 |
| n | 0.854 | 0.860 | 0.876 | 0.855 | 0.845 | 0.882 |
| HYBRID | 0.0018 | 0.0038 | 0.0037 | 0.0024 | 0.0041 | 0.0033 |
| C_K2CO3_800 20 °C | CO2 | N2 |
|---|---|---|
| qm | 13.693 | 3.203 |
| b | 0.010 | 0.002 |
| n | 0.817 | 0.993 |
| HYBRID | 0.0040 | 0.0002 |
| Parameter | Values | Unit |
|---|---|---|
| Q | 15,527 | J/mol |
| b0 | 0.0099 | bar−1 |
| n0 | 0.763 | |
| α | 0.931 | |
| qm0 | 16.99 | mmol/g |
| χ | 4.212 |
| Flue Gas [CO2/N2] | Seq |
|---|---|
| 10/90 | 14.15 |
| 15/85 | 12.69 |
| 20/80 | 11.65 |
| Sample Name | Form of Activating Agent | Carbon Source to Activating Agent Ratio | Carbonization/Activation Temperature |
|---|---|---|---|
| C_K2CO3_750 | K2CO3 solution | 1:1 | 750 |
| C_K2CO3_800 | K2CO3 solution | 1:1 | 800 |
| C_K2CO3_850 | K2CO3 solution | 1:1 | 850 |
| C_K2CO3dry_750 | K2CO3 dry | 1:1 | 750 |
| C_K2CO3dry_800 | K2CO3 dry | 1:1 | 800 |
| C_K2CO3dry_850 | K2CO3 dry | 1:1 | 850 |
| C_K2CO3_0.5_850 | K2CO3 solution | 1:0.5 | 850 |
| C_K2CO3_1.5_850 | K2CO3 solution | 1:1.5 | 850 |
| C_K2CO3_2_850 | K2CO3 solution | 1:2 | 850 |
| C_K2CO3dry_0.5_850 | K2CO3 dry | 1:0.5 | 850 |
| C_K2CO3dry_1.5_850 | K2CO3 dry | 1:1.5 | 850 |
| C_K2CO3dry_2_850 | K2CO3 dry | 1:2 | 850 |
Disclaimer/Publisher’s Note: The statements, opinions and data contained in all publications are solely those of the individual author(s) and contributor(s) and not of MDPI and/or the editor(s). MDPI and/or the editor(s) disclaim responsibility for any injury to people or property resulting from any ideas, methods, instructions or products referred to in the content. |
© 2025 by the authors. Licensee MDPI, Basel, Switzerland. This article is an open access article distributed under the terms and conditions of the Creative Commons Attribution (CC BY) license (https://creativecommons.org/licenses/by/4.0/).
Share and Cite
Siemak, J.; Michalkiewicz, B. Synthesis and Characterization of Activated Biocarbons Produced from Avocado Seeds Using the Non-Toxic and Environmentally Friendly Activating Agent K2CO3 for CO2 Capture. Molecules 2025, 30, 4658. https://doi.org/10.3390/molecules30234658
Siemak J, Michalkiewicz B. Synthesis and Characterization of Activated Biocarbons Produced from Avocado Seeds Using the Non-Toxic and Environmentally Friendly Activating Agent K2CO3 for CO2 Capture. Molecules. 2025; 30(23):4658. https://doi.org/10.3390/molecules30234658
Chicago/Turabian StyleSiemak, Joanna, and Beata Michalkiewicz. 2025. "Synthesis and Characterization of Activated Biocarbons Produced from Avocado Seeds Using the Non-Toxic and Environmentally Friendly Activating Agent K2CO3 for CO2 Capture" Molecules 30, no. 23: 4658. https://doi.org/10.3390/molecules30234658
APA StyleSiemak, J., & Michalkiewicz, B. (2025). Synthesis and Characterization of Activated Biocarbons Produced from Avocado Seeds Using the Non-Toxic and Environmentally Friendly Activating Agent K2CO3 for CO2 Capture. Molecules, 30(23), 4658. https://doi.org/10.3390/molecules30234658

