Antiprotozoal Aminosteroid Alkaloids from Buxus obtusifolia (Mildbr.) Hutch.
Abstract
1. Introduction
2. Results and Discussion
2.1. In Vitro Antiprotozoal Activity of the Crude Extracts and Fractions
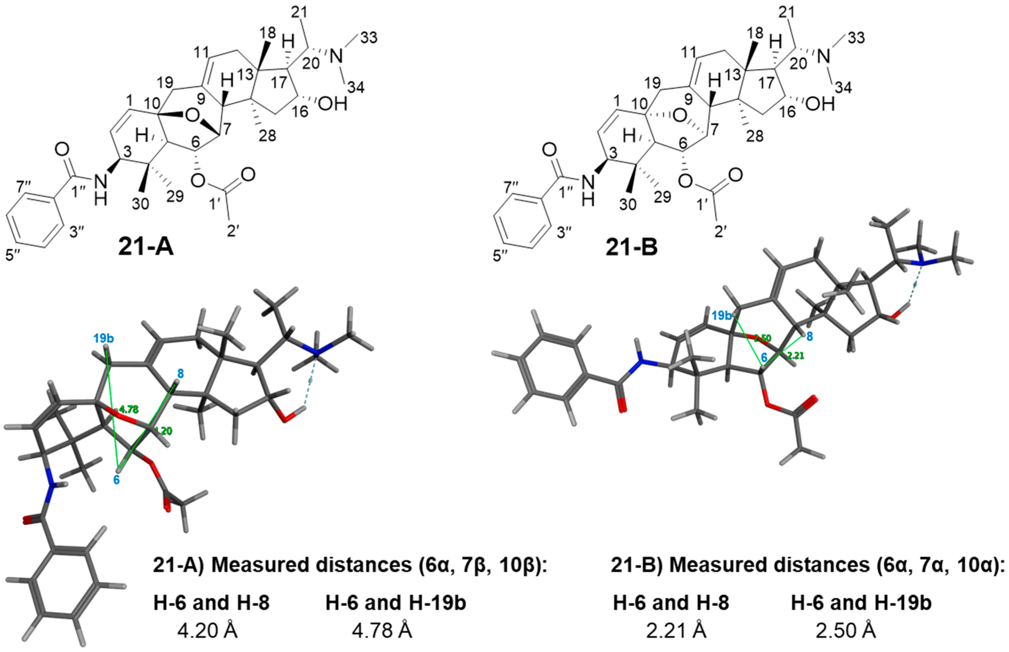
2.2. Isolation and Characterization of Aminosteroids from Buxus Obtusifolia
2.3. Antiprotozoal Activity of the Aminosteroids Isolated from Buxus Obtusifolia
3. Materials and Methods
3.1. Plant Material
3.2. Extraction of Buxus Obtusifolia Leaves
3.3. Isolation of Alkaloids from Buxus Obtusifolia Leaf Extract
3.4. Spectrometric and Spectroscopic Analysis
3.5. Spectral Data of the Isolated New Compounds
3.6. In Vitro Bioassays
4. Conclusions
Supplementary Materials
Author Contributions
Funding
Institutional Review Board Statement
Informed Consent Statement
Data Availability Statement
Acknowledgments
Conflicts of Interest
Author Statement
References
- Kotepui, K.U.; Masangkay, F.R.; De Jesus Milanez, G.; Kotepui, M. Prevalence and Outcomes of Malaria as Co-Infection among Patients with Human African Trypanosomiasis: A Systematic Review and Meta-Analysis. Sci. Rep. 2021, 11, 23777. [Google Scholar] [CrossRef]
- Franco, J.R.; Priotto, G.; Paone, M.; Cecchi, G.; Ebeja, A.K.; Simarro, P.P.; Sankara, D.; Metwally, S.B.A.; Argaw, D.D. The Elimination of Human African Trypanosomiasis: Monitoring Progress towards the 2021–2030 WHO Road Map Targets. PLoS. Negl. Trop. Dis. 2024, 18, e0012111. [Google Scholar] [CrossRef] [PubMed]
- World Health Organization. Human African Trypanosomiasis (Sleeping Sickness). Available online: https://www.who.int/health-topics/human-african-trypanosomiasis#tab=tab_1 (accessed on 6 August 2025).
- Koning, H.P. De Drug Resistance in Protozoan Parasites. Emerg. Top. Life. Sci. 2017, 1, 627–632. [Google Scholar]
- World Health Organization. World Malaria Report 2024. Available online: https://www.who.int/news-room/fact-sheets/detail/malaria (accessed on 6 August 2025).
- Schmidt, T.; Khalid, S.A.; Romanha, A.; Alves, T.; Biavatti, M.; Brun, R.; Da Costa, F.B.; de Castro, S.L.; Ferreira, V.F.; de Lacerda, M.V.G.; et al. The Potential of Secondary Metabolites from Plants as Drugs or Leads Against Protozoan Neglected Diseases—Part II. Curr. Med. Chem. 2012, 19, 2176–2228. [Google Scholar] [CrossRef] [PubMed]
- Cowman, A.F.; Healer, J.; Marapana, D.; Marsh, K. Malaria: Biology and Disease. Cell 2016, 167, 610–624. [Google Scholar] [CrossRef]
- Assefa, A.; Fola, A.A.; Tasew, G. Emergence of Plasmodium falciparum Strains with Artemisinin Partial Resistance in East Africa and the Horn of Africa: Is There a Need to Panic? Malar. J. 2024, 23, 34. [Google Scholar] [CrossRef] [PubMed]
- Rosenthal, P.J.; Asua, V.; Bailey, J.A.; Conrad, M.D.; Ishengoma, D.S.; Kamya, M.R.; Rasmussen, C.; Tadesse, F.G.; Uwimana, A.; Fidock, D.A. The Emergence of Artemisinin Partial Resistance in Africa: How Do We Respond? Lancet. Infect. Dis. 2024, 24, e591–e600. [Google Scholar] [CrossRef]
- Althaus, J.B.; Jerz, G.; Winterhalter, P.; Kaiser, M.; Brun, R.; Schmidt, T.J. Antiprotozoal Activity of Buxus sempervirens and Activity-Guided Isolation of O-Tigloylcyclovirobuxeine-B as the Main Constituent Active against Plasmodium falciparum. Molecules 2014, 19, 6184–6201. [Google Scholar] [CrossRef]
- Szabó, L.; Schmidt, T.J. Target-Guided Isolation of O-Tigloylcyclovirobuxeine-B from Buxus sempervirens L. by Centrifugal Partition Chromatography. Molecules 2020, 25, 4804. [Google Scholar] [CrossRef]
- Szabó, L.; Kaiser, M.; Mäser, P.; Schmidt, T. Antiprotozoal Nor-Triterpene Alkaloids from Buxus sempervirens L. Antibiotics 2021, 10, 696. [Google Scholar] [CrossRef]
- Szabó, L.; Kaiser, M.; Mäser, P.; Schmidt, T. Identification of Antiprotozoal Compounds from Buxus sempervirens L. by PLS-Prediction. Molecules 2021, 26, 6181. [Google Scholar] [CrossRef]
- Schäfer, L.; Cal, M.; Kaiser, M.; Mäser, P.; Schmidt, T.J. Antiprotozoal Aminosteroids from Pachysandra terminalis. Molecules 2025, 30, 1093. [Google Scholar] [CrossRef] [PubMed]
- Beentje, H.; Adamson, J.; Bhanderi, D. Kenya Trees, Shrubs, and Lianas; National Museums of Kenya: Nairobi, Kenya, 1994. [Google Scholar]
- Cai, S.; Risinger, A.L.; Nair, S.; Peng, J.; Anderson, T.J.C.; Du, L.; Powell, D.R.; Mooberry, S.L.; Cichewicz, R.H. Identification of Compounds with Efficacy against Malaria Parasites from Common North American Plants. J. Nat. Prod. 2016, 79, 490–498. [Google Scholar] [CrossRef]
- Kupchan, S.M.; Kennedy, R.M.; Schleigh, W.R.; Ohta, G. Buxus Alkaloids—XII: Benzamide Alkaloids from Buxus sempervirens L. Tetrahedron 1967, 23, 4563–4586. [Google Scholar] [CrossRef]
- Matochko, W.L.; James, A.; Lam, C.W.; Kozera, D.J.; Ata, A.; Gengan, R.M. Triterpenoidal Alkaloids from Buxus natalensis and Their Acetylcholinesterase Inhibitory Activity. J. Nat. Prod. 2010, 73, 1858–1862. [Google Scholar] [CrossRef]
- Parveen, S.; Khalid, A.; Farooq, A.; Choudhary, M. Acetyl and Butyrylcholinesterase-Inhibiting Triterpenoid Alkaloids from Buxus papillosa. Phytochemistry 2001, 58, 963–968. [Google Scholar] [CrossRef]
- Szabó, L. Buxus-Alkaloide Als Wirkstoffe Gegen Erreger Tropischer Infektionskrankheiten. Doctoral Thesis, University of Münster, Münster, Germany, 2022. [Google Scholar]
- Nnadi, C.O.; Althaus, J.B.; Nwodo, N.J.; Schmidt, T.J. A 3D-QSAR Study on the Antitrypanosomal and Cytotoxic Activities of Steroid Alkaloids by Comparative Molecular Field Analysis. Molecules 2018, 23, 1113. [Google Scholar] [CrossRef]
- Wang, R.; Zhou, J.; Shi, G.; Liu, Y.; Yu, D. Aporphine and Phenanthrene Alkaloids with Antioxidant Activity from the Roots of Stephania tetrandra. Fitoterapia 2020, 143, 104551. [Google Scholar] [CrossRef] [PubMed]
- Velcheva, M.P.; Petrova, R.R.; Samdanghiin, Z.; Danghaaghiin, S.; Yansanghiin, Z.; Budzikiewicz, H.; Hesse, M. Isoquinoline Alkaloid N-Oxides from Thalictrum simplex. Phytochemistry 1996, 42, 535–537. [Google Scholar] [CrossRef]
- Vachnadze, N.; Jakeli, E.; Tsitsishvili, V.; Tsakadze, D.; Vachnadze, V. (-)-N-Oxide-Pseudocyclobuxine-D—A Novel Alkaloid from Buxus colchica. In Proceedings of the International Conference “Advanced Materials and Technologies”, Tbilisi, Georgia, 26–29 September 2006; Chemical Society of Georgia: Tbilisi, Georgia, 2006. [Google Scholar]
- Guilhem, J. The Configuration at C-4 of Steroidal Alkaloids from Buxus: A x-Ray Structure Determination. Tetrahedron Lett. 1975, 16, 2937–2938. [Google Scholar] [CrossRef]
- Sangare, M.; Khuong-Huu, F.; Herlem, D.; Milliet, A.; Septe, B.; Berenger, G.; Lukacs, G. Revision of the Configuration of the C-4 Hydroxymethylene Group in Buxus Alkaloids by N NMR Spectroscopy. Tetrahedron Lett. 1975, 16, 1791–1794. [Google Scholar] [CrossRef]
- Stewart, W.E.; Siddall, T.H. Nuclear Magnetic Resonance Studies of Amides. Chem. Rev. 1970, 70, 517–551. [Google Scholar] [CrossRef]
- Zhou, C.C.; Stewart, K.D.; Dhaon, M.K. An Intramolecular Ionic Hydrogen Bond Stabilizes a Cis Amide Bond Rotamer of a Ring-Opened Rapamycin-Degradation Product. Magn. Reson. Chem. 2005, 43, 41–46. [Google Scholar] [CrossRef] [PubMed]
- Kupchan, S.M.; Ohta, G. Buxus Alkaloids. X. The Isolation and Constitution of Cyclovirobuxeine-B. J. Org. Chem. 1966, 31, 608–610. [Google Scholar] [CrossRef]
- Atta-ur-Rahman; Choudhary, M.I.; Nisa, M. The Isolation and Structure of Buxaquamarine―A New Steroidal Alkaloid from Buxus papilosa. Heterocycles 1985, 23, 1951–1954. [Google Scholar] [CrossRef]
- Nakano, T.; Terao, S. 836. Buxus Alkaloids. Part V. The Constitution of Cyclobuxoxazine, a New Skeletal Alkaloid Containing a Tetrahydro-Oxazine Ring. J. Chem. Soc. (Resumed) 1965, 4537–4542. [Google Scholar] [CrossRef]
- Härtel, R.; Döpke, W.; Gründemann, E.; Lehmann, G. Deoxycyclobuxoxazine A Structure. Tetrahedron Lett. 1971, 29, 2741–2742. [Google Scholar] [CrossRef]
- Ata, A.; Iverson, C.D.; Kalhari, K.S.; Akhter, S.; Betteridge, J.; Meshkatalsadat, M.H.; Orhan, I.; Sener, B. Triterpenoidal Alkaloids from Buxus hyrcana and Their Enzyme Inhibitory, Anti-Fungal and Anti-Leishmanial Activities. Phytochemistry 2010, 71, 1780–1786. [Google Scholar] [CrossRef] [PubMed]
- Atta-ur-Rahman; Choudhary, M.I.; Ata, A. New Tetrahydrofuranoid Steroidal Alkaloids from the Leaves of Buxus hildebrandtii. Heterocycles 1992, 34, 157–171. [Google Scholar] [CrossRef]
- Xiang, Z.N.; Su, J.C.; Liu, Y.H.; Deng, B.; Zhao, N.; Pan, J.; Hu, Z.F.; Chen, F.H.; Cheng, B.Y.; Chen, J.C.; et al. Structurally Diverse Alkaloids from Buxus sempervirens with Cardioprotective Activity. Bioorg. Chem. 2021, 109, 104753. [Google Scholar] [CrossRef]
- Atta-ur-Rahman; Noor-e-Ain, F.; Ali, R.A.; Choudhary, M.I.; Pervin, A.; Turkoz, S.; Sener, B. Two Steroidal Alkaloids from Buxus longifolia. Phytochemistry 1993, 32, 1059–1063. [Google Scholar] [CrossRef]
- Li, S.; Yan, M.Q.; Wang, Z.Y.; Wang, Z.B.; Kuang, H.X. Phytochemistry of Genus Buxus and Pharmacology of Cyclovirobuxine D. Chem. Biodivers. 2024, 21, e202400494. [Google Scholar] [CrossRef]
- Choudhary, M.I.; Atta-ur-Rahman; Freyer, A.J.; Shamma, M. Five New Steroidal Alkaloids from Buxus papilosa. Some Relationships between Structures and Specific Rotations. Tetrahedron 1986, 42, 5747–5752. [Google Scholar] [CrossRef]
- Fourneau, C.; Hocquemiller, R.; Guédon, D.; Cavé, A. Spirofornabuxine, a Novel Type of Buxus Alkaloid. Tetrahedron Lett. 1997, 38, 2965–2968. [Google Scholar] [CrossRef]
- Khodzhaev, B.U.; Shakirov, R.; Yunusov, S.Y. Pseudocyclobuxin-D from Buxus sempervirens. Chem. Nat. Compd. 1973, 9, 723–726. [Google Scholar] [CrossRef]
- Nakano, T.; Terao, S.; Saeki, Y.; Jin, K.D. Buxus Alkaloids. Part VIII. The Isolation and Constitution of a New Alkaloid, Cyclokoreanine-B, from B. Koreana Nakai, and the Conversion of Cyclomikuranine into Cyclovirobuxine-A. J. Chem. Soc. C Organic 1966, 1805–1810. [Google Scholar] [CrossRef]
- Rahman, A.U.; Muzaffar, A. Chapter 2 Steroidal Alkaloids of Apocynaceae and Buxaceae. Alkaloids Chem. Pharmacol. 1988, 32, 79–239. [Google Scholar] [CrossRef]
- Abramson, D.; Knapp, F.F.; Goad, L.J.; Goodwin, T.W. Biogenesis of Cyclobuxine-D and Cyclovirobuxine-D in Buxus sempervirens. Phytochemistry 1977, 16, 1935–1937. [Google Scholar] [CrossRef]
- Mukavi, J.; Kaiser, M.; Mäser, P.; Omosa, L.K.; Schmidt, T.J. Antiprotozoal Activity of Alkaloid Fractions and Isolation of Four New Steroidal Alkaloids from Buxus obtusifolia. Phytochem Lett 2025, 69, 103201. [Google Scholar] [CrossRef]
- Mukavi, J.; Kaiser, M.; Mäser, P.; Omosa, L.K.; Schmidt, T.J. Antiprotozoal Properties of Alkaloid Fractions and Steroidal Alkaloids from Buxus obtusifolia. In Proceedings of the Infection Biology and Natural Products Symposium: Challenges and Opportunities, Münster, Germany, 25–26 June 2024. [Google Scholar]






| Test Sample | Tbr | Pf | Cytotox. L6 | SI (Tbr) | SI (Pf) |
|---|---|---|---|---|---|
| Small-scale extracts | |||||
| Twigs (CH3OH) | 6.3 ± 0.04 | 2.8 ± 0.25 | 54 ± 2.4 | 8.5 | 19 |
| Twigs (CH2Cl2) | 12 ± 0.40 | 3.1 ± 0.33 | 57 ± 4.7 | 4.9 | 18 |
| Leaves (CH3OH) | 13 ± 0.25 | 2.3 ± 0.33 | 51 ± 2.9 | 4.1 | 22 |
| Leaves (CH2Cl2) | 16 ± 0.45 | 1.1 ± 0.11 | 26 ± 1.4 | 1.6 | 24 |
| Fractions of the large-scale CH2Cl2 extract | |||||
| Alkaloid fraction | 8.1 ± 3.1 | 0.69 ± 0.14 | 42 ± 4.2 | 4.5 | 53 |
| Lipophilic fraction | 14 ± 0.90 | 2.2 ± 0.10 | 50 ± 0.7 | 3.5 | 23 |
| Hydrophilic residue | >100 | >50 | >100 | - | - |
| Positive controls | 0.004 ± 0.000 a | 0.002 ± 0.000 b | 0.007 ± 0.002 c | - | - |
| Test Sample | Tbr | Pf | Cytotox.L6 | SI Tbr | SI Pf |
|---|---|---|---|---|---|
| Fr. 01 | 22 ± 0.6 | 4.2 ± 0.6 | 67 ± 14 | 3 | 16 |
| Fr. 02 | 42 ± 5.3 | 7.6 ± 1.4 | 58 a | 1 | 8 |
| Fr. 03 | 0.8 ± 0.0 | 1.9 ± 0.5 | 26 ± 9.3 | 34 | 14 |
| Fr. 04 | 0.8 ± 0.0 | 1.6 ± 0.6 | 16 ± 2.5 | 21 | 10 |
| Fr. 05 | 4.4 ± 0.2 | 1.0 ± 0.2 | 15 ± 3.0 | 3 | 15 |
| Fr. 06 | 2.4 ± 0.3 | 1.1 ± 0.2 | 14 ± 3.2 | 6 | 13 |
| Fr. 07 | 2.9 ± 0.2 | 1.0 ± 0.1 | 15 ± 2.1 | 5 | 15 |
| Fr. 08 | 4.2 ± 0.2 | 1.1 ± 0.2 | 14 ± 2.4 | 3 | 13 |
| Fr. 09 | 2.9 ± 0.5 | 1.1 ± 0.2 | 12 ± 3.2 | 4 | 11 |
| Fr. 10a | 4.2 ± 0.3 | 1.2 ± 0.1 | 16 ± 1.3 | 4 | 14 |
| Fr. 10b | 3.6 ± 0.6 | 1.7 ± 0.5 | 14 ± 4.1 | 4 | 8 |
| Fr. 11 | 3.4 ± 0.0 | 1.8 ± 0.4 | 12 ± 3.2 | 4 | 9 |
| Fr. 12 | 3.3 ± 0.5 | 1.7 ± 0.4 | 18 ± 4.4 | 5 | 10 |
| Fr. 13 | 2.9 ± 0.2 | 1.8 ± 0.6 | 16 ± 3.6 | 6 | 9 |
| Fr. 14 | 5.2 ± 0.4 | 1.1 ± 0.2 | 18 ± 0.4 | 4 | 16 |
| Fr. 15 | 5.2 ± 0.2 | 0.9 ± 0.1 | 17 ± 0.5 | 3 | 18 |
| Fr. 16 | 17 ± 0.5 | 1.1 ± 0.5 | 28 ± 12 | 2 | 25 |
| Positive controls | 0.004 ± 0.000 b | 0.002 ± 0.000 c | 0.007 ± 0.003 d | - | - |
| δH [ppm] mult., J [Hz] | ||||||||||
|---|---|---|---|---|---|---|---|---|---|---|
| Pos. | 1 | 2 | 3 | 5 | 6 | 7 | 8a | 8b | 9a | 9b |
| 1 | 1.67, d, (2H, 7.9) | 1.64, d, (2H, 8.0) | 1.63, m, (2H) | 1.68, m 1.63, m | 1.64, m (2H) | 1.63, m (2H) | 1.72, m 1.63, m | 1.72, m 1.63, m | 1.71, dd, (12.5, 5.0) 1.63, m | 1.71, dd, (12.5, 5.0) 1.63, m |
| 2 | 3.94, dt, (10.5, 7.9) | 3.91, m | 3.90, ddd, (10.6, 8.9, 6.8) | 4.04, dt, (10.7, 5.0) | 3.75, dt, (10.5, 10.5, 5.3) | 3.74, dt, (10.5, 10.4, 5.5) | 4.08, dt, (10.6, 10.6, 5.0) | 4.02, dt, (10.7, 10.6, 5.1) | 4.08, dt, (10.6, 10.6, 5.0) | 4.01, dt, (10.6, 10.6, 5.0) |
| 3 | 2.68, d, (10.5) | 2.65, d, (10.5) | 2.65, d, (10.6) | 2.88, d, (10.3) | 2.72, m | 2.72, d, (10.4) | 3.04, d, (10.5) | 3.94, d, (10.9) | 3.04, d, (10.5) | 3.94, d, (10.9) |
| 4 | - | - | - | - | - | - | - | - | - | - |
| 5 | 1.59, m | 1.57, d, (12.4, 4.3) | 1.56, dd, (12.3, 4.0) | 1.98, m | 1.56, m | 1.56, m | 1.53, m | 1.53, m | 1.54, m | 1.54, m |
| 6 | 1.72, m, 0.90 dq, (12.6, 2.5) | 1.69, m 0.90, m | 1.70, m 0.86, dd, (12.7, 2.3) | 1.81, m 1.03, m | 1.70, m 0.88, dd, (12.7, 2.4) | 1.70, m 0.87, dd, (12.6, 2.2) | 1.62, m 0.88, m | 1.62, m 0.88, m | 1.64, m 0.86, m | 1.64, m 0.86, m |
| 7 | 1.46, m 1.23, m | 1.45, m 1.19, m | 1.23, m 1.40, m | 1.99, m 1.58, m | 1.43, m 1.20, m | 1.38, m 1.22, m | 1.41, m 1.20, m | 1.41, m 1.20, m | 1.37, m 1.20, m | 1.37, m 1.20, m |
| 8 | 1.65, m | 1.60, m | 1.56, dd, (12.3, 4.0) | 1.68, m | 1.63, m | 1.56, m | 1.61, m | 1.61, m | 1.54, m | 1.54, m |
| 9 | - | - | - | - | - | - | - | - | - | - |
| 10 | - | - | - | - | - | - | - | - | - | - |
| 11 | 2.16, m 1.27, m | 2.16, m 1.24, m | 2.16, m 1.23, m | 2.14, m 1.27, m | 2.14, m, 1.25, m | 2.17, m 1.23, m | 2.14, m 1.26, m | 2.14, m 1.26, m | 2.18, m 1.25, m | 2.18, m 1.25, m |
| 12 | 1.82, dd, (13.8,10.9) 1.70, m | 1.86, m 1.76, m | 1.84, brt, (12.2, 12.2) 1.62, m | 1.80, m 1.69, m | 1.79, t, (12.3, 12.3) 1.68, m | 1.84, brt, (12.3, 12.3) 1.62, m | 1.73, m, (2H) | 1.73, m, (2H) | 1.85, m 1.63, m | 1.85, m 1.63, m |
| 13 | - | - | - | - | - | - | - | - | - | - |
| 14 | - | - | - | - | - | - | - | - | - | - |
| 15 | 1.56, m, (2H) | 1.49, m, (2H) | 2.03, dd, (14.0, 9.4) 1.46, dd, (14.0, 2.2) | 1.55, m, (2H) | 1.54, m, (2H) | 2.03, m 1.46, dd, (13.9, 2.3) | 1.52, m, (2H) | 1.52, m, (2H) | 2.04, dd, (13.8, 9.5) 1.47, dd, (12.9, 2.3) | 2.04, dd, (13.8, 9.5) 1.47, dd, (12.9, 2.3) |
| 16 | 2.02, m, 1.61, m | 2.18, m, (2H) | 4.30, ddd, (9.6, 7.5, 2.2) | 1.51, m 1.21, m | 1.98, m 1.57, m | 4.30, ddd, (9.7, 7.5, 2.2) | 2.02, m 1.54, m | 2.02, m 1.54, m | 4.30, ddd, (9.5, 7.6, 2.2) | 4.30, ddd, (9.5, 7.6, 2.2) |
| 17 | 2.20, m | 2.33, q, (9.5, 9.5, 0.5) | 2.22, dd, (11.1, 7.6) | 2.17, m | 2.18, m | 2.22, dd, (11.1, 7.4) | 2.06, m | 2.06, m | 2.22, d, (11.1, 7.4) | 2.22, d, (11.1, 7.4) |
| 18 | 1.10, s, (3H) | 1.10, s, (3H) | 1.08, s, (3H) | 1.09, s, (3H) | 1.08, s, (3H) | 1.09, s, (3H) | 1.08, s, (3H) | 1.08, s, (3H) | 1.09, s, (3H) | 1.09, s, (3H) |
| 19 | 0.72, d, (4.5) 0.56, d, (4.5) | 0.68, d, (4.4) 0.54, d, (4.4) | 0.69, d, (4.5) 0.52, d, (4.5) | 0.78, d, (4.5) 0.61, d, (4.5) | 0.69, d, (4.5) 0.53, d, (4.5) | 0.68, d, (4.4) 0.52, d, (4.4) | 0.68, d, (4.5) 0.55, d, (4.5) | 0.66, d, (4.4) 0.53, d, (4.4) | 0.67, d, (4.4) 0.55, d, (4.4) | 0.65, d, (4.4) 0.52, d, (4.4) |
| 20 | 3.43, dq, (11.1, 6.6) | 3.81, dq, (10.5, 6.9) | 3.58, dq, (11.0, 6.6, 6.5, 6.5) | 3.41, dd, (11.2, 6.6) | 3.40, m | 3.58, m | 3.23, m | 3.23, m | 3.58, dq, (11.5, 6.7, 6.6, 6.6) | 3.58, dq, (11.5, 6.7, 6.6, 6.6) |
| 21 | 1.32, d, (3H, 6.6) | 1.53, d, (3H, 6.7) | 1.31, d, (3H, 6.6) | 1.30, d, (6.6) | 1.30, d, (3H, 6.6) | 1.31, d, (3H, 6.7) | 1.32, d, (3H, 6.5) | 1.32, d, (3H, 6.5) | 1.32, d, (3H, 6.7) | 1.32, d, (3H, 6.7) |
| 28 | 1.06, s, (3H) | 1.05, s, (3H) | 1.21, s, (3H) | 1.02, s, (3H) | 1.03, s, (3H) | 1.21, s, (3H) | 1.02, s, (3H) | 1.02, s, (3H) | 1.22, s, (3H) | 1.22, s, (3H) |
| 29 | 1.14, s, (3H) | 1.11, s, (3H) | 1.11, s, (3H) | 4.62, d, (13.0) 4.17, d, (13.0) | 1.08, s, (3H) | 1.08, s, (3H) | 0.90, s, (3H) | 0.90, s, (3H) | 0.90, s, (3H) | 0.90, s, (3H) |
| 30 | 0.97, s, (3H) | 0.95, s, (3H) | 0.94, s, (3H) | 1.04, s, (3H) | 0.93, s, (3H) | 0.92, s, (3H) | 0.94, s, (3H) | 0.94, s, (3H) | 0.94, s, (3H) | 0.94, s, (3H) |
| 31 | 2.94, s, (3H) | 2.92, s, (3H) | 2.92, s, (3H) | 2.97, s, (3H) | 2.90, s, (3H) | 3.08, s, (3H) | 2.89, s, (3H) | 3.07, s, (3H) | ||
| 33/34 | 2.92, s, (3H) | 3.50, s, (3H) | 2.96, s, (3H) | 2.90, s, (3H) | 2.90, s, (3H) | 2.96, s, (3H) | 2.67, s, (3H) | 2.67, s, (3H) | 2.96, s, (3H) | 2.96, s, (3H) |
| 2.75, s, (3H) | 3.38, s, (3H) | 2.81, s, (3H) | 2.72, s, (3H) | 2.73, s, (3H) | 2.81, s, (3H) | 2.81, s, (3H) | 2.81, s, (3H) | |||
| 1′ | - | 8.01, s | 8.21, s | 8.01, s | 8.21, s | |||||
| 2′ | - | |||||||||
| 3′/7′ | 7.85, s, (2H) | |||||||||
| 4′/6′ | - | |||||||||
| 5′ | - | |||||||||
| 4′/6′-OCH3 | 3.91, s, (6H) | |||||||||
| 5′-OCH3 | 3.85, s, (3H) | |||||||||
| δC [ppm] | ||||||||||
|---|---|---|---|---|---|---|---|---|---|---|
| Pos. | 1 | 2 | 3 | 5 | 6 | 7 | 8a | 8b | 9a | 9b |
| 1 | 42.9, CH2 | 42.9, CH2 | 42.8, CH2 | 42.9, CH2 | 42.5, CH2 | 42.3, CH2 | 43.5, CH2 | 43.6, CH2 | 43.4, CH2 | 43.5, CH2 |
| 2 | 69.7, CH | 69.7, CH | 69.7, CH | 69.7, CH | 68.7, CH | 68.7, CH | 65.9, CH | 66.0, CH | 65.9, CH | 66.0, CH |
| 3 | 76.8, CH | 76.8, CH | 76.7, CH | 70.7, CH | 67.2, CH | 67.2, CH | 74.2, CH | 66.6, CH | 74.2, CH | 66.5, CH |
| 4 | 40.8, qC | 40.7, qC | 40.7, qC | 44.7, qC | 39.8, qC | 39.8, qC | 42.6, qC | 42.6, qC | 42.6, qC | 42.6, qC |
| 5 | 48.9 *, CH | 48.9 *, CH | 48.9 *, CH | 43.7 *, CH | 48.9 *, CH | 48.9 *, CH | 49.6 *, CH | 49.6 *, CH | 49.4 *, CH | 49.4 *, CH |
| 6 | 21.9, CH2 | 22.0, CH2 | 21.9, CH2 | 21.8, CH2 | 22.0, CH2 | 22.0, CH2 | 22.4, CH2 | 22.2, CH2 | 22.3, CH2 | 22.2, CH2 |
| 7 | 26.8, CH2 | 26.8, CH2 | 26.9, CH2 | 26.5, CH2 | 26.9, CH2 | 27.0, CH2 | 26.9, CH2 | 26.9, CH2 | 27.0, CH2 | 27.0, CH2 |
| 8 | 49.1 *, CH | 49.1 *, CH | 49.0 *, CH | 48.8 *, CH | 49.2 *, CH | 49.0 *, CH | 49.3 *, CH | 49.3 *, CH | 49.1 *, CH | 49.1 *, CH |
| 9 | 20.6, qC | 20.6, qC | 20.0, qC | 20.5, qC | 20.6, qC | 20.1, qC | 20.5, qC | 20.5, qC | 20.0, qC | 20.0, qC |
| 10 | 25.8, qC | 25.6, qC | 25.9, qC | 25.0, qC | 25.9, qC | 26.1, qC | 26.1, qC | 26.2, qC | 26.2, qC | 26.3, qC |
| 11 | 27.2, CH2 | 27.3, CH2 | 27.2, CH2 | 27.1, CH2 | 27.2, CH2 | 27.2, CH2 | 27.2, CH2 | 27.2, CH2 | 27.2, CH2 | 27.2, CH2 |
| 12 | 33.2, CH2 | 33.9, CH2 | 32.5, CH2 | 33.1, CH2 | 33.2, CH2 | 32.5, CH2 | 33.3, CH2 | 33.3, CH2 | 32.5, CH2 | 32.5, CH2 |
| 13 | 47.2, qC | 49.9 *, qC | 47.3, qC | 47.1, qC | 47.2, qC | 47.3, qC | 46.9, qC | 46.9, qC | 47.3, qC | 47.3, qC |
| 14 | 50.1, qC | 49.1 *, qC | 48.8 *, qC | 50.1, qC | 50.1, qC | 48.8 *, qC | 50.1, qC | 50.1, qC | 48.8 *, qC | 48.8 *, qC |
| 15 | 36.5, CH2 | 37.2, CH2 | 47.9, CH2 | 36.4, CH2 | 36.5, CH2 | 48.0, CH2 | 36.5, CH2 | 36.5, CH2 | 48.0, CH2 | 48.0, CH2 |
| 16 | 26.6, CH2 | 30.0, CH2 | 77.1, CH | 26.8, CH2 | 26.5, CH2 | 77.1, CH | 27.0, CH2 | 27.0, CH2 | 77.2, CH | 77.2, CH |
| 17 | 49.7, CH | 49.6, CH | 56.1, CH | 49.6, CH | 49.7, CH | 56.1, CH | 51.1, CH | 51.1, CH | 56.1, CH | 56.1, CH |
| 18 | 18.8, CH3 | 18.4, CH3 | 19.6, CH3 | 18.7, CH3 | 18.8, CH3 | 19.6, CH3 | 18.7, CH3 | 18.7, CH3 | 19.6, CH3 | 19.6, CH3 |
| 19 | 30.3, CH2 | 30.0, CH2 | 30.7, CH2 | 30.1, CH2 | 30.3, CH2 | 30.7, CH2 | 30.5, CH2 | 30.5, CH2 | 30.9, CH2 | 30.9, CH2 |
| 20 | 67.6, CH | 82.8, CH | 68.1, CH | 67.6, CH | 67.6, CH | 68.1, CH | 60.5, CH | 60.5, CH | 68.2, CH | 68.2, CH |
| 21 | 11.5, CH3 | 16.0, CH3 | 11.4, CH3 | 11.5, CH3 | 11.5, CH3 | 11.4, CH3 | 15.5, CH3 | 15.5, CH3 | 11.4, CH3 | 11.4, CH3 |
| 28 | 19.7, CH3 | 20.0, CH3 | 21.2, CH3 | 19.7, CH3 | 19.8, CH3 | 21.3, CH3 | 19.8, CH3 | 19.8, CH3 | 21.3, CH3 | 21.3, CH3 |
| 29 | 25.5, CH3 | 25.4, CH3 | 25.4, CH3 | 64.9, CH2 | 26.0, CH3 | 26.0, CH3 | 26.6, CH3 | 26.6, CH3 | 26.6, CH3 | 26.6, CH3 |
| 30 | 15.9, CH3 | 15.9, CH3 | 15.9, CH3 | 12.5, CH3 | 16.0, CH3 | 16.0, CH3 | 18.7, CH3 | 18.7, CH3 | 18.7, CH3 | 18.7, CH3 |
| 31 | 37.8, CH3 | 37.8, CH3 | 37.8, CH3 | 37.5, CH3 | 29.4, CH3 | 33.7, CH3 | 29.4, CH3 | 33.7, CH3 | ||
| 33/34 | 43.6, CH3 | 57.1, CH3 | 43.7, CH3 | 43.5, CH3 | 43.5, CH3 | 43.7, CH3 | 29.9, CH3 | 29.9, CH3 | 43.7, CH3 | 43.7, CH3 |
| 35.9, CH3 | 51.8, CH3 | 36.6, CH3 | 35.9, CH3 | 35.9, CH3 | 36.6, CH3 | 36.6, CH3 | 36.6, CH3 | |||
| 1′ | 167.1, qC | 167.9, qC | 167.7, qC | 167.9, qC | 167.8, qC | |||||
| 2′ | 125.7, qC | |||||||||
| 3′/7′ | 108.2, CH | |||||||||
| 4′/6′ | 154.7, qC | |||||||||
| 5′ | 144.3, qC | |||||||||
| 4′/6′-OCH3 | 56.8, CH3 | |||||||||
| 5′-OCH3 | 61.2, CH3 | |||||||||
| δH [ppm] mult., J [Hz] | ||||||||||
|---|---|---|---|---|---|---|---|---|---|---|
| Pos. | 11 | 12 | 15 | 16 | 17 | 18 | 19 | 21 | 22 | 23 |
| 1 | 1.81, m 1.73, m | 1.74, m (2H) | 1.74, m 1.53, m | 1.66, m 1.50, m | 5.90, dd, (9.5, 1.1) | 5.96, dd, (9.4, 1.2) | 5.98, dd, (9.5, 1.1) | 6.01, dd, (10.1, 3.0) | 5.64, m | 5.64, m |
| 2 | 3.92, dt, (10.7, 10.7, 4.8) | 2.11, m 1.91, m | 2.14, m 1.71, m | 2.14, m 1.44, m | 5.86, dd, (9.5, 3.7) | 5.91 dd, (9.5, 3.6) | 5.92, dd, (9.4, 3.7) | 5.51, dd, (10.1, 2.1) | 2.34, m 2.18, m | 2.34, m 2.20, m |
| 3 | 2.73, d, (10.7) | 3.23, d, (12.8, 3.8) | 3.21, m | 3.14, m | 4.71, dd, (3.7, 2.0) | 4.69, dd, (3.7 2.0) | 4.70, dd, (3.8 2.0) | 4.83, t, (2.6) | 4.03, m | 4.03, t, (6.0) |
| 4 | - | - | - | 1.97, m 1.18 d, (11.8) | - | - | - | - | - | - |
| 5 | 2.14, m | 2.11, m | 1.63, dd, (12.5, 4.4) | 1.69, m | 2.32, d, (11.3) | 2.53, d, (11.4) | 2.54, d, (11.4) | 2.26, m | 2.62, m | 2.62, m |
| 6 | 5.71, d, (10.7) | 5.70, dd, (10.7, 1.4) | 1.35, m 0.97, dd, (12.4, 2.7) | 1.50, m 0.88 dd, (13.3, 2.9) | 5.05, dd, (11.3, 1.7) | 5.31, dd, (11.3, 1.7) | 5.32, dd, (11.4, 1.7) | 4.99, dd, (9.6, 2.1) | 4.94, dd, (10.0, 2.8) | 4.96 dd, (10.0, 2.8) |
| 7 | 5.57, ddd, (10.7, 6.2, 3.2) | 5.60, br dt, (10.7, 6.1, 3.1) | 1.40, m 1.17, dd, (12.4, 2.9) | 1.38, m 1.24, m | 4.02, d, (1.7) | 4.13, d, (1.6) | 4.19, d, (1.7) | 3.89, d, (2.1) | 4.05, m | 4.09, d, (2.7) |
| 8 | 2.67, m | 2.69, d, (2.4) | 1.67, m | 1.77 dd, (11.0, 5.9) | 2.13, m | 2.22, m | 2.28, m | 2.67, m | 2.12, m | 2.19, m |
| 9 | - | - | - | - | - | - | - | - | - | - |
| 10 | - | - | - | - | - | - | - | - | - | - |
| 11 | 1.95, m 1.50, m | 1.95, m, 1.52, m | 2.09, m 1.27, dd, (4.9, 3.6) | 2.09, m 1.43, m | 5.52, m | 5.56, m | 5.57, m | 5.32, m | 5.35, m | 5.37, m |
| 12 | 1.86, m 1.46, m | 1.73, m 1.53, m | 1.69, m (2H) | 2.05, m, 1.70, m | 2.26, m 1.94, m | 2.27, m 1.97, m | 2.21, m 2.04, m | 2.27, m 1.89, m | 2.24, m 1.89, m | 2.16, m 1.96, m |
| 13 | - | - | - | - | - | - | - | - | - | - |
| 14 | - | - | - | - | - | - | - | - | - | - |
| 15 | 2.16, m 1.31, m | 1.64, m 1.33, m | 1.50, m | 1.82, m 1.51, m | 2.19, m 1.49, dd, (13.7, 2.2) | 2.24, m 1.52, dd, (13.7, 2.2) | 1.77, m 1.61, m | 2.30, m 1.44 dd, (14.0, 2.2) | 2.04 1.51 | 1.58, m, (2H) |
| 16 | 4.36, ddd, (8.7, 6.9, 1.6) | 2.01, m 1.60, m | 2.01, m 1.54, m | 4.39, m | 4.33, m | 4.36, ddd, (9.6, 7.5, 2.2) | 2.00, m 1.61, m | 4.37, m | 4.33, m | 2.00, m 1.60, m |
| 17 | 2.17, m | 2.01, m | 2.07, m | 3.10, d, 6.3 | 2.24, m | 2.26, m | 2.21, m | 2.21, m | 2.25, m | 2.20, m |
| 18 | 1.03, s, (3H) | 1.02, s (3H) | 1.06, s (3H) | 0.91, s (3H) | 0.81, s (3H) | 0.86, s (3H) | 0.87, s (3H) | 0.88, s (3H) | 0.77, s (3H) | 0.77, s (3H) |
| 19 | 0.84, d, (4.4) 0.04, d, (4.4) | 0.80, d, (4.3) 0.02, d, (4.3) | 0.74, d, (4.5) 0.54, d, (4.5) | 0.54, d, (4.3) 0.18, d, (4.3) | 3.09, m 2.59, d, (14.3) | 3.16, m 2.64, d, (14.4) | 3.16, m 2.66, m | 2.79, m 2.22, m | 3.42, m 2.93, d, (13.8) | 3.41, m 2.95, m |
| 20 | 3.60, m | 3.27, m | 3.23, m | - | 3.59, m | 3.61, m | 3.44, m | 3.61, m | 3.59, m | 3.41, m |
| 21 | 1.32, d, (3H, 6.7) | 1.32, d (3H, 6.5) | 1.32, d (3H, 6.5) | 2.16, s (3H) | 1.33, d, (3H, 6.6) | 1.34, d, (3H, 6.6) | 1.32, d, (3H, 6.5) | 1.33, d, (3H, 6.7) | 1.32, d, (3H, 6.6) | 1.30, d, (3H, 6.5) |
| 28 | 1.06, s, (3H) | 0.82, s (3H) | 1.01, s (3H) | 1.14, s (3H) | 1.19, s (3H) | 1.20, s (3H) | 1.02, s (3H) | 1.09, s (3H) | 1.18, s (3H) | 1.01, s (3H) |
| 29 | 1.20, s, (3H) | 1.25, s (3H) | 3.90, d, (11.1) 3.56, d, (11.1) | 3.70, d, (8.6) 3.60, d, (8.6) | 3.74, d, (8.6) 3.62, d, (8.6) | 3.74, d, (8.5) 3.62, d, (8.5) | 1.09, s (3H) | 1.08, s (3H) | 1.08, s (3H) | |
| 30 | 0.93, s, (3H) | 1.00, s (3H) | 1.23, s (3H) | 1.18, s (3H) | 1.15, s (3H) | 1.15, s (3H) | 1.08, s (3H) | 1.00, s (3H) | 1.01, s (3H) | |
| 31/32 | 2.94, s, (3H) | 2.98, s (3H) | 2.72, s (3H) | 2.69, s (3H) | ||||||
| 2.81, s (3H) | 5.03, d, (8.6) 4.40, d, (8.6) | |||||||||
| 33/34 | 2.96, s, (3H) | 2.67, s (3H) | 2.67, s (3H) | 2.96, s (3H) | 2.96, s (3H) | 2.90, s (3H) | 2.97, s (3H) | 2.96, s (3H) | 2.90, s (3H) | |
| 2.80, s, (3H) | 2.81, s (3H) | 2.81, s (3H) | 2.73, s (3H) | 2.81, s (3H) | 2.81, s (3H) | 2.73, s (3H) | ||||
| 16- OCH3 | 3.18, s (3H) | |||||||||
| 1′ | - | - | - | |||||||
| 2′ | 1.95, s (3H) | - | - | 2.10, s (3H) | 2.08, s (3H) | 2.08, s (3H) | ||||
| 3′/7′ | 7.92, m | 7.92, m | ||||||||
| 4′/6′ | 7.39, m | 7.38, m | ||||||||
| 5′ | 7.55, m | 7.54, m | ||||||||
| 1″ | - | - | - | |||||||
| 2″ | - | - | - | |||||||
| 3″/7″ | 7.83, m | 7.71, m | 7.71, m | 7.83, m | 7.76, m | 7.76, m | ||||
| 4″/6″ | 7.47, m | 7.43, m | 7.42, m | 7.47, m | 7.46, m | 7.46, m | ||||
| 5″ | 7.55, m | 7.53, m | 7.53, m | 7.54, m | 7.54, m | 7.53, m | ||||
| δC [ppm] | ||||||||||
|---|---|---|---|---|---|---|---|---|---|---|
| Pos. | 11 | 12 | 15 | 16 | 17 | 18 | 19 | 21 | 22 | 23 |
| 1 | 40.5, CH2 | 30.5, CH2 | 33.1, CH2 | 31.3, CH2 | 133.8, CH | 133.8, CH | 133.9, CH | 133.2, CH | 125.6, CH | 125.6, CH |
| 2 | 69.3, CH | 21.6, CH2 | 22.6, CH2 | 29.7, CH2 | 130.5, CH | 130.6, CH | 130.5, CH | 132.3, CH | 30.0, CH2 | 30.0, CH2 |
| 3 | 76.1, CH | 77.1, CH | 73.0, CH | 59.4, CH | 55.5, CH | 55.4, CH | 55.4, CH | 58.9, CH | 54.9, CH | 54.9, CH |
| 4 | 40.5, qC | 40.8, qC | 40.8, qC | 36.5, CH2 | 47.6, qC | 47.7, qC | 47.7, qC | 40.1, qC | 38.7, qC | 38.7, qC |
| 5 | 48.2, CH | 49.1 *, CH | 45.5, CH | 38.5, CH | 50.9, CH | 51.0, CH | 51.0, CH | 59.5, CH | 50.3, CH | 50.4, CH |
| 6 | 126.4, CH | 126.2, CH | 21.2, CH2 | 28.4, CH2 | 79.5, CH | 80.1, CH | 80.1, CH | 83.0, CH | 81.0, CH | 81.0, CH |
| 7 | 130.9, CH | 131.2, CH | 26.1, CH2 | 25.7, CH2 | 72.6, CH | 72.9, CH | 72.9, CH | 83.1, CH | 72.4, CH | 72.5, CH |
| 8 | 44.4, CH | 44.6, CH | 48.3, CH | 47.1, CH | 47.6, CH | 48.0, CH | 48.3, CH | 51.3, CH | 46.8, CH | 47.2, CH |
| 9 | 21.2, qC | 22.3, qC | 21.0, qC | 24.1, qC | 133.9, qC | 133.9, qC | 133.8, qC | 132.9, qC | 138.5, qC | 138.5, qC |
| 10 | 27.9, qC | 29.2, qC | 25.9, qC | 31.1, qC | 81.1, qC | 81.3, qC | 81.3, qC | 81.1, qC | 136.8, qC | 136.8, qC |
| 11 | 25.7, CH2 | 26.3, CH2 | 26.7, CH2 | 27.6, CH2 | 126.1, CH | 126.2, CH | 126.5, CH | 122.3, CH | 120.0, CH | 120.3, CH |
| 12 | 32.8, CH2 | 33.3, CH2 | 33.2, CH2 | 32.3, CH2 | 37.4, CH2 | 37.4, CH2 | 38.0, CH2 | 37.6, CH2 | 37.0, CH2 | 37.5, CH2 |
| 13 | 47.6, qC | 46.9, qC | 46.9, qC | 48.5qC | 46.2, qC | 46.2, qC | 46.2, qC | 46.1, qC | 46.3, qC | 46.3, qC |
| 14 | 51.1, qC | 51.9, qC | 50.0, qC | 49.7, qC | 49.2 *, qC | 49.2 *, qC | 50.2, qC | 47.8, qC | 48.5, qC | 49.6, qC |
| 15 | 44.9, CH2 | 33.6, CH2 | 36.3, CH2 | 43.0, CH2 | 45.7, CH2 | 45.7, CH2 | 34.4, CH2 | 44.6, CH2 | 45.9, CH2 | 34.6, CH2 |
| 16 | 76.9, CH | 26.7, CH2 | 26.9, CH2 | 82.7, CH | 76.6, CH | 76.6, CH | 26.0, CH2 | 77.2, CH | 76.7, CH | 26.0, CH2 |
| 17 | 55.8, CH | 49.9, CH | 51.0, CH | 69.2, CH | 54.6, CH | 54.7, CH | 48.2, CH | 54.8, CH | 54.6, CH | 48.2, CH |
| 18 | 15.8, CH3 | 14.8, CH3 | 18.5, CH3 | 20.6, CH3 | 16.9, CH3 | 16.9, CH3 | 16.1, CH3 | 16.7, CH3 | 16.4, CH3 | 15.6, CH3 |
| 19 | 18.8, CH2 | 18.5, CH2 | 30.5, CH2 | 26.5, CH2 | 45.2, CH2 | 45.2, CH2 | 45.1, CH2 | 40.4, CH2 | 46.5, CH2 | 46.4, CH2 |
| 20 | 68.1, CH | 60.4, CH | 60.4, CH | 211.5, qC | 68.1, CH | 68.1, CH | 67.5, CH | 68.1, CH | 68.0, CH3 | 67.5, CH3 |
| 21 | 11.8, CH3 | 15.9, CH3 | 15.5, CH3 | 31.5, CH3 | 11.4, CH3 | 11.4, CH3 | 11.6, CH3 | 11.4, CH3 | 11.4, CH3 | 11.6, CH3 |
| 28 | 19.0, CH3 | 17.7, CH3 | 19.6, CH3 | 20.3, CH3 | 20.2, CH3 | 20.2, CH3 | 18.7, CH3 | 19.5, CH3 | 20.0, CH3 | 18.5, CH3 |
| 29 | 25.4, CH3 | 25.0, CH3 | 78.1, CH2 | 79.1, CH2 | 79.1, CH2 | 79.1, CH2 | 28.2, CH3 | 28.9, CH3 | 28.9, CH3 | |
| 30 | 16.3, CH3 | 16.2, CH3 | 12.4, CH3 | 21.1, CH3 | 21.4, CH3 | 21.4, CH3 | 18.9, CH3 | 22.1, CH3 | 22.1, CH3 | |
| 31/32 | 37.8, CH3 | 47.0, CH3 | 86.4, CH2 | 30.6, CH3 | ||||||
| 40.7, CH3 | 35.6, CH3 | |||||||||
| 33/34 | 43.7, CH3 | 29.9, CH3 | 29.9, CH3 | 43.7, CH3 | 43.7, CH3 | 43.5, CH3 | 43.7, CH3 | 43.7, CH3 | 43.5, CH3 | |
| 36.6, CH3 | 36.7, CH3 | 36.7, CH3 | 35.9, CH3 | 36.7, CH3 | 36.6, CH3 | 35.9, CH3 | ||||
| 16- OCH3 | 57.5, CH3 | |||||||||
| 1′ | 172.9, qC | 167.9, qC | 167.9, qC | 173.3, qC | 172.6, qC | 172.6, qC | ||||
| 2′ | 21.3, CH3 | 131.0, qC | 131.0, qC | 20.8, CH3 | 21.8, CH3 | 21.8, CH3 | ||||
| 3′/7′ | 130.8, qC | 130.8, qC | ||||||||
| 4′/6′ | 129.5, CH | 129.5, CH | ||||||||
| 5′ | 134.6, CH | 134.5, CH | ||||||||
| 1″ | 170.3, qC | 170.5, qC | 170.5, qC | 170.7, qC | 170.6, qC | 170.6, qC | ||||
| 2″ | 135.1, qC | 135.1, qC | 135.1, qC | 135.8, qC | 136.5, qC | 136.5, qC | ||||
| 3″/7″ | 128.6, CH | 128.6, CH | 128.6, CH | 128.5, CH | 128.3, CH | 128.3, CH | ||||
| 4″/6″ | 129.5, CH | 129.4, CH | 129.4, CH | 129.6, CH | 129.6, CH | 129.6, CH | ||||
| 5″ | 132.9, CH | 132.7, CH | 132.7, CH | 132.7, CH | 132.5, CH | 132.5, CH | ||||
| Pos. | 1H-NMR | 13C-NMR | ||
|---|---|---|---|---|
| δ (ppm) | Mult. | J [Hz] | δ (ppm) | |
| 1 | 1.73 1.52 | ddd td | 13.2, 9.6, 4.8 13.0, 4.4 | 30.0 |
| 2 | 2.21 1.90 | ddd m | 14.1, 9.7,4.3 | 22.3 |
| 3 | 3.81 | d | 5.1 | 68.4 |
| 4 | - | - | - | 46.6 |
| 5 | 2.51 | br s (1H) | 62.1 | |
| 6 | - | - | - | 211.3 |
| 7 | 3.16 2.42 | dd m | 16.0, 8.6 | 42.6 |
| 8 | 2.74 | dd | 8.4, 1.4 | 40.4 |
| 9 | - | - | - | 18.1 |
| 10 | - | - | - | 81.4 |
| 11 | 1.58 | dt (1H) | 10.9, 6.6 | 22.6 |
| 12 | 2.42 2.36 | m d | 14.0 | 30.4 |
| 13 | - | - | - | 47.6 |
| 14 | - | - | - | 44.8 |
| 15 | 2.30 1.95 | dd d | 17.0, 1.4 16.2 | 47.0 |
| 16 | - | - | - | 206.6 |
| 17 | - | - | - | 148.5 |
| 18 | 1.14 | s (3H) | 23.9 | |
| 19 | 1.30 1.18 | t dd | 6.6 10.9, 6.3 | 16.9 |
| 20 | 6.51 | q | 7.5 | 131.0 |
| 21 | 1.85 | d (3H) | 7.5 | 13.2 |
| 28 | 0.85 | s (3H) | 20.6 | |
| 29 | 1.34 | s (3H) | 26.7 | |
| 30 | 1.05 | s (3H) | 23.8 | |
| Compound | Tbr [µmol/L] | Pf [µmol/L] | Cytotox.L6 [µmol/L] | SI Tbr | SI Pf | |
|---|---|---|---|---|---|---|
| 1 a | 6.7 ± 3.3 | 28 ± 0.7 | >100 | - | - | |
| 2 a | 3.8 ± 0.1 | 9.5 ± 0.9 | 96 ± 5.0 | 25 | 10 | |
| 3 a | 7.3 ± 0.1 | 16 ± 2.1 | 107 ± 34 | 15 | 7 | |
| 4 a | 2.3 ± 0.3 | 1.1 ± 0.0 | 16 ± 1.9 | 7 | 15 | |
| 5 a | 1.6 ± 0.7 | 0.5 ± 0.0 | 5.9 ± 0.0 | 4 | 12 | |
| 6 a | 0.9 ± 0.2 | 3.0 ± 0.1 | 50 ± 11 | 56 | 17 | |
| 7 a | 48 ± 8.2 | 49 ± 3.9 | 78 * | 2 | 2 | |
| 8a + 8b c | 41 ± 0.6 | 30 ± 1.8 | 52 ± 22 | 1 | 2 | |
| 9a + 9b c | 39 ± 2.0 | 26 ± 0.4 | 68 ± 0.7 | 2 | 3 | |
| 10 a | 37 ± 18 | 20 ± 1.3 | 51 ± 2.8 | 1 | 3 | |
| 11 a | 14 ± 7.0 | 19 ± 1.1 | 50 ± 1.6 | 4 | 3 | |
| 12 a | 0.8 ± 0.3 | 5.4 ± 1.2 | 82 ± 4.1 | 103 | 15 | |
| 13 a | 11 ± 0.3 | 8.4 ± 0.9 | 77 ± 4.8 | 7 | 9 | |
| 14 a | 16 ± 0.5 | 11 ± 2.2 | 57 ± 1.2 | 4 | 5 | |
| 15 a | 6.6 ± 3.5 | 5.8 ± 0.4 | 24 ± 1.5 | 4 | 4 | |
| 16 b | 22 ± 1.7 | 13 ± 1.4 | 45 ± 5.1 | 2 | 3 | |
| 17 b | 44 ± 16 | 11 ± 2.2 | 50 ± 0.5 | 1 | 5 | |
| 18 b | 4.9 ± 0.1 | 17 ± 1.5 | 27 ± 1.7 | 5 | 2 | |
| 19 b | 2.0 ± 0.2 | 18 ± 0.8 | 16 ± 1.1 | 8 | 1 | |
| 20 b | 23 ± 4.7 | 8.7 ± 2.8 | 43 ± 2.0 | 2 | 5 | |
| 21 b | 2.2 ± 0.2 | 10 ± 1.1 | 34 ± 0.5 | 16 | 3 | |
| 22 b | 6.5 ± 0.3 | 24 ± 2.7 | 48 ± 2.2 | 7 | 2 | |
| 23 b | 6.5 ± 0.4 | 30 ± 6.5 | 39 ± 5.9 | 7 | 1 | |
| 24 b | 26 ± 1.2 | 6.4 ± 0.2 | 51 ± 1.6 | 2 | 8 | |
| Positive controls | 0.013 ± 0.001 | 0.012 ± 0.000 | 0.014 ± 0.004 | - | - | |
Disclaimer/Publisher’s Note: The statements, opinions and data contained in all publications are solely those of the individual author(s) and contributor(s) and not of MDPI and/or the editor(s). MDPI and/or the editor(s) disclaim responsibility for any injury to people or property resulting from any ideas, methods, instructions or products referred to in the content. |
© 2025 by the authors. Licensee MDPI, Basel, Switzerland. This article is an open access article distributed under the terms and conditions of the Creative Commons Attribution (CC BY) license (https://creativecommons.org/licenses/by/4.0/).
Share and Cite
Mukavi, J.W.; Cal, M.; Kaiser, M.; Mäser, P.; Kimani, N.M.; Omosa, L.K.; Schmidt, T.J. Antiprotozoal Aminosteroid Alkaloids from Buxus obtusifolia (Mildbr.) Hutch. Molecules 2025, 30, 4558. https://doi.org/10.3390/molecules30234558
Mukavi JW, Cal M, Kaiser M, Mäser P, Kimani NM, Omosa LK, Schmidt TJ. Antiprotozoal Aminosteroid Alkaloids from Buxus obtusifolia (Mildbr.) Hutch. Molecules. 2025; 30(23):4558. https://doi.org/10.3390/molecules30234558
Chicago/Turabian StyleMukavi, Justus Wambua, Monica Cal, Marcel Kaiser, Pascal Mäser, Njogu M. Kimani, Leonidah Kerubo Omosa, and Thomas J. Schmidt. 2025. "Antiprotozoal Aminosteroid Alkaloids from Buxus obtusifolia (Mildbr.) Hutch." Molecules 30, no. 23: 4558. https://doi.org/10.3390/molecules30234558
APA StyleMukavi, J. W., Cal, M., Kaiser, M., Mäser, P., Kimani, N. M., Omosa, L. K., & Schmidt, T. J. (2025). Antiprotozoal Aminosteroid Alkaloids from Buxus obtusifolia (Mildbr.) Hutch. Molecules, 30(23), 4558. https://doi.org/10.3390/molecules30234558

