New Benzimidazole-Based pH-Sensitive Fluorescent Probes
Abstract
1. Introduction
2. Results and Discussion
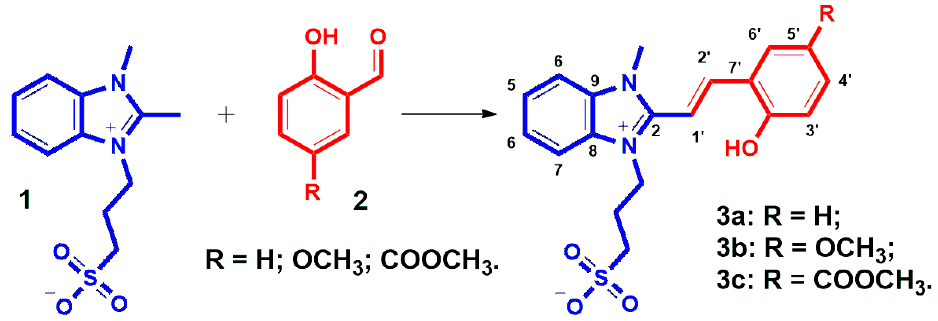
2.1. Molecular Design, Synthesis, and Structure Studies
2.2. UV-Vis Spectral Studies
2.3. Biological Studies
2.4. Fluorescent Microscopy
2.5. Molecular Docking
3. Experimental
3.1. Materials and Methods
3.2. Synthesis
3.3. Biological Studies
3.4. Molecular Docking
3.5. Fluorescent Microscopy
4. Conclusions
Supplementary Materials
Author Contributions
Funding
Institutional Review Board Statement
Informed Consent Statement
Data Availability Statement
Acknowledgments
Conflicts of Interest
References
- Gottlieb, R.A.; Dosanjh, A. Mutant cystic fibrosis transmembrane conductance regulator inhibits acidification and apoptosis in C127 cells: Possible relevance to cystic fibrosis. Proc. Natl. Acad. Sci. USA 1996, 93, 3587–3591. [Google Scholar] [CrossRef]
- Gottlieb, R.A.; Nordberg, J.; Skowronski, E.; Babior, B.M. Apoptosis induced in Jurkat cells by several agents is preceded by intracellular acidification. Proc. Natl. Acad. Sci. USA 1996, 93, 654–658. [Google Scholar] [CrossRef]
- Gottlieb, R.A.; Giesing, H.A.; Zhu, J.Y.; Engler, R.L.; Babior, B.M. Cell acidification in apoptosis: Granulocyte colony-stimulating factor delays programmed cell death in neutrophils by up-regulating the vacuolar H(+)-ATPase. Proc. Natl. Acad. Sci. USA 1995, 92, 5965–5968. [Google Scholar] [CrossRef]
- Liang, E.; Liu, P.; Dinh, S. Use of a pH-sensitive fluorescent probe for measuring intracellular pH of Caco-2 cells. Int. J. Pharm. 2007, 338, 104–109. [Google Scholar] [CrossRef]
- Walker, N.M.; Simpson, J.E.; Levitt, R.C.; Boyle, K.T.; Clarke, L.L. Talniflumate Increases Survival in a Cystic Fibrosis Mouse Model of Distal Intestinal Obstructive Syndrome. J. Pharmacol. Exp. Ther. 2006, 317, 275–283. [Google Scholar] [CrossRef] [PubMed]
- Li, K.; Grauschopf, C.; Hedrich, R.; Dreyer, I.; Konrad, K.R. K+ and pH Homeostasis in Plant Cells Is Controlled by a Synchronized K+/H++Antiport at the Plasma and Vacuolar Membrane. New Phytol. 2024, 241, 1525–1542. [Google Scholar] [CrossRef] [PubMed]
- Koltai, T. The Complex Relationship Between Multiple Drug Resistance and the Tumor pH Gradient: A Review. Cancer Drug Resist. 2022, 5, 277–303. [Google Scholar] [CrossRef] [PubMed]
- Simon, S.; Roy, D.; Schindler, M. Intracellular pH and the control of multidrug resistance. Proc. Natl. Acad. Sci. USA 1994, 91, 1128–1132. [Google Scholar] [CrossRef]
- Lakadamyali, M.; Rust, M.J.; Babcock, H.P.; Zhuang, X. Visualizing infection of individual influenza viruses. Proc. Natl. Acad. Sci. USA 2003, 100, 9280–9285. [Google Scholar] [CrossRef]
- He, Y.; Wang, S.; Yu, P.; Yan, K.; Ming, J.; Yao, C.; He, Z.; El-Toni, A.M.; Khan, A.; Zhu, X.; et al. NIR-II Cell Endocytosis-Activated Fluorescent Probes for In Vivo High-Contrast Bioimaging Diagnostics. Chem. Sci. 2021, 12, 10474–10482. [Google Scholar] [CrossRef]
- Izumi, H.; Torigoe, T.; Ishiguchi, H.; Uramoto, H.; Yoshida, Y.; Tanabe, M.; Ise, T.; Murakami, T.; Yoshida, T.; Nomoto, M.; et al. Cellular pH regulators: Potentially promising molecular targets for cancer chemotherapy. Cancer Treat. Rev. 2003, 29, 541–549. [Google Scholar] [CrossRef] [PubMed]
- Davies, T.A.; Fine, R.E.; Johnson, R.J.; Levesque, C.A.; Rathbun, W.H.; Seetoo, K.F.; Smith, S.J.; Strohmeier, G.; Volicer, L.; Delva, L.; et al. Non-age Related Differences in Thrombin Responses by Platelets from Male Patients with Advanced Alzheimer′s Disease. Biochem. Biophys. Res. Commun. 1993, 194, 537–543. [Google Scholar] [CrossRef]
- Ohkuma, S.; Poole, B. Fluorescence probe measurement of the intralysosomal pH in living cells and the perturbation of pH by various agents. Proc. Natl. Acad. Sci. USA 1978, 75, 3327–3331. [Google Scholar] [CrossRef]
- Ponsford, A.H.; Ryan, T.A.; Raimondi, A.; Cocucci, E.; Wycislo, S.A.; Fröhlich, F.; Swan, L.E.; Stagi, M. Live Imaging of Intra-Lysosome pH in Cell Lines and Primary Neuronal Culture Using a Novel Genetically Encoded Biosensor. Autophagy 2021, 17, 1500–1518. [Google Scholar] [CrossRef]
- Chen, Z.; Wu, Y.; Li, X.; Wang, F. A novel BODIPY-based fluorescent probe for naked-eye detection of the highly alkaline pH. Spectrochim. Acta Part A 2025, 325, 125083. [Google Scholar] [CrossRef]
- Shabbir, A.; Rasool, N.; Khan, S.U.; Alharthy, R.D.; Hashmi, M.A.; Qureshi, Z.; Iqbal, J. A Multimode fluorescent sensor for sequential detection of Cu2+ and cysteine as well as pH sensor with real sample Applications: Extensive experimental and DFT studies. Spectrochim. Acta Part A 2025, 327, 125414. [Google Scholar] [CrossRef] [PubMed]
- Ma, H.; Yang, L.; Zhang, Y.; Chen, X. Fluorescent probe for tumor imaging and prognostic assessment via multi-response to biothiols, viscosity, and pH values. Sens. Actuators B Chem. 2025, 424, 136926. [Google Scholar] [CrossRef]
- Li, S.A.; Chen, Q.; Liu, Y.; Zhao, M. Progress in pH-Sensitive sensors: Essential tools for organelle pH detection, spotlighting mitochondrion and diverse applications. Front. Pharmacol. 2024, 14, 1339518. [Google Scholar] [CrossRef]
- Xu, W.; Yin, X.; Zhang, H.; Wang, R. A Review of Fluorescent pH Probes: Ratiometric Strategies, Extreme pH Sensing, and Multifunctional Utility. Chemosensors 2025, 13, 280. [Google Scholar] [CrossRef]
- Jia, Z.; Wang, L.; Zhang, T.; Li, F. Advances in Covalent Organic Frameworks as Fluorescent Sensors for pH. Luminescence 2025, 40, e70153. [Google Scholar] [CrossRef] [PubMed]
- Liu, S.; Li, B.; Chen, J.; Zhang, Y. Near-Infrared-II Fluorescent Probes for Analytical Applications: From In Vitro Detection to In Vivo Imaging Monitoring. Acc. Chem. Res. 2025, 58, 543–554. [Google Scholar] [CrossRef] [PubMed]
- Kim, H.J.; Heo, C.H.; Kim, H.M. Benzimidazole-based ratiometric two-photon fluorescent probes for acidic pH in live cells and tissues. J. Am. Chem. Soc. 2013, 135, 17969–17977. [Google Scholar] [CrossRef] [PubMed]
- Zhu, J.; Wang, H.F.; Zhang, J.X.; Wang, M.; Zhuang, Y.W.; Suo, Z.G.; He, Y.W.; Zhang, Y.C.; Wei, M.; Zhang, H.Y. A Benzimidazole-Based Fluorescent Probe for the Selective Recognition of Cobalt(II) Ions. Molecules 2025, 30, 3309. [Google Scholar] [CrossRef]
- Duan, N.; Ding, L.; Yang, S.; Tian, H.; Sun, B. A Benzimidazole-Based “Turn-On” Fluorescent Probe for Highly Sensitive Detection of Fe3+/Fe2+: Synthesis, Performance, DFT Calculations and Applications. J. Mater. Chem. C 2024, 12, 7359–7365. [Google Scholar] [CrossRef]
- Wu, Y.C.; You, J.Y.; Jiang, K.; Wu, H.Q.; Xiong, J.F.; Wang, Z.Y. Novel Benzimidazole-Based Ratiometric Fluorescent Probes for Acidic pH. Dyes Pigm. 2018, 149, 1–7. [Google Scholar] [CrossRef]
- Wen, C.; Ge, J.; Huang, Y.; Gong, T.; Wang, C.; Yu, B.; Liang, W. A benzimidazole-based ratiometric fluorescent probe for the accurate and rapid monitoring of lysosomal pH in cell autophagy and anticounterfeiting. Analyst 2022, 147, 4389–4398. [Google Scholar] [CrossRef] [PubMed]
- Behbahani, S.B.; Kiridena, S.D.; Wijayaratna, U.N.; Taylor, C.; Anker, J.N.; Tzeng, T.R.J. pH Variation in Medical Implant Biofilms: Causes, Measurements, and Its Implications for Antibiotic Resistance. Front. Microbiol. 2022, 13, 1028560. [Google Scholar] [CrossRef]
- Pugachev, A.D.; Kozlenko, A.S.; Sazykina, M.A.; Sazykin, I.S.; Rostovtseva, I.A.; Makarova, N.I.; Borodkin, G.S.; Tkachev, V.V.; Utenyshev, A.N.; Demidov, O.P.; et al. Anion and Substituents Effect on Spectral-Kinetic and Biological Characteristics of Spiropyran Salts. ChemBioChem 2025, 26, e202400800. [Google Scholar] [CrossRef]
- Ali, A.A.; Kharbash, R.; Kim, Y. Chemo-And Biosensing Applications of Spiropyran And Its Derivatives—A Review. Anal. Chim. Acta 2020, 1110, 199–223. [Google Scholar] [CrossRef]
- Chatterjee, S.; Liu, B.; Peng, H.S. Chelation Strategies In Spiropyran-Based Chemosensors For Colorimetric And Fluorescent Sensing Of Metal Ions And Anions. Coord. Chem. Rev. 2024, 508, 215779. [Google Scholar] [CrossRef]
- Fagan, A.; Bartkowski, M.; Giordani, S. Spiropyran-Based Drug Delivery Systems. Front. Chem. 2021, 9, 720087. [Google Scholar] [CrossRef]
- Zhao, Y.; Li, H.; Zheng, H.; Jia, Q. Light-/pH-Regulated Spiropyran Smart-Responsive Hydrophilic Separation Platform For The Identification Of Serum Glycopeptides From Hepatocellular Carcinoma Patients. Anal. Chem. 2025, 97, 1135–1142. [Google Scholar] [CrossRef]
- Reifarth, M.; Bekir, M.; Bapolisi, A.M.; Titov, E.; Nußhardt, F.; Nowaczyk, J.; Grigoriev, D.; Sharma, A.; Saalfrank, P.; Santer, S.; et al. A Dual pH-And Light-Responsive Spiropyran-Based Surfactant: Investigations On Its Switching Behavior And Remote Control Over Emulsion Stability. Angew. Chem. Int. Ed. 2022, 61, e202114687. [Google Scholar] [CrossRef]
- Wan, S.; Zheng, Y.; Shen, J.; Yang, W.; Yin, M. “On–off–on” switchable sensor: A fluorescent spiropyran responds to extreme pH conditions and its bioimaging applications. ACS Appl. Mater. Interfaces 2014, 6, 19515–19519. [Google Scholar] [CrossRef]
- Berton, C.; Pezzato, C. Photoacidity of Indolinospirobenzopyrans in Water. Eur. J. Org. Chem. 2023, 26, e202300070. [Google Scholar] [CrossRef]
- Liao, Y. Design and Applications of Metastable-State Photoacids. Acc. Chem. Res. 2017, 50, 1956–1964. [Google Scholar] [CrossRef] [PubMed]
- Liang, X.; Shan, X.; Zhang, Z.; Zhou, X.; Shen, L.; Xu, H.; Wang, Z.; Redshaw, C.; Zhang, Q. Spiropyran-Based Triphenylamine AlEgens: pH-Responsive and Light-Activated Mitochondria-Targeted Fluorescence Imaging. Bioorg. Chem. 2025, 156, 108214. [Google Scholar] [CrossRef]
- Ozhogin, I.V.; Zolotukhin, P.V.; Makarova, N.I.; Rostovtseva, I.A.; Pugachev, A.D.; Kozlenko, A.S.; Belanova, A.A.; Borodkin, G.S.; Dorogan, I.V.; Metelitsa, A.V. Meta-stable state photoacid containing β-estradiol fragment with photomodulated biological activity and anti-cancer stem cells properties. J. Photochem. Photobiol. B 2024, 257, 112964. [Google Scholar] [CrossRef]
- Patel, P.K.; Arias, J.E.; Gongora, R.S.; Hernandez, F.E.; Moncomble, A.; Aloïse, S.; Chumbimuni-Torres, K.Y. Visible Light-Triggered Fluorescence and pH Modulation Using Metastable-State Photoacids and BODIPY. Phys. Chem. Chem. Phys. 2018, 20, 26804–26808. [Google Scholar] [CrossRef] [PubMed]
- Steinegger, A.; Wolfbeis, O.S.; Borisov, S.M. Optical sensing and imaging of pH values: Spectroscopies, materials, and applications. Chem. Rev. 2020, 120, 12357–12489. [Google Scholar] [CrossRef]
- Liu, X.; Wang, L.; Bing, T.; Zhang, N.; Shangguan, D. A mitochondria-targeted ratiometric fluorescent pH probe. ACS Appl. Bio Mater. 2019, 2, 1368–1375. [Google Scholar] [CrossRef] [PubMed]
- Niu, W.; Fan, L.; Nan, M.; Li, Z.; Lu, D.; Wong, M.S.; Shuang, S.; Dong, C. Ratiometric emission fluorescent pH probe for imaging of living cells in extreme acidity. Anal. Chem. 2015, 87, 2788–2793. [Google Scholar] [CrossRef]
- Schlafer, S.; Garcia, J.E.; Greve, M.; Raarup, M.K.; Nyvad, B.; Dige, I. Ratiometric imaging of extracellular pH in bacterial biofilms with C-SNARF-4. Appl. Environ. Microbiol. 2015, 81, 1267–1273. [Google Scholar] [CrossRef]
- Kisin-Finfer, E.; Redy-Keisar, O.; Roth, M.; Ben-Eliyahu, R.; Shabat, D. Molecular Insight into Long-Wavelength Fluorogenic Dye Design: Hydrogen Bond Induces Activation of a Dormant Acceptor. Chem. Eur. J. 2015, 21, 18566–18570. [Google Scholar] [CrossRef]
- Bhattacharya, S.; Chaudhuri, P. Medical implications of benzimidazole derivatives as drugs designed for targeting DNA and DNA associated processes. Curr. Med. Chem. 2008, 15, 1762–1777. [Google Scholar] [CrossRef]
- El-masry, A.H.; Fahmy, H.H.; Ali Abdelwahed, S.H. Synthesis and antimicrobial activity of some new benzimidazole derivatives. Molecules 2000, 5, 1429–1438. [Google Scholar] [CrossRef]
- Blatun, L.A.; Skladan, G.E.; Terekhova, R.P.; Prudnikova, S.A.; Krutikov, M.G.; Andreytseva, O.I.; Yan, M.N.; Nikitin, A.A.; Ushakov, A.A.; Askerov, N.G.; et al. Fungi infection in surgical department. Systemic and local antifungal therapy. Antibiot. Khimioterapiya 2018, 63, 37–43. [Google Scholar]
- Blatun, L.A.; Terekhova, R.P.; Lykova, E.O. Stellanin-PEG 3% ointment: Comparative antimicrobial activity against surgical infection pathogens. Antibiot. Khimioterapiya 2008, 53, 16–18. [Google Scholar]
- Pragti; Singh, P.; Sharma, R.; Mobin, S.M. Near-Infrared Bioimaging Using Two-photon Fluorescent Probes. Adv. Healthc. Mater. 2025, 14, 2403272. [Google Scholar] [CrossRef] [PubMed]
- Tang, Y.; Lee, D.; Wang, J.; Li, G.; Yu, J.; Lin, W.; Yoon, J. Development of fluorescent probes based on protection–deprotection of the key functional groups for biological imaging. Chem. Soc. Rev. 2015, 44, 5003–5015. [Google Scholar] [CrossRef] [PubMed]
- Holmes, K.L.; Lantz, L.M. Protein labeling with fluorescent probes. Methods Cell Biol. 2001, 63, 185–204. [Google Scholar]
- Jiang, X.; Yu, Y.; Chen, J.; Zhao, M.; Chen, H.; Song, X.; Matzuk, A.J.; Carroll, S.L.; Tan, X.; Sizovs, A.; et al. Challenges and opportunities for small-molecule fluorescent probes in redox biology applications. Antioxid. Redox Signal. 2018, 29, 518–540. [Google Scholar] [CrossRef]
- Stepanović, S.; Vuković, D.; Dakić, I.; Savić, B.; Švabić-Vlahović, M. A modified microtiter-plate test for quantification of staphylococcal biofilm formation. J. Microbiol. Methods 2000, 40, 175–179. [Google Scholar] [CrossRef]
- Maniatis, T.; Fritsch, E.F.; Sambrook, J. Molecular Cloning: A Laboratory Manual; Cold Spring Harbor Laboratory: Cold Spring Harbor, NY, USA, 1982; p. 82. [Google Scholar]
- Sazykin, I.S.; Sazykina, M.A.; Khmelevtsova, L.E.; Khammami, M.I.; Karchava, S.K.; Zhuravleva, M.V.; Kudeevskaya, E.M. The influence of pesticides of different chemical groups on soil bacterial community. Ann. Microbiol. 2016, 66, 1039–1045. [Google Scholar] [CrossRef]
- Salari, S.; Seddighi, N.S.; Almani, P.G.N. Evaluation of the effect of imipenem and vancomycin on biofilm formation in clinical isolates of methicillin resistant Staphylococcus aureus. J. Mycol. Med. 2018, 28, 23–28. [Google Scholar] [CrossRef] [PubMed]
- Li, X.; Yan, Z.; Xu, J. Quantitative variation of biofilms among strains in natural populations of Candida albicans. Microbiology 2003, 149, 353–362. [Google Scholar] [CrossRef] [PubMed]
- Peeters, E.; Nelis, H.J.; Coenye, T. Comparison of multiple methods for quantification of microbial biofilms grown in microtiter plates. J. Microbiol. Methods 2008, 72, 157–165. [Google Scholar] [CrossRef]
- Karunanidhi, A.; Ghaznavi-Rad, E.; Hamat, R.A.; Pichika, M.R.; Lung, L.T.T.; Fauzi, F.M.; Chigurupati, S.; van Belkum, A.; Neela, V. Antibacterial and antibiofilm activities of nonpolar extracts of Allium stipitatum Regel. against multidrug resistant Staphylococcus aureus. BioMed Res. Int. 2018, 2018, 9845075. [Google Scholar] [CrossRef] [PubMed]
- Pierce, C.G.; Uppuluri, P.; Tristan, A.R.; Wormley, F.L., Jr.; Mowat, E.; Ramage, G.; Lopez-Ribot, J.L. A simple and reproducible 96-well plate-based method for the formation of fungal biofilms and its application to antifungal susceptibility testing. Nat. Protoc. 2008, 3, 1494–1500. [Google Scholar] [CrossRef]
- Biran, A.; Yagur-Kroll, S.; Pedahzur, R.; Buchinger, S.; Reifferscheid, G.; Ben-Yoav, H.; Shacham-Diamand, Y.; Belkin, S. Bacterial genotoxicity bioreporters. Microb. Biotechnol. 2010, 3, 412–427. [Google Scholar] [CrossRef]
- Zavilgelsky, G.B.; Kotova, V.Y.; Manukhov, I.V. Action of 1,1-dimethylhydrazine on bacterial cells is determined by hydrogen peroxide. Mutat. Res. Genet. Toxicol. Environ. Mutagen. 2007, 634, 172–176. [Google Scholar] [CrossRef]
- Sazykin, I.S.; Sazykina, M.A.; Khammami, M.I.; Kostina, N.V.; Khmelevtsova, L.E.; Trubnik, R.G. The influence of pesticides on the vital activity of microorganisms. Environ. Monit. Assess. 2015, 187, 277. [Google Scholar] [CrossRef]
- Sazykin, I.S.; Sazykina, M.A.; Kudeevskaja, E.M.; Sazykina, M.I. Vibrio Aquamarinus Strain, Method of Determining Sample Toxicity Using Same and Testing Culture for Determining Sample Toxicity. RU 2 534 819 C2, 10 December 2014. [Google Scholar]
- Pronkin, P.G.; Tatikolov, A.S. Meso-aryl-substituted thiacarbocyanine dyes as spectral-fluorescent probes for DNA. Spectrochim. Acta Part A 2022, 269, 120744. [Google Scholar] [CrossRef]
- Valdés-Tresanco, M.S.; Valdés-Tresanco, M.E.; Valiente, P.A.; Moreno, E. AMDock: A versatile graphical tool for assisting molecular docking with Autodock Vina and Autodock4. Biol. Direct 2020, 15, 12. [Google Scholar] [CrossRef]
- Morris, G.M.; Huey, R.; Lindstrom, W.; Sanner, M.F.; Belew, R.K.; Goodsell, D.S.; Olson, A.J. Autodock4 and AutoDockTools4: Automated docking with selective receptor flexibility. J. Comput. Chem. 2009, 30, 2785–2791. [Google Scholar] [CrossRef]
- Drew, H.R.; Wing, R.M.; Takano, T.; Broka, C.; Tanaka, S.; Itakura, K.; Dickerson, R.E. Structure of a B-DNA dodecamer: Conformation and dynamics. Proc. Natl. Acad. Sci. USA 1981, 78, 2179–2183. [Google Scholar] [CrossRef] [PubMed]
- Lua, R.C.; Lichtarge, O. PyETV: A PyMOL evolutionary trace viewer to analyze functional site predictions in protein complexes. Bioinformatics 2010, 26, 2981–2982. [Google Scholar] [CrossRef]
- Neese, F.; Wennmohs, F.; Becker, U.; Riplinger, C. The ORCA Quantum Chemistry Program Package. J. Chem. Phys. 2020, 152, 224108. [Google Scholar] [CrossRef] [PubMed]
- Neese, F. Software Update: The ORCA Program System—Version 6.0. WIREs Comput. Mol. Sci. 2025, 15, e70019. [Google Scholar] [CrossRef]
- Adamo, C.; Barone, V. Toward Reliable Density Functional Methods Without Adjustable Parameters: The PBE0 Model. J. Chem. Phys. 1999, 110, 6158–6170. [Google Scholar] [CrossRef]
- Weigend, F.; Ahlrichs, R. Balanced Basis Sets of Split Valence, Triple Zeta Valence and Quadruple Zeta Valence Quality for H to Rn: Design and Assessment of Accuracy. Phys. Chem. Chem. Phys. 2005, 7, 3297–3305. [Google Scholar] [CrossRef]
- Grimme, S.; Antony, J.; Ehrlich, S.; Krieg, H. A Consistent and Accurate Ab Initio Parametrization of Density Functional Dispersion Correction (DFT-D) for the 94 Elements H–Pu. J. Chem. Phys. 2010, 132, 154104. [Google Scholar] [CrossRef] [PubMed]
- Grimme, S.; Ehrlich, S.; Goerigk, L. Effect of the Damping Function in Dispersion Corrected Density Functional Theory. J. Comput. Chem. 2011, 32, 1456–1465. [Google Scholar] [CrossRef] [PubMed]
- Cossi, M.; Rega, N.; Scalmani, G.; Barone, V. Energies, Structures, and Electronic Properties of Molecules in Solution with the C-PCM Solvation Model. J. Comput. Chem. 2003, 24, 669–681. [Google Scholar] [CrossRef] [PubMed]












| No. | Structure | pH | Absorption, λmax, nm (ε·10−4, M−1·cm−1) | λFlmax, nm | ΦFl a |
|---|---|---|---|---|---|
| 3a | ![]() | 1 | 239 (0.66), 310 (1.49), 339 (1.56) | – | – |
| 7 | 239, 310, 339 | 587 | – | ||
| 13 | 238 (1.36), 316 (1.36), 419 (1.35) | 587 | 0.003 | ||
| 3b | ![]() | 1 | 258 (0.92), 310 (1.68), 364 (1.14) | – | |
| 7 | 258, 312, 364 | 621 | – | ||
| 13 | 239 (1.20), 321 (1.59), 447 (1.31) | 621 | 0.001 | ||
| 3c | ![]() | 1 | 253 (2.38), 310 (1.56), 339 (1.53) | – | – |
| 7 | 257, 299, 395 | 560 | – | ||
| 13 | 263 (1.51), 298 (2.78), 402 (1.30) | 560 | 0.016 |
| Binding Mode | ∆Gest | Eintmol | EvdWHD | Eel | Etint | Etor | Ki |
|---|---|---|---|---|---|---|---|
| kcal·mol−1 | kcal·mol−1 | kcal·mol−1 | kcal·mol−1 | kcal·mol−1 | kcal·mol−1 | μM | |
| 3a | |||||||
| minor groove | −7.75 | −9.84 | −9.09 | −0.74 | −0.86 | +2.09 | 2.09 |
| major groove | −6.84 | −8.93 | −7.87 | −1.06 | −0.76 | +2.09 | 9.63 |
| intercalation | −4.38 | −6.47 | −4.59 | −1.88 | −2.54 | +2.09 | 617.73 |
| 3b | |||||||
| minor groove | −8.07 | −10.46 | −9.44 | −1.02 | −0.85 | +2.39 | 1.21 |
| major groove | −6.56 | −8.95 | −7.59 | −1.36 | −0.62 | +2.39 | 15.52 |
| intercalation | −4.17 | −6.56 | −5.65 | −0.90 | −2.53 | +2.39 | 878.52 |
| 3c | |||||||
| minor groove | −8.45 | −11.14 | −10.23 | −0.91 | −1.03 | +2.68 | 0.637 |
| major groove | −6.89 | −9.57 | −8.43 | −1.14 | −1.60 | +2.68 | 8.97 |
| intercalation | −4.94 | −7.62 | −6.42 | −1.20 | −0.97 | +2.68 | 241.20 |
Disclaimer/Publisher’s Note: The statements, opinions and data contained in all publications are solely those of the individual author(s) and contributor(s) and not of MDPI and/or the editor(s). MDPI and/or the editor(s) disclaim responsibility for any injury to people or property resulting from any ideas, methods, instructions or products referred to in the content. |
© 2025 by the authors. Licensee MDPI, Basel, Switzerland. This article is an open access article distributed under the terms and conditions of the Creative Commons Attribution (CC BY) license (https://creativecommons.org/licenses/by/4.0/).
Share and Cite
Pugachev, A.D.; Bardasov, I.N.; Karchava, S.K.; Azhogina, T.N.; Klimova, M.V.; Matukhno, A.E.; Dmitriev, V.S.; Borodkin, G.S.; Lanovaya, O.D.; Pobedinskaya, D.Y.; et al. New Benzimidazole-Based pH-Sensitive Fluorescent Probes. Molecules 2025, 30, 4622. https://doi.org/10.3390/molecules30234622
Pugachev AD, Bardasov IN, Karchava SK, Azhogina TN, Klimova MV, Matukhno AE, Dmitriev VS, Borodkin GS, Lanovaya OD, Pobedinskaya DY, et al. New Benzimidazole-Based pH-Sensitive Fluorescent Probes. Molecules. 2025; 30(23):4622. https://doi.org/10.3390/molecules30234622
Chicago/Turabian StylePugachev, Artem D., Ivan N. Bardasov, Shorena K. Karchava, Tatiana N. Azhogina, Maria V. Klimova, Alexey E. Matukhno, Vitaly S. Dmitriev, Gennady S. Borodkin, Olga D. Lanovaya, Diana Y. Pobedinskaya, and et al. 2025. "New Benzimidazole-Based pH-Sensitive Fluorescent Probes" Molecules 30, no. 23: 4622. https://doi.org/10.3390/molecules30234622
APA StylePugachev, A. D., Bardasov, I. N., Karchava, S. K., Azhogina, T. N., Klimova, M. V., Matukhno, A. E., Dmitriev, V. S., Borodkin, G. S., Lanovaya, O. D., Pobedinskaya, D. Y., Polinichenko, A. E., Khmelevtsova, L. E., Sazykin, I. S., Sazykina, M. A., & Ozhogin, I. V. (2025). New Benzimidazole-Based pH-Sensitive Fluorescent Probes. Molecules, 30(23), 4622. https://doi.org/10.3390/molecules30234622




