A 1D [Ni(L)(H2O)3]n·nH2O Coordination Polymer as a Dual Function Material for Antibiotic Detection and Dye Photo-Degradation
Abstract
1. Introduction
2. Results and Discussion
2.1. Syntheses Discussion
2.2. Description of Crystal Structure
2.3. Powder X-Ray Diffraction, FT-IR Spectra and TG Analyses
2.4. Photophysical Properties of Complex 1
2.5. Photocatalytic Degradation Performance and Mechanism of MB
2.6. Electrochemical Properties
Cyclic Voltammetric Behaviors
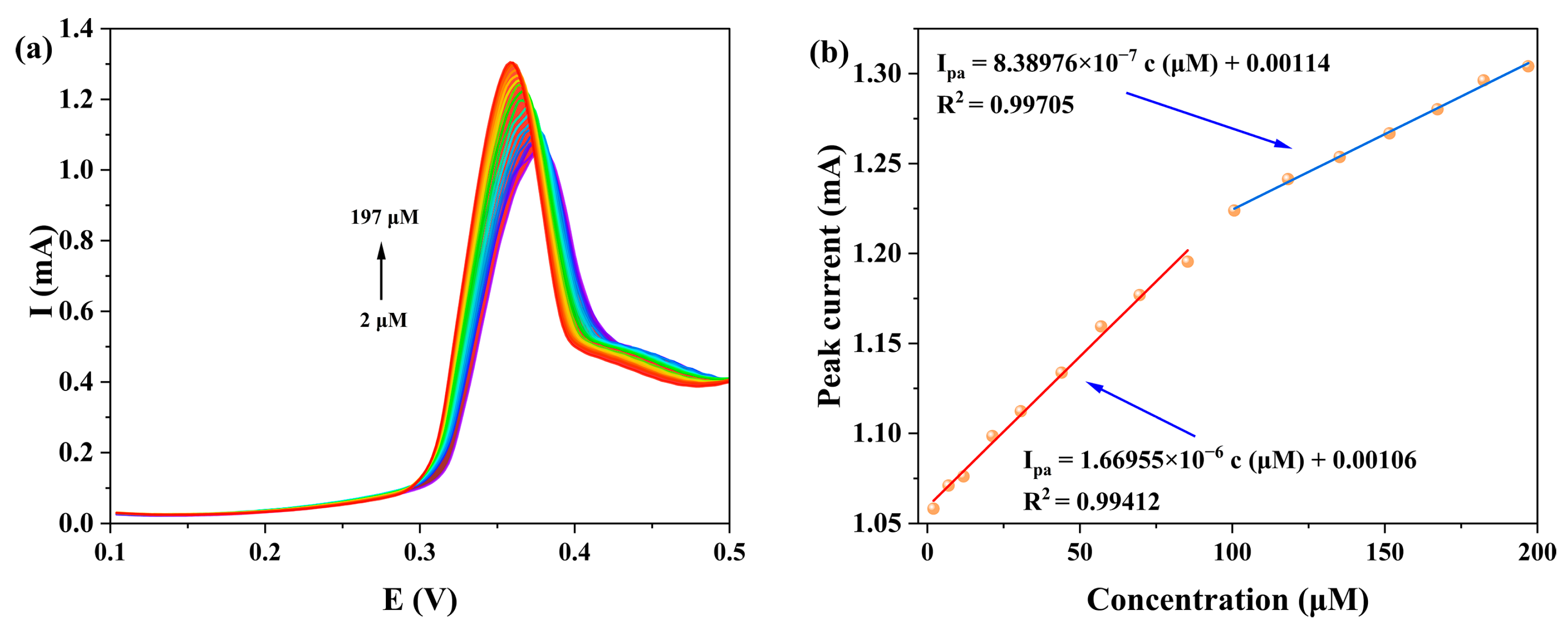
2.7. Electrochemical Detection of NOR
2.7.1. The Amperometric Detection of NOR
2.7.2. The DPV Detection of NOR
3. Experimental Section
3.1. Materials and Methods
3.2. Syntheses of [Ni(L)(H2O)3]n·nH2O (1)
3.3. X-Ray Crystallography
3.4. Photocatalytic Experiments
3.5. Preparation of the Working Electrode
3.5.1. Preparation of Glassy Carbon Electrode
3.5.2. Preparation of Semiconductor Photoelectrode.
4. Conclusions
Supplementary Materials
Author Contributions
Funding
Institutional Review Board Statement
Informed Consent Statement
Data Availability Statement
Acknowledgments
Conflicts of Interest
References
- Özcan, E.; Davarcı, D.; Yatmaz, H.C.; Zorlu, Y. Engineering Coordination Frameworks by Cyclotriphosphazene-Functionalized Tectonics and a Terpyridine-Pincer Ligand for Efficient Photocatalytic Degradation of Organic Dyes. Cryst. Growth Des. 2024, 24, 5526–5541. [Google Scholar] [CrossRef]
- Sun, L.; Liu, Q.; Dang, S.; Jia, J. Highly Luminescent Lanthanide Metal-Organic Frameworks for Trace Detection of Norfloxacin. Inorg. Chem. 2025, 64, 10272–10278. [Google Scholar] [CrossRef] [PubMed]
- Liu, H.; Tan, X.; Lu, X.; Ma, Y.; Zhang, M. Construction of Coordination Polymer [Ni(ppda)(tib)(H2O)]·H2O and Photocatalytic Degradation of Indigo Carmine. J. Solid State Chem. 2024, 337, 124786. [Google Scholar] [CrossRef]
- Bu, Q.; Wang, B.; Huang, J.; Deng, S.; Yu, G. Pharmaceuticals and Personal Care Products in the Aquatic Environment in China: A review. J. Hazard. Mater. 2013, 262, 189–211. [Google Scholar] [CrossRef] [PubMed]
- Chen, S.; Zhang, Y.; Ma, Z.; Feng, L.; Ma, Y.; Zeng, Q.; Liu, Z.; Liu, S.; Liu, A.; Li, J.; et al. Highly Sensitive Molecularly Imprinted Sensor Modified with BC/AuNPs@ZIF-8 for the Detection of Norfloxacin in Animal-Derived Foods. Microchem. J. 2024, 201, 110540. [Google Scholar] [CrossRef]
- Cui, J.W.; Hou, S.X.; Li, Y.H.; Cui, G.H. A Multifunctional Ni(II) Coordination Polymer: Synthesis, Crystal Structure and Applications as a Luminescent Sensor, Electrochemical Probe, and Photocatalyst. Dalton Trans. 2017, 46, 16911–16924. [Google Scholar] [CrossRef]
- Yuan, H.; Shang, P.; Yang, J.; Huang, Q.; Song, L.; Jiang, X.F. Anion-Directed Self-Assembly of Calix[4]arene-Based Silver(I) Coordination Polymers and Photocatalytic Degradation of Organic Pollutants. Inorg. Chem. 2023, 62, 2652–2662. [Google Scholar] [CrossRef]
- Yin, J.; Gao, W.; Zhang, Z.; Mai, Y.; Luan, A.; Jin, H.; Jian, J.; Jin, Q. Batch Microfabrication of Highly Integrated Silicon-Based Electrochemical Sensor and Performance Evaluation via Nitrite Water Contaminant Determination. Electrochim. Acta 2020, 335, 135660. [Google Scholar] [CrossRef]
- Li, J.X.; Li, Y.F.; Liu, L.W.; Cui, G.H. Luminescence, Electrochemical and Photocatalytic Properties of Sub-Micron Nickel(II) and Cobalt(II) Coordination Polymers Synthesized by Sonochemical Process. Ultrason. Sonochem. 2018, 41, 196–205. [Google Scholar] [CrossRef]
- Mhalshekar, K.; Selvam, S.; Sahoo, A.; Illa, M.P.; Gaydhane, M.; Sontakke, S. Efficient Photocatalytic Degradation of Malachite Green and Cr(VI) Using Co-MOF and Bacterial Cellulose@Co-MOF Biocomposite: A Green Approach. Am. Chem. Soc. Omega 2025, 10, 45965–45981. [Google Scholar] [CrossRef]
- Zhang, Y.; Liu, W.; Yao, W.; Kang, L.; Gao, E.; Fedin, V.P. An Electrochemical Sensor Based on Carbon Composites Derived from Bisbenzimidazole Biphenyl Coordination Polymers for Dihydroxybenzene Isomers Detection. Microchim. Acta 2023, 191, 20. [Google Scholar] [CrossRef]
- Xiang, R.; Qin, T.; Liu, Y.; Lan, L.; Dong, X.; Srivastava, D.; Parvez, M.K.; Al-Dosari, M.S.; Kumar, A.; Pan, Y. Two Novel Cobalt-Based Coordination Polymers for Electrochemical Sensing of Trace Ciprofloxacin. Microchem. J. 2025, 209, 112594. [Google Scholar] [CrossRef]
- Kukreja, M.; Kumar, A.A.; Haq, N.; Siddiqui, K.A. Nickel-Doped Cadmium Coordination Polymers (Ni@Cd-CP-n): A Dual-Function Platform for Antibiotic Detection and Dye Photodegradation. Mater. Today Commun. 2025, 45, 112403. [Google Scholar] [CrossRef]
- Zhang, H.-J.; Wang, Y.-C.; Yan, W.-F.; Jin, J.; Wang, Y.; Wang, Y.-P.; Zhang, J.-J.; Wang, G.; Dong, H.; Zhang, S.-X. Research Progress of LMOFs Containing Aromatic Carboxylic Acid in Anions Recognition. Microchem. J. 2024, 200, 110453. [Google Scholar] [CrossRef]
- Wang, X.; Jiang, G.; He, X.; Wang, Q.; Su, Z.; Wang, X.; Wang, C. A Broad Range of Aromatic Carboxylic Acids for Photocatalytic Methane Oxidation. Adv. Mater. 2025, 37, e2504866. [Google Scholar] [CrossRef] [PubMed]
- Qin, T.; Xiang, R.; Zhu, Y.; Dong, X.; Zhou, C.; Lan, L.; Trivedi, M.; Parvez, M.K.; Al-Dosari, M.S.; Kumar, A.; et al. Temperature Tuned Syntheses of Multidimensional Nickel(II)-Based Coordination Polymers: Apt Electrochemical Sensors for Ciprofloxacin. Microchem. J. 2025, 209, 112674. [Google Scholar] [CrossRef]
- Liu, F.-H.; Li, X.; Chi, J.-Q.; Su, Z.-M. Two Functional Hybrids Based on Polyoxometalate Coordination Polymers: Synthesis, Electrochemical and Photocatalytic Properties. Inorg. Chem. Commun. 2021, 130, 108673. [Google Scholar] [CrossRef]
- Liu, X.; Cai, H.; Zhou, R.; Li, Y. Construction of a PbII Coordination Polymer from a Semi-rigid Ditopic 2,2-biimidazole Derivative: Synthesis, Crystal Structure and Characterization. Acta Crystallogr. C Struct. Chem. 2023, 79, 263–268. [Google Scholar] [CrossRef]
- Yu, X.-Y.; Yang, L.; Weng, X.-Y.; Jiang, X.; Liu, S.-F.; Huang, S.-R.; Lin, G.-Q.; Yang, Y.; Yang, J.-J.; Zhang, H. Multifunctional Coordination Compounds Based on Metallacalix[4]arene [Ni4(HPIDC)4]: Syntheses, Structures, Magnetic and Electrochemical Studies. J. Mol. Struct. 2025, 1343, 142897. [Google Scholar] [CrossRef]
- Holder, C.F.; Schaak, R.E. Tutorial on Powder X-ray Diffraction for Characterizing Nanoscale Materials. ACS Nano 2019, 13, 7359–7365. [Google Scholar] [CrossRef]
- Lv, Y.; Lu, Y.; Yu, X.; Yu, L.; Qu, X.; Yang, Y.; Jin, H.; Wei, Q.; Li, X.; Yu, X.Y. Three New Multifunctional Supramolecular Compounds Based on Keggin-Type Polyoxoanions and 3,5-di(1H-Imidazol-1-yl)benzoic Acid: Syntheses, Structures, and Properties. Molecules 2025, 30, 580. [Google Scholar] [CrossRef]
- Zhou, C.; Qi, Y.; Zhang, S.; Niu, W.; Wu, S.; Ma, W.; Tang, B. Fast Water-Response Double-Inverse Opal Films with Brilliant Structural Color. Chem. Eng. J. 2021, 426, 131213. [Google Scholar] [CrossRef]
- Chen, W.; Li, X.; Yao, W.; Fedin, V.P.; Gao, E. Fluorescence and Electrochemical Detection of Pollutants Utilizing a Keggin-type Zn(II)-Polyoxometalate. Polyhedron 2025, 267, 117360. [Google Scholar] [CrossRef]
- Jin, H.; Xu, X.; Yu, X.; Yu, S.; Wang, S.; Qu, X. Bimetallic Organic Gel for Effective Methyl Orange Dye Adsorption. Gels 2024, 10, 208. [Google Scholar] [CrossRef] [PubMed]
- Jiang, X.; Weng, X.; Liang, Z.; Yang, L.; Deng, S.; Yu, L.; Wei, Q.; Yu, F.; Jin, H.; Yu, X.-Y. Two New Multifunctional Coordination Polymers Based on N-Heterocyclic Carboxylic Acid Ligand: Syntheses, Structures and Properties. J. Mol. Struct. 2025, 1328, 141336. [Google Scholar] [CrossRef]
- Yu, X.-Y.; Zhang, X.; Liu, Z.-G.; Cui, X.-B.; Xu, J.-N.; Luo, Y.-H. Syntheses and Structures of Three Supramolecular Complexes Based on 2-(Pyridine-2-yl)-1H-Imidazole-4,5-Dicarboxylic Acid. J. Mol. Struct. 2017, 1147, 747–753. [Google Scholar] [CrossRef]
- Igbokwe, E.; Yu, C.; Li, G. Multifunctional Wood Composite with Integrated Phase change Material for Energy Harvesting, Self-Healing, Flame Retardancy, and Recycling. Dev. Built Environ. 2025, 23, 100743. [Google Scholar] [CrossRef]
- Xie, F.; Chen, L.; Cedeno Morales, E.M.; Ullah, S.; Fu, Y.; Thonhauser, T.; Tan, K.; Bao, Z.; Li, J. Complete Separation of Benzene-Cyclohexene-Cyclohexane Mixtures via Temperature-Dependent Molecular Sieving by a Flexible Chain-like Coordination Polymer. Nat. Commun. 2024, 15, 2240. [Google Scholar] [CrossRef]
- Alemu, D.; Wei, H.-Y.; Ho, K.-C.; Chu, C.-W. Highly Conductive PEDOT:PSS Electrode by Simple Film Treatment with Methanol for ITO-Free Polymer Solar Cells. Energy Environ. Sci. 2012, 5, 9662. [Google Scholar] [CrossRef]
- Huang, X.; Wang, Z.; Zhong, Y.; Jiang, Y.; Chen, S.; Chen, J.; Deng, S.; Wang, J. A Versatile Strategy for Broadening Light Absorption to Ultraviolet–Visible Region on Zr-Based MOF Photocatalysts for Efficient CO2 Reduction. Chem. Eng. J. 2025, 507, 160812. [Google Scholar] [CrossRef]
- Yang, R.; Fan, Y.; Hu, J.; Chen, Z.; Shin, H.S.; Voiry, D.; Wang, Q.; Lu, Q.; Yu, J.C.; Zeng, Z. Photocatalysis with Atomically Thin Sheets. Chem. Soc. Rev. 2023, 52, 7687–7706. [Google Scholar] [CrossRef]
- Gao, J.; Miao, J.; Li, P.Z.; Teng, W.Y.; Yang, L.; Zhao, Y.; Liu, B.; Zhang, Q. A p-type Ti(IV)-Based Metal-Organic Framework with Visible-Light Photo-Response. Chem. Commun. 2014, 50, 3786–3788. [Google Scholar] [CrossRef]
- Chen, L.; Wang, F.; Zhang, J.; Wei, H.; Dang, L. Integrating g-C3N4 Nanosheets with MOF-Derived Porous CoFe2O4 to Form an S-Scheme Heterojunction for Efficient Pollutant Degradation via the Synergy of Photocatalysis and Peroxymonosulfate Activation. Environ. Res. 2024, 241, 117653. [Google Scholar] [CrossRef]
- Wang, T.; Zhao, C.; Meng, L.; Li, Y.; Chu, H.; Wang, F.; Tao, Y.; Liu, W.; Wang, C.-C. In-Situ-Construction of BiOI/UiO-66 Heterostructure via Nanoplate-on-Octahedron: A Novel p-n Heterojunction Photocatalyst for Efficient Sulfadiazine Elimination. Chem. Eng. J. 2023, 451, 138624. [Google Scholar] [CrossRef]
- Mi, X.; Zhou, X.; Zhan, T.; Chen, Y.; Ma, N.; Dai, W. Interfacial Engineering-Mediated Electronic Structure Regulation of Homologous S-Scheme LaFeO3@MIL-100(Fe) Heterojunction: Enhancement of Photocatalytic Activity Towards Levofloxacin. Sep. Purif. Technol. 2025, 363, 132126. [Google Scholar] [CrossRef]
- Chen, C.; Shi, H.; Cai, X.; Mao, L.; Chen, Z. Enhanced Bifunctional Photocatalytic Performances for H2 Evolution and HCHO Elimination with an S-Scheme CoWO4/CdIn2S4 Heterojunction. Acta Phys.-Chim. Sin. 2025, 41, 100155. [Google Scholar] [CrossRef]
- Zhou, X.; Shi, H.; Rong, A.; Wei, M.; Chen, C.; Chen, Z. Enhanced Photocatalytic Properties of H2 Production and Tetracycline Removal with a H5PMo10V2O40/ZnIn2S4 S-Scheme Heterojunction. Appl. Surf. Sci. 2025, 694, 162844. [Google Scholar] [CrossRef]
- Huang, K.; Huang, L.; Shen, Y.; Hua, Y.; Song, R.; Li, Z.; Zhang, H. Two Novel 3D Polyoxometalate-Based Metal–Organic Frameworks for Structure-Directed Selective Adsorption and Photodegradation of Organic Dyes. Inorg. Chem. Commun. 2024, 170, 113350. [Google Scholar] [CrossRef]
- Cui, Y.; Xing, Z.; Guo, M.; Qiu, Y.; Fang, B.; Li, Z.; Wang, Y.; Chen, P.; Zhou, W. Core–Shell Carbon Colloid Sphere@Phosphotungstic Acid/CdS as a Z-Scheme Heterojunction with Synergistic Adsorption, Photothermal and Photocatalytic Performance. Catal. Sci. Technol. 2021, 11, 6080–6088. [Google Scholar] [CrossRef]
- Ye, L.; Wu, D.; Chu, K.H.; Wang, B.; Xie, H.; Yip, H.Y.; Wong, P.K. Phosphorylation of g-C3N4 for Enhanced Photocatalytic CO2 Reduction. Chem. Eng. J. 2016, 304, 376–383. [Google Scholar] [CrossRef]
- Tan, G.; She, L.; Liu, T.; Xu, C.; Ren, H.; Xia, A. Ultrasonic Chemical Synthesis of Hybrid mpg-C3N4/BiPO4 Heterostructured Photocatalysts with Improved Visible Light Photocatalytic Activity. Appl. Catal. B Environ. 2017, 207, 120–133. [Google Scholar] [CrossRef]
- Yang, L.; Zhang, Z.; Zhang, C.; Li, S.; Liu, G.; Wang, X. An Excellent Multifunctional Photocatalyst with a Polyoxometalate–Viologen Framework for CEES Oxidation, Cr(VI) Reduction and Dye Decolorization under different Light Regimes. Inorg. Chem. Front. 2022, 9, 4824–4833. [Google Scholar] [CrossRef]
- Zeng, L.; Ao, X.; Xu, M.; Zhang, Y.; Tao, Z. Cucurbit[6]uril-Heteropoly Acids Self-Assemblies for Adsorption and Photocatalytic Synergistic Removal of Diquat and Paraquat in water. J. Water Process Eng. 2025, 72, 107518. [Google Scholar] [CrossRef]
- Gharagozlou, M.; Elmi Fard, N.; Ghahari, M.; Tavakkoli Yaraki, M. Bimetal Cu/Ni-BTC@SiO2 Metal-Organic Framework as high Performance Photocatalyst for Degradation of Azo Dyes under Visible Light Irradiation. Environ. Res. 2024, 256, 119229. [Google Scholar] [CrossRef] [PubMed]
- Karamat, S.; Akhter, T.; Ul Hassan, S.; Faheem, M.; Mahmood, A.; Al-Masry, W.; Razzaque, S.; Ashraf, S.; Kim, T.; Han, S.-K.; et al. Recycling of Polyethylene Terephthalate to Bismuth-Embedded Bimetallic MOFs as Photocatalysts toward Removal of Cationic Dye in Water. J. Ind. Eng. Chem. 2024, 137, 503–513. [Google Scholar] [CrossRef]
- Pattappan, D.; Vargheese, S.; Kavya, K.V.; Kumar, R.T.R.; Haldorai, Y. Metal-Organic Frameworks with Different Oxidation States of Metal Nodes and Aminoterephthalic Acid Ligand for Degradation of Rhodamine B under Solar Light. Chemosphere 2022, 286, 131726. [Google Scholar] [CrossRef]
- Xu, Y.; Zhou, Y.; Deng, Y.; Xiang, Y.; Tan, Y.; Tang, H.; Zou, H. Synthesis of Bi2WO6@NH2-MIL-125(Ti): A S-Scheme Photocatalyst with Enhanced Visible Light Catalytic Activity. Catal. Lett. 2020, 150, 3470–3480. [Google Scholar] [CrossRef]
- Abdellah, M.H.; Nosier, S.A.; El-Shazly, A.H.; Mubarak, A.A. Photocatalytic Decolorization of Methylene blue using TiO2/UV system enhanced by Air Sparging. Alex. Eng. J. 2018, 57, 3727–3735. [Google Scholar] [CrossRef]
- Abuzeyad, O.H.; El-Khawaga, A.M.; Tantawy, H.; Gobara, M.; Elsayed, M.A. Merits Photocatalytic activity of rGO/zinc Copper Ferrite Magnetic Nanocatalyst for Photodegradation of Methylene blue (MB) Dye. Discov. Nano 2025, 20, 2. [Google Scholar] [CrossRef]
- Du, L.; Lu, L.; Shi, C.; Wang, H.-Y.; Wang, J.; Singh, A.; Kumar, A. New Cd(II) Coordination Polymers Bearing Y-shaped Tricarboxylate Ligands as Photocatalysts for Dye Degradation. CrystEngComm 2021, 23, 6400–6408. [Google Scholar] [CrossRef]
- Ahmad, A.; Noreen, T.; Javaid, A.; Imran, M.; Alshammari, A.Q.; Alshammari, A.Q.; Zafar, M.N.; AlDamen, M.A.; Ibragimov, A.B.; Akhtar, M.N. Harnessing Cd(II)-based Efficient Photocatalyst With Nitrogen Gas Adsorption: A Green Approach Towards Environmental Remediation. Inorg. Chem. Commun. 2025, 182, 115227. [Google Scholar] [CrossRef]
- Li, L.; Wang, J.-J.; Yan, N.; Li, Y.; Wang, R.; Li, X.; Li, J.; Bai, Y.; Dang, D.-B. Three CuI-Terpyridyl Coordination Polymers Regulated by π-Conjugated Groups and SCN– Anions for Organic Dye Photodegradation. Cryst. Growth Des. 2024, 24, 9527–9537. [Google Scholar] [CrossRef]
- Ma, S.; Xia, X.; Song, Q.; Zhao, Y.; Yang, J. Heterogeneous Junction Ni-MOF@BiOBr Composites: Photocatalytic Degradation of Methylene Blue and Ciprofloxacin. Solid State Sci. 2023, 138, 107135. [Google Scholar] [CrossRef]
- Lv, S.-W.; Pan, J.; Wang, X.; Shao, Y.; Cong, Y.; Che, L. New Insight into the Effects of p-Benzoquinone on Photocatalytic Reduction of Cr(VI) over Fe-doped g-C3N4. Environ. Res. 2024, 252, 119043. [Google Scholar] [CrossRef]
- Chen, S.; Zhang, L.; Melhi, S.; Alshammari, D.A.; Amin, M.A.; Dai, L.; Li, S.; Yu, W.; Cui, L. Photocatalytic Degradation of Toluene by Three-Dimensional Monolithic Titanium Dioxide / Cuprous Oxide Foams with Z-schemed Heterojunction. Adv. Compos. Hybrid Mater. 2024, 7, 250. [Google Scholar] [CrossRef]
- Škugor Rončević, I.; Buzuk, M.; Kukovec, B.-M.; Sokol, V.; Buljac, M.; Vladislavić, N. Electrochemical Properties and Perspectives of Nickel(II) and Cobalt(II) Coordination Polymers-Aspects and an Application in Electrocatalytic Oxidation of Methanol. Crystals 2023, 13, 718. [Google Scholar] [CrossRef]
- Yang, Y.; Ji, W.; Yin, Y.; Wang, N.; Wu, W.; Zhang, W.; Pei, S.; Liu, T.; Tao, C.; Zheng, B.; et al. Catalytic Modification of Porous Two-Dimensional Ni-MOFs on Portable Electrochemical Paper-Based Sensors for Glucose and Hydrogen Peroxide Detection. Biosensors 2023, 13, 508. [Google Scholar] [CrossRef]
- Mu, B.; Li, C.-X.; Song, M.; Ren, Y.-L.; Huang, R.-D. The Electrochemical Properties, Nitrogen Adsorption, and Photocatalytic Activities of Three 3D Metal–Organic Frameworks Bearing the Rigid Terphenyl Tetracarboxylates Ligands. Cryst. Eng. Commun. 2016, 18, 3086–3094. [Google Scholar] [CrossRef]
- Chen, S.; Zhou, D.; Yu, J.; Xiong, Q.; Huang, Z.; Wang, L. Simultaneous Electrochemical Sensing of Dopamine and Uric Acid with the Aids of Chemometric Methods. J. Electroanal. Chem. 2023, 951, 117926. [Google Scholar] [CrossRef]
- Xu, G.-R.; Xu, M.-L.; Zhang, J.-M.; Kim, S.; Bae, Z.U. Electropolymerization of Negatively Charged Ni(II) Complex for the Selective Determination of Dopamine in the Presence of Ascorbic Acid. Bioelectrochemistry 2008, 72, 87–93. [Google Scholar] [CrossRef]
- Chen, J.; Shu, H.; Niu, P.; Chen, P.; Jiang, H.; Guo, X.-T. Highly Sensitive Detection of Trace Tetracycline in Water Using a Metal-Organic Framework-Enabled Sensor. Adsorpt. Sci. Technol. 2021, 2021, 1462107. [Google Scholar] [CrossRef]
- Ma, L.; Wang, Z.; Liu, X.; Xu, F.; Abdiryim, T. High Sensitivity and Selectivity of PEDOT/Carbon Sphere Composites for Pb2+ Detection. Molecules 2025, 30, 798. [Google Scholar] [CrossRef] [PubMed]
- Xiao, Y.; Zhang, Y.; He, Z.; Zhang, L.; Wang, T.; Tang, T.; Chen, J.; Cheng, H. A Carbon Nanofiber Electrochemical Sensor Made of FeMn@C for the Rapid Detection of Tert-Butyl Hydroquinone in Edible Oil. Molecules 2025, 30, 2725. [Google Scholar] [CrossRef] [PubMed]
- Devaraj, M.; Deivasigamani, R.K.; Jeyadevan, S. Enhancement of the Electrochemical Behavior of CuO Nanoleaves on MWCNTs/GC Composite Film Modified Electrode for Determination of Norfloxacin. Colloids Surf. B Biointerfaces 2013, 102, 554–561. [Google Scholar] [CrossRef]
- Zhang, C.; Fan, L.; Ren, J.; Cui, M.; Li, N.; Zhao, H.; Qu, Y.; Ji, X. Facile Synthesis of Surface Functionalized Pd2+@P-CDP/COFs for Highly Sensitive Detection of Norfloxacin Drug Based on the Host-guest Interaction. J. Pharm. Biomed. Anal. 2022, 219, 114956. [Google Scholar] [CrossRef]
- Dang, J.J.; Cui, H.; Li, X.J.; Zhang, J.L. Determination of Norfloxacin Using a Tetraoxocalix[2]arene[2]-triazine Covalently Functionalized Multi Walled Carbon Nanotubes Modified Electrode. Anal. Sci. 2019, 35, 979–985. [Google Scholar] [CrossRef]















Disclaimer/Publisher’s Note: The statements, opinions and data contained in all publications are solely those of the individual author(s) and contributor(s) and not of MDPI and/or the editor(s). MDPI and/or the editor(s) disclaim responsibility for any injury to people or property resulting from any ideas, methods, instructions or products referred to in the content. |
© 2025 by the authors. Licensee MDPI, Basel, Switzerland. This article is an open access article distributed under the terms and conditions of the Creative Commons Attribution (CC BY) license (https://creativecommons.org/licenses/by/4.0/).
Share and Cite
Yu, F.; Zhu, M.; Weng, X.; Sun, D.; Yu, X.; Shi, J.; Liu, Z.; Yu, X. A 1D [Ni(L)(H2O)3]n·nH2O Coordination Polymer as a Dual Function Material for Antibiotic Detection and Dye Photo-Degradation. Molecules 2025, 30, 4366. https://doi.org/10.3390/molecules30224366
Yu F, Zhu M, Weng X, Sun D, Yu X, Shi J, Liu Z, Yu X. A 1D [Ni(L)(H2O)3]n·nH2O Coordination Polymer as a Dual Function Material for Antibiotic Detection and Dye Photo-Degradation. Molecules. 2025; 30(22):4366. https://doi.org/10.3390/molecules30224366
Chicago/Turabian StyleYu, Fengli, Mingxuan Zhu, Xiaoyu Weng, Dazhi Sun, Xingyuan Yu, Jiazhen Shi, Zhifang Liu, and Xiaoyang Yu. 2025. "A 1D [Ni(L)(H2O)3]n·nH2O Coordination Polymer as a Dual Function Material for Antibiotic Detection and Dye Photo-Degradation" Molecules 30, no. 22: 4366. https://doi.org/10.3390/molecules30224366
APA StyleYu, F., Zhu, M., Weng, X., Sun, D., Yu, X., Shi, J., Liu, Z., & Yu, X. (2025). A 1D [Ni(L)(H2O)3]n·nH2O Coordination Polymer as a Dual Function Material for Antibiotic Detection and Dye Photo-Degradation. Molecules, 30(22), 4366. https://doi.org/10.3390/molecules30224366
