Next Article in Journal
Synergistic Zn/Al Co-Doping and Sodium Enrichment Enable Reversible Phase Transitions in High-Performance Layered Sodium Cathodes
Previous Article in Journal
Investigation of the Photocatalytic Activity and Light-Absorbing Properties of SrTiO3/TiO2NT@S Composite
 
 
Font Type:
Arial Georgia Verdana
Font Size:
Aa Aa Aa
Line Spacing:
Column Width:
Background:
Article

Hetero Diels–Alder Cycloaddition of Siloxy Vinylallenes—Synthesis of the Indolizidine Skeleton: Experimental and Computational Studies

by
Juan Francisco Rodríguez-Caro
1,
Gabriel Vargas-Arana
1,2,
María del Mar Afonso
1,* and
José Antonio Palenzuela
1,*
1
Departamento de Química Orgánica, Instituto Universitario de Bio-Orgánica Antonio González (SINTESTER), Universidad de La Laguna, Avda. Astrofísico Fco. Sánchez 2, 38206 La Laguna, Spain
2
Laboratorio de Química de Productos Naturales, Instituto de Investigaciones de la Amazonía Peruana, Avenue Abelardo Quiñones km 2.5, Iquitos 16001, Peru
*
Authors to whom correspondence should be addressed.
Molecules 2025, 30(23), 4627; https://doi.org/10.3390/molecules30234627
Submission received: 13 November 2025 / Revised: 26 November 2025 / Accepted: 27 November 2025 / Published: 2 December 2025
(This article belongs to the Section Organic Chemistry)

Abstract

Vinylallenes have been used in Diels–Alder reactions with a variety of dienophiles. However, vinylallenes activated at the allenic part of the molecule have been reacted only with carbon–carbon double bonds. We prepared siloxy vinylallenes by the base-induced equilibrium of silyl-protected allyl-propargyl alcohols. We found that these systems react with imines to form cycloadducts with total regio and facial selectivity, but only moderate endo:exo selectivity. The cycloadducts obtained were transformed into indolizidine derivatives. The reaction was studied computationally using DFT and compared to the reaction of siloxydienes. It was found that the main difference between those systems is the higher nucleophilicity of the siloxydienes compared to the siloxy vinylallenes.

Graphical Abstract

1. Introduction

Vinylallenes have been used as dienes in Diels–Alder reactions with homo and heterodienophiles for some time [1,2].
We found that simple vinylallenes have a reactivity similar to monoactivated dienes in the hetero Diels–Alder reaction with aldehydes and imines [3], yielding heterocyclic compounds that can be converted to pyridines when imines were used as heterodienophiles (Scheme 1).
However, the use of more activated vinylallenes in the Diels–Alder reaction has not received much attention, although some examples of their preparation and use exist. Reich and coworkers prepared some siloxy vinylallenes and demonstrated their use as dienes in Diels–Alder reactions with homo dienophiles [4,5] (Scheme 2a).
The use of activated vinylallenes as dienes with heterodienophiles has been even less studied. The most used activating groups are silyl ethers, usually TBS, since they are strong activating groups, are easy to introduce and remove, and are stable under the reaction conditions. Sasaki and coworkers published the reaction of siloxy vinylallenes activated at the vinylic part of the vinylallene with PTAD [6,7]. An example is shown in Scheme 2b.
Siloxy vinylallenes activated on the allenic part of the molecule have also been used by Wu and West, but only for the study of the Nazarov reaction [8] (Scheme 2c).
The siloxyallene moiety has been prepared using different approaches, the two most used being the Brook rearrangement of α-hydroxypropargylsilanes [4,9] and the base-induced isomerization of silylated propargyl alcohols [10,11] (Scheme 3).
Those same approaches have been used for the preparation of siloxy vinylallenes. The use of Brook rearrangement in the preparation of siloxy vinylallenes is represented by the work of Reich and co-workers [4,5]. The use of the base-induced isomerization of silylated allyl-propargyl alcohols has been used in the work of Wu and West [8].
Due to our interest in the hetero Diels–Alder using vinylallenes [3], we decided to test if siloxy vinylallenes could react with a heterodienophile in the same way. We decided to use imines, which could lead to substituted piperidine derivatives that could be further transformed.
Thus, the aim of this work is the preparation of siloxy vinylallenes activated in the allenic portion of the molecule, and the study of their reactivity in the hetero Diels–Alder reaction.

2. Results and Discussion

2.1. Synthesis of the Siloxy Vinylallenes

To prepare the required siloxy vinylallenes, we decided to use the base-induced isomerization of silylated propargyl alcohols since it seemed more direct than the preparation of the precursors for the Brook rearrangement. The synthetic procedure is depicted in Scheme 4 and Scheme 5.
Starting from easily accessible unsaturated aldehydes and terminal alkynes, the siloxy vinylallenes could be obtained in three steps.
Two α, β-unsaturated aldehydes, trans-crotonaldehyde (1) and trans-hexen-2-al (2), and two alkynes, 1-hexyne (3) and 1-pentyne (4), were used (Scheme 4). The preparation of the allyl-propargyl alcohols, 5 and 6, was carried out in high yield from the addition of the anion of alkyne to the aldehyde using nBuLi as base. The protection of the hydroxyl groups with TBSCl was also uneventful and gave 7 and 8 in high yield.
The transformation of the allyl-propargyl silyl ethers into the desired allenes 9 and 10 was carried out following a slight modification of the literature procedures. KOtBu is the most used base for this transformation [8]; however, it gave us some difficulties in the separation step. nBuLi also worked, but some unidentified secondary products were obtained, probably from a nucleophilic attack on the allene. Thus, we decided to try using LDA as the base. Using this base, the reactions occurred cleanly in 20 min at 0 °C (Scheme 5). The siloxy vinylallenes 9 and 10 proved to be unstable to the purification attempts and thus, were used as extracted from the reaction. 1H-NMR of the crude reaction extract indicated that they were pure enough to proceed with the cycloaddition step. A small amount of each siloxy vinylallene was purified for identification purposes.

2.2. Hetero Diels–Alder Reaction of the Siloxy Vinylallene 9

For the hetero Diels–Alder reaction, we envisioned using a linear heterodienophile, which would give a piperidine derivative, but one that could allow further transformation of the cycloadduct into an indolizidine, a structure that we have prepared recently using the hetero Diels–Alder reaction using an activated diene [12]. Indolizidines are a large family of natural heterocyclic compounds, some exhibiting interesting biological activities. The indolizidines we intended to prepare were of the same family as those prepared in our previous paper, the 5,8-disubstituted indolizidines, the largest group of those isolated from the skin of amphibians [13]. The proposed transformation was based on the intramolecular reductive amination (Scheme 6), a route already used for the preparation of the indolizidine skeleton [14,15].
Thus, we prepared the known imine 13 [16], as depicted in Scheme 7.
The reaction between the siloxy vinylallene 9 and the imine 13 was carried out first using BF3·OEt2, since this Lewis acid works well in the reaction of alkyl-substituted vinylallenes [3]. However, the yield was low due in part to decomposition of the siloxy vinylallene, in a similar way to what occurred with siloxydienes [12]. Thus, we tried In(OTf)3 as the Lewis acid and found that the reaction, carried out in CH3CN, was complete overnight (Scheme 8).
After the purification step using flash chromatography, two major compounds were obtained in a 60:40 ratio and 62% combined yield.
The structure of the compounds obtained was studied using 1D and 2D NMR spectroscopy (see Supplementary Materials), and it was deduced that the structures were consistent with the expected cycloadducts (±)-14 coming from the endo approach and (±)-15 from the exo approach (Scheme 8).
The relative stereochemistry was difficult to establish with total confidence, since, as happened with the alkyl-substituted vinylallenes [17], the nitrogenated cycloadducts of this type do not give good NOE correlations. Following that experience, we tentatively assigned the relative stereochemistry shown in Scheme 8 for each isomer.
In any case, this result indicates that the siloxy vinylallene reacted as a diene in a hetero Diels–Alder reaction with total regio and facial selectivity, but only moderate endo:exo selectivity.
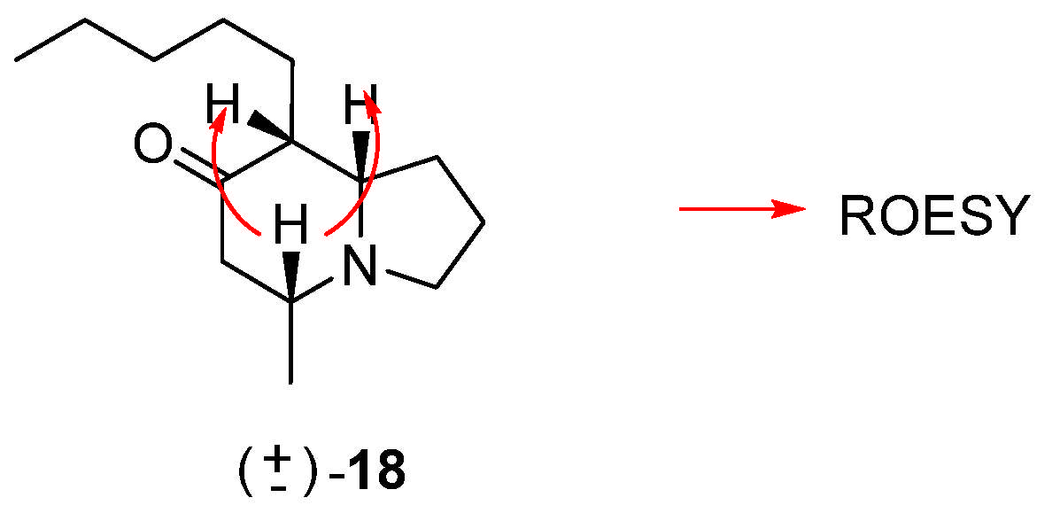
The major isomer was then treated with TBAF to remove both TBS groups (Scheme 9). The reaction was conducted in THF at 0 °C for 12 h, yielding 16 in 80% yield. Compound 16 was then oxidized to an aldehyde using a Swern oxidation. The aldehyde 17 proved to be quite unstable, and thus, it was hydrogenated at room temperature and 3 atm of pressure, using 10% Pd/C as the catalyst. After 12 h, the indolizidine 18 was obtained in 46% yield (Scheme 9). In this reaction, the benzyl group on the nitrogen was removed, and the iminium formed between the aldehyde and the nitrogen was reduced. The α, β-unsaturated ketone was also reduced under the conditions employed.
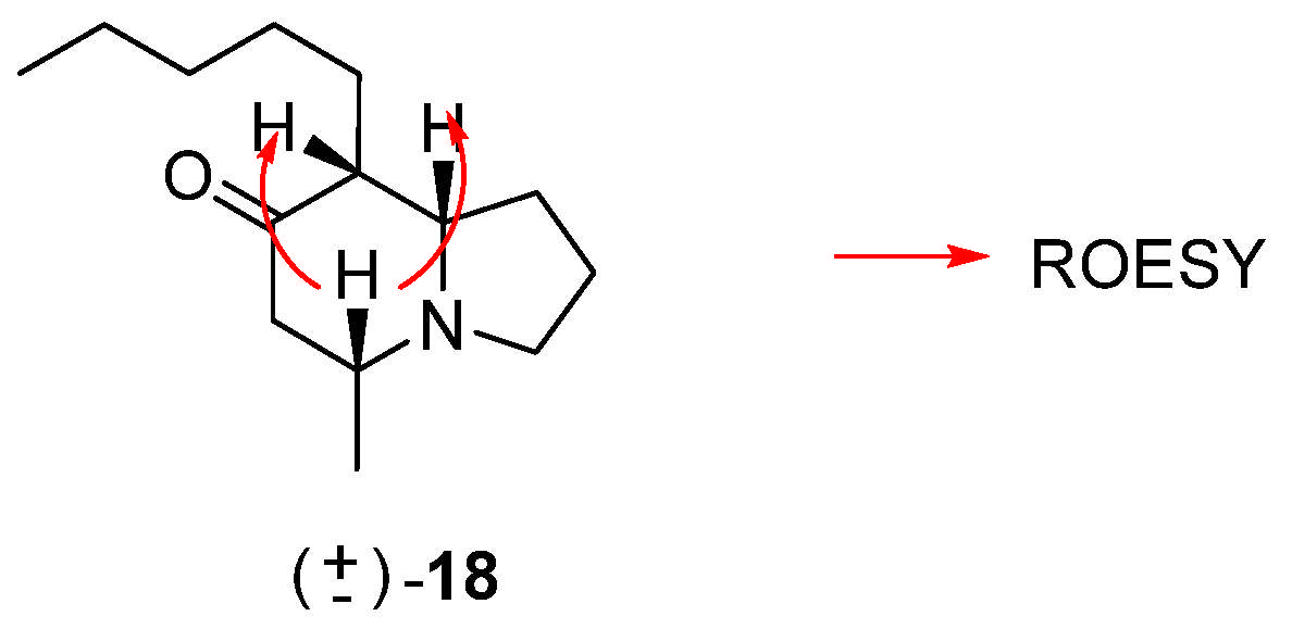
The structures were confirmed using 1D and 2D NMR spectroscopy. The relative stereochemistry was established on 18 based on a ROESY spectrum of the compound, since on 16 and 17 we found the same difficulties as for 14. Figure 1 shows the relevant ROESY correlations found.
This confirms the relative stereochemistry postulated for the cycloadducts in the hetero Diels–Alder reaction.
Since we have recently prepared a compound with the indolizidine skeleton using a simple approach in which Δ1-pyrroline was used as a heterodienophile [12], and we have found that the siloxy vinylallenes react similarly to the siloxydienes, we decided to test if we could prepare that skeleton in one step. In that case, the extra double bond would allow for further transformation of the structure.
The Δ1-pyrroline was prepared from the diethylacetal of 4-aminobutyraldehyde as described in the literature [18] and freshly distilled before each use.
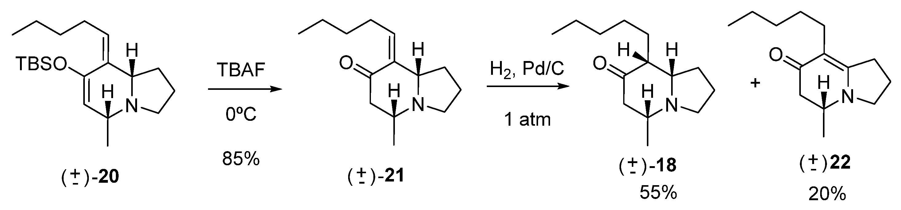
The siloxy vinylallene 9 was thus reacted at −5 °C with Δ1-pyrroline (19) in CH3CN using In(OTf)3 as catalyst (Scheme 10). After allowing the reaction to proceed overnight, the crude reaction extract was purified by flash chromatography, and only one compound (20) was obtained in a 62% yield. The structure of 20 was studied using NMR spectroscopy, and it was established that it was one of the expected cycloadducts. After further checking the reaction crude mixture, it appears that the other minor isomer was present but is significantly more polar and was mixed with residues from the reaction, making its isolation impossible. The relative stereochemistry of 20 was difficult to establish using ROESY experiments, and thus, we decided to transform 20 into 18 to correlate the stereochemistry.
For this transformation, 20 was treated with TBAF at 0 °C, giving, after 12 h, the α, β-unsaturated ketone 21 in an 85% yield (Scheme 11). This ketone was then hydrogenated at atmospheric pressure using 10% Pd/C.
After 12 h, a major compound was obtained in 55% yield, which resulted in an identical product to 18, together with another compound, which was identified as 22, isolated in a 20% yield, resulting from the isomerization of the double bond.
The NMR spectra of compound 18 are similar to those obtained for the keto indolizidine prepared in our previous paper [12]. Its preparation demonstrates that following either route, from siloxydienes or from siloxy vinylallenes, similar indolizidine skeletons can be obtained.
From these experiments, it is clear that the major compound in the hetero Diels–Alder reaction is the one coming from the endo approach of the dienophile to the dienic part of the vinylallene.
After the successful preparation of the indolizidine skeleton from a siloxy vinylallene, we decided to prepare another siloxy vinylallene with a different substitution pattern, in an attempt to change the polarity of the compounds and thus be able to isolate both the endo and exo cycloadducts. Therefore, we prepared siloxy vinylallene 10 and repeated the reaction with Δ1-pyrroline. The reaction was carried out under the same conditions as before, and in this case, the two cycloadduct isomers 23 and 24 were isolated in an 80% combined yield (Scheme 12).
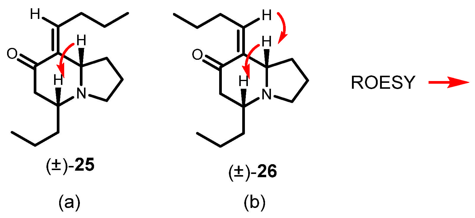
The structure and relative stereochemistry of the cycloadducts were studied using mono and bidimensional NMR spectroscopy. Again, we found that the reaction proceeded with total regio and facial selectivity, but the endo:exo ratio was moderate.
The correlations found in the ROESY experiment (Figure 2) indicate that the major compound was the one coming from the endo approach of the dienophile. However, as in the previous cases, no direct correlation between the two protons on the stereogenic centers could be observed.

2.3. Removal of the TBS Group

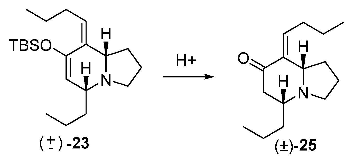
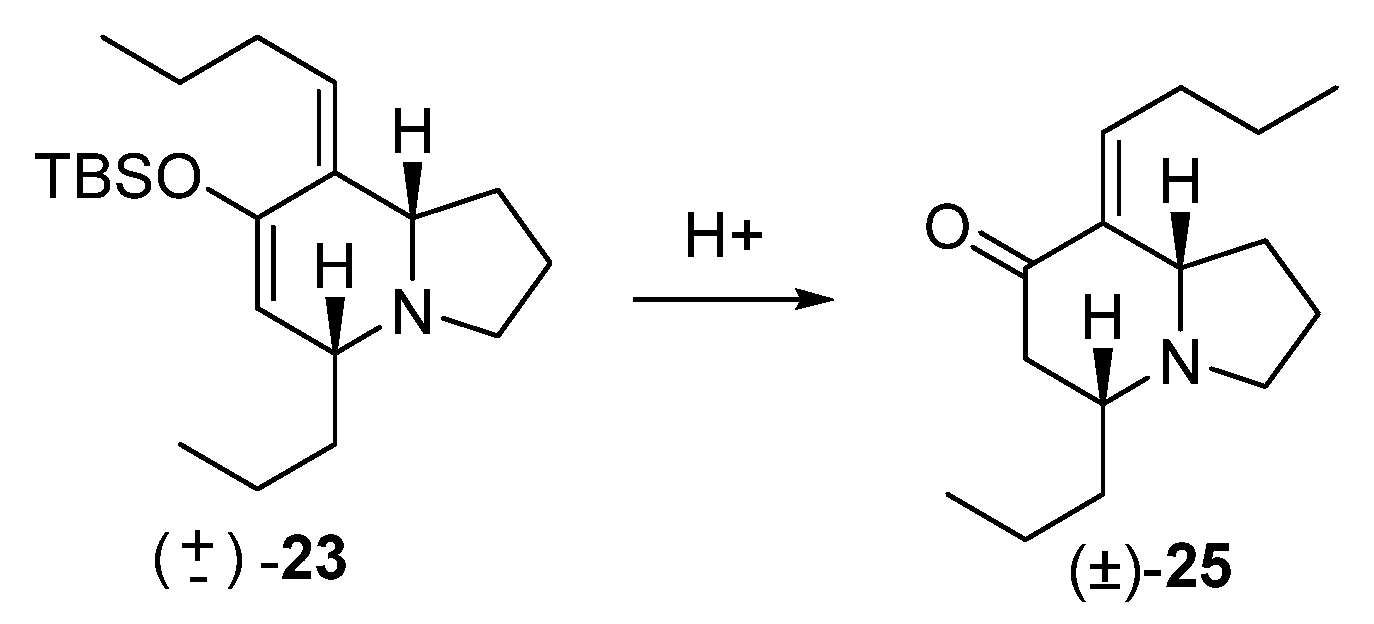
To remove the siloxy group to stabilize the compound, we treated the major isomer (±)-23 with HCl in THF and, after purification of the crude product, a new compound 25 was isolated in a 46% yield (Scheme 13).
The spectroscopic data indicated that the TBS group has been removed, and an α, β-unsaturated ketone was obtained. However, after analysis of the ROESY spectrum, it was observed that the double bond has changed its stereochemistry, as shown in Scheme 13.
The position of the vinylic proton in the 1H-NMR spectrum (7.01 ppm in CDCl3, 6.82 ppm in C6D6) is consistent with a syn disposition relative to the carbonyl group.
To confirm that the isomerization was caused by the acid treatment, the TBS group was then removed using TBAF in a neutral medium. This way, compound 26 was obtained in high yield. This compound was similar to 25, but now the stereochemistry of the double bond was unchanged, and the position of the vinylic proton was consistent with an anti-disposition relative to the carbonyl group (5.72 ppm in CDCl3) as shown in Scheme 14.
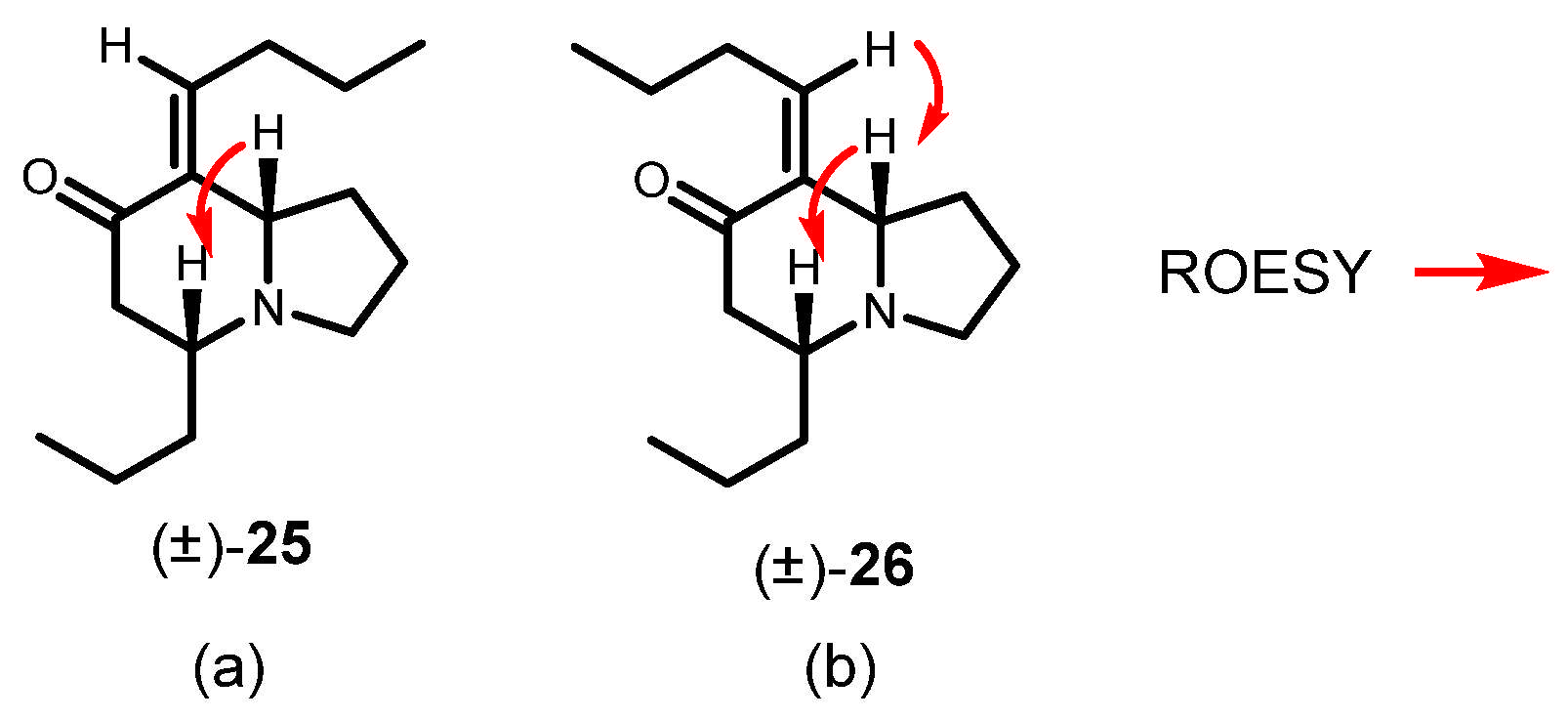
This indicates that the acid deprotection occurs with the intermediation of a cation that undergoes equilibrium, yielding the most stable isomer. The relative stereochemistry of the stereogenic centers was not affected in any of the procedures, as shown in Figure 3 for the ROESY interactions.
These results confirm that the major compound in this hetero Diels–Alder reaction is also the one coming from the endo approach.
Thus, we have demonstrated that siloxy vinylallenes react with heterodienophiles under Lewis acid activation to give heterocyclic cycloadducts in good yield, total facial selectivity, and moderate endo:exo selectivity. The cycloadducts can be easily transformed into indolizidines.
It is interesting to observe that in the related reaction using siloxydienes [12], the endo:exo selectivity was very high when the diene was substituted at both ends, but was low when the R1 group was hydrogen (Scheme 15). With the siloxy vinylallene, the selectivity was only 70:30, similar to the less substituted diene. This indicated some differences in the approaches of the diene and the vinylallene to the dienophile. To gain some insight, we decided to study this aspect of the results from a computational point of view.

2.4. Computational Results

Since we could isolate both cycloadducts from the reaction of siloxy vinylallene 10, we decided to use it as the model for the computational exploration. For comparison purposes, and since the substitution in the diene seems to be relevant to the endo:exo selectivity of the reaction, we decided to add the calculations of the siloxydiene using a model with the same number of carbons as the siloxy vinylallene (Figure 4).
We studied the relevant points on the reaction coordinate, starting compounds SiOD, SiOVA, d-BF3, transition states for the endo (TSN) and exo (TSX) approaches, and final products for the endo (FPN) and exo (FPX) approaches, using DFT theory as implemented in the ORCA program [19]. The functional chosen was B3LYP [20,21] with the D4 correction [22], and def2-SVP was selected as the basis set. As the Lewis acid, we decided to use BF3, since calculations for Indium require larger basis sets, and we have found that the reaction also worked with BF3.
The starting compounds and the final ones were optimized using the default model implemented in ORCA. For the structure of the transition states, the NEB procedure on ORCA was followed. All stationary points were confirmed by frequency calculation, finding no imaginary frequencies for the initial and final compounds and only one imaginary frequency for the transition states. Those imaginary frequencies were analyzed using IRC to confirm that they corresponded to the reaction studied.
A molecular complex, slightly more stable than the sum of the starting compounds, was found for both endo (MCN) and exo (MCX) approaches of the dienophile complexed to the Lewis acid and the siloxydiene or siloxy vinylallene. These complexes result from the Van der Waals attraction between the reactants (see Supplementary Materials for details).
The profile calculated for the reaction of the siloxy vinylallene SiOVA is shown in Figure 5, and the corresponding one for the siloxydiene SiOD in Figure 6.
In both reactions, the activation energy found for the endo approach is smaller than that of the exo approach, confirming that the major component of the reaction mixture must be the isomer coming from the endo approach. Thermodynamically, the exo isomer was more stable than the endo one for the siloxy vinylallene and the opposite for the siloxydiene, although in both cases with a small difference. The larger stabilization on the final products for the siloxy vinylallene can be explained by the conjugation of the double bond coming from the distal double bond of the allene in the cycloadducts.
The activation energy found for the transition states in the siloxy vinylallene is smaller than the one found for the siloxydiene, 8.94 kcal/mol in the endo approach in the siloxy vinylallene vs. 13.45 kcal/mol for siloxydiene, and 13.33 kcal/mol in the exo approach for the siloxy vinylallenes vs. 18.74 kcal/mol for the exo approach for the siloxydiene. A kinetically more favorable reaction is thus expected.
However, the difference between the endo and exo transition states in each reaction is similar, and a similar ratio of cycloadducts should be expected. Thus, this data alone does not explain the difference observed experimentally.
The study of the transition state geometry indicated that in both cases the reaction is asynchronous, with one bond more formed than the other. In the case of the siloxy vinylallene, those distances are larger than in the case of the siloxydienes (Figure 7), and thus, a less compact transition state could be responsible for the lack of selectivity in this reaction. The differences found for distances between the bond-forming atoms in the endo and exo approaches of the diene (0.88 Å and 0.85 Å) are larger than those found for the vinylallene (0.82 Å and 0.79 Å), indicating a more asynchronous reaction in the former case. Both reactions can be considered highly asynchronous due to the large difference between the forming bonds (>0.5 Å) [23].
Both reactions are of normal electron demand following the FMO formalism, since the most favorable interaction is from the HOMO orbital in the vinylallene (or the diene) and the LUMO orbital in the dienophile (Table 1).
To shed more light on this process, an analysis using conceptual density function theory (CDFT) was undertaken. The study was carried out using the CDFT module in multiwfn [25,26,27] using the same computational level used in the previous calculations.
Table 2 shows the chemical potential (µ), the chemical hardness (η), the global electrophilicity (ω), and the global nucleophilicity (N) for the molecules studied.
The chemical potential for the siloxydiene is slightly larger than that of the siloxy vinylallene, and so is expected to be more reactive. The chemical hardness is similar for both compounds acting as dienes. The lower value of µ for the dienophile implies that the charge transfer should be from the diene or vinylallene to the dienophile, as found before. The global electrophilicity and nucleophilicity indicate that the siloxydiene is less electrophilic and more nucleophilic than the siloxy vinylallene. Both the siloxy vinylallene and siloxydiene are moderate electrophiles and strong nucleophiles [28]. The Δ1-pyrroline is a strong electrophile and a marginal nucleophile. Thus, a polar reaction is expected.
To study the polarity of the reaction, the Global Electron Density Transfer (GEDT) [29] in the transition states was calculated using the NBO methodology [30]. The results are shown in Table 3.
The data for the endo and exo approaches in the transition state of the reactions confirms that the transfer is from the dienic part of the reaction to the dienophile.
The transfer for both transition states of the approach of the siloxydiene to the dienophile is larger than that of the siloxy vinylallene, indicating that the reaction of the diene is a more polar hetero Diels–Alder reaction.
The condensed charges, Fukui functions, and dual descriptors for the relevant atoms are presented in Table 4. The numbering scheme for Table 4 and Table 5 is shown in Figure 4.
As seen in Table 4, the condensed-to-atom indexes for carbon 1 in the vinylallene or the diene, that is, the one forming the most advanced bond in the transition state, have the largest charge, the largest Fukui function related to electrophilic attack, and the most negative dual descriptor. This indicates that this carbon initiates the bond formation in both the vinylallene and the diene in a two-stage mechanism with a nucleophilic attack onto the imine carbon and then, after that bond has progressed, the other bond is formed. Those quantities are also larger for the diene.
The condensed electrophilicity and nucleophilicity indexes are collected in Table 5. Those results also indicate that the bond formation between C1 of the dienic part of the vinylallene or the diene and C1 of the dienophile should be the most advanced, resulting in an asynchronous transition state.
Those results can explain the shorter distance between the reactants in the transition state for the siloxydiene. This results in a more compact transition state and more differentiation between the endo and exo approaches to the dienophile.
The substitution pattern is important [12]; when the diene is unsubstituted at C1, experimentally, the endo:exo selectivity is low. With an alkyl group, the selectivity is high. In the siloxy vinylallene, the sp carbon has less steric impact. Thus, it seems that the steric factors are important for the selectivity in these reactions. The higher nucleophilicity of the dienes results in a transition state with shorter distances between the reactants, thus making the steric factors more relevant when compared to the siloxy vinylallene.

3. Materials and Methods

3.1. General Experimental Procedures

All moisture-sensitive reactions were carried out under an argon or nitrogen atmosphere with dry solvents under anhydrous conditions. All solvents and reagents were purified using standard techniques or used as supplied by commercial sources. Reactions under standard conditions were monitored by thin-layer chromatography (TLC) on silica gel 60 F254 plates. Visualization was accomplished with UV light, stained with an ethanolic solution of phosphomolybdic acid or ninhydrin, and developed by heating. Silica gel (200–300 mesh) was used for column chromatography. NMR and spectra were recorded in CDCl3 or C6D6 at 500 MHz for 1H NMR and 125 MHz for 13C NMR on a Bruker Avance instrument. Chemical shifts are given in (δ) parts per million and coupling constants (J) in Hz. 1H- and 13C-spectra were referenced using the solvent signal as an internal standard. The data are reported as s = singlet, d = doublet, t = triplet, q = quartet, quintet = quintet, sext = sextet, m = multiplet, dd = doublet of doublets, dt = doublet of triplets, and bs = broad singlet. High-resolution mass spectral analysis (HRMS) data were obtained using a Fison VG AutoSpec spectrometer, Ipswich, UK, via electron impact (EI). The 1H NMR and 13C NMR spectra and 2D NMR spectroscopy of new compounds are provided in the Supplementary Materials.

3.2. Compound Synthesis

Synthesis of rac-(E)-dec-2-en-5-yn-4-ol (5)
To a solution of 1-hexyne (3), (1 g, 12.17 mmol) in THF (60 mL) at −78 °C under argon atmosphere was added nBuLi (1.6 M in hexanes, 14.6 mmol) dropwise. The reaction was allowed to reach −30 °C, and after 40 min, it was cooled again to −78 °C, and (E)-but-2-enal (1) (0.895 g, 12.78 mmol) was added dropwise. After 3h at −78 °C, the reaction was quenched by the addition of 60 mL of a cold saturated solution of NH4Cl and was extracted with 3 × 50 mL of EtOAc, dried over anhydrous Na2SO4, filtered, and concentrated. The crude extract was purified by flash chromatography (90:10, hexane: EtOAc), affording 5 (1.70 g, 92%).
Colorless oil. 1H NMR (CDCl3, 500 MHz) δ 5.86 (dq, J = 6.4, 15.8 Hz, 1H), 5.63 (dd, J = 6.2, 15.2 Hz, 1H), 4.79 (d, J = 6.1 Hz, 1H), 2.22 (t, J = 6.9 2H), 1.83 (bs, 1H), 1.72 (d, J = 6.5 Hz, 3H), 1.54–1.33 (m, 4H), 0.90 (t, J = 7.2 Hz, 3H); 13C NMR (CDCl3, 125 MHz) δ 130.6, 128.1, 86.5, 79.3, 62.9, 30.4, 21.7, 18.2, 17.2, 13.3.
Synthesis of rac-(E)-undec-4-en-7-yn-6-ol (6)
To a solution of 1-pentyne 4 (817 mg, 12 mmol) in THF (60 mL) at −78 °C was added nBuLi (1.6 M in hexanes, 13.2 mmol) dropwise. The reaction was allowed to reach −30 °C, and after 40 min, it was cooled again to −78 °C, and trans-2-hexenal (2) (1.41 g, 14.4 mmol) was added dropwise. After 3 h at −78 °C, the reaction was quenched by the addition of 60 mL of a cold saturated solution of NH4Cl and was extracted with 3 × 50 mL of EtOAc, dried over anhydrous Na2SO4, filtered, and concentrated. The crude extract was purified by flash chromatography (90:10, hexane: EtOAc), affording 6 (1.7 g, 92%).
Colorless oil. 1H NMR (CDCl3, 500 MHz) δ 0.11 (s, 6H), 0.93 (t, J = 7.4 Hz, 3H), 1.00 (t, J = 7.2 Hz, 3H), 1.45 (sext, J = 7.4 Hz, 2H), 1.57 (sext, J = 7.2 Hz, 2H), 2.06 (t, J = 7.1 Hz, 2H), 2.34 (t, J = 7.2 Hz, 2H), 4.84 (d, J = 5.4 Hz, 1H), 5.62 (dd, J = 6.2, 15.7 Hz, 1H), 5.88 (dt, J = 6.8, 15.7 Hz, 1H); 13C NMR (CDCl3, 125 MHz) δ 13.5, 13.7, 20.8, 22.1, 34.0, 63.3, 79.8, 86.7, 129.7, 133.4; HRMS (EI+): Calcd for C11H18O [M+] 166.1358, found 166.1357.
Synthesis of rac-(E)-tert-butyl(dec-2-en-5-yn-4-yloxy)dimethylsilane (7)
To a solution of alcohol 5 (2 g, 13.15 mmol) and imidazole (2.7 g, 39.5 mmol) in DCM (30 mL), TBSCl (2.21 g, 32.5 mmol) in 23 mL of DCM was added. The mixture was stirred at room temperature overnight and was quenched by the addition of water (50 mL) and extracted using DCM (3 × 50 mL). The organic extracts were washed with brine, dried over Na2SO4, filtered, and concentrated. The crude extract was purified by flash chromatography (99:1 hexane: EtOAc), affording 7 (3.25 g, 93%).
Colorless oil. 1H NMR (CDCl3, 500 MHz) δ 5.80 (dq, J = 6.5, 14.4 Hz, 1H), 5.56 (dd, J = 5.5, 15.1 Hz, 1H), 4.85 (d, J = 5.2 Hz), 2.24 (t, J = 6.9 Hz, 2H), 1.72 (d, J = 6.6 Hz, 3H), 1.55–1.40 (m, 4H), 0.93 (s, 12H), 0.92 (t, J = 4.0, 3H), 0.15 (s, 6H); 13C NMR (CDCl3, 125 MHz) δ 131.6, 126.1, 85.7, 80.3, 63.6, 30.7, 25.8, 21.9, 18.4, 18.3, 17.4, 13.5, −4.7.
Synthesis of rac-(E)-tert-butyldimethyl(undec-4-en-7-yn-6-yloxy)silane (8)
To a solution of alcohol 6 (1.8 g, 10.8 mmol) in DCM (50 mL), imidazole (2.21 g, 32.5 mmol) and TBSCl (2.21 g, 32.5 mmol) were added, and the mixture was stirred at room temperature overnight. The reaction was quenched by the addition of water (25 mL) and was extracted using DCM (3 × 50 mL). The organic extracts were washed with brine, dried over Na2SO4, filtered, and concentrated. The crude extract was purified by flash chromatography (100% hexane), affording 8 (2.76 g, 90%).
Colorless oil. 1H NMR (CDCl3, 500 MHz) δ 0.13 (s, 3H), 0.14 (s, 3H), 0.91 (t, J = 7.3 Hz, 3H), 0.92 (s, 9H), 0.98 (t, J = 7.4 Hz, 3H), 1.42 (sext, J = 7.4 Hz, 2H), 1.54 (sext, J = 7.3 Hz, 2H), 2.03 (q, J = 7.2 Hz, 2H), 2.20 (dt, J = 7.1, 2.0 Hz, 2H), 4.86 (d, J = 5.1 Hz, 1H), 5.52 (ddt, J = 15.3, 5.6, 1.3 Hz, 1H), 5.77 (dtd, J = 15.3, 6.7, 1.3 Hz, 1H); 13C NMR (CDCl3, 125 MHz) δ −4.7, −4.5, 13.4, 13.6, 18.3, 20.8, 22.0, 22.2, 25.8, 33.9, 63.8, 80.6, 85.4, 130.6, 131.1; HRMS (EI+): Calcd for C17H32OSi [M+] 280.2222, found 280.2234.
Synthesis of rac-(E)-tert-butyl(deca-2,4,5-trien-4-yloxy)dimethylsilane (9)
To a solution of 7 (200 mg, 0.75 mmol) in THF (4 mL) at 0 °C was added cold (−10 °C) LDA (1.58 mL, 0.5 M in THF, 0.79 mmol). After stirring for 20 min, an aqueous solution of NH4Cl (5 mL) was added. The reaction mixture was extracted with ethyl ether (3 × 10 mL). The combined organic extracts were washed with brine, dried over anhydrous Na2SO4, and concentrated. The oily residue obtained (134 mg, 0.50 mmol) resulted in almost pure 9 by NMR analysis (67%).
Colorless oil. 1H NMR (C6D6, 500 MHz) δ 6.11 (dq, J = 6.6, 14.5 Hz, 1H), 5.94 (d, J = 15.2 Hz, 1H), 5.56 (t, J = 6.4 Hz, 1H), 1.96–1.90 (m, 2H), 1.59 (d, J = 6.6 Hz, 3H), 1.33–1.17 (m, 4H), 0.99 (s, 9H), 0.78 (t, J = 7.3 Hz, 3H), 0.17 (s, 6H); 13C NMR (C6D6, 125 MHz) δ 198.9, 127.6, 126.1, 124.1, 101.8, 30.9, 25.8, 22.3, 18.2, 17.6, 13.8, −4.6; HRMS (EI+): Calcd for C16H30OSi [M+] 266.2066, found 266.2079.
Synthesis of rac-(E)-tert-butyldimethyl(undeca-4,5,7-trien-6-yloxy)silane (10)
To a solution of 8 (1 g, 3.6 mmol) in THF (36 mL) at −10 °C was added cold (−10 °C) LDA (0.5 M in THF, 3.93 mmol). After stirring for 30 min, imidazole (267 mg, 3.93 mmol) in THF (3 mL) was added. The reaction mixture was poured over hexane, and the solid was filtered out. The resulting solution was concentrated, and the oily residue obtained (870 mg) resulted in an almost pure 10 by NMR analysis (87% yield).
Colorless oil. 1H NMR (C6D6, 500 MHz) δ 0.23 (s, 3H), 0.24 (s, 3H), 0.84 (t, J = 7.4 Hz, 3H), 0.86 (t, J = 7.4 Hz, 3H), 1.06 (s, 9H), 1.29–1.44 (m, 4H), 1.95 (m, 2H), 2.04 (q, J = 7.4 Hz, 2H), 5.61 (t, J = 6.6, 1H), 6.03 (d, J = 15.4 Hz, 1H), 6.22 (dt, J = 15.4, 7.2 Hz, 1H); 13C NMR (C6D6, 125 MHz) δ −4.6, −4.4, 13.8, 13.9, 18.5, 22.3, 23.0, 26.0, 101.8, 126.2, 126.8, 129.8, 199.6; HRMS (EI+): Calcd for C17H32OSi [M+] 280.2222, found 280.2229.
Synthesis of 4-((tert-butyldimethylsilyl)oxy)butanal (12)
To a solution of DMSO (0.84 mL, 11.76 mmol) in DCM (26 mL) at −60 °C under argon atmosphere, were added 2.94 mL of oxalyl chloride (2 M in DCM, 5.88 mmol). The mixture was stirred for 20 min, and then a solution of 11 (1.0 g, 4.9 mmol) in DCM (7 mL) was added. After stirring for 1 h at −60 °C, 3.4 mL of TEA (24.5 mmol) was added, and the reaction was allowed to reach room temperature. Then, water was added, and the reaction was extracted with DCM (3 × 50 mL). The organic phase was washed with 1% aqueous HCl (40 mL), water (40 mL), saturated solution of NaHCO3, brine (40 mL), dried over anhydrous Na2SO4, filtered, and concentrated. After purification using flash chromatography (90:10 hexane: EtOAc), 12 was obtained (0.7 g, 70%).
Colorless oil. 1H NMR (C6D6, 500 MHz) 9.66 (t, J = 1.6 Hz, 1H), 3.53 (d, J = 5.9 Hz, 2H), 2.38 (dt, J = 1.6, 7.0 Hz, 2H), 1.74 (m, 2H), 0.76 (s, 9H), −0.07 (s, 6H); 13C NMR (C6D6, 125 MHz) δ 202.5, 62.0, 40.7, 25.8, 25.5, 18.2, −5.5.
Synthesis of (E)-N-benzyl-4-((tert-butyldimethylsilyl)oxy)butan-1-imine (13).
To a mixture of 12 (0.5 g, 2.46 mmol) and MgSO4 (12 mg) in DCM (3 mL) at 0 °C, 0.27 mL of BnNH2 (0.263 g, 2.46 mmol) was added dropwise. The mixture was stirred for 30 min at 0 °C, then filtered and the solvent removed under reduced pressure, yielding imine 13 (0.717 g, 2.46 mmol, 100%).
Colorless oil. 1H NMR (C6D6, 500 MHz) δ 7.45 (s, 1H), 7.30 (d, J = 7.44 Hz, 2H), 7.21 (d, J = 7.6 Hz, 2H), 7.12–7.09 (m, 1H), 4.42 (s, 2H), 3.52 (t, J = 6.1 Hz, 2H), 2.23 (bs, 2H), 1.75 (q, J = 6.9 Hz, 2H), 0.97 (s, 9H), 0.03 (s, 6H); 13C NMR (C6D6, 125 MHz) δ 164.1, 140.3, 128.3, 126.7, 65.1, 62.4, 32.3, 28.9, 25.9, 18.2, −5.3.
Hetero Diels–Alder reaction of 9 and 13 with In(OTf)3
To a solution of In(OTf)3 (328 mg, 0.58 mmol) in CH3CN (50 mL) at −5 °C, imine 13 (340 mg, 1.17 mmol) dissolved in CH3CN (5 mL) was added via cannula. The mixture was stirred for 5 min, then vinylallene 9 (310 mg, 1.17 mmol) dissolved in CH3CN (5 mL) was added via cannula. The reaction mixture was stirred overnight. A cold saturated aqueous solution of NaHCO3 (40 mL) was added to stop the reaction. Extraction was performed with EtOAc (3 × 40 mL). The combined organic phases were washed with a saturated aqueous solution of NaCl, dried over anhydrous Na2SO4, and concentrated. The reaction product was purified by column chromatography (95:5, hexane: EtOAc). Compounds 14 (236 mg, 0.43 mmol) and 15 (158 mg, 0.29 mmol) were obtained in a 60:40 ratio and 62% yield.
rac-(2S,6R,Z)-1-benzyl-4-((tert-butyldimethylsilyl)oxy)-2-(3-((tert-butyldimethylsilyl)oxy)propyl)-6-methyl-3-pentylidene-1,2,3,6-tetrahydropyridine (14)
Colorless oil. IR (νmax, cm−1): 2956, 2858, 1464, 1253, 1100; 1H NMR (C6D6, 500 MHz) δ 7.47 (d, J = 7.5 Hz, 2H), 7.23 (t, J = 7.5 Hz, 2H), 7.13 (t, J = 7.5 Hz, 1H), 5.10 (t, J = 5.0 Hz, 1H), 4.82 (bs, 1H), 3.73 (d, J = 14 Hz, 1H), 3.64 (d, J = 13.5 Hz, 1H), 3.61–3.55 (m, 2H), 3.26 (bs, 1H), 3.06 (t, J = 7.0 Hz, 1H), 2.82–2.78 (m, 1H), 2.53–2.49 (m, 1H), 1.96–1.92 (m, 1H), 1.81–1.78 (m, 1H), 1.70–1.61 (m, 2H), 1.43 (bs, 4H), 1.22 (d, J = 7.0 Hz, 3H), 1.04 (s, 9H), 0.99 (s, 9H), 0.96 (t, J = 6.5 Hz, 3H), 0.22 (s, 6H), 0.07 (s, 6H); 13C NMR (C6D6, 125 MHz) δ 145.9, 140.8, 130.2, 129.9, 128.8, 128.2, 126.9, 110.5, 67.2, 63.2, 61.6, 54.4, 32.9, 32.5, 30.8, 29.3, 27.1, 25.9, 23.3, 22.7, 18.3, 14.0, −4.1, −5.4.
rac-(2R,6R,Z)-1-benzyl-4-((tert-butyldimethylsilyl)oxy)-2-(3-((tert-butyldimethylsilyl)oxy)propyl)-6-methyl-3-pentylidene-1,2,3,6-tetrahydropyridine (15)
Colorless oil. IR (νmax, cm−1): 3392, 2929, 2869, 1693, 1434, 1069; 1H NMR (C6D6, 500 MHz) δ 7.48 (d, J = 7.5 Hz, 2H), 7.24 (t, J = 7.5 Hz, 2H), 7.11 (t, J = 7.5 Hz, 1H), 5.11 (t, J = 7.5 Hz, 1H), 4.80 (s, 1H), 3.72 (d, J = 14 Hz, 1H), 3.60–3.57 (m, 3H), 3.54 (d, J = 14 Hz, 1H), 3.22 (bs, 1H), 2.71–2.59 (m, 2H), 1.88–1.82 (m, 1H), 1.67−1.62 (m, 3H), 1.36 (bs, 4H), 1.12 (d, J = 7 Hz, 3H), 1.03 (s, 9H), 1.00 (s, 9H), 0.98–0.92 (m, 3H), 0.21 (s, 6H), 0.07 (s, 6H); 13C NMR (C6D6, 125 MHz) δ 147.8, 141.2, 131.3, 129.2, 128.6, 128.2, 126.7, 111.1, 63.1, 51.4, 50.5, 32.8, 30.2, 29.2, 26.0, 25.1, 22.7, 20.1, 18.3, 14.1.
Synthesis of rac-(2S,6R,Z)-1-benzyl-2-(3-hydroxypropyl)-6-methyl-3-pentylidenepiperidin-4-one (16)
A small portion of TBAF was added to a solution of the cycloadduct 14 (150 mg, 0.26 mmol) in THF (5 mL) at 0 °C. After 12 h of stirring and after all the starting material had been consumed, cold water (10 mL) was added. Extraction was carried out with ethyl ether (4 × 10 mL). The combined organic phases were washed with a saturated NaCl solution (10 mL) and dried with Na2SO4. The solvent was removed under reduced pressure, and the reaction product was purified by column chromatography (60:40, hexane: EtOAc), yielding compound 16 (68 mg, 0.21 mmol, 80%).
1H NMR (C6D6, 500 MHz) δ 7.31 (d, J = 7.5 Hz, 2H), 7.20 (t, J = 7.5 Hz, 2H), 7.11 (t, J = 7.5 Hz, 1H), 5.49 (t, J = 7.5 Hz, 1H), 3.61 (d, J = 14.0 Hz, 1H), 3.40 (d, J = 14.0 Hz, 1H), 3.27–3.20 (m, 2H), 3.10 (t, J = 7.5 Hz, 1H), 2.70–2.61 (m, 3H), 2.36–2.24 (m, 2H), 1.55–1.48 (m, 1H), 1.42–1.24 (m, 8H), 0.93 (d, J = 3.0 Hz, 3H), 0.90 (t, J = 7.0 Hz, 3H); 13C NMR (C6D6, 125 MHz) δ 200.2, 141.1, 140.1, 135.8, 129.2, 128.2, 127.1, 66.1, 62.1, 58.0, 53.4, 46.6, 35.1, 31.9, 29.8, 28.7, 22.5, 21.9, 13.9; HRMS (EI+): Calcd for C21H31NO2 [M+] 329.2355, found 329.2354.
Synthesis of rac-3-((2S,6R,Z)-1-benzyl-6-methyl-4-oxo-3-pentylidenepiperidin-2-yl)propanal (17)
To a DMSO solution (33 mg, 0.03 mL, 0.426 mmol) in DCM (3 mL) at −60 °C under an argon atmosphere, 0.09 mL of Cl2(CO)2 (2 M in DCM, 0.18 mmol) was added. The mixture was stirred for 20 min at the same temperature. Then, a solution of 16 (50 mg, 0.15 mmol) in DCM (1 mL) was added via cannula. The mixture was stirred for 1 h at −60 °C, and then 0.10 mL of TEA (75.8 mg, 0.75 mmol) was added, and the reaction was allowed to reach room temperature. After 4 h of stirring, water was added, and the mixture was extracted with DCM (3 × 10 mL). The combined organic phases were washed with 1% HCl (aq) solution (10 mL), water (10 mL), saturated aqueous NaHCO3 solution (10 mL), and saturated aqueous NaCl solution (10 mL), then dried over anhydrous Na2SO4 and concentrated. The resulting crude was purified by column chromatography (80:20, hexane: EtOAc), yielding aldehyde 17 (30 mg, 0.092 mmol, 62%).
1H NMR (C6D6, 500 MHz) δ 9.12 (s, 1H), 7.21–7.09 (m, 5H), 5.46 (t, J = 7.6 Hz, 1H), 3.51 (d, J = 14.0 Hz, 1H), 3.29 (d, J = 14.0 Hz, 1H), 3.00 (t, J = 7.6 Hz, 1H), 2.69–2.54 (m, 3H), 2.24–2.22 (m, 2H), 1.61–1.62 (m, 1H), 1.44–1.23 (m, 7H), 0.89 (t, J = 7.2 Hz, 3H), 0.86 (d, J = 6.4 Hz, 3H); 13C NMR (C6D6, 125 MHz) δ 199.7, 167.0, 142.1, 139.9, 135.1, 129.3, 127.4, 127.1, 64.8, 58.1, 53.2, 46.5, 40.4, 31.8, 30.9, 28.7, 22.5, 21.8, 13.9.
Synthesis of rac-(5R,8aS)-5-methyl-8-pentylhexahydroindolizin-7(1H)-one (18)
To a solution of 17 (30 mg, 0.092 mmol) in MeOH (2 mL), at room temperature, 10% Pd/C (3 mg) was added and placed in a Parr hydrogenator at 3 atm. After 12 h of reaction, it was filtered, and the solvent was removed under vacuum, obtaining 18 (14 mg, 0.042 mmol, 46%).
1H NMR (C6D6, 500 MHz) δ 2.91 (dt, J = 2.0, 8.5 Hz, 1H), 2.14 (d, J = 10.0 Hz, 1H), 2.11–2.00 (m, 3H), 1.81–1.72 (m, 2H), 1.67–1.55 (m, 3H), 1.50–1.45 (m, 1H), 1.35–1.16 (m, 8H), 0.84 (t, J = 7.0 Hz, 3H), 0.80 (d, J = 5.5 Hz, 3H); 13C NMR (C6D6, 125 MHz) δ 208.0, 68.8, 57.1, 55.8, 50.6, 49.2, 32.5, 30.3, 27.7, 26.0, 22.7, 21.5, 21.2, 14.1; HRMS (FAB+): Calcd for C14H25NO [M+] 223.1936, found 223.1929.
Hetero Diels–Alder reaction of 9 and Δ1-pyrroline (19)
To a solution of In(OTf)3 (210 mg, 0.38 mmol) in CH3CN (25 mL) at −5 °C, a solution of 19 (52 mg, 0.75 mmol) in CH3CN (2 mL) was added via cannula. The mixture was stirred for 5 min, then a solution of 9 (200 mg, 0.75 mmol) in CH3CN (2 mL) was added via cannula. The reaction mixture was stirred overnight. A cold, saturated aqueous solution of NaHCO3 (30 mL) was added to stop the reaction. The reaction was extracted with EtOAc (3 × 30 mL). The combined organic phases were washed with a saturated aqueous solution of NaCl, dried over anhydrous Na2SO4, and concentrated. The reaction product was purified by column chromatography (80:20, hexane: EtOAc), yielding 156 mg of 20 (0.47 mmol, 62%).
rac-(5R,8aS,Z)-7-((tert-butyldimethylsilyl)oxy)-5-methyl-8-pentylidene-1,2,3,5,8,8a-hexahydroindolizine (20)
IR (νmax, cm−1): 2959, 2859, 2780, 1611, 1463, 1254; 1H NMR (C6D6, 500 MHz) δ 5.29 (t, J = 7.0 Hz, 1H), 4.89 (s, 1H), 3.24 (dt, J = 2.0, 8.5 Hz, 1H), 2.89–2.85 (m, 2H), 2.78–2.72 (m, 1H), 2.67–2.63 (m, 1H), 1.94 (q, J = 8.4 Hz, 1H), 1.82 (t, J = 8.5 Hz, 1H), 1.78–1.73 (m, 1H), 1.61–1.55 (m, 1H), 1.44–1.27 (m, 5H), 1.16 (d, J = 6.5 Hz, 3H), 1.02 (s, 9H), 0.92 (t, J = 6.5 Hz, 3H), 0.21 (s, 6H); 13C NMR (C6D6, 125 MHz) δ 149.4, 133.9, 126.5, 113.8, 65.9, 57.3, 52.6, 33.0, 29.1, 28.9, 26.2, 22.8, 21.7, 21.3, 18.6, 14.1, −4.0.
Synthesis of (5R,8aS,Z)-5-methyl-8-pentylidenehexahydroindolizin-7(1H)-one (21)
A small portion of TBAF was added to a solution of 20 (70 mg, 0.20 mmol) in THF (2 mL) at 0 °C. The reaction was monitored by TLC. After 12 h of stirring and complete consumption of the starting material, cold water (10 mL) was added. Extraction was carried out with ethyl ether (4 × 10 mL). The combined organic phases were washed with a saturated NaCl solution (10 mL) and dried over Na2SO4. The solvent was removed under reduced pressure, and the reaction product was purified by column chromatography (20:80, hexane: EtOAc), yielding 37 mg of 21 (0.17 mmol, 85%).
IR (νmax, cm−1): 2961, 2873, 2787, 1716, 1375, 1187; 1H NMR (C6D6, 500 MHz) δ 5.58 (dt, J = 1.5, 7.5 Hz, 1H), 3.01 (dt, J = 1.5, 8.0 Hz, 1H), 2.69–2.66 (m, 2H), 2.59 (bs, 1H), 2.39 (dd, J = 3.5, 16.0 Hz, 1H), 2.25–2.15 (m, 3H), 1.76–1.59 (m, 4H), 1.48–1.31 (m, 4H), 0.87 (q, J = 7.0 Hz, 3H), 0.84 (d, J = 6.0 Hz, 3H); 13C NMR (C6D6, 125 MHz) δ 199.3, 138.2, 137.9, 67.4, 55.6, 51.2, 49.7, 31.9, 28.9, 28.8, 22.5, 21.4, 21.1, 13.9; HRMS (FAB+): Calcd for C14H23NO [M+] 221.1780, found 221.1768.
Hydrogenation of 21
To a solution of 21 (42 mg, 0.19 mmol) in MeOH (4 mL), 10% Pd/C (6 mg, 0.02 mmol) was added, and the mixture was placed in a hydrogen atmosphere at 1 atm pressure. After 12 h of reaction, the reaction mixture was filtered, and the solvent was removed under reduced pressure. The crude reaction mixture was purified by column chromatography (40:60, hexane: EtOAc), yielding 18 (23.3 mg, 0.11 mmol, 55%) and 8.4 mg of the isomerization compound 22 (0.04 mmol, 20%).
rac-(R)-5-methyl-8-pentyl-2,3,5,6-tetrahydroindolizin-7(1H)-one (22)
1H NMR (C6D6, 500 MHz) δ 2.92–2.83 (m, 1H), 2.77–2.72 (m, 1H), 2.47–2.32 (m, 3H), 2.23–2.03 (m, 4H), 1.65–1.60 (m, 2H), 1.43–1.40 (m, 4H), 1.30–1.22 (m, 2H), 0.96 (t, J = 6.8 Hz, 3H), 0.71 (t, J = 6.4 Hz, 3H); 13C NMR (C6D6, 125 MHz) δ 189.0, 163.6, 163.3, 52.3, 50.0, 44.2, 32.1, 30.0, 29.9, 25.9, 23.0, 20.9, 17.5, 14.2.
Hetero Diels–Alder reaction of 10 and Δ1-pyrroline (19)
To a solution of In(OTf)3 (871 mg, 1.55 mmol) in dry CH3CN (15 mL) at 0 °C was added a solution of freshly distilled Δ1-pyrroline (19) (257 mg, 3.72 mmol) in CH3CN (3 mL) at 0 °C under argon. After 15 min, the mixture was cooled at −40 °C, and a solution of siloxy vinylallene 10 (869 mg, 3.10 mmol) in CH3CN (5 mL) was added. The reaction mixture was allowed to slowly warm up to room temperature and was stirred for 24 h, quenched with NaHCO3 aqueous solution, extracted with EtOAc, washed with brine, dried over Na2SO4, filtered, and concentrated in vacuo. The residue was purified by flash chromatography to give the corresponding products, 23 and 24 (870 mg, 80%) in a 70:30 ratio.
rac-(5R,8aS,Z)-7-((tert-butyldimethylsilyl)oxy)-8-butylidene-5-propyl-1,2,3,5,8,8a-hexahydroindolizine (23)
Colorless oil. 1H NMR (C6D6, 500 MHz) δ 0.10 (s, 6H), 0.78 (t, J = 7.6 Hz, 3H), 0.84 (t, J = 7.4 Hz, 3H), 0.89 (s, 9H), 1.49–1.14 (m, 5H), 1.73–1.55 (m. 3H), 1.82 (q, J = 8.7 Hz, 1H), 2.60 (m, 1H), 2.75 (t, J = 7.6 Hz, 1H), 2.80 (bs, 1H), 3.10 (td, J = 8.7, 2.7 Hz, 1H), 4.94 (s, 1H), 5.16 (t, J = 7.4 Hz, 1H); 13C NMR (C6D6, 125 MHz) δ −3.8, −3.7, 14.2, 14.8, 18.2, 18.8, 22.0, 24.1, 26.4, 29.1, 31.7, 37.2, 52.6, 62.1, 66.2, 112.1, 126.2, 134.4, 150.2; HRMS (EI+): Calcd for C21H39NOSi [M+] 349.2801, found 349.2794.
rac-(5R,8aR,Z)-7-((tert-butyldimethylsilyl)oxy)-8-butylidene-5-propyl-1,2,3,5,8,8a-hexahydroindolizine (24)
Colorless oil. 1H NMR (C6D6, 500 MHz) δ 0.32 (s, 3H), 0.34 (s, 3H). 1.05 (t, J = 6.7 Hz, 3H), 1.08 (t, J = 7.4 Hz, 3H), 1.14 (s, 9H), 1.14–1.49 (m, 4H), 1.95 (m, 2H), 2.00 (m, 2H), 2.77 (q, J = 8.2 Hz, 2H), 2.94 (m, 2H), 3.35 (m, 1H), 3.87 (t, J = 5.5 Hz, 1H), 5.22 (d, J = 4.1 Hz, 1H), 5.39 (t, J = 7.4 Hz, 1H); 13C NMR (C6D6, 125 MHz) δ −4.0, −3.9, 14.1, 14.6, 18.7, 20.2, 22.6, 24.0, 26.3, 31.3, 31.9, 37.2, 51.6, 55.8, 60.8, 111.4, 127.31, 132.1, 148.2; HRMS (EI+): Calcd for C21H39NOSi [M+] 349.2801, found 349.2794.
HCl treatment of 23
To a solution of 23 (850 mg, 2.4 mmol) in THF (10 mL) were added 4 mL of 10% aq HCl. The reaction was stirred at rt for 3 h. Then a saturated solution of NaHCO3 was added, and the reaction was extracted with ether (3 × 50 mL), dried over anhydrous Na2SO4, filtered, and concentrated. The crude extract was purified by flash chromatography (35:65, hexane: EtOAc), yielding 263 mg of (5R*,8aS*, E)-8-butylidene-5-propylhexahydroindolizin-7(1H)-one (25) (46% yield).
Colorless oil, 1H NMR (C6D6, 500 MHz) δ 0.77 (t, J = 7.3 Hz, 3H), 0.79 (t, J = 7.4 Hz, 3H), 1.13, (m, 3H), 1.24 (sext, J = 7.4 Hz, 2H), 1.39 (m, 3H), 1.45–1.62 (m, 2H), 1.85 (dq, J = 7.5, 1.3 Hz, 2H), 1.98 (m, 2H), 2.03 (quint, J = 7.8 Hz, 2H), 2.31 (m, 2H), 2.51 (m, 1H), 2.75 (dt, J = 7.8, 4.3 Hz, 1H), 3.28 (t, J = 7.6 Hz, 1H), 6.82 (dt, J = 7.6, 2.5 Hz, 1H); 13C NMR (C6D6, 125 MHz) δ 14.0, 14.4, 18.7, 22.4, 22.8, 30.9, 31.8, 37.3, 42.8, 47.5, 56.3, 63.5, 139.0, 140.0, 197.8; HRMS (EI+): Calcd for C15H25NO [M+] 235.1936, found 235.1936.
TBAF treatment of 23
To a solution of 23 (70 mg, 0.2 mmol) in THF (5 mL) was added a small amount of TBAF. The reaction was stirred at rt for 15 min and was quenched by adding water (5 mL), and was extracted with ethyl ether (3 × 20 mL). The extract was washed with brine, dried with Na2SO4, filtered, and concentrated. The crude was purified by flash chromatography (35:65, hexane: EtOAc), yielding 42 mg of (5R*,8aS*, Z)-8-butylidene-5-propylhexahydroindolizin-7(1H)-one (26) (90%).
Colorless oil, 1H NMR (CDCl3, 500 MHz) δ 0.88 (t, J = 7.3 Hz, 3H), 0.89 (t, J = 7.0 Hz, 3H), 1.23 (m, 1H), 1.38 (m, 4H), 1.63 (m, 1H), 1.74 (m, 1H), 1.85 (m, 2H), 2.02 (m, 1H), 2.16 (m, 1H), 2.27 (dd, J = 16.7, 16.2 Hz, 1H), 2.41 (q, J = 7.2 Hz, 2H), 2.45 (m, 1H), 2.54 (dd, J = 16.7, 3.9 Hz, 1H), 2.89 (m, 1H), 3.28 (dt, J = 8.8, 2.5 Hz, 1H), 5.72 (t, J = 7.1 Hz, 1H); 13C NMR (CDCl3, 125 MHz) δ 13.8, 14.2, 18.2, 21.3, 22.7, 28.6, 31.2, 37.1, 46.6, 51.2, 60.1, 67.4, 137.3, 139.4, 200.9; HRMS (EI+): Calcd for C15H25NO [M+] 235.1936, found 235.1947.

4. Conclusions

We have demonstrated that siloxy vinylallenes react with heterodienophiles in a hetero Diels–Alder reaction with total regio and facial selectivity but moderate endo:exo ratio. The cycloadducts were transformed into the indolizidine skeleton by two routes, indicating the usefulness of this reaction. Computational studies comparing the reaction of siloxy vinylallenes with siloxydienes, which have previously shown high endo:exo selectivity, indicate that the major difference is the higher nucleophilicity of the siloxydienes compared to the siloxy vinylallenes. This leads to more compact transition states for the dienes, resulting in a greater relevance of the steric factor present in the reactants. Of the different approaches to the synthesis of indolizidines employed in this and in our previous paper, the one using siloxydienes seems the most efficient in terms of yield and selectivity. The advantage of using siloxy vinylallenes could be the possibility of obtaining more functionalized cycloadducts that could be used for further transformations.

Supplementary Materials

The following supporting information can be downloaded at: https://www.mdpi.com/article/10.3390/molecules30234627/s1: Computational section: Figure S1: Stationary points calculated for the reaction of the siloxy diene and Δ1-pyrroline, Figure S2: Stationary points calculated for the reaction of the siloxy vinylallene and Δ1-pyrroline; Study of the week interactions in the Molecular complexes: Figure S3: NCI scatter graphs of the molecular complexes found. Only the spikes reaching the bottom are relevant. The green color indicates Van der Waals interactions, Figure S4. RDG isosurfaces for the molecular complexes. Green color indicates Van der Waals interactions; Coordinates of the calculated stationary points; NMR spectra of the synthesized compounds.

Author Contributions

M.d.M.A. and J.A.P. conceived and designed the experiments; G.V.-A., J.F.R.-C. and M.d.M.A. performed the experiments; J.A.P. performed the computational studies. All authors have read and agreed to the published version of the manuscript.

Funding

This research received no external funding.

Data Availability Statement

Data is contained within the article or Supplementary Materials.

Conflicts of Interest

The authors declare no conflicts of interest.

Abbreviations

The following abbreviations are used in this manuscript:
CDFTConceptual Density Functional Theory
DCMDichloromethane
DFTDensity Functional Theory
FMOFrontier Molecular Orbital
GEDTGlobal Electron Density Transfer
NBONatural Bond Order
PTAD4-Phenyl-1,2,4-Triazole-3,5-dione
TBAFtetrabutylammonium fluoride
TBStert-Butyl Dimethyl Silyl

References

  1. Hopf, H.; Sherburn, M.S. Allenes in Diels–Alder Cycloadditions. Synthesis 2022, 54, 864–886. [Google Scholar] [CrossRef]
  2. Afonso, M.M.; Palenzuela, J.A. Recent Advances in the Synthesis and Reactivity of Vinylallenes. Curr. Org. Chem. 2019, 23, 3006–3028. [Google Scholar] [CrossRef]
  3. Regás, D.; Afonso, M.M.; Palenzuela, J.A. Pyridines and pyridine derivatives from vinyl allenes and imines. Tetrahedron 2012, 68, 9345–9349. [Google Scholar] [CrossRef]
  4. Reich, H.J.; Eisenhart, E.K.; Olson, R.E.; Kelly, M.J. Silyl Ketone Chemistry. Preparation and Reactions of Silyl Allenol Ethers. Diels-Alder Reactions of Siloxy Vinylallenes Leading to Sesquiterpenes. J. Am. Chem. Soc. 1986, 108, 7791–7800. [Google Scholar] [CrossRef]
  5. Reich, H.J.; Eisenhart, E.K.; Whipple, W.L.; Kelly, M.J. Stereochemistry of Vinylallene Cycloadditions. J. Am Chem. Soc. 1988, 110, 6432–6442. [Google Scholar] [CrossRef]
  6. Sasaki, M.; Kondo, Y.; Kawahata, M.; Yamaguchi, K.; Takeda, K. Enantioselective Synthesis of Siloxyallenes from Alkynoylsilanes by Reduction and a Brook Rearrangement and Their Subsequent Trapping in a [4+2] Cycloaddition. Angew. Chem. Int. Ed. 2011, 50, 6375–6378. [Google Scholar] [CrossRef]
  7. Sasaki, M.; Kondo, Y.; Moto-ishi, T.; Kawahata, M.; Yamaguchi, K.; Takeda, K. Enantioselective Synthesis of Allenylenol Silyl Ethers via Chiral Lithium Amide Mediated Reduction of Ynenoyl Silanes and Their Diels−Alder Reactions. Org. Lett. 2015, 17, 1280–1283. [Google Scholar] [CrossRef]
  8. Wu, Y.-K.; West, F.G. Brønsted Acid-Mediated Nazarov Cyclization of Vinylallenes. J. Org. Chem. 2010, 75, 5410–5413. [Google Scholar] [CrossRef]
  9. Kuwajima, I.; Kato, M. Base-Induced Rearrangement of 1-Trimethylsilylpropargyl Alcohol. Generation of Lithiated Trimethylsiloxyallenes and Their Reactions. Tetrahedron Lett. 1980, 21, 623–626. [Google Scholar] [CrossRef]
  10. Stergiades, I.A.; Tius, M.A. α,β-Unsaturated Acyl Silanes. J. Org. Chem. 1999, 64, 7547–7551. [Google Scholar] [CrossRef]
  11. Yoshizawa, K.; Shioiri, T. Siloxyallenes revisited. A useful functional intermediate for the synthesis of (Z)-b-branched Morita–Baylis–Hillman type adducts and (Z)-chalcones. Tetrahedron 2007, 63, 6259–6286. [Google Scholar] [CrossRef]
  12. Rodríguez-Caro, J.F.; Afonso, M.M.; Palenzuela, J.A. A Simple Entry to the 5,8-Disubstituted Indolizidine Skeleton via Hetero Diels-Alder Reaction. Molecules 2023, 28, 7316. [Google Scholar] [CrossRef] [PubMed]
  13. Daly, J.W.; Spande, T.F.; Garraffo, H.M. Alkaloids from Amphibian Skin: A Tabulation of over Eight-Hundred Compounds. J. Nat. Prod. 2005, 68, 1556–1575. [Google Scholar] [CrossRef] [PubMed]
  14. Davies, S.G.; Fletcher, A.M.; Hughes, D.G.; Lee, J.A.; Price, P.D.; Roberts, P.M.; Russell, A.J.; Smith, A.D.; Thomson, J.E.; Williams, O.M.H. Asymmetric synthesis of piperidines and octahydroindolizines using a one-pot ring-closure/N-debenzylation procedure. Tetrahedron 2011, 67, 9975–9992. [Google Scholar] [CrossRef]
  15. Gabko, P.; Šesták, S.; Moncoľ, J.; Bella, M. 5-Substituted 1,2-Dihydroxyindolizidines and -Pyrrolizidines Related to Swainsonine: Synthesis and Inhibition Study. Eur. J. Org. Chem. 2025, 28, e202401307. [Google Scholar] [CrossRef]
  16. Song, Y.; Okamoto, S.; Sato, F. A concise asymmetric synthesis of 5,8-disubstituted indolizidine alkaloids. Total synthesis of (−)-indolizidine 209B. Tet. Lett. 2002, 43, 8635–8637. [Google Scholar] [CrossRef]
  17. Regás, D.; Afonso, M.M.; Rodríguez, M.-L.; Palenzuela, J.A. Synthesis of Octahydroquinolines through the Lewis Acid Catalyzed Reaction of Vinyl Allenes and Imines. J. Org. Chem. 2003, 68, 7845–7852. [Google Scholar] [CrossRef]
  18. Struve, C.; Christophersen, C. Structural Equilibrium and Ring-Chain Tautomerism of Aqueous Solutions of 4-Aminobutyraldehyde. Heterocycles 2003, 60, 1907–1914. [Google Scholar] [CrossRef]
  19. Neese, F. Software update: The ORCA program system, version 6.0. WIRES Comput. Molec. Sci. 2025, 15, e70019. [Google Scholar] [CrossRef]
  20. Becke, A.D. Density-functional thermochemistry. III. The role of exact exchange. J. Chem. Phys. 1993, 98, 5648–5652. [Google Scholar] [CrossRef]
  21. Lee, C.; Yang, W.; Parr, R.G. Development of the Colle-Salvetti correlation-energy formula into a functional of the electron density. Phys. Rev. B 1988, 37, 785–789. [Google Scholar] [CrossRef]
  22. Caldeweyher, E.; Ehlert, S.; Hansen, A.; Neugebauer, H.; Spicher, S.; Bannwarth, C.; Grimme, S. A generally applicable atomic-charge dependent London dispersion correction. J. Chem. Phys. 2019, 150, 154122. [Google Scholar] [CrossRef] [PubMed]
  23. Domingo, L.-R.; Sáez, J.A. Understanding the mechanism of polar Diels–Alder reactions. Org. Biomol. Chem. 2009, 7, 3576–3583. [Google Scholar] [CrossRef]
  24. Legault, C.Y. CYLview 1.0b; Université de Sherbrooke: Sherbrooke, QC, USA, 2009; Available online: http://www.cylview.org (accessed on 5 November 2025).
  25. Lu, T.; Chen, F. Multiwfn: A Multifunctional Wavefunction Analyzer. J. Comput. Chem. 2012, 33, 580–592. [Google Scholar] [CrossRef]
  26. Lu, T. A comprehensive electron wavefunction analysis toolbox for chemists, Multiwfn. J. Chem. Phys. 2024, 161, 082503. [Google Scholar] [CrossRef]
  27. Lu, T.; Chen, Q. Realization of Conceptual Density Functional Theory and Information-Theoretic Approach in Multiwfn Program. In Conceptual Density Functional Theory; WILEY-VCH GmbH: Weinheim, Germany, 2022; pp. 631–647. [Google Scholar] [CrossRef]
  28. Domingo, L.R.; Ríos-Gutiérrez, M. Application of reactivity indices in the study of polar Diels–Alder reactions. In Conceptual Density Functional Theory: Towards a New Chemical Reactivity Theory; Liu, S., Ed.; WILEY-VCH GmbH: Weinheim, Germany, 2022; Volume 2, pp. 481–502. [Google Scholar] [CrossRef]
  29. Domingo, L.R. A new C–C bond formation model based on the quantum chemical topology of electron density. RSC Adv. 2014, 4, 32415–32428. [Google Scholar] [CrossRef]
  30. Weinhold, F.; Landis, C.R.; Glendening, E.D. What is NBO analysis and how is it useful? Int. Rev. Phys. Chem. 2016, 35, 399–440. [Google Scholar] [CrossRef]
Scheme 1. Previous work on alkyl-substituted vinylallenes.
Scheme 1. Previous work on alkyl-substituted vinylallenes.
Molecules 30 04627 sch001
Scheme 2. Previous works that use siloxy vinylallenes.
Scheme 2. Previous works that use siloxy vinylallenes.
Molecules 30 04627 sch002
Scheme 3. Most used reactions for the preparation of siloxyallenes.
Scheme 3. Most used reactions for the preparation of siloxyallenes.
Molecules 30 04627 sch003
Scheme 4. Preparation of the precursors for the siloxy vinylallenes.
Scheme 4. Preparation of the precursors for the siloxy vinylallenes.
Molecules 30 04627 sch004
Scheme 5. Preparation of the siloxy vinylallenes.
Scheme 5. Preparation of the siloxy vinylallenes.
Molecules 30 04627 sch005
Scheme 6. Retrosynthetic analysis of the synthesis of indolizidines from the hetero Diels–Alder reaction of the siloxy vinylallene.
Scheme 6. Retrosynthetic analysis of the synthesis of indolizidines from the hetero Diels–Alder reaction of the siloxy vinylallene.
Molecules 30 04627 sch006
Scheme 7. Synthesis of the heterodienophile 13.
Scheme 7. Synthesis of the heterodienophile 13.
Molecules 30 04627 sch007
Scheme 8. Hetero Diels–Alder reaction of 9 with imine 13.
Scheme 8. Hetero Diels–Alder reaction of 9 with imine 13.
Molecules 30 04627 sch008
Scheme 9. Transformation of the cycloadduct into the indolizidine 18.
Scheme 9. Transformation of the cycloadduct into the indolizidine 18.
Molecules 30 04627 sch009
Figure 1. ROESY correlation found for 18.
Figure 1. ROESY correlation found for 18.
Molecules 30 04627 g001
Scheme 10. Hetero Diels–Alder of 9 and Δ1-pyrroline 19.
Scheme 10. Hetero Diels–Alder of 9 and Δ1-pyrroline 19.
Molecules 30 04627 sch010
Scheme 11. Synthesis of 18 from 20.
Scheme 11. Synthesis of 18 from 20.
Molecules 30 04627 sch011
Scheme 12. Reaction of siloxy vinylallene 10 and Δ1-pyrroline 19.
Scheme 12. Reaction of siloxy vinylallene 10 and Δ1-pyrroline 19.
Molecules 30 04627 sch012
Figure 2. Relevant correlations found in the ROESY experiments.
Figure 2. Relevant correlations found in the ROESY experiments.
Molecules 30 04627 g002
Scheme 13. Acid treatment of the endo cycloadduct.
Scheme 13. Acid treatment of the endo cycloadduct.
Molecules 30 04627 sch013
Scheme 14. Removal of the TBS group using TBAF.
Scheme 14. Removal of the TBS group using TBAF.
Molecules 30 04627 sch014
Figure 3. Relevant correlation found in the ROESY experiments for the ketones obtained in the acid (a) and fluoride (b) removal of the TBS group.
Figure 3. Relevant correlation found in the ROESY experiments for the ketones obtained in the acid (a) and fluoride (b) removal of the TBS group.
Molecules 30 04627 g003
Scheme 15. Results of the Hetero Diels–Alder reaction of substituted siloxydienes and Δ1-pyrroline [12].
Scheme 15. Results of the Hetero Diels–Alder reaction of substituted siloxydienes and Δ1-pyrroline [12].
Molecules 30 04627 sch015
Figure 4. Model compounds used in computational studies and the numbering scheme used in the discussion.
Figure 4. Model compounds used in computational studies and the numbering scheme used in the discussion.
Molecules 30 04627 g004
Figure 5. Reaction profile for the reaction of siloxy vinylallene SiOVA and Δ1-pyrroline. Gibbs activation energies and reaction energies at 298 K are in kcal/mol.
Figure 5. Reaction profile for the reaction of siloxy vinylallene SiOVA and Δ1-pyrroline. Gibbs activation energies and reaction energies at 298 K are in kcal/mol.
Molecules 30 04627 g005
Figure 6. Reaction profile for the reaction of siloxydiene SiOD and Δ1-pyrroline. Gibbs activation energies and reaction energies at 298 K are in kcal/mol.
Figure 6. Reaction profile for the reaction of siloxydiene SiOD and Δ1-pyrroline. Gibbs activation energies and reaction energies at 298 K are in kcal/mol.
Molecules 30 04627 g006
Figure 7. Transition state structures and distances between the reacting atoms. (a) Siloxy vinylallene endo approach. (b) Siloxy vinylallene exo approach. (c) Siloxydiene endo approach. (d) Siloxydiene exo approach. Distances are in Å. Graphics represented using Cylview [24].
Figure 7. Transition state structures and distances between the reacting atoms. (a) Siloxy vinylallene endo approach. (b) Siloxy vinylallene exo approach. (c) Siloxydiene endo approach. (d) Siloxydiene exo approach. Distances are in Å. Graphics represented using Cylview [24].
Molecules 30 04627 g007
Table 1. HOMO and LUMO energies of the reacting compound. Energies are in eV.
Table 1. HOMO and LUMO energies of the reacting compound. Energies are in eV.
CompoundHOMOLUMO
Siloxy vinylallene−5.704−0.586
Siloxydiene−5.583−0.533
Δ1-Pyrroline−8.647−1.464
Table 2. Chemical potential (µ), Chemical hardness (η), Global electrophilicity (ω), Global nucleophilicity (N). Energies are in eV.
Table 2. Chemical potential (µ), Chemical hardness (η), Global electrophilicity (ω), Global nucleophilicity (N). Energies are in eV.
CompoundµηωN
Siloxy vinylallene−3.265.261.013.11
Siloxydiene−3.185.250.963.23
Δ1-Pyrroline−5.097.721.630.16
Table 3. Global Electron Density Transfer for the transition states studies. Values are in average number of electrons e.
Table 3. Global Electron Density Transfer for the transition states studies. Values are in average number of electrons e.
Transition StateGEDT
TSVA-endo0.309
TSVA-exo0.276
TSD-endo0.463
TSD-exo0.468
Table 4. Condensed charges q(N), electrophilic Fukui function, f−, nucleophilic Fukui function f+, radical Fukui function f0, and condensed dual descriptors CDD for the atoms indicated *.
Table 4. Condensed charges q(N), electrophilic Fukui function, f−, nucleophilic Fukui function f+, radical Fukui function f0, and condensed dual descriptors CDD for the atoms indicated *.
CompoundAtom q(N)f−f+f0CDD
Diene1(C)−0.06560.16020.11600.1381−0.0442
2(C)0.05990.10240.07560.0890−0.0268
3(C)−0.06140.06670.11970.09320.0530
4(C)−0.02840.11070.14970.13020.0390
Vinylallene1(C)−0.05190.13790.10050.1192−0.0374
2(C)0.05280.09900.07280.0859−0.0262
3(C)−0.05660.07230.10930.09080.0370
4(C)−0.02840.11340.14430.12880.0309
5(C)−0.03350.07360.06460.0691−0.0090
Dienophile1(C)0.14300.09980.27320.18650.1734
2(N)−0.00230.09730.15090.12410.0536
3(B)0.22650.02280.03690.02990.0141
* Numbering according to Figure 4.
Table 5. Condensed electrophilicity ωi, and nucleophilicity Ni for the atoms indicated *.
Table 5. Condensed electrophilicity ωi, and nucleophilicity Ni for the atoms indicated *.
CompoundAtom ωi Ni
Diene1(C)0.111550.56672
2(C)0.072700.36228
3(C)0.115140.23615
4(C)0.143930.39151
Vinylallene1(C)0.101430.47129
2(C)0.073480.33844
3(C)0.1103500.24709
4(C)0.145580.38745
5(C)0.065170.25138
Dienophile1(C)0.457610.04737
2(N)0.252710.04618
3(B)0.061850.01084
* Numbering according to Figure 4.
Disclaimer/Publisher’s Note: The statements, opinions and data contained in all publications are solely those of the individual author(s) and contributor(s) and not of MDPI and/or the editor(s). MDPI and/or the editor(s) disclaim responsibility for any injury to people or property resulting from any ideas, methods, instructions or products referred to in the content.

Share and Cite

MDPI and ACS Style

Rodríguez-Caro, J.F.; Vargas-Arana, G.; Afonso, M.d.M.; Palenzuela, J.A. Hetero Diels–Alder Cycloaddition of Siloxy Vinylallenes—Synthesis of the Indolizidine Skeleton: Experimental and Computational Studies. Molecules 2025, 30, 4627. https://doi.org/10.3390/molecules30234627

AMA Style

Rodríguez-Caro JF, Vargas-Arana G, Afonso MdM, Palenzuela JA. Hetero Diels–Alder Cycloaddition of Siloxy Vinylallenes—Synthesis of the Indolizidine Skeleton: Experimental and Computational Studies. Molecules. 2025; 30(23):4627. https://doi.org/10.3390/molecules30234627

Chicago/Turabian Style

Rodríguez-Caro, Juan Francisco, Gabriel Vargas-Arana, María del Mar Afonso, and José Antonio Palenzuela. 2025. "Hetero Diels–Alder Cycloaddition of Siloxy Vinylallenes—Synthesis of the Indolizidine Skeleton: Experimental and Computational Studies" Molecules 30, no. 23: 4627. https://doi.org/10.3390/molecules30234627

APA Style

Rodríguez-Caro, J. F., Vargas-Arana, G., Afonso, M. d. M., & Palenzuela, J. A. (2025). Hetero Diels–Alder Cycloaddition of Siloxy Vinylallenes—Synthesis of the Indolizidine Skeleton: Experimental and Computational Studies. Molecules, 30(23), 4627. https://doi.org/10.3390/molecules30234627

Article Metrics

Back to TopTop